Annexe 2.1. Coefficients de digestibilité des protéines, lipides et glucides et valeur énergétique de différents ingrédients pour Tilapia nilotica (d'après POPMA, 1982).
|
Ingrédients |
Pourcentage de digestibilité |
|||
|
Protéine |
Lipide |
Glucide |
Energie brute |
|
|
Farine de poisson |
84.8 |
97.8 |
- |
87.4 |
|
Farine de poisson + maïs |
84.9 |
- |
- |
- |
|
Farine de viande et d'os |
77.7 |
- |
- |
68.7 |
|
Farine de soja |
94.4 |
- |
53.5 |
72.5 |
|
Maïs (cru) |
83.8 |
89.9 |
45.4 |
55.5 |
|
Blé |
89.6 |
84.9 |
60.8 |
65.3 |
|
Son de blé |
70.7 |
- |
- |
- |
|
Pulpe de café |
29.2 |
- |
- |
11.4 |
Annexe 2.2. Besoins quantitatifs en acides aminés essentiels de Tilapia nilotica (d'après SANITAGO, 1985).
|
Acides aminés essentiels |
Besoin minimum (% des protéines) |
|
Arginine |
4.2 |
|
Histidine |
1.7 |
|
Isoleucine |
3.1 |
|
Leucine |
3.4 |
|
Lysine |
5.1 |
|
Méthionine (+ cystine) |
3.2 |
|
Phenylalanine (+ tyrosine) |
5.7 |
|
Threonine |
3.6 |
|
Tryptophane |
1.0 |
|
Valine |
2.8 |
Annexe 2.3. Composition du prémix vitaminé et du premix minéral à incorporer dans l'aliment, respectivement à 2 et 4% de la matière sèche (JAUNCEY et ROSS, 1982).
|
Prémix vitaminé |
Prémix minéral | ||
|
Vitamines |
g/kg de prémix |
Minéraux |
g/kg de prémix |
|
Thiamine (B1) |
2.5 |
CaHPO4. 2H2O |
727.7775 |
|
Riboflavine (B2) |
2.5 |
MgSO4. 7H2O |
127.5000 |
|
Pyridoxine (B6) |
2.0 |
NaCl |
60.000 |
|
Acide pantothénique |
5.0 |
KCl |
50.000 |
|
Inositol |
100.0 |
FeSO4. 7H2O |
25.000 |
|
Biotine |
0.3 |
ZnSO4. 7H2O |
5.5000 |
|
Acide folique |
0.75 |
MnSO4. 4H2O |
2.5375 |
|
Acide para-amino-benzoïque |
2.5 |
CuSO4. 5H2O |
0.7850 |
|
Choline |
200.0 |
CoSO4. 7H2O |
0.4775 |
|
Niacine (B3) |
10.0 |
CaIO36H2O |
0.2950 |
|
Cyanocobalamine (B12) |
0.005 |
CrCl36H2O |
0.1275 |
|
Retinol palmitate (A) |
100000 U.I. |
|
|
|
- tocophénol acétate (E) |
20.1 |
|
|
|
Acide ascorbique (C) |
50.0 |
|
|
|
Menadione (K) |
2.0 |
|
|
|
Cholecalciferol (D3) |
500000 U.I. |
|
|
Annexe 2.4. Composition (en %) et qualité nutritionnelle de différents aliments proposés par différents auteurs pour les alevins de tilapias en tanks.
|
Ingrédients
|
Poids des alevins (g) |
|||||||
|
1er nourris. à 0.5 g |
0.3-12 |
2-6 |
7-40 |
0.5-35 |
<20-30 |
>20 |
>25 |
|
|
Farine de poisson |
30 |
17.9 |
36.6 |
15 |
10 |
|
|
10 |
|
Farine de viande/sang |
5 |
|
|
|
5 |
|
|
10 |
|
Farine d'os |
|
|
|
|
|
3 |
|
1 |
|
Farine de plume hydrol. |
15 |
|
|
|
5 |
|
|
|
|
Tourteau de soja |
5 |
49.3 |
|
15 |
|
|
|
15 |
|
Son de blé |
|
|
|
|
|
|
15 |
10 |
|
Son de riz |
10 |
|
63.4 |
|
20 |
43 |
15 |
|
|
Tourteau de coton |
5 |
|
|
|
20 |
53 |
45 |
|
|
Tourteau de germe de maïs |
|
10.7 |
|
70 |
|
|
|
10 |
|
Maïs concassé |
|
|
|
|
|
|
|
13 |
|
Drêche de brasserie |
10 |
|
|
|
10 |
|
15 |
|
|
Pulpe de café |
|
|
|
|
|
|
|
|
|
Farine de luzerne |
|
|
|
|
|
5 |
|
|
|
Tourteau de sésame |
|
|
|
|
|
|
7.75 |
|
|
Tourteau d'arachide |
10 |
|
|
|
12 |
|
|
|
|
Mélasse |
|
|
|
|
|
5 |
|
|
|
Farine de copra |
|
|
|
|
|
|
|
|
|
Huile de maïs |
|
5.0 |
|
|
|
|
|
|
|
Cellulose |
|
|
|
|
|
|
|
|
|
Déchets de poudre de lait |
|
4.1 |
|
|
|
|
|
|
|
Déchets de poulet |
|
|
|
|
|
|
|
|
|
Prémix vitaminé |
2 |
6.0 |
0.5 |
2.0 |
2 |
0.8 |
0.25 |
1 |
|
Prémix minéral |
4 |
7.1 |
|
|
4 |
0.2 |
|
|
|
Supplément lipides |
4 |
|
|
|
|
|
|
|
|
% protéines |
49.25 |
36 |
34 |
22 |
35.55 |
- |
30 |
22 |
|
% lipides |
11.06 |
- |
3 |
1.4 |
8.58 |
- |
- |
5.5 |
|
Taux de conversion |
- |
1.43 |
1.24 |
1.5-2.0 |
- |
- |
1.2 |
2.3-2.6 |
Références
|
JAUCEY et ROSS, 1982 |
DAVIS et STICKNEY. 1978 |
CRUZ et LAUDENCIA1978 |
ROSS et MUIR* 1982 |
JAUNCEY ROSS, 1982 |
CHOW, 1982** |
HASTINGS, 1973 |
HALLER, 1974 |
|
|
|
|
|
|
|
|
|
* in BALARIN et HALLER, 1982
** in NEW, 1987
Annexe 2.5. Coûts d'installation et de production d'une pisciculture intensive d'alevins de T. mossambica au Zimbabwe (Z). Objectif de production: 132500 alevins de 2 g (établi d'après WRIGHT et KENMUIR, 1981) (en 1981: 1$US = 0,78$Z).
|
+ Coûts de construction: | |||
|
- Unité de reproduction: |
| ||
|
· caractéristiques: |
| ||
|
|
5 cycles de reproduction de 30 j/an, soit 5 groupes de larves |
| |
|
|
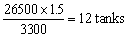
26500 larves par groupe, en considérant une mortalité de 5.7 % |
| |
|
|
300 larves//cycle, soit 1500 larves/an. |
| |
|
· Nombre de tanks requis: 12 |
| ||
|
· Marge de sécurité pour imprévus, expansions et élevage des futurs géniteurs: 12 tanks, soit 24 tanks au total. |
| ||
|
· Coûts de construction des tanks: |
2974 $Z | ||
|
· Coûts d'aménagements: conduite, grille, pompe: |
1051 $Z | ||
|
1051$ Z |
| ||
|
· Total: |
4025 $Z | ||
|
- Unité d'alevinage: |
| ||
|
· Caractéristiques: |
| ||
|
|
durée d'élevage (jusqu'à 2g): 40j. (~ 1.5 × la durée d'un cycle de reproduction). |
| |
|
|
densité de stockage: 3300 larves/tank de 0.93 m3 (1.85 × 1.23 × 0.41m) |
| |
|
· Nombre de tanks requis: |
| ||
|
· Imprévus, expansions,...: 8 tanks |
| ||
|
· Soit un total de 20 tanks |
| ||
|
· Coûts de construction des tanks: |
908 $Z | ||
|
· Coûts d'aménagements: |
| ||
|
|
sol, conduite, drainage,...: |
2800 $Z | |
|
|
filtre, matériel, pompe, ozonateur: |
2400 $Z | |
|
· Total: |
6108 $Z | ||
|
TOTAL des coûts de construction (unités de reproduction et d'alevinage) |
10133 $Z | ||
|
+ Coût de fonctionnement | |||
|
· Caractéristiques: |
| ||
|
|
- 24 tanks de reproduction + 20 tanks d'alevinage |
| |
|
|
|
Période de reproduction: 170 j/an |
|
|
|
|
Période d'alevinage: 160 j/an |
|
|
|
- équivalent 1 personne 7 mois/an à 37.5 $/mois |
| |
|
· Personnel: |
262.5 $Z | ||
|
· Alimentation: |
| ||
|
|
géniteurs: |
200.9 $Z | |
|
|
alevins: |
190.8 $Z | |
|
|
total: |
391.7 $Z | |
|
· Entretien et réparation: |
546 $Z | ||
|
· Pompage (électricité): |
94.9 $Z | ||
|
· Traitement (formol): |
212.5 $Z | ||
|
· Autres: |
150 $Z | ||
|
· Total des coûts de fonctionnement: |
1648.4 $Z | ||
|
· Productions de juvéniles (2g): |
132500 $Z | ||
|
· Coûts de production du juvénile (hors amortissement): |
0.012 $Z | ||
Annexe 2.6. Traitements curatifs des tilapias (L. DE BACKER, com. pers.) Les doses indiquées rélèrent uniquement aux substances actives présentes dans les produits commercialisés.
|
Médicaments antibactériens (contre Aeromonas, Pseudomonas) | ||
|
Thérapeutiques d'attente: | ||
|
|
Oxytétracycline à 80 mg/kg de poids vif par jour dans la nourriture | |
|
|
Sulfaméthazine à 200 mg/kg de poids vif par jour dans la nourriture | |
|
Autres thérapeutiques: | ||
|
|
Néomycine (sulfate) à 100 mg/l d'eau. Bain pendant au moins 2×24 h | |
|
|
Chloramphénicol à 80 mg/kg de poids vif par jour dans la nourriture | |
|
|
ou | |
|
|
sous forme injectable (Chloromycétine) injection intrapéritonéale: 10 mg/kg de poids vif. | |
|
La durée du traitement aintibactérien se prolonge jusqu'à disparition complète des symptômes c'est-à-dire pendant environ 6 à 8 jours. | ||
|
Thérapeutiques anti-ectoparasitaires | ||
|
- Contre protozoaires ciliés (Trichodina, Ichtyophtirius, Chillodonella): | ||
|
|
Formaline 25 ppm. Bain de 1 heure - répéter après 2 à 3 jours | |
|
|
Vert de malachite (sous forme d'oxalate et exempt de Zn) | |
|
|
|
3.68 g dans 1 litre de formaline (= formol à 40%); |
|
|
|
de ce mélange mettre 1 ml/40 l d'eau pour un bain de 1 à 2 h - répéter après 2 à 3 jours |
|
|
|
ou ± 0.5 à 0.7 ml/100 l d'eau pour un traitement prolongé de 2 à 3 jours. |
|
|
|
Chlorure de sodium (sel de cuisine) 1 à 3% dans l'eau pendant 30 minutes à 1 h, ou 0.2% pendant 3 jours. |
|
- Contre protozoaires flagellés (Costia): | ||
|
|
Acriflavine HCL 5 ppm, bain de 48h. | |
|
- Contre trématodes et crustacés (Dactylogyrus, Gyrodactylus, Argulus, larves de Lernea): | ||
|
|
Néguvon 0.1 à 0.25 ppm, bain plusieurs jours | |
|
|
Bromex 0.1 à 0.25 ppm, bain plusieurs jours | |
|
Thérapeutiques anti-endoparasitaires | ||
|
- Contre cestodes intestinaux: | ||
|
|
Niclosamide: 50 à 100 mg/kg de poids vif pendant 1 à 3 jours - supplémenter l'aliment à 1% avec ce produit et nourrir les poissons à 1% de leur poids vif. | |
|
- Contre nématodes intestinaux: | ||
|
|
Pyrantel tartrate: 30 à 40 mg/kg de poids vif dans la nourriture pendant quelques jours. | |
|
Thérapie contre mycoses externes (Saprolegnia): | ||
|
Vert de malachite | ||
|
|
1 ppm, bain de 1 h. | |
|
|
2 ppm, bain de 1 h. pour traitement préventif des oeufs. | |