Species: Dentex angolensis
WESTERN SIERRA LEONE
Depth: 100–200 m
| LENGTH (cm) | Males No specimens | % | Females No specimens | % | Juveniles No specimens | % |
|---|---|---|---|---|---|---|
| 1 | 0 | 0.00 | 0 | 0.00 | 0 | 0 |
| 2 | 0 | 0.00 | 0 | 0.00 | 0 | 0 |
| 3 | 0 | 0.00 | 0 | 0.00 | 0 | 0 |
| 4 | 0 | 0.00 | 0 | 0.00 | 0 | 0 |
| 5 | 0 | 0.00 | 0 | 0.00 | 0 | 0 |
| 6 | 0 | 0.00 | 0 | 0.00 | 0 | 0 |
| 7 | 0 | 0.00 | 0 | 0.00 | 1 | 14.29 |
| 8 | 0 | 0.00 | 0 | 0.00 | 0 | 0 |
| 9 | 0 | 0.00 | 0 | 0.00 | 3 | 42.86 |
| 10 | 0 | 0.00 | 3 | 0.95 | 3 | 42.86 |
| 11 | 0 | 0.00 | 0 | 0.00 | 0 | 0 |
| 12 | 0 | 0.00 | 0 | 0.00 | 0 | 0 |
| 13 | 0 | 0.00 | 30 | 9.49 | 0 | 0 |
| 14 | 0 | 0.00 | 21 | 6.65 | 0 | 0 |
| 15 | 0 | 0.00 | 47 | 14.87 | 0 | 0 |
| 16 | 0 | 0.00 | 75 | 23.73 | 0 | 0 |
| 17 | 3 | 3.00 | 59 | 18.67 | 0 | 0 |
| 18 | 0 | 0.00 | 25 | 7.91 | 0 | 0 |
| 19 | 18 | 18.00 | 24 | 7.59 | 0 | 0 |
| 20 | 21 | 21.00 | 17 | 5.38 | 0 | 0 |
| 21 | 28 | 28.00 | 14 | 4.43 | 0 | 0 |
| 22 | 14 | 14.00 | 1 | 0.32 | 0 | 0 |
| 23 | 7 | 7.00 | 0 | 0.00 | 0 | 0 |
| 24 | 8 | 8.00 | 0 | 0.00 | 0 | 0 |
| 25 | 1 | 1.00 | 0 | 0.00 | 0 | 0 |
| 26 | 0 | 0.00 | 0 | 0.00 | 0 | 0 |
| 27 | 0 | 0.00 | 0 | 0.00 | 0 | 0 |
| 28 | 0 | 0.00 | 0 | 0.00 | 0 | 0 |
| 29 | 0 | 0.00 | 0 | 0.00 | 0 | 0 |
| 30 | 0 | 0.00 | 0 | 0.00 | 0 | 0 |
| TOTAL SPECIMENS | 100 | 100 | 316 | 100 | 7 | 100 |
| TOTAL WEIGHT (g) | 14335 | 27781 | 169 | |||
LENGTH DISTRIBUTIONS
Species: Dentex angolensis
WESTERN SIERRA LEONE
Depth: 100–200 m
| LENGTH (cm) | Males No specimens | % | Females No specimens | % | Juveniles No specimens | % |
|---|---|---|---|---|---|---|
| 1 | 0 | 0.00 | 0 | 0.00 | 0 | 0 |
| 2 | 0 | 0.00 | 0 | 0.00 | 0 | 0 |
| 3 | 0 | 0.00 | 0 | 0.00 | 0 | 0 |
| 4 | 0 | 0.00 | 0 | 0.00 | 0 | 0 |
| 5 | 0 | 0.00 | 0 | 0.00 | 0 | 0 |
| 6 | 0 | 0.00 | 0 | 0.00 | 0 | 0 |
| 7 | 0 | 0.00 | 0 | 0.00 | 0 | 0 |
| 8 | 0 | 0.00 | 0 | 0.00 | 0 | 0 |
| 9 | 0 | 0.00 | 0 | 0.00 | 0 | 0 |
| 10 | 0 | 0.00 | 0 | 0.00 | 0 | 0 |
| 11 | 0 | 0.00 | 0 | 0.00 | 0 | 0 |
| 12 | 0 | 0.00 | 0 | 0.00 | 0 | 0 |
| 13 | 0 | 0.00 | 0 | 0.00 | 0 | 0 |
| 14 | 0 | 0.00 | 12 | 3.07 | 0 | 0 |
| 15 | 0 | 0.00 | 24 | 6.14 | 0 | 0 |
| 16 | 6 | 13.33 | 6 | 1.53 | 0 | 0 |
| 17 | 0 | 0.00 | 91 | 23.27 | 0 | 0 |
| 18 | 0 | 0.00 | 81 | 20.72 | 0 | 0 |
| 19 | 6 | 13.33 | 81 | 20.72 | 0 | 0 |
| 20 | 6 | 13.33 | 63 | 16.11 | 0 | 0 |
| 21 | 6 | 13.33 | 9 | 2.30 | 0 | 0 |
| 22 | 6 | 13.33 | 15 | 3.84 | 0 | 0 |
| 23 | 15 | 33.33 | 9 | 2.30 | 0 | 0 |
| 24 | 0 | 0.00 | 0 | 0.00 | 0 | 0 |
| 25 | 0 | 0.00 | 0 | 0.00 | 0 | 0 |
| 26 | 0 | 0.00 | 0 | 0.00 | 0 | 0 |
| 27 | 0 | 0.00 | 0 | 0.00 | 0 | 0 |
| 28 | 0 | 0.00 | 0 | 0.00 | 0 | 0 |
| 29 | 0 | 0.00 | 0 | 0.00 | 0 | 0 |
| 30 | 0 | 0.00 | 0 | 0.00 | 0 | 0 |
| TOTAL SPECIMENS | 45 | 100 | 391 | 100 | 0 | 0 |
| TOTAL WEIGHT (g) | 10235 | 59870 | ||||
Species: Dentex angolensis
WESTERN SIERRA LEONE
Depth: 50–200 m
| LENGTH (cm) | Males - No specimens | % | Females No specimens | % | Juveniles No specimens | % |
|---|---|---|---|---|---|---|
| 1 | 0 | 0.00 | 0 | 0.00 | 0 | 0.00 |
| 2 | 0 | 0.00 | 0 | 0.00 | 0 | 0.00 |
| 3 | 0 | 0.00 | 0 | 0.00 | 0 | 0.00 |
| 4 | 0 | 0.00 | 0 | 0.00 | 0 | 0.00 |
| 5 | 0 | 0.00 | 0 | 0.00 | 0 | 0.00 |
| 6 | 0 | 0.00 | 0 | 0.00 | 0 | 0.00 |
| 7 | 0 | 0.00 | 0 | 0.00 | 1 | 14.29 |
| 8 | 0 | 0.00 | 0 | 0.00 | 0 | 0.00 |
| 9 | 0 | 0.00 | 0 | 0.00 | 3 | 42.86 |
| 10 | 0 | 0.00 | 3 | 0.43 | 3 | 42.86 |
| 11 | 0 | 0.00 | 0 | 0.00 | 0 | 0.00 |
| 12 | 0 | 0.00 | 0 | 0.00 | 0 | 0.00 |
| 13 | 0 | 0.00 | 30 | 4.30 | 0 | 0.00 |
| 14 | 0 | 0.00 | 33 | 4.73 | 0 | 0.00 |
| 15 | 0 | 0.00 | 71 | 10.17 | 0 | 0.00 |
| 16 | 0 | 0.00 | 81 | 11.60 | 0 | 0.00 |
| 17 | 3 | 2.16 | 150 | 21.49 | 0 | 0.00 |
| 18 | 0 | 0.00 | 106 | 15.19 | 0 | 0.00 |
| 19 | 24 | 17.27 | 105 | 15.04 | 0 | 0.00 |
| 20 | 27 | 19.42 | 80 | 11.46 | 0 | 0.00 |
| 21 | 34 | 24.46 | 23 | 3.30 | 0 | 0.00 |
| 22 | 20 | 14.39 | 16 | 2.29 | 0 | 0.00 |
| 23 | 22 | 15.83 | 0 | 0.00 | 0 | 0.00 |
| 24 | 8 | 5.76 | 0 | 0.00 | 0 | 0.00 |
| 25 | 1 | 0.72 | 0 | 0.00 | 0 | 0.00 |
| 26 | 0 | 0.00 | 0 | 0.00 | 0 | 0.00 |
| 27 | 0 | 0.00 | 0 | 0.00 | 0 | 0.00 |
| 28 | 0 | 0.00 | 0 | 0.00 | 0 | 0.00 |
| 29 | 0 | 0.00 | 0 | 0.00 | 0 | 0.00 |
| 30 | 0 | 0.00 | 0 | 0.00 | 0 | 0.00 |
| Total specimens | 139 | 100 | 698 | 100 | 7 | 100 |
| Total weight (g) | 24570 | 87651 | 169 | |||
Species: Dentex angolensis
EASTERN SIERRA LEONE
Depth: 50–100 m
| LENGTH (cm) | Males - No specimens | % | Females No specimens | % | Juveniles No specimens | % |
|---|---|---|---|---|---|---|
| 1 | 0 | 0.00 | 0 | 0.00 | 0 | 0.00 |
| 2 | 0 | 0.00 | 0 | 0.00 | 0 | 0.00 |
| 3 | 0 | 0.00 | 0 | 0.00 | 0 | 0.00 |
| 4 | 0 | 0.00 | 0 | 0.00 | 0 | 0.00 |
| 5 | 0 | 0.00 | 0 | 0.00 | 0 | 0.00 |
| 6 | 0 | 0.00 | 0 | 0.00 | 0 | 0.00 |
| 7 | 0 | 0.00 | 0 | 0.00 | 0 | 0.00 |
| 8 | 0 | 0.00 | 0 | 0.00 | 0 | 0.00 |
| 9 | 0 | 0.00 | 0 | 0.00 | 49 | 25.00 |
| 10 | 0 | 0.00 | 0 | 0.00 | 98 | 50.00 |
| 11 | 0 | 0.00 | 0 | 0.00 | 49 | 25.00 |
| 12 | 0 | 0.00 | 0 | 0.00 | 0 | 0.00 |
| 13 | 0 | 0.00 | 0 | 0.00 | 0 | 0.00 |
| 14 | 0 | 0.00 | 147 | 21.43 | 0 | 0.00 |
| 15 | 0 | 0.00 | 98 | 14.29 | 0 | 0.00 |
| 16 | 0 | 0.00 | 147 | 21.43 | 0 | 0.00 |
| 17 | 49 | 16.67 | 147 | 21.43 | 0 | 0.00 |
| 18 | 0 | 0.00 | 49 | 7.14 | 0 | 0.00 |
| 19 | 98 | 33.33 | 49 | 7.14 | 0 | 0.00 |
| 20 | 0 | 0.00 | 49 | 7.14 | 0 | 0.00 |
| 21 | 49 | 16.67 | 0 | 0.00 | 0 | 0.00 |
| 22 | 98 | 33.33 | 0 | 0.00 | 0 | 0.00 |
| 23 | 0 | 0.00 | 0 | 0.00 | 0 | 0.00 |
| 24 | 0 | 0.00 | 0 | 0.00 | 0 | 0.0.00 |
| 25 | 0 | 0.00 | 0 | 0.00 | 0 | 0.00 |
| 26 | 0 | 0.00 | 0 | 0.00 | 0 | 0.00 |
| 27 | 0 | 0.00 | 0 | 0.00 | 0 | 0.00 |
| 28 | 0 | 0.00 | 0 | 0.00 | 0 | 0.00 |
| 29 | 0 | 0.00 | 0 | 0.00 | 0 | 0.00 |
| 30 | 0 | 0.00 | 0 | 0.00 | 0 | 0.00 |
| Total specimens | 294 | 100 | 686 | 100 | 196 | 100 |
| Total weight (g) | 53401 | 69333 | 4716 | |||
Species: Dentex angolensis
EASTERN SIERRA LEONE
Depth: 100–200 m
| LENGTH (cm) | Males - No specimens | % | Females No specimens | % | Juveniles No specimens | % |
|---|---|---|---|---|---|---|
| 1 | 0 | 0.00 | 0 | 0.00 | 0 | 0.00 |
| 2 | 0 | 0.00 | 0 | 0.00 | 0 | 0.00 |
| 3 | 0 | 0.00 | 0 | 0.00 | 0 | 0.00 |
| 4 | 0 | 0.00 | 0 | 0.00 | 0 | 0.00 |
| 5 | 0 | 0.00 | 0 | 0.00 | 0 | 0.00 |
| 6 | 0 | 0.00 | 0 | 0.00 | 0 | 0.00 |
| 7 | 0 | 0.00 | 0 | 0.00 | 0 | 0.00 |
| 8 | 0 | 0.00 | 0 | 0.00 | 0 | 0.00 |
| 9 | 0 | 0.00 | 0 | 0.00 | 0 | 0.00 |
| 10 | 0 | 0.00 | 0 | 0.00 | 0 | 0.00 |
| 11 | 0 | 0.00 | 0 | 0.00 | 0 | 0.00 |
| 12 | 0 | 0.00 | 9 | 1.93 | 0 | 0.00 |
| 13 | 0 | 0.00 | 27 | 5.78 | 0 | 0.00 |
| 14 | 0 | 0.00 | 44 | 9.42 | 0 | 0.00 |
| 15 | 0 | 0.00 | 61 | 13.06 | 0 | 0.00 |
| 16 | 0 | 0.00 | 77 | 16.49 | 0 | 0.00 |
| 17 | 0 | 0.00 | 68 | 14.56 | 0 | 0.00 |
| 18 | 0 | 0.00 | 37 | 7.92 | 0 | 0.00 |
| 19 | 0 | 0.00 | 47 | 10.06 | 0 | 0.00 |
| 20 | 0 | 0.00 | 42 | 8.99 | 0 | 0.00 |
| 21 | 3 | 7.14 | 25 | 5.35 | 0 | 0.00 |
| 22 | 22 | 52.38 | 17 | 3.64 | 0 | 0.00 |
| 23 | 14 | 33.33 | 10 | 2.14 | 0 | 0.00 |
| 24 | 3 | 7.14 | 3 | 0.64 | 0 | 0.00 |
| 25 | 0 | 0.00 | 0 | 0.00 | 0 | 0.00 |
| 26 | 0 | 0.00 | 0 | 0.00 | 0 | 0.00 |
| 27 | 0 | 0.00 | 0 | 0.00 | 0 | 0.00 |
| 28 | 0 | 0.00 | 0 | 0.00 | 0 | 0.00 |
| 29 | 0 | 0.00 | 0 | 0.00 | 0 | 0.00 |
| 30 | 0 | 0.00 | 0 | 0.00 | 0 | 0.00 |
| Total specimens | 42 | 100 | 467 | 100 | 0 | 0 |
| Total weight (g) | 11021 | 57432 | ||||
Species: Dentex angolensis
EASTERN SIERRA LEONE
Depth: 50–400 m
| LENGTH (cm) | Males - No specimens | % | Females No specimens | % | Juveniles No specimens | % |
|---|---|---|---|---|---|---|
| 1 | 0 | 0.00 | 0 | 0.00 | 0 | 0.00 |
| 2 | 0 | 0.00 | 0 | 0.00 | 0 | 0.00 |
| 3 | 0 | 0.00 | 0 | 0.00 | 0 | 0.00 |
| 4 | 0 | 0.00 | 0 | 0.00 | 0 | 0.00 |
| 5 | 0 | 0.00 | 0 | 0.00 | 0 | 0.00 |
| 6 | 0 | 0.00 | 0 | 0.00 | 0 | 0.00 |
| 7 | 0 | 0.00 | 0 | 0.00 | 1 | 14.29 |
| 8 | 0 | 0.00 | 0 | 0.00 | 0 | 0.00 |
| 9 | 0 | 0.00 | 0 | 0.00 | 3 | 42.86 |
| 10 | 0 | 0.00 | 3 | 0.42 | 3 | 42.86 |
| 11 | 0 | 0.00 | 0 | 0.00 | 0 | 0.00 |
| 12 | 0 | 0.00 | 0 | 0.00 | 0 | 0.00 |
| 13 | 0 | 0.00 | 30 | 4.24 | 0 | 0.00 |
| 14 | 0 | 0.00 | 33 | 4.67 | 0 | 0.00 |
| 15 | 0 | 0.00 | 71 | 10.04 | 0 | 0.00 |
| 16 | 6 | 4.14 | 81 | 11.46 | 0 | 0.00 |
| 17 | 3 | 2.07 | 150 | 21.22 | 0 | 0.00 |
| 18 | 0 | 0.00 | 106 | 14.99 | 0 | 0.00 |
| 19 | 24 | 16.55 | 105 | 14.85 | 0 | 0.00 |
| 20 | 27 | 18.62 | 80 | 11.32 | 0 | 0.00 |
| 21 | 34 | 23.45 | 23 | 3.25 | 0 | 0.00 |
| 22 | 20 | 13.79 | 16 | 2.26 | 0 | 0.00 |
| 23 | 22 | 15.17 | 9 | 1.27 | 0 | 0.00 |
| 24 | 8 | 5.52 | 0 | 0.00 | 0 | 0.00 |
| 25 | 1 | 0.69 | 0 | 0.00 | 0 | 0.00 |
| 26 | 0 | 0.00 | 0 | 0.00 | 0 | 0.00 |
| 27 | 0 | 0.00 | 0 | 0.00 | 0 | 0.00 |
| 28 | 0 | 0.00 | 0 | 0.00 | 0 | 0.00 |
| 29 | 0 | 0.00 | 0 | 0.00 | 0 | 0.00 |
| 30 | 0 | 0.00 | 0 | 0.00 | 0 | 0.00 |
| Total specimens | 145 | 100 | 707 | 100 | 7 | 100 |
| Total weight(g) | 24570 | 87651 | 169 | |||
Species: Dentex angolensis
LIBERIA
Depth: 50–100 m
| LENGTH (cm) | Males - No specimens | % | Females No specimens | % | Juveniles No specimens | % |
|---|---|---|---|---|---|---|
| 1 | 0 | 0.00 | 0 | 0.00 | 0 | 0.00 |
| 2 | 0 | 0.00 | 0 | 0.00 | 0 | 0.00 |
| 3 | 0 | 0.00 | 0 | 0.00 | 0 | 0.00 |
| 4 | 0 | 0.00 | 0 | 0.00 | 0 | 0.00 |
| 5 | 0 | 0.00 | 0 | 0.00 | 17 | 6.90 |
| 6 | 0 | 0.00 | 0 | 0.00 | 0 | 0.00 |
| 7 | 0 | 0.00 | 0 | 0.00 | 12 | 4.83 |
| 8 | 0 | 0.00 | 0 | 0.00 | 35 | 14.48 |
| 9 | 0 | 0.00 | 5 | 0.56 | 73 | 30.76 |
| 10 | 0 | 0.00 | 36 | 3.73 | 98 | 40.42 |
| 11 | 0 | 0.00 | 9 | 0.85 | 7 | 2.53 |
| 12 | 0 | 0.00 | 42 | 4.28 | 0 | 0.00 |
| 13 | 0 | 0.00 | 135 | 13.79 | 0 | 0.00 |
| 14 | 0 | 0.00 | 220 | 22.28 | 0 | 0.00 |
| 15 | 0 | 0.00 | 158 | 16.05 | 0 | 0.00 |
| 16 | 5 | 1.84 | 74 | 7.60 | 0 | 0.00 |
| 17 | 0 | 0.00 | 116 | 11.81 | 0 | 0.00 |
| 18 | 13 | 4.21 | 110 | 11.18 | 0 | 0.00 |
| 19 | 5 | 1.84 | 64 | 6.59 | 0 | 0.00 |
| 20 | 59 | 19.41 | 13 | 1.33 | 0 | 0.00 |
| 21 | 86 | 28.74 | 0 | 0.00 | 0 | 0.00 |
| 22 | 62 | 20.88 | 0 | 0.00 | 0 | 0.00 |
| 23 | 50 | 16.49 | 0 | 0.00 | 0 | 0.00 |
| 24 | 19 | 6.48 | 0 | 0.00 | 0 | 0.00 |
| 25 | 0 | 0.00 | 0 | 0.00 | 0 | 0.00 |
| 26 | 0 | 0.00 | 0 | 0.00 | 0 | 0.00 |
| 27 | 0 | 0.00 | 0 | 0.00 | 0 | 0.00 |
| 28 | 0 | 0.00 | 0 | 0.00 | 0 | 0.00 |
| 29 | 0 | 0.00 | 0 | 0.00 | 0 | 0.00 |
| 30 | 0 | 0.00 | 0 | 0.00 | 0 | 0.00 |
| Total specimens | 299 | 100 | 982 | 100 | 242 | 100 |
| Total weight(g) | 65267 | 81963 | 4554 | |||
Species: Dentex angolensis
LIBERIA
Depth: 100–200 m
| LENGTH (cm) | Males - No specimens | % | Females No specimens | % | Juveniles No specimens | % |
|---|---|---|---|---|---|---|
| 1 | 0 | 0.00 | 0 | 0.00 | 0 | 0.00 |
| 2 | 0 | 0.00 | 0 | 0.00 | 0 | 0.00 |
| 3 | 0 | 0.00 | 0 | 0.00 | 0 | 0.00 |
| 4 | 0 | 0.00 | 0 | 0.00 | 0 | 0.00 |
| 5 | 0 | 0.00 | 0 | 0.00 | 0 | 0.00 |
| 6 | 0 | 0.00 | 0 | 0.00 | 0 | 0.00 |
| 7 | 0 | 0.00 | 0 | 0.00 | 0 | 0.00 |
| 8 | 0 | 0.00 | 0 | 0.00 | 0 | 0.00 |
| 9 | 0 | 0.00 | 0 | 0.00 | 11 | 100.00 |
| 10 | 0 | 0.00 | 8 | 0.43 | 0 | 0.00 |
| 11 | 0 | 0.00 | 15 | 0.80 | 0 | 0.00 |
| 12 | 0 | 0.00 | 80 | 4.28 | 0 | 0.00 |
| 13 | 0 | 0.00 | 202 | 10.82 | 0 | 0.00 |
| 14 | 0 | 0.00 | 362 | 19.39 | 0 | 0.00 |
| 15 | 0 | 0.00 | 333 | 17.84 | 0 | 0.00 |
| 16 | 0 | 0.00 | 231 | 12.37 | 0 | 0.00 |
| 17 | 0 | 0.00 | 148 | 7.93 | 0 | 0.00 |
| 18 | 9 | 10.59 | 165 | 8.84 | 0 | 0.00 |
| 19 | 0 | 0.00 | 75 | 4.02 | 0 | 0.00 |
| 20 | 0 | 0.00 | 94 | 5.03 | 0 | 0.00 |
| 21 | 5 | 5.88 | 73 | 3.91 | 0 | 0.00 |
| 22 | 8 | 9.41 | 72 | 3.86 | 0 | 0.00 |
| 23 | 32 | 37.65 | 0 | 0.00 | 0 | 0.00 |
| 24 | 15 | 17.65 | 0 | 0.00 | 0 | 0.00 |
| 25 | 8 | 9.41 | 8 | 0.40 | 0 | 0.00 |
| 26 | 8 | 9.41 | 0 | 0.00 | 0 | 0.00 |
| 27 | 0 | 0.00 | 0 | 0.00 | 0 | 0.00 |
| 28 | 0 | 0.00 | 0 | 0.00 | 0 | 0.00 |
| 29 | 0 | 0.00 | 0 | 0.00 | 0 | 0.00 |
| 30 | 0 | 0.00 | 0 | 0.00 | 0 | 0.00 |
| Total specimens | 85 | 100 | 1866 | 100 | 11 | 100 |
| Total weight(g) | 22475 | 183509 | 206 | |||
Species: Dentex angolensis
LIBERIA
Depth: 200–400 m
| LENGTH (cm) | Males - No specimens | % | Females No specimens | % | Juveniles No specimens | % |
|---|---|---|---|---|---|---|
| 1 | 0 | 0.00 | 0 | 0.00 | 0 | 0.00 |
| 2 | 0 | 0.00 | 0 | 0.00 | 0 | 0.00 |
| 3 | 0 | 0.00 | 0 | 0.00 | 0 | 0.00 |
| 4 | 0 | 0.00 | 0 | 0.00 | 0 | 0.00 |
| 5 | 0 | 0.00 | 0 | 0.00 | 0 | 0.00 |
| 6 | 0 | 0.00 | 0 | 0.00 | 0 | 0.00 |
| 7 | 0 | 0.00 | 0 | 0.00 | 0 | 0.00 |
| 8 | 0 | 0.00 | 0 | 0.00 | 0 | 0.00 |
| 9 | 0 | 0.00 | 0 | 0.00 | 0 | 0.00 |
| 10 | 0 | 0.00 | 0 | 0.00 | 0 | 0.00 |
| 11 | 0 | 0.00 | 0 | 0.00 | 0 | 0.00 |
| 12 | 0 | 0.00 | 0 | 0.00 | 0 | 0.00 |
| 13 | 0 | 0.00 | 0 | 0.00 | 0 | 0.00 |
| 14 | 0 | 0.00 | 0 | 0.00 | 0 | 0.00 |
| 15 | 0 | 0.00 | 0 | 0.00 | 0 | 0.00 |
| 16 | 0 | 0.00 | 0 | 0.00 | 0 | 0.00 |
| 17 | 0 | 0.00 | 0 | 0.00 | 0 | 0.00 |
| 18 | 0 | 0.00 | 0 | 0.00 | 0 | 0.00 |
| 19 | 0 | 0.00 | 0 | 0.00 | 0 | 0.00 |
| 20 | 0 | 0.00 | 0 | 0.00 | 0 | 0.00 |
| 21 | 0 | 0.00 | 0 | 0.00 | 0 | 0.00 |
| 22 | 0 | 0.00 | 0 | 0.00 | 0 | 0.00 |
| 23 | 8 | 16.67 | 9 | 7.89 | 0 | 0.00 |
| 24 | 8 | 16.67 | 16 | 14.04 | 0 | 0.00 |
| 25 | 18 | 37.50 | 27 | 23.68 | 0 | 0.00 |
| 26 | 2 | 4.17 | 46 | 40.35 | 0 | 0.00 |
| 27 | 10 | 20.83 | 13 | 11.40 | 0 | 0.00 |
| 28 | 1 | 2.08 | 2 | 1.75 | 0 | 0.00 |
| 29 | 1 | 2.08 | 1 | 0.88 | 0 | 0.00 |
| 30 | 0 | 0.00 | 0 | 0.00 | 0 | 0.00 |
| Total specimens | 48 | 100 | 114 | 100 | 0 | 0 |
| Total weight(g) | 16489 | 45971 | ||||
Species: Dentex angolensis
LIBERIA
Depth: 20–400 m
| LENGTH (cm) | Males - No specimens | % | Females No specimens | % | Juveniles No specimens | % |
|---|---|---|---|---|---|---|
| 1 | 0 | 0.00 | 0 | 0.00 | 0 | 0.00 |
| 2 | 0 | 0.00 | 0 | 0.00 | 0 | 0.00 |
| 3 | 0 | 0.00 | 0 | 0.00 | 0 | 0.00 |
| 4 | 0 | 0.00 | 0 | 0.00 | 0 | 0.00 |
| 5 | 0 | 0.00 | 0 | 0.00 | 17 | 6.67 |
| 6 | 0 | 0.00 | 0 | 0.00 | 0 | 0.00 |
| 7 | 0 | 0.00 | 0 | 0.00 | 12 | 4.71 |
| 8 | 0 | 0.00 | 0 | 0.00 | 35 | 13.73 |
| 9 | 0 | 0.00 | 5 | 0.17 | 85 | 33.33 |
| 10 | 0 | 0.00 | 45 | 1.50 | 99 | 38.82 |
| 11 | 0 | 0.00 | 24 | 0.80 | 7 | 2.75 |
| 12 | 0 | 0.00 | 124 | 4.13 | 0 | 0.00 |
| 13 | 0 | 0.00 | 342 | 11.39 | 0 | 0.00 |
| 14 | 0 | 0.00 | 590 | 19.65 | 0 | 0.00 |
| 15 | 0 | 0.00 | 498 | 16.58 | 0 | 0.00 |
| 16 | 5 | 1.14 | 309 | 10.29 | 0 | 0.00 |
| 17 | 0 | 0.00 | 268 | 8.92 | 0 | 0.00 |
| 18 | 22 | 5.03 | 279 | 9.29 | 0 | 0.00 |
| 19 | 5 | 1.14 | 141 | 4.70 | 0 | 0.00 |
| 20 | 60 | 13.73 | 108 | 3.60 | 0 | 0.00 |
| 21 | 92 | 21.05 | 74 | 2.46 | 0 | 0.00 |
| 22 | 71 | 16.25 | 73 | 2.43 | 0 | 0.00 |
| 23 | 91 | 20.82 | 9 | 0.30 | 0 | 0.00 |
| 24 | 43 | 9.84 | 16 | 0.53 | 0 | 0.00 |
| 25 | 26 | 5.95 | 35 | 1.17 | 0 | 0.00 |
| 26 | 10 | 2.29 | 47 | 1.57 | 0 | 0.00 |
| 27 | 10 | 2.29 | 13 | 0.43 | 0 | 0.00 |
| 28 | 1 | 0.23 | 2 | 0.07 | 0 | 0.00 |
| 29 | 1 | 0.23 | 1 | 0.03 | 0 | 0.00 |
| 30 | 0 | 0.00 | 0 | 0.00 | 0 | 0.00 |
| Total specimens | 437 | 100 | 3003 | 100 | 255 | 100 |
| Total weight(g) | 105640 | 315684 | 4815 | |||
Species: Dentex angolensis
CÔTE D'IVOIRE
Depth: 50–100 m
| LENGTH (cm) | Males - No specimens | % | Females No specimens | % | Juveniles No specimens | % |
|---|---|---|---|---|---|---|
| 1 | 0 | 0.00 | 0 | 0.00 | 0 | 0.00 |
| 2 | 0 | 0.00 | 0 | 0.00 | 0 | 0.00 |
| 3 | 0 | 0.00 | 0 | 0.00 | 0 | 0.00 |
| 4 | 0 | 0.00 | 0 | 0.00 | 0 | 0.00 |
| 5 | 0 | 0.00 | 0 | 0.00 | 0 | 0.00 |
| 6 | 0 | 0.00 | 0 | 0.00 | 0 | 0.00 |
| 7 | 0 | 0.00 | 0 | 0.00 | 0 | 0.00 |
| 8 | 0 | 0.00 | 0 | 0.00 | 0 | 0.00 |
| 9 | 0 | 0.00 | 0 | 0.00 | 0 | 0.00 |
| 10 | 0 | 0.00 | 0 | 0.00 | 0 | 0.00 |
| 11 | 0 | 0.00 | 96 | 1.76 | 0 | 0.00 |
| 12 | 0 | 0.00 | 0 | 0.00 | 0 | 0.00 |
| 13 | 0 | 0.00 | 53 | 0.97 | 0 | 0.00 |
| 14 | 0 | 0.00 | 459 | 8.44 | 0 | 0.00 |
| 15 | 0 | 0.00 | 1746 | 32.10 | 0 | 0.00 |
| 16 | 0 | 0.00 | 1165 | 21.42 | 0 | 0.00 |
| 17 | 0 | 0.00 | 862 | 15.85 | 0 | 0.00 |
| 18 | 261 | 21.75 | 924 | 16.99 | 0 | 0.00 |
| 19 | 387 | 32.25 | 135 | 2.48 | 0 | 0.00 |
| 20 | 198 | 16.50 | 0 | 0.00 | 0 | 0.00 |
| 21 | 195 | 16.25 | 0 | 0.00 | 0 | 0.00 |
| 22 | 53 | 4.42 | 0 | 0.00 | 0 | 0.00 |
| 23 | 106 | 8.83 | 0 | 0.00 | 0 | 0.00 |
| 24 | 0 | 0.00 | 0 | 0.00 | 0 | 0.00 |
| 25 | 0 | 0.00 | 0 | 0.00 | 0 | 0.00 |
| 26 | 0 | 0.00 | 0 | 0.00 | 0 | 0.00 |
| 27 | 0 | 0.00 | 0 | 0.00 | 0 | 0.00 |
| 28 | 0 | 0.00 | 0 | 0.00 | 0 | 0.00 |
| 29 | 0 | 0.00 | 0 | 0.00 | 0 | 0.00 |
| 30 | 0 | 0.00 | 0 | 0.00 | 0 | 0.00 |
| Total specimens | 1200 | 100 | 5440 | 100 | 0 | 0 |
| Total weight(g) | 222378 | 528898 | ||||
Species: Dentex angolensis CÔTE D'IVOIRE
Depth: 20–>100 m
| LENGTH (cm) | Males - No specimens | % | Females No specimens | % | Juveniles No specimens | % |
|---|---|---|---|---|---|---|
| 1 | 0 | 0.00 | 0 | 0.00 | 0 | 0.00 |
| 2 | 0 | 0.00 | 0 | 0.00 | 0 | 0.00 |
| 3 | 0 | 0.00 | 0 | 0.00 | 0 | 0.00 |
| 4 | 0 | 0.00 | 0 | 0.00 | 0 | 0.00 |
| 5 | 0 | 0.00 | 0 | 0.00 | 0 | 0.00 |
| 6 | 0 | 0.00 | 0 | 0.00 | 0 | 0.00 |
| 7 | 0 | 0.00 | 0 | 0.00 | 0 | 0.00 |
| 8 | 0 | 0.00 | 0 | 0.00 | 0 | 0.00 |
| 9 | 0 | 0.00 | 0 | 0.00 | 0 | 0.00 |
| 10 | 0 | 0.00 | 0 | 0.00 | 0 | 0.00 |
| 11 | 0 | 0.00 | 119 | 1.77 | 0 | 0.00 |
| 12 | 0 | 0.00 | 0 | 0.00 | 0 | 0.00 |
| 13 | 0 | 0.00 | 65 | 0.97 | 0 | 0.00 |
| 14 | 0 | 0.00 | 567 | 8.44 | 0 | 0.00 |
| 15 | 0 | 0.00 | 2156 | 32.09 | 0 | 0.00 |
| 16 | 0 | 0.00 | 1439 | 21.42 | 0 | 0.00 |
| 17 | 0 | 0.00 | 1065 | 15.85 | 0 | 0.00 |
| 18 | 322 | 21.73 | 1141 | 16.98 | 0 | 0.00 |
| 19 | 478 | 32.25 | 167 | 2.49 | 0 | 0.00 |
| 20 | 245 | 16.53 | 0 | 0.00 | 0 | 0.00 |
| 21 | 241 | 16.26 | 0 | 0.00 | 0 | 0.00 |
| 22 | 65 | 4.39 | 0 | 0.00 | 0 | 0.00 |
| 23 | 131 | 8.84 | 0 | 0.00 | 0 | 0.00 |
| 24 | 0 | 0.00 | 0 | 0.00 | 0 | 0.00 |
| 25 | 0 | 0.00 | 0 | 0.00 | 0 | 0.00 |
| 26 | 0 | 0.00 | 0 | 0.00 | 0 | 0.00 |
| 27 | 0 | 0.00 | 0 | 0.00 | 0 | 0.00 |
| 28 | 0 | 0.00 | 0 | 0.00 | 0 | 0.00 |
| 29 | 0 | 0.00 | 0 | 0.00 | 0 | 0.00 |
| 30 | 0 | 0.00 | 0 | 0.00 | 0 | 0.00 |
| Total specimens | 1482 | 100 | 6719 | 100 | 0 | 0 |
| Total weight(g) | 274658 | 653239 | ||||
Species: Dentex angolensis
GHANA
Depth: 50–100 m
| LENGTH (cm) | Males - No specimens | % | Females No specimens | % | Juveniles No specimens | % |
|---|---|---|---|---|---|---|
| 1 | 0 | 0.00 | 0 | 0.00 | 0 | 0.00 |
| 2 | 0 | 0.00 | 0 | 0.00 | 0 | 0.00 |
| 3 | 0 | 0.00 | 0 | 0.00 | 0 | 0.00 |
| 4 | 0 | 0.00 | 0 | 0.00 | 0 | 0.00 |
| 5 | 0 | 0.00 | 0 | 0.00 | 0 | 0.00 |
| 6 | 0 | 0.00 | 0 | 0.00 | 0 | 0.00 |
| 7 | 0 | 0.00 | 0 | 0.00 | 0 | 0.00 |
| 8 | 0 | 0.00 | 0 | 0.00 | 0 | 0.00 |
| 9 | 0 | 0.00 | 99 | 39.44 | 0 | 0.00 |
| 10 | 0 | 0.00 | 0 | 0.00 | 0 | 0.00 |
| 11 | 0 | 0.00 | 0 | 0.00 | 0 | 0.00 |
| 12 | 0 | 0.00 | 0 | 0.00 | 0 | 0.00 |
| 13 | 0 | 0.00 | 19 | 7.57 | 0 | 0.00 |
| 14 | 0 | 0.00 | 19 | 7.57 | 0 | 0.00 |
| 15 | 0 | 0.00 | 0 | 0.00 | 0 | 0.00 |
| 16 | 0 | 0.00 | 0 | 0.00 | 0 | 0.00 |
| 17 | 0 | 0.00 | 19 | 7.57 | 0 | 0.00 |
| 18 | 0 | 0.00 | 0 | 0.00 | 0 | 0.00 |
| 19 | 0 | 0.00 | 38 | 15.14 | 0 | 0.00 |
| 20 | 0 | 0.00 | 0 | 0.00 | 0 | 0.00 |
| 21 | 0 | 0.00 | 19 | 7.57 | 0 | 0.00 |
| 22 | 19 | 30.65 | 38 | 15.14 | 0 | 0.00 |
| 23 | 0 | 0.00 | 0 | 0.00 | 0 | 0.00 |
| 24 | 43 | 69.35 | 0 | 0.00 | 0 | 0.00 |
| 25 | 0 | 0.00 | 0 | 0.00 | 0 | 0.00 |
| 26 | 0 | 0.00 | 0 | 0.00 | 0 | 0.00 |
| 27 | 0 | 0.00 | 0 | 0.00 | 0 | 0.00 |
| 28 | 0 | 0.00 | 0 | 0.00 | 0 | 0.00 |
| 29 | 0 | 0.00 | 0 | 0.00 | 0 | 0.00 |
| 30 | 0 | 0.00 | 0 | 0.00 | 0 | 0.00 |
| Total specimens | 62 | 100 | 251 | 100 | 0 | 0 |
| Total weight(g) | 22098 | 20480 | ||||
Species: Dentex angolensis
GHANA
Depth: >100 m
| LENGTH (cm) | Males - No specimens | % | Females No specimens | % | Juveniles No specimens | % |
|---|---|---|---|---|---|---|
| 1 | 0 | 0.00 | 0 | 0.00 | 0 | 0.00 |
| 2 | 0 | 0.00 | 0 | 0.00 | 0 | 0.00 |
| 3 | 0 | 0.00 | 0 | 0.00 | 0 | 0.00 |
| 4 | 0 | 0.00 | 0 | 0.00 | 0 | 0.00 |
| 5 | 0 | 0.00 | 0 | 0.00 | 0 | 0.00 |
| 6 | 0 | 0.00 | 0 | 0.00 | 0 | 0.00 |
| 7 | 0 | 0.00 | 0 | 0.00 | 0 | 0.00 |
| 8 | 0 | 0.00 | 0 | 0.00 | 0 | 0.00 |
| 9 | 0 | 0.00 | 20 | 6.37 | 0 | 0.00 |
| 10 | 0 | 0.00 | 38 | 12.10 | 0 | 0.00 |
| 11 | 0 | 0.00 | 0 | 0.00 | 0 | 0.00 |
| 12 | 0 | 0.00 | 0 | 0.00 | 0 | 0.00 |
| 13 | 0 | 0.00 | 0 | 0.00 | 0 | 0.00 |
| 14 | 0 | 0.00 | 20 | 6.37 | 0 | 0.00 |
| 15 | 0 | 0.00 | 78 | 24.84 | 0 | 0.00 |
| 16 | 0 | 0.00 | 78 | 24.84 | 0 | 0.00 |
| 17 | 0 | 0.00 | 20 | 6.37 | 0 | 0.00 |
| 18 | 0 | 0.00 | 0 | 0.00 | 0 | 0.00 |
| 19 | 0 | 0.00 | 20 | 6.37 | 0 | 0.00 |
| 20 | 0 | 0.00 | 20 | 6.37 | 0 | 0.00 |
| 21 | 38 | 65.52 | 0 | 0.00 | 0 | 0.00 |
| 22 | 20 | 34.48 | 20 | 6.37 | 0 | 0.00 |
| 23 | 0 | 0.00 | 0 | 0.00 | 0 | 0.00 |
| 24 | 0 | 0.00 | 0 | 0.00 | 0 | 0.00 |
| 25 | 0 | 0.00 | 0 | 0.00 | 0 | 0.00 |
| 26 | 0 | 0.00 | 0 | 0.00 | 0 | 0.00 |
| 27 | 0 | 0.00 | 0 | 0.00 | 0 | 0.00 |
| 28 | 0 | 0.00 | 0 | 0.00 | 0 | 0.00 |
| 29 | 0 | 0.00 | 0 | 0.00 | 0 | 0.00 |
| 30 | 0 | 0.00 | 0 | 0.00 | 0 | 0.00 |
| Total specimens | 58 | 100 | 314 | 100 | 0 | 0 |
| Total weight(g) | 16112 | 26854 |
Species: Dentex angolensis
GHANA
Depth: 20–>100 m
| LENGTH (cm) | Males - No specimens | % | Females No specimens | % | Juveniles No specimens | % |
|---|---|---|---|---|---|---|
| 1 | 0 | 0.00 | 0 | 0.00 | 0 | 0.00 |
| 2 | 0 | 0.00 | 0 | 0.00 | 0 | 0.00 |
| 3 | 0 | 0.00 | 0 | 0.00 | 0 | 0.00 |
| 4 | 0 | 0.00 | 0 | 0.00 | 0 | 0.00 |
| 5 | 0 | 0.00 | 0 | 0.00 | 0 | 0.00 |
| 6 | 0 | 0.00 | 0 | 0.00 | 0 | 0.00 |
| 7 | 0 | 0.00 | 0 | 0.00 | 0 | 0.00 |
| 8 | 0 | 0.00 | 0 | 0.00 | 0 | 0.00 |
| 9 | 0 | 0.00 | 119 | 21.06 | 0 | 0.00 |
| 10 | 0 | 0.00 | 38 | 6.73 | 0 | 0.00 |
| 11 | 0 | 0.00 | 0 | 0.00 | 0 | 0.00 |
| 12 | 0 | 0.00 | 0 | 0.00 | 0 | 0.00 |
| 13 | 0 | 0.00 | 19 | 3.36 | 0 | 0.00 |
| 14 | 0 | 0.00 | 39 | 6.90 | 0 | 0.00 |
| 15 | 0 | 0.00 | 78 | 13.81 | 0 | 0.00 |
| 16 | 0 | 0.00 | 78 | 13.81 | 0 | 0.00 |
| 17 | 0 | 0.00 | 39 | 6.90 | 0 | 0.00 |
| 18 | 0 | 0.00 | 0 | 0.00 | 0 | 0.00 |
| 19 | 0 | 0.00 | 58 | 10.27 | 0 | 0.00 |
| 20 | 0 | 0.00 | 20 | 3.54 | 0 | 0.00 |
| 21 | 38 | 31.67 | 19 | 3.36 | 0 | 0.00 |
| 22 | 39 | 32.50 | 58 | 10.27 | 0 | 0.00 |
| 23 | 0 | 0.00 | 0 | 0.00 | 0 | 0.00 |
| 24 | 43 | 35.90 | 0 | 0.00 | 0 | 0.00 |
| 25 | 0 | 0.00 | 0 | 0.00 | 0 | 0.00 |
| 26 | 0 | 0.00 | 0 | 0.00 | 0 | 0.00 |
| 27 | 0 | 0.00 | 0 | 0.00 | 0 | 0.00 |
| 28 | 0 | 0.00 | 0 | 0.00 | 0 | 0.00 |
| 29 | 0 | 0.00 | 0 | 0.00 | 0 | 0.00 |
| 30 | 0 | 0.00 | 0 | 0.00 | 0 | 0.00 |
| Total specimens | 120 | 100 | 565 | 100 | 0 | 0 |
| Total weight(g) | 38283 | 47361 | ||||

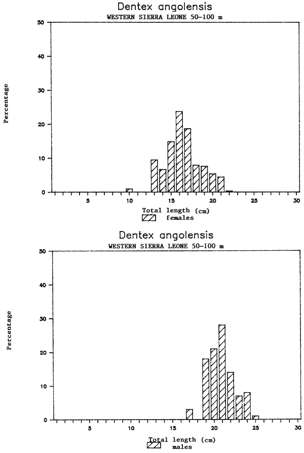
Fig. 42. D. angolensis. Length distribution for females and males in Western Sierra Leone, Stratum B

Fig. 43. D. angolensis. Length distribution for females and males in Western Sierra Leone, Stratum C

Fig. 44. D. angolensis. Length distribution for females and males in Western Sierra Leone

Fig. 45. D. angolensis. Length distribution for juveniles in Western Sierra Leone, Stratum B

Fig. 46. D. angolensis. Length distribution for females and males in Eastern Sierra Leone, Stratum B

Fig. 47. D. angolensis. Length distribution for females and males in Eastern Sierra Leone, Stratum C

Fig. 48. D. angolensis. Length distribution for females and males in Eastern Sierra Leone

Fig. 49. D. angolensis. Length distribution for juveniles in Eastern Sierra Leone, Stratum B

Fig. 50. D. angolensis. Length distribution for females and males in Liberia, Stratum B

Fig. 51. D. angolensis. Length distribution for females and males in Liberia, Stratum C

Fig. 52. D. angolensis. Length distribution for females and males in Liberia, Stratum D

Fig. 53. D. angolensis. Length distribution for females and males in Liberia

Fig. 54. D. angolensis. Length distribution for juveniles in Liberia, Stratum B and C

Fig. 55. D. angolensis. Length distribution for females and males in Côte d'Ivoire

Fig. 56. D. angolensis. Length distribution for females and males in Ghana, Stratum B

Fig. 57. D. angolensis. Length distribution for females and males in Ghana, Stratum C

Fig. 58. D. angolensis. Length distribution for females and males in Ghana
This species was caught only in the first two depth ranges (20–100 m) although small quantities were found in sector C (at 126–127 m to be exact) in Liberia. It is also worth noting that it was present in all the countries except Eastern Sierra Leone. Quantities caught were on the whole only slightly smaller than those of D. angolensis, except in Côte d'Ivoire, where they were somewhat higher.
Figures 59–64 and Tables 60–63 show the length composition of the catch of this sparid by stratum and area.
There was no clear indication that length increased with increasing depth except in Liberia where the modal size shifted from 11 to 16 cm between stratum A and stratum B. Mean length also rose from 12.63 (±2.91) to 15.25 (±1.58). It must nevertheless be borne in mind that the distribution for stratum A is based on a small number of individuals, hence the many blanks on the table.
A decrease in mean length between stratum A and B was detected in Ghana and Sierra Leone. Lengths represented in stratum A in Ghana range from 9 to 24 cm, with modal sizes of 13, 16 and 18 cm and a mean of 15.54 (±2.55). The length range in stratum B narrows to between 8 and 20 cm and the modes shift to smaller sizes (10–14 cm), with the percentage of specimens at 10 cm almost double that at 14 cm. Mean length also decreases significantly to 11.85 cm (±2.76).
The pattern is similar in Western Sierra Leone, although the decreases in modal size are not as great (from 11 to 10 cm). Mean length decreases from 11.32 (±1.75) to 9.87 (±0.93) cm. The size range also narrows, but as only a few individuals were sampled in stratum B, the frequency histogram is not entirely significant (it gives too high a mode percentage for the area as a whole).
Size distributions of this species in Côte d'Ivoire show similar length ranges in both strata. Although the modes decrease between stratum A and B (the highs falling from 12–17 to 11–15 cm), mean lengths in the two depth ranges are almost identical (14.40 and 14.54 cm respectively).
The frequency histogram for Côte d'Ivoire as a whole is similar to that of Ghana (Fig. 64), where there would appear to be two length classes and two modal values, with a higher percentage of specimens in the first class. The mode corresponding to larger sizes is the same in both countries (15 cm), whereas for smaller sizes, it is 10 cm (and more distinct) in Ghana and 12 cm in Côte d'Ivoire. As a result, the estimated overall mean length is lower in Ghana.
There are also two modal lengths in Liberia, 11 and 16 cm (Fig. 63), although almost 90% of the stock is grouped around the latter, giving a higher mean (see Table 58).
| Depth (m) | 20–50 | 50–100 | TOTAL |
|---|---|---|---|
| Western Sierra Leone | 11.32 (1.75) | 9.87 (0.93) | 11.09 (1.73) |
| Liberia | 12.63 (2.91) | 15.25 (1.58) | 14.84 (2.07) |
| Côte d'Ivoire | 14.4 (2.91) | 14.54 (2.92) | 14.45 (2.89) |
| Ghana | 15.54 (2.75) | 11.85 (2.76) | 12.1 (2.91) |
Table 58. Mean lengths (cm) and standard deviations (in brackets) of P. bellottii by depth stratum and area
Length distributions by sex
Figures 65–77 give length frequency histograms by depth stratum and area for both sexes and for juveniles. Tables 64–74 give the length distribution in terms of number of specimens. No sex sampling was done in stratum B in Western Sierra Leone and very few specimens were sampled in stratum A in Liberia and Ghana (several lengths were not represented).
The distributions by sex show that male and female populations differ little in terms of length range and modal and mean lengths.
The similarity between them is particularly striking in the 50–100 m depth range in Côte d'Ivoire, where modal lengths are identical (11 and 15 cm) and length ranges very similar (Fig. 71), with mean length of females only slightly higher than that of males.
The situation is similar at the same depth in Ghana, where most of the stock of both sexes is concentrated around the modal length, which is slightly lower in males than in females (Fig. 75). Mean lengths are also smaller in males than in females (10.66 and 11.04 respectively).
The overall mean length of females in Western Sierra Leone and Ghana (15.47 and 11.17 cm respectively) is slightly higher than that of males (15.07 and 11.01 cm, respectively). In Liberia and Côte d'Ivoire, on the other hand, female mean length is slightly shorter than male (Table 59).
The mean lengths of males and females may increase or decrease with depth; there is no clear pattern here. Increases occur in both sexes in Liberia, but only in females in Côte d'Ivoire. In Ghana, there was a sharp decrease in size in the entire stock represented in stratum B.
Juvenile specimens appear only in stratum A in Sierra Leone (12.00 cm) and stratum B in Ghana (8.71 cm), but in both strata in Côte d'Ivoire (10.30 and 11.00 cm). None were caught in Liberia.
Species: Pagellus bellottii bellottii
WESTERN SIERRA LEONE (20–100 m)
| DEPTH (m) | 20–50 | 50–100 | TOTAL | |||
|---|---|---|---|---|---|---|
| LENGTH(m) | No specimens | % | No specimens | % | No specimens | % |
| 1 | 0 | 0.00 | 0 | 0.00 | 0 | 0.00 |
| 2 | 0 | 0.00 | 0 | 0.00 | 0 | 0.00 |
| 3 | 0 | 0.00 | 0 | 0.00 | 0 | 0.00 |
| 4 | 0 | 0.00 | 0 | 0.00 | 0 | 0.00 |
| 5 | 0 | 0.00 | 0 | 0.00 | 0 | 0.00 |
| 6 | 0 | 0.00 | 0 | 0.00 | 0 | 0.00 |
| 7 | 9 | 0.69 | 16 | 6.58 | 25 | 1.63 |
| 8 | 15 | 1.16 | 0 | 0.00 | 15 | 0.98 |
| 9 | 6 | 0.46 | 28 | 11.52 | 34 | 2.21 |
| 10 | 302 | 23.32 | 155 | 63.79 | 457 | 29.71 |
| 11 | 674 | 52.05 | 44 | 18.11 | 718 | 46.68 |
| 12 | 94 | 7.26 | 0 | 0.00 | 94 | 6.11 |
| 13 | 78 | 6.02 | 0 | 0.00 | 78 | 5.07 |
| 14 | 35 | 2.70 | 0 | 0.00 | 35 | 2.28 |
| 15 | 23 | 1.78 | 0 | 0.00 | 23 | 1.50 |
| 16 | 38 | 2.93 | 0 | 0.00 | 38 | 2.47 |
| 17 | 4 | 0.31 | 0 | 0.00 | 4 | 0.26 |
| 18 | 4 | 0.31 | 0 | 0.00 | 4 | 0.26 |
| 19 | 5 | 0.39 | 0 | 0.00 | 5 | 0.33 |
| 20 | 3 | 0.23 | 0 | 0.00 | 3 | 0.20 |
| 21 | 3 | 0.23 | 0 | 0.00 | 3 | 0.20 |
| 22 | 2 | 0.15 | 0 | 0.00 | 2 | 0.13 |
| 23 | 0 | 0.00 | 0 | 0.00 | 0 | 0.00 |
| 24 | 0 | 0.00 | 0 | 0.00 | 0 | 0.00 |
| 25 | 0 | 0.00 | 0 | 0.00 | 0 | 0.00 |
| 26 | 0 | 0.00 | 0 | 0.00 | 0 | 0.00 |
| 27 | 0 | 0.00 | 0 | 0.00 | 0 | 0.00 |
| 28 | 0 | 0.00 | 0 | 0.00 | 0 | 0.00 |
| 29 | 0 | 0.00 | 0 | 0.00 | 0 | 0.00 |
| 30 | 0 | 0.00 | 0 | 0.00 | 0 | 0.00 |
| TOTAL SPECIMENS | 1295 | 100 | 243 | 100 | 1538 | 100 |
| TOTAL WEIGHT (g) | 37895 | 4325 | 42220 | |||
It may be concluded from the histograms that there are no major sex-related differences in the bathymetric distribution of P. bellottii in the different countries.
| Depth (m) | 20–50 | 50–100 | Total | |||
|---|---|---|---|---|---|---|
| Male | Female | Male | Female | Male | Female | |
| Western Sierra Leone | 15.07 | 15.45 | 15.07 | 15.45 | ||
| (2.18) | (2.41) | (2.18) | (2.41) | |||
| Liberia | 12.67 | 12.57 | 15.61 | 14.69 | 15.03 | 14.44 |
| (2.69) | (3.25) | (1.19) | (1.48) | (1.96) | (1.89) | |
| Côte d'Ivoire | 13.28 | 12.70 | 12.89 | 13.26 | 13.15 | 12.95 |
| (2.61) | (2.39) | (2.20) | (2.17) | (2.49) | (2.32) | |
| Ghana | 15.66 | 15.14 | 10.66 | 11.04 | 11.01 | 11.17 |
| (2.68) | (2.96) | (2.34) | (2.22) | (2.68) | (2.35) | |
Species: Pagellus bellottii bellottii
LIBERIA (20 – 200 m)
| DEPTH (m) | 20–50 | 50–100 | TOTAL | |||
|---|---|---|---|---|---|---|
| LENGTH (m) | No specimens | % | No specimens | % | No specimens | % |
| 1 | 0 | 0.00 | 0 | 0.00 | 0 | 0.00 |
| 2 | 0 | 0.00 | 0 | 0.00 | 0 | 0.00 |
| 3 | 0 | 0.00 | 0 | 0.00 | 0 | 0.00 |
| 4 | 0 | 0.00 | 0 | 0.00 | 0 | 0.00 |
| 5 | 0 | 0.00 | 0 | 0.00 | 0 | 0.00 |
| 6 | 0 | 0.00 | 0 | 0.00 | 0 | 0.00 |
| 7 | 0 | 0.00 | 0 | 0.00 | 0 | 0.00 |
| 8 | 0 | 0.00 | 0 | 0.00 | 0 | 0.00 |
| 9 | 0 | 0.00 | 0 | 0.00 | 0 | 0.00 |
| 10 | 8 | 10.53 | 0 | 0.00 | 8 | 1.57 |
| 11 | 32 | 42.11 | 5 | 1.21 | 39 | 7.63 |
| 12 | 12 | 15.79 | 14 | 3.39 | 27 | 5.28 |
| 13 | 8 | 10.53 | 32 | 7.75 | 42 | 8.22 |
| 14 | 4 | 5.26 | 82 | 19.85 | 90 | 17.61 |
| 15 | 0 | 0.00 | 90 | 21.79 | 94 | 18.40 |
| 16 | 4 | 5.26 | 104 | 25.18 | 113 | 22.11 |
| 17 | 0 | 0.00 | 54 | 13.08 | 57 | 11.15 |
| 18 | 0 | 0.00 | 27 | 6.54 | 28 | 5.48 |
| 19 | 4 | 5.26 | 5 | 1.21 | 9 | 1.76 |
| 20 | 0 | 0.00 | 0 | 0.00 | 0 | 0.00 |
| 21 | 4 | 5.26 | 0 | 0.00 | 4 | 0.78 |
| 22 | 0 | 0.00 | 0 | 0.00 | 0 | 0.00 |
| 23 | 0 | 0.00 | 0 | 0.00 | 0 | 0.00 |
| 24 | 0 | 0.00 | 0 | 0.00 | 0 | 0.00 |
| 25 | 0 | 0.00 | 0 | 0.00 | 0 | 0.00 |
| 26 | 0 | 0.00 | 0 | 0.00 | 0 | 0.00 |
| 27 | 0 | 0.00 | 0 | 0.00 | 0 | 0.00 |
| 28 | 0 | 0.00 | 0 | 0.00 | 0 | 0.00 |
| 29 | 0 | 0.00 | 0 | 0.00 | 0 | 0.00 |
| 30 | 0 | 0.00 | 0 | 0.00 | 0 | 0.00 |
| TOTAL SPECIMENS | 76 | 100 | 413 | 100 | 511 | 100 |
| TOTAL WEIGHT (g) | 3870 | 32853 | 38473 | |||
Species: Pagellus bellottii bellottii
CÔTE D'IVOIRE (20 – 100 m)
| DEPTH (m) | 20 – 50 | 50 – 100 | TOTAL | |||
|---|---|---|---|---|---|---|
| LENGTH (m) | No specimens | % | No specimens | % | No specimens | % |
| 1 | 0 | 0.00 | 0 | 0.00 | 0 | 0.00 |
| 2 | 0 | 0.00 | 0 | 0.00 | 0 | 0.00 |
| 3 | 0 | 0.00 | 0 | 0.00 | 0 | 0.00 |
| 4 | 0 | 0.00 | 0 | 0.00 | 0 | 0.00 |
| 5 | 0 | 0.00 | 0 | 0.00 | 0 | 0.00 |
| 6 | 0 | 0.00 | 0 | 0.00 | 0 | 0.00 |
| 7 | 0 | 0.00 | 0 | 0.00 | 0 | 0.00 |
| 8 | 0 | 0.00 | 0 | 0.00 | 0 | 0.00 |
| 9 | 26 | 0.21 | 27 | 0.38 | 53 | 0.28 |
| 10 | 390 | 3.20 | 510 | 7.23 | 900 | 4.67 |
| 11 | 1661 | 13.61 | 992 | 14.06 | 2653 | 13.77 |
| 12 | 2717 | 22.26 | 541 | 7.67 | 3258 | 16.92 |
| 13 | 1089 | 8.92 | 254 | 3.60 | 1343 | 6.97 |
| 14 | 487 | 3.99 | 924 | 13.10 | 1411 | 7.33 |
| 15 | 1110 | 9.09 | 1503 | 21.30 | 2613 | 13.57 |
| 16 | 1470 | 12.04 | 811 | 11.50 | 2281 | 11.84 |
| 17 | 1533 | 12.56 | 567 | 8.04 | 2100 | 10.90 |
| 18 | 834 | 6.83 | 489 | 6.93 | 1323 | 6.87 |
| 19 | 445 | 3.65 | 145 | 2.06 | 590 | 3.06 |
| 20 | 320 | 2.62 | 133 | 1.89 | 453 | 2.35 |
| 21 | 70 | 0.57 | 80 | 1.13 | 150 | 0.78 |
| 22 | 29 | 0.24 | 65 | 0.92 | 94 | 0.49 |
| 23 | 0 | 0.00 | 14 | 0.20 | 14 | 0.07 |
| 24 | 0 | 0.00 | 0 | 0.00 | 0 | 0.00 |
| 25 | 25 | 0.20 | 0 | 0.00 | 25 | 0.13 |
| 26 | 0 | 0.00 | 0 | 0.00 | 0 | 0.00 |
| 27 | 0 | 0.00 | 0 | 0.00 | 0 | 0.00 |
| 28 | 0 | 0.00 | 0 | 0.00 | 0 | 0.00 |
| 29 | 0 | 0.00 | 0 | 0.00 | 0 | 0.00 |
| 30 | 0 | 0.00 | 0 | 0.00 | 0 | 0.00 |
| TOTAL SPECIMENS | 12206 | 100 | 7055 | 100 | 19261 | 100 |
| TOTAL WEIGHT (g) | 883688 | 520987 | 1404675 | |||
Species:Pagellus bellottii bellottii
GHANA (20 – 100 m)
| DEPTH (m) | 20 – 50 | 50 – 100 | TOTAL | |||
|---|---|---|---|---|---|---|
| LENGTH (m) | No specimens | % | No specimens | % | No specimens | % |
| 1 | 0 | 0.00 | 0 | 0.00 | 0 | 0.00 |
| 2 | 0 | 0.00 | 0 | 0.00 | 0 | 0.00 |
| 3 | 0 | 0.00 | 0 | 0.00 | 0 | 0.00 |
| 4 | 0 | 0.00 | 0 | 0.00 | 0 | 0.00 |
| 5 | 0 | 0.00 | 0 | 0.00 | 0 | 0.00 |
| 6 | 0 | 0.00 | 0 | 0.00 | 0 | 0.00 |
| 7 | 0 | 0.00 | 0 | 0.00 | 0 | 0.00 |
| 8 | 0 | 0.00 | 82 | 3.05 | 82 | 2.95 |
| 9 | 1 | 0.51 | 500 | 18.60 | 501 | 17.66 |
| 10 | 4 | 2.03 | 599 | 22.28 | 603 | 21.23 |
| 11 | 7 | 3.05 | 391 | 14.55 | 397 | 13.55 |
| 12 | 17 | 9.14 | 117 | 4.35 | 135 | 4.39 |
| 13 | 34 | 17.26 | 156 | 5.80 | 190 | 6.17 |
| 14 | 4 | 2.03 | 240 | 8.93 | 244 | 8.61 |
| 15 | 20 | 10.15 | 234 | 8.71 | 254 | 8.85 |
| 16 | 41 | 20.81 | 191 | 7.11 | 232 | 8.20 |
| 17 | 15 | 7.61 | 126 | 4.69 | 141 | 4.87 |
| 18 | 29 | 14.72 | 26 | 0.97 | 55 | 1.95 |
| 19 | 11 | 5.58 | 14 | 0.52 | 25 | 0.65 |
| 20 | 10 | 5.08 | 12 | 0.45 | 22 | 0.79 |
| 21 | 1 | 0.51 | 0 | 0.00 | 1 | 0.03 |
| 22 | 1 | 0.51 | 0 | 0.00 | 1 | 0.03 |
| 23 | 1 | 0.51 | 0 | 0.00 | 1 | 0.03 |
| 24 | 1 | 0.51 | 0 | 0.00 | 1 | 0.03 |
| 25 | 0 | 0.00 | 0 | 0.00 | 0 | 0.00 |
| 26 | 0 | 0.00 | 0 | 0.00 | 0 | 0.00 |
| 27 | 0 | 0.00 | 0 | 0.00 | 0 | 0.00 |
| 28 | 0 | 0.00 | 0 | 0.00 | 0 | 0.00 |
| 29 | 0 | 0.00 | 0 | 0.00 | 0 | 0.00 |
| 30 | 0 | 0.00 | 0 | 0.00 | 0 | 0.00 |
| TOTAL SPECIMENS | 197 | 100 | 2688 | 100 | 2885 | 100 |
| TOTAL WEIGHT (g) | 17390 | 112084 | 129474 | |||

Fig. 59. P. bellottii. Length distribution in Western Sierra Leone, Stratum A and B

Fig. 60. P. bellottii. Length distribution in Liberia, Stratum A and B

Fig. 61. P. bellottii. Length distribution in Côte d'Ivoire, Stratum A and B

Fig. 62. P. bellottii. Length distribution in Ghana, Stratum A and B

Fig. 63. P. bellottii. Length distribution in Western Sierra Leone and Liberia

Fig. 64. P. bellottii. Length distribution in Côte d'Ivoire and Ghana
Species:Pagellus bellottii bellottii
Western Sierra Leone
Depth: 20–50 m
| LENGTH (cm) | Males No Specimens % | Females No Specimens % | Juveniles Specimens % | |||
|---|---|---|---|---|---|---|
| 1 | 0 | 0.00 | 0 | 0.00 | 0 | 0.00 |
| 2 | 0 | 0.00 | 0 | 0.00 | 0 | 0.00 |
| 3 | 0 | 0.00 | 0 | 0.00 | 0 | 0.00 |
| 4 | 0 | 0.00 | 0 | 0.00 | 0 | 0.00 |
| 5 | 0 | 0.00 | 0 | 0.00 | 0 | 0.00 |
| 6 | 0 | 0.00 | 0 | 0.00 | 0 | 0.00 |
| 7 | 0 | 0.00 | 0 | 0.00 | 0 | 0.00 |
| 8 | 0 | 0.00 | 0 | 0.00 | 0 | 0.00 |
| 9 | 0 | 0.00 | 0 | 0.00 | 0 | 0.00 |
| 10 | 0 | 0.00 | 0 | 0.00 | 0 | 0.00 |
| 11 | 0 | 0.00 | 0 | 0.00 | 5 | 50.00 |
| 12 | 14 | 4.93 | 0 | 0.00 | 0 | 0.00 |
| 13 | 47 | 16.55 | 14 | 7.53 | 5 | 50.00 |
| 14 | 79 | 27.82 | 84 | 45.16 | 0 | 0.00 |
| 15 | 70 | 24.65 | 37 | 19.89 | 0 | 0.00 |
| 16 | 19 | 6.69 | 9 | 4.84 | 0 | 0.00 |
| 17 | 9 | 3.17 | 9 | 4.84 | 0 | 0.00 |
| 18 | 14 | 4.93 | 5 | 2.69 | 0 | 0.00 |
| 19 | 14 | 4.93 | 9 | 4.84 | 0 | 0.00 |
| 20 | 9 | 3.17 | 5 | 2.69 | 0 | 0.00 |
| 21 | 9 | 3.17 | 5 | 2.69 | 0 | 0.00 |
| 22 | 0 | 0.00 | 9 | 4.84 | 0 | 0.00 |
| 23 | 0 | 0.00 | 0 | 0.00 | 0 | 0.00 |
| 24 | 0 | 0.00 | 0 | 0.00 | 0 | 0.00 |
| 25 | 0 | 0.00 | 0 | 0.00 | 0 | 0.00 |
| 26 | 0 | 0.00 | 0 | 0.00 | 0 | 0.00 |
| 27 | 0 | 0.00 | 0 | 0.00 | 0 | 0.00 |
| 28 | 0 | 0.00 | 0 | 0.00 | 0 | 0.00 |
| 29 | 0 | 0.00 | 0 | 0.00 | 0 | 0.00 |
| 30 | 0 | 0.00 | 0 | 0.00 | 0 | 0.00 |
| Total specimens | 284 | 100 | 186 | 100 | 10 | 100 |
| Total weight (g) | 20388 | 14722 | 2785 | |||
Species:Pagellus bellottii bellottii
Western Sierra Leone
Depth: 20–200 m
| LENGTH (cm) | Males No Specimens % | Females No Specimens % | Juveniles Specimens % | |||
|---|---|---|---|---|---|---|
| 1 | 0 | 0.00 | 0 | 0.00 | 0 | 0.00 |
| 2 | 0 | 0.00 | 0 | 0.00 | 0 | 0.00 |
| 3 | 0 | 0.00 | 0 | 0.00 | 0 | 0.00 |
| 4 | 0 | 0.00 | 0 | 0.00 | 0 | 0.00 |
| 5 | 0 | 0.00 | 0 | 0.00 | 0 | 0.00 |
| 6 | 0 | 0.00 | 0 | 0.00 | 0 | 0.00 |
| 7 | 0 | 0.00 | 0 | 0.00 | 0 | 0.00 |
| 8 | 0 | 0.00 | 0 | 0.00 | 0 | 0.00 |
| 9 | 0 | 0.00 | 0 | 0.00 | 0 | 0.00 |
| 10 | 0 | 0.00 | 0 | 0.00 | 0 | 0.00 |
| 11 | 0 | 0.00 | 0 | 0.00 | 6 | 50.00 |
| 12 | 16 | 5.05 | 0 | 0.00 | 0 | 0.00 |
| 13 | 52 | 16.40 | 16 | 7.66 | 6 | 50.00 |
| 14 | 88 | 27.76 | 94 | 44.98 | 0 | 0.00 |
| 15 | 78 | 24.61 | 41 | 19.62 | 0 | 0.00 |
| 16 | 21 | 6.62 | 10 | 4.78 | 0 | 0.00 |
| 17 | 10 | 3.15 | 10 | 4.78 | 0 | 0.00 |
| 18 | 16 | 5.05 | 6 | 2.87 | 0 | 0.00 |
| 19 | 16 | 5.05 | 10 | 4.78 | 0 | 0.00 |
| 20 | 10 | 3.15 | 6 | 2.87 | 0 | 0.00 |
| 21 | 10 | 3.15 | 6 | 2.87 | 0 | 0.00 |
| 22 | 0 | 0.00 | 10 | 4.78 | 0 | 0.00 |
| 23 | 0 | 0.00 | 0 | 0.00 | 0 | 0.00 |
| 24 | 0 | 0.00 | 0 | 0.00 | 0 | 0.00 |
| 25 | 0 | 0.00 | 0 | 0.00 | 0 | 0.00 |
| 26 | 0 | 0.00 | 0 | 0.00 | 0 | 0.00 |
| 27 | 0 | 0.00 | 0 | 0.00 | 0 | 0.00 |
| 28 | 0 | 0.00 | 0 | 0.00 | 0 | 0.00 |
| 29 | 0 | 0.00 | 0 | 0.00 | 0 | 0.00 |
| 30 | 0 | 0.00 | 0 | 0.00 | 0 | 0.00 |
| Total specimens | 317 | 100 | 209 | 100 | 12 | 100 |
| Total weight (g) | 22714 | 16403 | 3103 | |||
Species: Pagellus bellottii bellottii
Liberia
Depth: 20–50 m
| Length (cm) | Males No. Specimens % | Females No. Specimens % | Juveniles No. Specimens % | |||
|---|---|---|---|---|---|---|
| 1 | 0 | 0.00 | 0 | 0.00 | 0 | 0 |
| 2 | 0 | 0.00 | 0 | 0.00 | 0 | 0 |
| 3 | 0 | 0.00 | 0 | 0.00 | 0 | 0 |
| 4 | 0 | 0.00 | 0 | 0.00 | 0 | 0 |
| 5 | 0 | 0.00 | 0 | 0.00 | 0 | 0 |
| 6 | 0 | 0.00 | 0 | 0.00 | 0 | 0 |
| 7 | 0 | 0.00 | 0 | 0.00 | 0 | 0 |
| 8 | 0 | 0.00 | 0 | 0.00 | 0 | 0 |
| 9 | 0 | 0.00 | 0 | 0.00 | 0 | 0 |
| 10 | 0 | 0.00 | 8 | 28.57 | 0 | 0 |
| 11 | 20 | 41.67 | 12 | 42.86 | 0 | 0 |
| 12 | 12 | 25.00 | 0 | 0.00 | 0 | 0 |
| 13 | 8 | 16.67 | 0 | 0.00 | 0 | 0 |
| 14 | 4 | 8.33 | 0 | 0.00 | 0 | 0 |
| 15 | 0 | 0.00 | 0 | 0.00 | 0 | 0 |
| 16 | 0 | 0.00 | 4 | 14.29 | 0 | 0 |
| 17 | 0 | 0.00 | 0 | 0.00 | 0 | 0 |
| 18 | 0 | 0.00 | 0 | 0.00 | 0 | 0 |
| 19 | 0 | 0.00 | 4 | 14.29 | 0 | 0 |
| 20 | 0 | 0.00 | 0 | 0.00 | 0 | 0 |
| 21 | 4 | 8.33 | 0 | 0.00 | 0 | 0 |
| 22 | 0 | 0.00 | 0 | 0.00 | 0 | 0 |
| 23 | 0 | 0.00 | 0 | 0.00 | 0 | 0 |
| 24 | 0 | 0.00 | 0 | 0.00 | 0 | 0 |
| 25 | 0 | 0.00 | 0 | 0.00 | 0 | 0 |
| 26 | 0 | 0.00 | 0 | 0.00 | 0 | 0 |
| 27 | 0 | 0.00 | 0 | 0.00 | 0 | 0 |
| 28 | 0 | 0.00 | 0 | 0.00 | 0 | 0 |
| 29 | 0 | 0.00 | 0 | 0.00 | 0 | 0 |
| 30 | 0 | 0.00 | 0 | 0.00 | 0 | 0 |
| Total specimens | 48 | 100 | 28 | 100 | 0 | 0 |
| Total weight (g) | 2368 | 1502 | ||||
Species:Pagellus bellottii bellottii
LIBERIA
Depth: 20–50 m
| Length (cm) | Males No. Specimens % | Females No. Specimens % | Juveniles No. Specimens % | |||
|---|---|---|---|---|---|---|
| 1 | 0 | 0.00 | 0 | 0.00 | 0 | 0 |
| 2 | 0 | 0.00 | 0 | 0.00 | 0 | 0 |
| 3 | 0 | 0.00 | 0 | 0.00 | 0 | 0 |
| 4 | 0 | 0.00 | 0 | 0.00 | 0 | 0 |
| 5 | 0 | 0.00 | 0 | 0.00 | 0 | 0 |
| 6 | 0 | 0.00 | 0 | 0.00 | 0 | 0 |
| 7 | 0 | 0.00 | 0 | 0.00 | 0 | 0 |
| 8 | 0 | 0.00 | 0 | 0.00 | 0 | 0 |
| 9 | 0 | 0.00 | 0 | 0.00 | 0 | 0 |
| 10 | 0 | 0.00 | 0 | 0.00 | 0 | 0 |
| 11 | 0 | 0.00 | 0 | 0.00 | 0 | 0 |
| 12 | 0 | 0.00 | 8 | 3.74 | 0 | 0 |
| 13 | 9 | 4.46 | 32 | 14.95 | 0 | 0 |
| 14 | 17 | 8.42 | 84 | 39.25 | 0 | 0 |
| 15 | 76 | 37.62 | 24 | 11.21 | 0 | 0 |
| 16 | 59 | 29.21 | 34 | 15.89 | 0 | 0 |
| 17 | 24 | 11.88 | 24 | 11.21 | 0 | 0 |
| 18 | 17 | 8.42 | 8 | 3.74 | 0 | 0 |
| 19 | 0 | 0.00 | 0 | 0.00 | 0 | 0 |
| 20 | 0 | 0.00 | 0 | 0.00 | 0 | 0 |
| 21 | 4 | 8.33 | 0 | 0.00 | 0 | 0 |
| 22 | 0 | 0.00 | 0 | 0.00 | 0 | 0 |
| 23 | 0 | 0.00 | 0 | 0.00 | 0 | 0 |
| 24 | 0 | 0.00 | 0 | 0.00 | 0 | 0 |
| 25 | 0 | 0.00 | 0 | 0.00 | 0 | 0 |
| 26 | 0 | 0.00 | 0 | 0.00 | 0 | 0 |
| 27 | 0 | 0.00 | 0 | 0.00 | 0 | 0 |
| 28 | 0 | 0.00 | 0 | 0.00 | 0 | 0 |
| 29 | 0 | 0.00 | 0 | 0.00 | 0 | 0 |
| 30 | 0 | 0.00 | 0 | 0.00 | 0 | 0 |
| Total specimens | 202 | 100 | 214 | 100 | 0 | 0 |
| Total weight (g) | 16952 | 15901 | ||||
Species: Pagellus bellottii bellottii
LIBERIA
Depth: 20–200 m
| Length (cm) | Males No. Specimens | Females No. Specimens | Juveniles No. Specimens | |||
|---|---|---|---|---|---|---|
| 1 | 0 | 0.00 | 0 | 0.00 | 0 | 0 |
| 2 | 0 | 0.00 | 0 | 0.00 | 0 | 0 |
| 3 | 0 | 0.00 | 0 | 0.00 | 0 | 0 |
| 4 | 0 | 0.00 | 0 | 0.00 | 0 | 0 |
| 5 | 0 | 0.00 | 0 | 0.00 | 0 | 0 |
| 6 | 0 | 0.00 | 0 | 0.00 | 0 | 0 |
| 7 | 0 | 0.00 | 0 | 0.00 | 0 | 0 |
| 8 | 0 | 0.00 | 0 | 0.00 | 0 | 0 |
| 9 | 0 | 0.00 | 0 | 0.00 | 0 | 0 |
| 10 | 0 | 0.00 | 8 | 3.16 | 0 | 0 |
| 11 | 21 | 7.98 | 13 | 5.14 | 0 | 0 |
| 12 | 13 | 4.94 | 8 | 3.16 | 0 | 0 |
| 13 | 18 | 6.84 | 34 | 13.44 | 0 | 0 |
| 14 | 22 | 8.37 | 88 | 34.78 | 0 | 0 |
| 15 | 80 | 30.42 | 25 | 9.88 | 0 | 0 |
| 16 | 62 | 23.57 | 40 | 15.81 | 0 | 0 |
| 17 | 25 | 9.51 | 25 | 9.88 | 0 | 0 |
| 18 | 18 | 6.84 | 8 | 3.16 | 0 | 0 |
| 19 | 0 | 0.00 | 4 | 1.58 | 0 | 0 |
| 20 | 0 | 0.00 | 0 | 0.00 | 0 | 0 |
| 21 | 4 | 1.52 | 0 | 0.00 | 0 | 0 |
| 22 | 0 | 0.00 | 0 | 0.00 | 0 | 0 |
| 23 | 0 | 0.00 | 0 | 0.00 | 0 | 0 |
| 24 | 0 | 0.00 | 0 | 0.00 | 0 | 0 |
| 25 | 0 | 0.00 | 0 | 0.00 | 0 | 0 |
| 26 | 0 | 0.00 | 0 | 0.00 | 0 | 0 |
| 27 | 0 | 0.00 | 0 | 0.00 | 0 | 0 |
| 28 | 0 | 0.00 | 0 | 0.00 | 0 | 0 |
| 29 | 0 | 0.00 | 0 | 0.00 | 0 | 0 |
| 30 | 0 | 0.00 | 0 | 0.00 | 0 | 0 |
| Total specimens | 263 | 100 | 253 | 100 | 0 | 0 |
| Total weight (g) | 20237 | 18236 | ||||