Back to contents - Previous file - Next file
It is well known that the full cooperative outcome of the one-shot game can be sustained as a subgame perfect equilibrium of the infinitely repeated game if the rate of discount is sufficiently small. This can be shown very easily for the specification given by equation (1). Denote the (common) discount factor by d, net benefits to country i under the full cooperative outcome by NBj, net benefits to country i under the non-cooperative (or open access) outcome by Nbio, and net benefits to i if i, and i alone, defects from the full cooperative outcome by NBid. If all players play the "grim" strategy of cooperating on the first move and cooperating on every successive move - provided all other players cooperated on every previous move - but choosing their noncooperative abatement levels if any player did cheat on a previous move, then no single player would want to deviate if the following condition is satisfied (Shapiro, 1989):
d>=( NBid - NBic )/( NBid - Nbio), for all i. (4)
For the specification given by equation (1), condition (4) reduces to d>= 1/2, irrespective of N. Provided the common rate of discount does not exceed 100 percent, the full c ooperative outcome can be sustained by any number of countries.
Since environmental games such as climate change and biological diversity conservation are played repeatedly, this result - and the folk theorem, more generally - would seem to suggest, in contrast to the IEA model, that conventions such as those signed in Rio de Janeiro could well reflect the full cooperative outcome. It turns out, however, that the above infinitely repeated game may not be self-enforcing.
Consider the above repeated game. As we have seen, cooperation can be sustained as a subgame perfect equilibrium if players adopt the strategy of indefinite Cournot reversion after any player cheats. However, if one player did cheat, and the others threatened indefinite punishment, all players would have an incentive to renegotiate and begin cooperating again. Since all players would be aware of this incentive to renegotiate, the above grim strategy cannot characterize a self-enforcing IEA; to be self enforcing, IEAs must be renegotiation-proof. As will be shown below, renegotiationproof IEAs may not be able to sustain the full cooperative outcome, even for arbitrarily small discount rates.
Let Nbi now denote country i's average payoff in the infinitely repeated game, and consider the last functional specification given in Table 3, adjusted by a constant:
NBi = b(aQ - Q2/2)/N - dqi- (ab - dN)2/2bN.
The constant term ensures that each country is guaranteed a payoff of at least zero. The full cooperative outcome yields a global payoff of d(N-1)(2ab - d)/2b. Hence, the set of feasible, individually rational payoffs is:
V* = { v | vi >=0, å vi.<=d(N - 1 )(2ab - d)/2b }
Following Farrell and Maskin (1989), a payoff vector v is (weakly) renegotiation-proof (for discount rates near zero) if abatement levels qjj ,qkj can be chosen to punish j for cheating, such that:
max {(b/N)[a(qj + (N - 1 )qkj) - (qj + (N - 1 )qkj)2/2] - dqj -qj (ab - dN)2/2bN>=vj; (6)
(b/N)[a(qjj + (N - 1 )qkj) - (qji + (N - 1 ) qki)2/2] - dqkj - (ab - dN)2/2bN >= vk. (7)
Condition (6) ensures that any one country cannot gain by cheating on the agreement. Condition (7) ensures that countries have no incentive to renegotiate. For this problem, it also makes sense to require that the payoff vector v be Pareto efficient in the punishment phase. If it is also assumed that country j chooses its mini-max abatement level in the punishment phase, it can be shown (Barrett, 1992b) that the full cooperative outcome can be sustained as a self-enforcing agreement if the number of countries N does not exceed:
_
N = min (ab/d - 1, 2ab/3d - 1/3). (8)
It is easy to see that N is increasing in a and b and decreasing in d. N is calculated for various values of a, b and d in Table 4. The number of countries that can sustain the full cooperative outcome varies substantially, depending on the parameter values, and is higher the larger b is and the smaller d is. Clearly, even infinite repetition may not sustain the full cooperative outcome provided IEAs are self-enforcing.
In comparing these results with those of the previous model, where specification (5) is unable to sustain an IEA of any size, it is apparent that repetition, by increasing the size of credible punishments, may be able to support the full cooperative outcome for arbitrarily small discount rates, provided N is not too large. However, the results of this subsection only identify an upper bound on N that can sustain the full cooperative outcome where the rate of discount is near zero. These results do not indicate what would happen if N were larger than this upper bound. In particular, for the specification in Table 4, if a = 100, b = 1 and d = 9.9, and if N were no greater than 67, the full cooperative outcome could be sustained by a self-enforcing IEA. But, in contrast to the earlier model, the repeated game model does not identify what outcome would result, especially if N were greater than 67.
The last column in Table 4 gives the gains to cooperation (that is, the difference in total net benefits between the full cooperative and non-cooperative outcomes) divided by (N - 1)~. The actual gains to cooperation depend not only on parameter values, but also on N. The last column in Table 4, therefore, gives estimates of the relative magnitudes of the gains to cooperation for N fixed. The table shows that when the gains to cooperation are large, an IEA can be sustained by only a small number of countries if, indeed, it can be sustained at all. This result is consistent with the general result presented earlier. A similar result also arises in the analysis of biological diversity.
TABLE 4. Illustration of maximum number of countries that can sustain the full cooperative outcome.
| a | b | d | N | Total gains to cooperation |
| 100 | 1 | 0.99 | 67 | 0.49 |
| 100 | 1 | 0.75 | 88 | 0.28 |
| 100 | 1 | 0.65 | 102 | 0.21 |
| 100 | 2 | 1.98 | 67 | 0.98 |
| 100 | 2 | 1.50 | 88 | 0.56 |
| 100 | 2 | 1.30 | 102 | 042 |
| 1 000 | 1 | 9.9 | 67 | 49 |
| 1 000 | 1 | 7.5 | 88 | 28 |
| 1 000 | 1 | 6 5 | 102 | 21 |
| 1 000 | 2 | 19.8 | 67 | 98 |
| 1 000 | 2 | 15.0 | 88 | 56 |
| 1 000 | 2 | 13.0 | 102 | 42 |
*Assumes N = 100 to ensure interior solutions.
The conservation of biological diversity is a global public good, if for no other reason than that the existence of biological diversity is valued. That means that the well-being of country i depends not only on the stock of biological diversity in country i but on the global stock of biological diversity. While developed countries may wish to conserve all their biological diversity for their own well-being, developing countries may not. However, since the developed countries benefit from the conservation of biological diversity in developing countries, developed countries may wish to compensate developing countries for the incremental costs of additional conservation. Indeed, provision of such compensation is a major objective of the Biological Diversity Convention. This section explores the problem of achieving cooperation in compensating developing countries for the costs of conserving biological diversity.
How might these costs be measured? If developing countries value biological diversity for domestic reasons, they may conserve biological diversity at a positive marginal cost even if no compensation is forthcoming. However, according to the convention (Article 20, Paragraph 2): "The developed country Parties shall provide new and additional financial resources to enable developing country Parties to meet the agreed full incremental costs to them of implementing measures which fulfil the obligations of this Convention...".
Here, "full incremental costs" can be taken to mean the costs that a country would bear over and above any benefits the country might receive as a result of the compensation policy. Starting from the level of conservation that is optimal under the `'nationalistic" policy, the incremental cost of conserving an additional unit of biological diversity would be expected to approach zero. The reason is that if the country developed a nationalistic conservation policy that maximized its own net benefits, its net marginal benefit of conservation would be zero. The country, therefore, would be indifferent to conserving one more unit of biological diversity. However, it should become increasingly costly to protect successive increases in the stock of biological diversity. Hence, the marginal incremental costs of conservation should increase from the 0 intercept.
To keep the analysis simple, assume that all j = 1,...,N developing countries are identical, and that all i = 1,...,n developed countries are identical, but that developing and developed countries are different.
For any given developing country, assume that the costs of conservation are bSj2/2, where Sj now stands for the additional quantity of biological diversity that is conserved by j as a result of financial transfers. Clearly, when developed countries offer financial assistance, they will want the assistance to be cost-effective. Given the cost function, the developed countries will want to spread the money out equally, so that the same quantity of incremental biological diversity is conserved by each developing country. Hence, the costs of conservation are åbSj2/2= bS2/2/2N, where S = åjSj. Letting c º b/N, the costs are cS2/2.
For developed countries, it seems reasonable to assume that the benefit of conserving one additional unit of global biological diversity, S. will be positive and that successive increases in S will yield successively smaller incremental benefits. Assume that country i's benefit function is given by:
Bi (S) = (b/n)(aS - S2/2). (9)
Parameter b is the slope of the marginal benefit of conservation summed over all developed countries. If the benefit of conserving the very last unit of biological diversity equals zero, then parameter a may be interpreted as the total quantity of diversity that can feasibly be saved.
Unless developed countries offer compensation to developing countries, no additional conservation will be forthcoming. Developed country i may make a payment of Mi to conserve biological diversity in developing countries. The same is true for all other developed countries. The total payment offered, therefore, is M = åiMi. Assuming that all such payments are made in a costeffective manner, the quantity of diversity conserved is:
M = cS2/2.
Rearranging, produces:
S = (2M/c)1/2. (10)
Increases in assistance yield increases in additional conservation, but each additional dollar of assistance protects less biological diversity than the last because of the increasing cost of conservation.
Substituting ( l0) into (9), and taking into account the cost of the financial transfer to country i, yields i's net benefit function:
NBi (Mi, M-i) = (b/n)[a(2(Mi + M -i)/c)1/2 - (Mi + M -i)/c] - Mi, (11)
where M -i = M - Mi. Equation ( 11 ) assumes that the marginal value to i of the first dollar spent on conservation is equal to the marginal value of the millionth dollar spent on conservation. Like all the other assumptions regarding the functional specification of the model, this may be questionable. Changes in the functional specification can, in fact, be quite crucial to the results, as was seen under "The self-enforcing IEA" (p.24).
The Nash equilibrium may be easily solved. Maximizing (11) on the assumption that M-i / dMi = 0 yields the non-cooperative outcome:
M* = a2b2c/2(cn + b)2, S* = ab/(cn+b). (12)
Not surprisingly, the quantity of biological diversity conserved is proportional to parameter a (which may be taken to be the total quantity of diversity that can feasibly be saved), increasing in b (the slope of the marginal benefit of conservation for all developed countries), decreasing in c (the slope of the marginal cost of biological diversity conservation) and decreasing in n (the number of developed countries).
An important question is how far the non-cooperative outcome departs from the full cooperative outcome. The latter is found by choosing M to maximize:
NB(M) = b[a(2M/c)1/2 - M/c] - M.
The solution is:
M** = a2b2c/2(c + b)2 S** = ab/(c+b). ( 13)
Obviously, M* = M** and S* = S** if n = 1.
Figure 3 illustrates these two different outcomes. For the non-cooperative outcome, each country sets its own marginal benefit of conservation equal to the marginal cost of conservation. For the full cooperative outcome, each country i sets the marginal benefit to all developed countries equal to the marginal cost of conservation.
Two extreme views might be taken regarding the Biodiversity Convention. The first is that the convention merely codifies what countries would have done unilaterally or that the terms of the convention simply reflect the noncooperative outcome. The other view is that the convention achieves full (nearly) cooperation. One datum supports both views: almost every country signed the convention.
It is of course difficult to say which view is closer to the truth. This is partly because it is not possible to know what countries would have done had the convention never been agreed upon and partly because the gap between the two outcomes might be quite small and, therefore, hard to detect. More fundamentally, the final terms of the agreement will not be decided until the first meeting of the Conference of the Parties. In a sense, the difficult negotiations lie ahead. These will decide how much money is to be contributed by each developed country and how this money is to be distributed among developing countries. What countries have signed up for so far are certain principles and a process by which the important substantive decisions will be taken later.
Theory can provide some insight into how close the treaty will get to the full cooperative outcome. If the modelling approach employed earlier in "The selfenforcing IEA" (p.24) is applied to this problem, it can be shown that the above functional specification yields the result that cooperative agreements of any size are unstable (the specification is essentially the same as that presented as specification (4) in Table 3).This model therefore implies that the convention could achieve little more than the noncooperative outcome.
Figure 3.Non-cooperative and cooperative outcomes
However, this result may not be robust. As shown earlier, cooperation can be made more attractive if the punishment suffered by free riders is increased. To consider the infinitely repeated version of this game, let NBi now denote country i's average payoff in the infinitely repeated game. NBi is assumed to be given by:
NBi(Mi, M-i) = (b/n [a(2(Mi + M-i)/c)1/2 - (Mi + M-i)/c] - Mi - a2b2 /[2n(cn+b)] (14)
Equation (14) includes a constant term, chosen to ensure that each country is guaranteed a payoff of at least zero. The full cooperative outcome yields a payoff to all developed countries of a2b2c(n- 1)]/ 2(c+b)(cn+b)]. Hence, the set of feasible, individually rational payoffs is:
V* = {v | vi >=0, åvi < =a2b2c(n -1)/2(c+b)(cn+b) }.
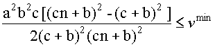
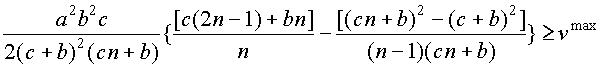
Repeating the procedure carried out in the previous section, it can be shown (Barrett, 1992c) that the renegotiation-proof equilibria can support payoffs v; that lie between the following minimum and maximum values:


If the full cooperative outcome is to be sustained, each country's payoff in the full cooperative outcome, v* = a2b2c/2n(c+b)2, must lie between vmin and vmax The maximum number of countries that can sustain the full cooperative outcome n cannot be solved analytically in this case, but simulation analysis reveals that there is a rather simple relationship between n and c/b. This is shown in Table 5.
According to Table 5, the larger c/b is, the harder cooperation is to reach. An important question is whether Hi is large when the gap between total net benefits in the full cooperative and non-cooperative outcomes is large. The last column in Table 1 yields some insight into this question. It gives the gap assuming n = 20. When c/b = .001 or .0001, the full cooperative outcome can be sustained. But in these cases, the gap is quite small. When b = 100 and c = 10, the gap between the two outcomes is quite large, but, in this case, the full cooperative outcome cannot be sustained. This suggests that when an agreement is signed by many countries, the agreement may not succeed in increasing global net benefits by much, and that when net benefits can be increased substantially through cooperation, the full cooperative outcome may not be sustainable.
TABLE 5.Simulation of maximum number of countries that can sustain the full cooperative outcome.
| b | c | c/b | NB(M**) NB( M*) |
|
| 1 | 1 | 1 | 0 | 20.5 |
| 10 | 1 | .1 | 3 | 182.3 |
| 100 | 1 | .01 | 7 | 124.1 |
| 1 | .01 | .01 | 7 | 1.2 |
| 10 | .01 | .001 | 23 | 0.2 |
| 100 | .01 | .0001 | 71 | 0.02 |
| 1 | .1 | .1 | 3 | 18.2 |
| 10 | .1 | .01 | 7 | 12.4 |
| 100 | .1 | .001 | 23 | 1.7 |
| 1 | 10 | 10 | 0 | 4.1 |
| 10 | 10 | 1 | 0 | 204.6 |
| 100 | 10 | .1 | 3 | 1 823.2 |
* The last column in the Table gives the gap between the total net benefits in the full cooperative and non-cooperative outcomes, assuming n = 20 and a = 10 [the value of a does not affect the relative values of NB(M**) NB(M*)].
This section has considered the ability of a self-enforcing IEA to improve on the non-cooperative outcome. While a number of model and functional specifications have been investigated, a rather clear insight has emerged from this analysis. When only a small number of countries are involved in the exploitation of a resource, an effective IEA can be sustained and may increase total well-being considerably.
When a large number of countries are involved, it may be possible to sustain an IEA consisting of a large proportion of these countries. However, this is only true when the problem is characterized by parameter values indicating that the gap between the non-cooperative and fully cooperative outcomes is small. In other words, IEAs signed by a large number of countries are unlikely to demand that signatories do much more than they would if the agreement did not exist. When the gains to cooperation are very large, an IEA consisting of many countries cannot be sustained.
Of course, this conclusion emerges from rather special models, and it is possible that this and other conclusions will not be robust to further changes in these models. However, it appears that these results reflect fundamental forces acting on efforts to sustain cooperative agreements. Those forces are the incentives to free ride. When a great many countries are involved in the exploitation of a resource, each is responsible for a small fraction of the problem, and, hence, only small punishments for free riding are credible. But when each country is responsible for a small fraction of the problem, the benefit it receives by taking further action is small in relation to the costs. Small punishments, therefore, are not sufficient to induce countries to want to participate in a self-enforcing IEA.
In the next chapter it will be argued that this theory helps to evaluate the IEAs discussed in the chapter "lnternational agreements concerning food and agriculture" (p. 7).