Gunter M. Rothe
Institut für Allgemeine Botanik, Fachbereich Biologie
Johannes Gutenberg-Universität
Saarstr. 21, 6500 Mainz, Germany
1. INTRODUCTION
Studies on the genetics of forest trees have been performed using mainly three categories of simply inherited traits: morphological markers, monoterpene variants and isozymes.
Morphological traits are easy to assess, but their use in genetic studies is limited, since phenotypic morphological characteristics are generally controlled by several genes, and quantitative factors are under strong environmental influence. Thus, contributions of individual genes cannot be identified, and specific genetic differences among individuals are not detectable.
In gymnosperms, single genes are controlling the level of a few monoterpenes. However, genetic interpretation of monoterpene patterns is complicated and analysis of large numbers of samples by gas-liquid chromatography is expensive and time consuming.
Compared to the above, isozymes are relatively easy to handle. Their use was introduced into forest tree genetics some 15 years ago and is now widely applied, based on the hypothesis that the isozymes are the direct products of specific allelic genes. Once identified, statistical methods are available to study their distribution (frequencies) within and among populations.
2. ALLOZYMES AS GENE MARKERS
Diploid, sexually reproducing organisms receive one complete set of chromosomes from each parent. Accordingly, they have each gene in duplicate; the homologous genes are called alleles. If more than one allele occurs at the locus of a structural gene, the varying enzyme products produced by them can either appear in a single diploid (heterozygotic) organism, or in different (homozygotic) members of a species.
The number of alleles at a given gene locus depends on the species and on the locus itself. Genes are characterized as polymorphic if they comprise two or more alleles. Invariant (monomorphic) genes are not suitable for genetic studies.
To interprete isozyme2 patterns correctly, their sub-unit composition (number of polypeptides forming the complete enzyme) must be known (Fig. 1).
The genes coding for allozymes are identified by an abbreviation of the enzyme name, e.g. “Aat” for aspartate amino transferase. If a gene comprises more than one locus (precisely defined site on the DNA molecule), then these loci are indicated by a capital letter (or a number) and linked to the gene name as a suffix, e.g. Aat-A or Aat-B (or Aat-1 or Aat-2). The corresponding alleles may be indicated by consecutive numbers such as Aat-Al, Aat-A2 etc. (or Aat-1, Aat-12) (Fig. 2, 3; Tab. 1, 2).
Allozymes can be used in genetic studies if the following conditions are fulfilled:
the genotype is phenotypically expressed through given enzyme patterns, which can be observed in the laboratory. A prerequisite for this is that the enzyme forms of interest segregate in a Mendelian pattern (as shown in Fig. 1); and
at least one locus per enzyme is polymorphic.
Specific genotypes can be identified using:
examination of progeny resulting from controlled crossings;
comparative studies of haploid and diploid tissues of an individual (haploid endosperm and diploid embryo of gymnosperms, or haploid pollen and diploid embryo of angiosperms); or
by applying Hardy-Weinberg's law in theoretical models (Rothe 1988).
2.2 TOOLS TO DETECT ISOZYMES
Identification of isozymes is based on their high substrate specificity and varying electrophoretic mobilities. If two allelic variants of an enzyme differ in the number of charged amino acids, then their different net charges can be used to separate them by electrophoresis. The primary structure (peptide backbone) of these enzymes is encoded in the two homologous strands of the DNA in the individual and, accordingly, allelic genes can be identified by differently charged allozymes. Unfortunately, however, two thirds of the proteinogeneous amino acids are uncharged, reducing the possibility for identification of existing allelic enzyme variants to less than 30 % of the total number present. However, for those variants which do have a charge, electrophoretic methods are relatively simple to carry out in practice. It is sufficient to place crude cell or tissue extracts on some type of electrophoretic separation medium such as starch gel-, cellogelR- or polyacrylamide gel; and subsequently stain the gel using a staining agent which permits only a specific enzyme and its multiple molecular forms to become visible, while leaving all other separated proteins (and enzymes) unstained (Rothe & Maurer 1986, Kephart 1990). Finally the stained enzyme forms are counted and the estimated frequencies are used for further genetic calculations (see Section (2) below; cf. also Fig. 2, 3).
3 APPLICATION OF ALLOZYME RESEARCH
3.1 IDENTIFICATION OF SEEDLOTS
Differences in allozyme frequencies can be used to determine the origin of a seedlot or of seedlings originating from a seed orchard or from different populations of a given tree species (Adams 1983 and Bergmann 1975a. See also e.g. Houston, 1978, for an example of identification of six geographically different seed sources of Quercus rubra through utilization of peroxidases). Particularly in Central Europe, however, identification of provenances of norway spruce (Picea abies) is difficult, since a large number of provenances have been introduced and their true origin is unknown (Bergmann 1975a).
For identification of spruce provenances, at least 7 seeds from each of 200 trees must be analyzed for determining allozyme frequencies (Adams 1983, Bergmann 1975a). According to Bergmann, (1975a), equal allozyme frequencies were found in seeds whether they originated from individual trees of a certain population, or from a mixture of seeds of that particular population. Examination of 100 diploid genome probes collected from a seed orchard (or 50 haploid endosperms of a coniferous species) allows detection of alleles occuring at a frequency of 0.03 or higher with a probability of 95 % (Adams 1983). However, if serious pollen contamination from non-orchard sources is suspected and isozyme analysis is performed to prove it, it is recommended to double the above sample to 100 haploid endosperms of seeds (Adams 1983).
In many countries forests have been divided geographically, topographically and ecologically into seed zones. Each zone is presumed to represent a relatively homogeneous environmental unit, within which the genotypes, in principle, are adapted for use in any other part within the same zone, while seeds from outside the zone are expected to be less well adapted (Adams 1983). Restricting seed used for reforestation to those collected from within selected seed zones, is thus expected to ensure that seed will be properly adapted to the conditions at the plantation site. The identity of seedlots can be verified following their collection by using isozyme techniques. However, if the genetic diversity between populations is small (do < 0.10)3, this will constrain the use of isozyme studies in the identification of seedlots from various seed zones (Adams 1983).
3.2 IDENTIFICATION OF CLONES
Isozymes can also be utilized to identify closely related individual trees, or clones (Adams 1983). Isozyme studies may be performed on winter buds, leaves or current year needles. For clone identification it is sufficient to compare phenotypic isozyme patterns, even without knowledge of their genetic base (Cheliak & Pitel 1984 and Bergmann 1987). In one study, analysis of six to seven variable enzyme systems, comprising 10 to 20 different loci, enabled certification of 50 to 100 clones of a norway spruce (Picea abies) multi-clone variety (See Table 3). This application of isozyme studies is potentially of great importance as multi-clone varieties have been developed in some countries as part of a clonal forestry strategy to help avoid reduction of genetic diversity in future generations of artificial populations (Rothe 1990).
3.3 DETERMINATION OF THE RELIABILITY OF CONTROLLED CROSSING AND LEVELS OF SELF FERTILIZATION
The reliability of controlled crossing can be assessed by examinating isozyme patterns in seeds resulting from such crosses, comparing the results with those theoretically expected based on the genotypes of the parents (Adams 1983). A controlled pollination can be considered a failure, if the seeds in one out of four samples (or, one out of two for coniferous species), contain alleles not present in either of the supposed parents (Adams 1983). Experiments carried out with douglas-fir (Pseudotsuga menziesii) showed that most failures in controlled crosses are due to pollen contamination by foreign pollen (Adams 1983).
Furthermore, isozyme gene markers can be used to identify self-fertilizing trees in seed orchards (Müller 1976, Moran; Bell & Matheson 1980 and Shen; Rudin & Lindgren 1981). Since self-fertilization affects the whole genome equally, it can be revealed through investigation of one single polymorphic gene locus. In norway spruce (Picea abies), at the leucine amino-peptidase B-locus (Lap-B), self-fertilization occured in two out of four genotypes. The rate of self-fertilization was estimated to be 15 % (Müller 1976). Since the genetic diversity of seeds of self-fertilizing trees is reduced, it is generally desirable to identify and eliminate such self-fertilizing individuals from seed orchards (Shaw & Allard 1981).
3.4 IDENTIFICATION OF TREE SPECIES
Variation in allozyme patterns can be utilized to distinguish different tree species or hybrids. Seeds of two larch species, Larix decidua and Larix kaempferi were separated by analysis of the mobility of shikimate dehydrogenase enzymes. In L. kaempferi, the enzyme migrated faster to the anode than in L. decidua. In hybrids of both parental species, both enzyme variants could be indentified (Bergmann 1975a).
Oaks (Quercus spp.) comprise a taxonomically complex group. More than 50 tree-like oak-species occur in USA, and the total number of species in this genus is more than 300. Some of these possess unique and easily identifiable morphological and anatomical traits, however several are difficult to identify and differentiate from each other. Taxonomic identification is further complicated by apparent hybridization among a number of species. Over 60 hybrids have been reported in the USA alone. (Fernald & Gray 1950).
Investigations of buds and acorn cotyledon tissue originating from various seed sources of northern red oak (Quercus rubra L.), black oak (Q. velutina Lam.), white oak (Q. alba L.), swamp white oak (Q. bicolor Willd), bur oak (Q. macrocarpa Michx.) and chinkapin oak (Q. muehlenbergii Engelm.), showed that most isozyme bands of leucine aminopeptidase, alcohol dehydrogenase, acid phosphatase and aspartate amino transferase were common to two or more of these species (Tobolski 1978). This similarity in isozyme patterns is likely to be a reflection of their close taxonomic (and thus genetic) relationship. However, individuals of some species exhibited distinctive genotypes in the analysis; these could also be readily distinguished through differing phenotypes (Tobolski 1978).
The species Quercus petraea and Q. robur, could be classified according to their peroxidase patterns (Olsson 1975). Some populations of Q. petraea showed evidence of introgression with Q. robur.
3.5 CHARACTERISTICS OF FOREST TREE POPULATIONS
In addition to the above uses, the following genetic characteristics of populations have been studied utilizing allozyme frequencies:
the level of genetic variability within a population;
the variation between populations;
possible factors accounting for the observed variation;
The genetic structure of populations, reflected in inter-locus variance in allozyme studies is subject to evolutionary forces such as mutation, selection and random genetic drift. The intra-locus variance identifiable in laboratory studies depends on the sample size and gene frequencies at the locus studied (Nei & Roychoudhury 1974). The degree of heterozygosity4 (H) in forest tree populations has been found to range from 0.19 to 0.41, with the higher values being typical in conifers (Tab. 4 and 5).
Allelic variation can be defined as “the expected proportion of heterozygotes per locus per population”, as is generally marked h. Calculations of an average value for h in 10 different populations of sitka spruce (Picea sitchensis (Boug.) Carr.), an important forest tree native to the west coast of Northern America, yielded values ranging from 0.475 (glucose 6-phosphate dehydrogenase, G6pdh) to 0.001 (phosphoglucomutase, Pgm-2). This wide range in h, with values near zero, is typical for several coniferous species (Yeh & El-Kassaby 1980).
The level of genetic diversity in conifers is usually high. This is due to: (i) divergent selection for macro-geographical adaptation, (ii) balancing selection for micro-geographical differentiation, and (iii) a breeding system which facilitates gene flow within and between subpopulations. Heterosis might further promote the maintenance of genetic variability (Yeh & El-Kassaby 1980). Studies of genetic variation in ten IUFRO5 populations of sitka spruce (Picea sitchensis) showed that (i) the amount of genetic polymorphism varied considerably from locus to locus; (ii) several populations were similar in the amount and pattern of genetic variability, in regard to most of the loci studied; while (iii) some specific loci exhibited large differences between populations (Yeh & El-Kassaby 1980). Despite large geographic distances between seed sources tested, the differences in genetic constitution of sitka spruce did not increase appreciably in proportion with geographic separation.
Genetic differences between populations expose these differently to natural selection at the population level, favouring population selection (Yeh & El-Kassaby 1980). This conclusion has been confirmed for several tree species in addition to sitka spruce, like for instance Picea abies (L.)Karst. (Bergmann 1974), Pinus monticola Dougl. (Steinhoff; Joyce & Fins 1983) and Pseudotsuga menziesii (Mirb.) Franco (Yeh & O'Malley 1980). In Scandinavia, the frequencies of alleles situated at the locus for acid phosphatase-B, were more frequent in southern norway spruce populations than in northern ones (Bergmann 1978).
Generally, conifers exhibit high levels of heterozygosity. A notable exception to this rule is Pinus resinosa (Fowler & Morris 1977). One of the theories explaining the lack of variability in P. resinosa is that this lack is the result of a severe population bottleneck, which probably occured during the Pleistocene period, when the distribution of the species was reduced to small refugial populations, as a result of glaciation.
The genetic variability in deciduous trees is generally smaller than in conifers. In 17 Quercus populations, the average value of polymorphic loci was 30 %, with 2.32 alleles per polymorphic locus. Low estimates of genetic diversity between populations may indicate that a greater genetic variability resides within populations than between them (Manos & Fairbrothers 1987).
3.6 ADAPTATION OF TREES TO DIFFERENT ENVIRONMENTS
Trees are long-lived organisms, and must therefore be well-adapted to their native habitats and expected environmental fluctuations within the habitats over long periods of time. This may be accomplished either by a broad adaptation within the population, or by population-specific adaptations to specific site conditions. In norway spruce (Picea abies) and douglas-fir (Pseudotsuga menziesii), a gene locus coding for acid phosphatase was identified, which showed a significant, environmentally dependent variation. In both species, the Acp-alleles coding for single-band enzymes dominate in colder zones of the distribution range of the species, whereas the alleles coding for double-band enzymes occur more frequently in all moderate climatic zones (Bergmann 1975).
The variation between populations can be quantified by a single number, the genetic distance (do) (see e.g. Nei & Roychoudhury 1974 and Surles; Hawrick & Bongarten 1989). Genetically completely different populations are characterized by a value of do = 1, while the value is zero for identical populations. In Finnish stands of Picea abies, a complete random distribution of genes within stands has been observed using allozymes of leucine aminopeptidase, Lap; peroxidase, Pod, and esterase, Est (Tigerstedt 1973). However, for a number of other species, a correlation between genetic and geographic distances seem to occur, e.g. Camellia japonica L. (Wendel & Parks 1985), Picea abies (L) Karst. (Bergmann 1975), Pinus monticola Dougl. (Steinhoff; Joyce & Fins 1983) and Pseudotsuga menziesii (Mirb.) Franco (Yeh & O'Malley 1980). Isolation by distance may be an important factor in population differentiation of these species (cf. Perry & Knowles 1988).
3.7 IMPACT OF AIR POLLUTANTS ON THE GENETIC STRUCTURE OF FOREST TREES
Numerous data concerning genetic differentiation of trees in regard to their sensitivity to pollutants, have been reviewed by Gerhold, (1977). Statistically significant differences exist between populations of norway spruce (Picea abies) in their sensitivity to SO2. The most tolerant populations seem to be of northern high altitude origin (Tzschacksch & Weiss 1972). The average heterozygosity of individuals of spruce growing in the Harz Mountains of Germany, which were undamaged when exposed to SO2 plus O3, was larger than that of damaged individuals (Bergmann & Scholz 1987). However, SO2 -tolerant provenances of norway spruce showed lower frequencies of rare alleles occurring at the Gpdh-A1 and Mdh-C3 loci, than sub-populations which were sensitive to SO2 (Bergmann & Scholz 1987). In contrast to complex environmental variables, single air pollutants such as SO2 or O3, lead to selection towards reduced genetic diversity (Bergmann & Scholz 1987). Similar observations were made for beech (Fagus sylvatica), where the selection of resistant genotypes mainly occurred in the first (F1) generation (Müller-Starck 1985).
Two main conclusions can be drawn from investigations of the impact of air pollutants on the genetic structure of forest trees:
highly heterozygotic trees seem to be better adapted to a multiplicity of simultaneously acting environmental impacts than trees with a lower degree of heterozygosity, and
contamination by air pollutants cause a reduction in genetic diversity of the population. The reasons for this decrease in diversity (and hence, overall adaptability) are (1) increased levels of directional natural selection, and (2) decreasing gene flow.
The resistance of forest trees to air pollutants is assumed to be determined by pre-adaptive genes. These are highly adaptive genes, which already exist in the genome, but which are not identifiable before exposure to the toxic agent (Gregorius; Hattemer; Bergmann & Müller-Starck 1985).
Note from Editor: For further information on biotechnology in tree improvement programmes, see also article by Cheliak, W.M. & Rogers, D.L. in section (iv) of Recent Literature of Interest.

Schematic representation of isozyme patterns resulting in heterozygotes when the enzyme is a mono-, di-, or tetramer (containing one, two or four polypeptides) and at least two different alleles appear at the locus that codes for them. It is further presumed the sub-units combine freely and segregate according to Mendelian patterns.
Figure 2
Quercus robur L.

Isozyme patterns and genetic interpretation of leucine aminopeptidase found in Quercus robur. Isozymes were extracted from 35 acorn cotyledon tissues of Q robur, separated by polyacrylamide gradient gel electrophoresis and finally visualized within the gel by applying a histochemical staining method. Acorns came from a Q. robur stand in Rheinland Pfalz (Germany). A total of 13 different isozyme patterns were observed, comprising seven different isozymes. It is assumed that two different loci (Lap-A and Lap-B) code for these seven isozymes, representing four alleles at the A-locus and three alleles at the B-locus (Dankwardt and Rothe, unpubl.).
Figure 3
Quercus petraea (Matt.) Liebl.

Isozyme patterns observed in 35 acorn cotyledon tissues of Quercus petraea. Acorns came from a stand in Rheinland Pfalz (Germany). Compared to Q. robur (Figure 2) only five instead of 13 isozyme patterns were identified. The patterns 1,5 and 6 are similar to the patterns of the same numbers in Q. robur, but the frequencies differ. The patterns 14 and 15 were exclusively found in Q. petraea while the isozyme patterns 2– 4 and 7– 13 were typical for Q. robur. Accordingly populations of the species can be distinguished on their isozyme patterns. However, identification of individuals of both species requires further studies on isozyme systems (Dankwardt and Rothe, unpubl.).
Table 1
Enzyme gene loci and number of alleles as found in norway spruce (Picea abies (L.) Karst.) and used for genetic studies
| Aspartate | Aat-A | Aat-B | Aat-C | ||
| aminotransferase | 3 | 3 | 1 | Lagercrantz 1988 | |
| 4 | 4 | 4 | Lundquist 1979 | ||
| 2 | 1 | 3 | Poulsen et al. 1983 | ||
| 2 | 3 | Muona et al. 1987 | |||
| Acid phosphatase | Acp-A | Acp-B | |||
| 1 | 4 | Bergmann 1978 | |||
| 7 | Lunquist 1977 | ||||
| Diaphorase | Dia-A | Dia-B | |||
| 2 | 1 | Lagercrantz 1988 | |||
| Esterase | Est-A | Est-B | Est-C | ||
| 3 | 3 | 2 | Bergmann 1973 | ||
| Glucose-6-phosphate dehydrogenase | Gpdh-A | ||||
| 2 | Scholz & Bergmann 1984 | ||||
| 3 | Muona et al. 1987 | ||||
| Glutamate dehydrogenase | Gdh-A | Gdh-B | |||
| 2 | Scholz & Bergmann 1984 | ||||
| 2 | Lundquist 1979 | ||||
| 2 | Lagercrantz 1988 | ||||
| Glucose-6-phosphate dehydrogenase | Gpi-A | Gpi-B | |||
| 5 | 1 | Lagercrantz 1988 | |||
| Isocitrate dehydrogenase | Idh-A | Idh-B | |||
| 2 | 2 | Scholz & Bergmann 1984 | |||
| 3 | 1 | Lagercrantz 1988 | |||
| Leucine aminopeptidase | Lap-A | Lap-B | |||
| 1 | 4 | Bergmann 1973 | |||
| 4 | 4 | Lundquist 1979 | |||
| 3 | 4 | Poulsen et al. 1983 | |||
| 5 | 5 | Lagercrantz 1988 | |||
| Malate dehydrogenase | Mdh-A | Mdh-B | Mdh-C | Mdh-D | |
| 1 | 2 | 2 | 2 | Poulsen et al. 1983 | |
| 4 | Scholz & Bergmann 1984 | ||||
| ? | 2 | 1 | ? | Lagercrantz 1988 | |
| Phosphoglucose isomerase | Pgi-A | Pgi-B | |||
| ? | 4 | Muona et al. 1987 | |||
| 6-Phospho-gluconate dehydrogenase | Pgd-A | Pgd-B | Pgd-C | ||
| 2 | 4 | 3 | Poulsen et al. 1983 | ||
| 4 | 1 | 1 | Lagercrantz 1988 | ||
| Phosphogluco-mutase | Pgm-A | Pgm-B | |||
| 2 | 2 | Poulsen et al. 1983 | |||
| 2 | 2 | Scholz & Bergmann 1984 | |||
| Superoxide dismutase | Sod-A | Sod-B | |||
| 1 | 1 | Lagercrantz 1988 |
Table 2
Enzyme gene loci and alleles studied in deciduous trees and utilized for genetic analyses
| Species | Enzyme loci and number of alleles | Reference | ||||||||||||||||||||||||||||||||||
| Aat- | Aco- | Acp- | Ald- | Est- | Gdh | Gpdh- | Idh- | Lap- | Mdh- | Per- | Pgd- | Pgi- | Pgm- | |||||||||||||||||||||||
| A | B | C | A | B | A | B | A | B | A | B | A | B | A | B | A | B | A | B | C | A | B | C | D | A | B | C | D | A | B | C | A | B | C | |||
| Alnus crispa | 1 | 1 | 2 | 2 | 1 | 1 | 1 | 1 | 2 | ? | 2 | 3 | 1 | 2 | 3 | 1 | Bousquet et al. 1987 | |||||||||||||||||||
| Alnus rugosa | ? | 2 | 2 | 1 | 1 | 1 | 1 | 1 | 4 | 2 | 4 | 3 | 1 | 2 | Bousquet et al. 1987 | |||||||||||||||||||||
| Castanea sativa | 2 | 3 | 2 | Fineschi 1988 | ||||||||||||||||||||||||||||||||
| Fagus sylvatica | 2 | 4 | 4 | 2 | 2 | 4 | 4 | 4 | ? | 3 | 2 | 2 | 3 | 2 | Kim 1979, Müller-Starck 1985 | |||||||||||||||||||||
| (3) | (4) | |||||||||||||||||||||||||||||||||||
| Juglans regia | 2 | 2 | 1 | ? | 2 | 1 | 2 | 3 | 1 | Arulsekar et al. 1985 | ||||||||||||||||||||||||||
| Populus balsamifera | 3 | 2 | 2 | 2 | 2 | 1 | 3 | 1 | 3 | 1 | 4 | Farmer et al. 1988 | ||||||||||||||||||||||||
| Populus tremula | 3 | 2 | 1 | 2 | 2 | 2 | Guzina 1978, Bergmann 1987 | |||||||||||||||||||||||||||||
| Populus tremuloides | 1 | 1 | 3 | 1 | 2 | 3 | 2 | 3 | 4 | 2 | 3 | 3 | 4 | 2 | 2 | 3 | 4 | 3 | 3 | 4 | Hyun et al. 1987 | |||||||||||||||
| (4) | (3) | (1 | 3) | Cheliak and Pitel 1984 | ||||||||||||||||||||||||||||||||
| Populus trichocarpa | 2 | 1 | 4 | 3 | 1 | 2 | 1 | 2 | 2 | 1 | 2 | 1 | 2 | Weber and Stettler 1981 | ||||||||||||||||||||||
| Robinia pseudoacacia | 1 | 3 | 3 | 3 | 3 | 4 | 5 | 4 | 3 | 4 | 3 | 3 | 3 | 3 | 3 | 2 | 3 | 4 | 3 | Surles et al. 1988 | ||||||||||||||||
| Quercus petraea | 1 | 2 | 2 | 1 | 3 | 3 | 9 | 4 | Dankwardt and Rothe unpubl. | |||||||||||||||||||||||||||
| (2) | Aas 1987 | |||||||||||||||||||||||||||||||||||
| Quercus robur | 1 | 2 | 2 | 1 | 3 | 4 | 9 | 4 | Dankwardt and Rothe unpubl. | |||||||||||||||||||||||||||
| (2) | Aas 1987 | |||||||||||||||||||||||||||||||||||
| Quercus subg. Erythrobalanus | ? | 4 | 3 | ? | ? | 2 | 3 | 1 | 3 | 1 | 2 | ? | 8 | 5 | 4 | Manos and Fairbrothers 1987 | ||||||||||||||||||||
Acronyms
Aat: aspartate aminotransferase
Aco: aconitase
Acp: acid phosphatase
Ald: aldolase
Est: esterase
Gdh: glutamate dehydrogenase
Gpdh: glucose-6-phosphate dehydrogenase
Idh: isocitrate dehydrogenase
Lap: leucine aminopeptidase
Mdh: malate dehydrogenase
Per: peroxidase
Pgd: 6-phosphogluconate dehydrogenase
Pgi: phosphoglucose isomerase
Pgm: phosphoglucomutase
Table 3
Characterization of 16 late-budding norway spruce clones (Picea abies [L.] Karst.) using isozyme patterns of six different enzymes of current-year needles (Rothe 1990)
| Clone number: | 1G | 7G | 8G | 10G | 14G | 15G | 16G | 17G | 18G | 21G | 84B | 89B | 93B | 94B | 95B | 105B |
| Phenotypic isozyme patterns: | ||||||||||||||||
| ADH | 1 | 2 | 7 | 3 | 7 | 5 | 3 | 5 | 7 | 5 | 8 | 8 | 1 | 6 | 4 | 8 |
| EST | 4 | 4 | 5 | 5 | 5 | 5 | 2 | 1 | 2 | 3 | 1 | 1 | 1 | 1 | 1 | 1 |
| G6pDH | 3 | 1 | 1 | 3 | 3 | 3 | 2 | 3 | 3 | 3 | 3 | 3 | 6 | 4 | 5 | 4 |
| LDH | 1 | 1 | 2 | 1 | 2 | 2 | 1 | 1 | 1 | 1 | 2 | 2 | 1 | 2 | 2 | 1 |
| 6PGDH | 3 | 1 | 4 | 4 | 2 | 2 | 3 | 5 | 5 | 6 | 3 | 3 | 3 | 7 | 5 | 3 |
| SHDH | 4 | 4 | 3 | 4 | 3 | 3 | 1 | 1 | 2 | 2 | 3 | 3 | 2 | 2 | 2 | 3 |
| Acronyms: | ADH: alcohol dehydrogenase; EST: esterase (stained with c-naphthylphosphate andFast blue RR); G6pDH: glucose-6-phosphate dehydrogenase; LDH: lactate dehydrogenase; 6PGDH: 6-phosphogluconate dehydrogenase; SHDH: shikimate dehydrogenase |
| NB: | The clones number 1 to 24 were selected from trees of the provenance Goldap (G) while those numbered 84 to 105 were selected from spruce of the provenance Borken (B), both being located in Poland. |
Table 4
Average heterozygosity (H) of some deciduous tree populations (of. Perry and knowles 1988)
| Species | H |
| Acer saccharum | 0.27 |
| Alnus crispa | 0.136 |
| Populus balsamifera | 0.037 |
| Populus tremuloides | 0.42 |
| Populus trichocarpa | 0.09 |
| Quercus subg. Erythrobalanus | 0.081 |
Table 5
The genetic variability of coniferous populations expressed by average heterozygosity (H) (of. Kormutak et al. 1982)
| Species | H |
| Pinus contorta | 0.19 |
| Pinus jeffreyi | 0.26 |
| Pinus lambertina | 0.26 |
| Pinus silvestris | 0.41 |
| Pinus taeda | 0.34 |
| Pseudotsuga menziesii | 0.33 |
| Sitka spruce | 0.15 |
References
Aas, G. 1988 Untersuchung zur Trennung und Kreuzbarkeit von Stiel- und Traubeneiche (Quercus robur L. und Q. petraea (Matt.) Liebl.), Inaugural-Dissertation zur Erlangung der Doktorwürde der Forstwissenschaftlichen Fakultät der Ludwig-Maximilians Universität, München.
Adams, W.T. 1983 Application of isozymes in tree breeding, in: Tanksley, S.D. and T.J. Orton (Eds.): “Isozymes in plant genetics and breeding, Part A”, Elsevier Science Publ., Amsterdam, pp. 381–400.
Arulsekar, S.; D.E. Parfitt & G.H. 1985 McGranahan. Isozyme gene markers in Juglans species. J. Hered. 76: 103–106.
Bergmann, F. 1973 Genetische Untersuchungen bei Picea abies mit Hilfe der Isoenzym-Identifizierung, II. Genetische Kontrolle von Esterase- und Leucinaminopeptidase-Isoenzymen im haploiden Endosperm ruhender Samen. Theoretical and Applied Genetics 43: 222–225.
Bergmann, F. 1974 Genetic distance between populations. II. Determining the genetic distance between European populations of Picea abies on the basis of isozyme gene frequencies. Silvae Genet. 23: 28–32.
Bergmann, F. 1975 Adaptive acid phosphatase polymorphism in conifer seeds. Silvae Genetica 24: 5–6.
Bergmann, F. 1975a Herkunfts-Identifizierung von Forstsaatgut auf der Basis von Isoenzym-Gen-häufigheiten. Allg. Forst- u. J.- Ztg. 146: 191–195.
Bergmann, F. 1978 The allelic distribution at an acid phosphatase locus in norway spruce (Picea abies) along similar climatic gradients. Theor. Appl. Genet. 52: 57–64.
Bergmann, F. 1987 Characterization of multiclonal aspen cultivars using isozyme electrophoresis. Forest Ecology Management 22: 167–172.
Bergmann, F. & R. Scholz. 1987 The impact of air pollution on the genetic structure of norway spruce. Silvae Genetica 36: 80–83.
Bousquet, J.; W.M. Cheliak & M. Lalonde. 1987 Allozyme variability in natural populations of green alder (Alnus crispa) in Quebec. Genome 29: 345–351.
Bousquet. J.; W.M. Cheliak & M. Lalonde. 1988 Allozyme variation within and among mature populations of speckeld alder (Alnus rugosa) and relationships with green alder (Alnus crispa). Amer. J. Bot. 75: 1678–1686.
Cheliak, W.M. & J.A. Pitel. 1984 Electrophoretic identification of clones in trembling aspen. Can. J. For. Res. 14: 740–743.
Farmer, R.E.; W.M. Cheliak; D.J. Perry; P. Knowles; J. Barrett & J. Pitel. 1988 Isozyme variation in balsam poplar along a latitudinal transect in northwestern Ontario. Can. J. For. Res. 18: 1078–1081.
Fernald, M.L. 1950 Gray's manual of botany. Eighth edition. American Book Comp.
Fineschi, S. 1988 Short Note. Genetics of Chestnut (Castanea sativa Mill.). Silvae Genetica 37: 82–83.
Fowler, D.P. & R.W. Morris. 1977 Genetic diversity in red pine: evidence for low genetic heterozygosity. Can. J. Forest Res. 7: 343–347.
Gerhold, H.D. 1977 Effect of air pollution on Pinus strobus L. and genetic resistance. A literature review. Corvallis Environ. Res. Lab., EPA 600/3–77–002.
Gregorius, H.-R. H.H. Hattemer, F. Bergmann, G. 1985 & Müller-Starck, Umweltweltbelastung und Anpassungsfähigkeit von Baumpopulationen. Silvae Genetica 34: 230–241.
Guzina, V. 1978 Genetic control of isoperoxidases Px-A1, Px-A2, Px-B1, Px-B2 in aspen (Populus tremula). Ann. Forestales 8: 51–90.
Houston, D. 1978 Genetïc variation in peroxidase isozymes of Quercus rubra L. Fifth North American For. Biol. Workshop. Gainsville. Fla., March, 1978.
Hyun, O.J.; O.P. Rajora & L. Zsuffa. 1987 Genetic variation in trembling aspen in Ontario based on isozyme studies. Can. J. For. Res. 17: 1134–1138.
Kephart, S.R. 1990 Starch gel electrophoresis of plant isozymes: A comparative analysis of techniques. Amer. J. Bot. 77(5): 693–712.
Kim, Z.-S. 1979 Inheritance of Leucine Aminopeptidase and Acid Phosphatase Isozymes in Beech (Fagus sylvatica L.). Silvae Genetica 28: 68–71.
Kormuták, A.; F. Bencat; D. Rudin & R. Seyedyazdani. 1982 Isoenzyme variation in the four slovakian populations of Abies alba Mill. Biologia (Bratislava) 37: 433–440.
Lagercrantz, U.; N. Ryman & G. Stähl. 1988 Protein loci in diploid tissue of norway spruce (Picea abies K.): description and interpretation of electrophoretic variability patterns. Hereditas 108: 149–158.
Lundquist, K. 1979 Allozyme frequency distributions in four Swedish populations of norway spruce (Picea abies K.) Hereditas 90: 127–143.
Manos, P.S. & D.E. Fairorothers s. 1987 Allozyme variation in populations of six Northeastern American Red Oaks (Fagacea: Quercus subg. Erythrobalanus). Systematic Botany 12: 365–373.
Markert, C.L.(Ed.). 1975 Isozymes. Vol 1–4, Academic Press, New York.
Moran, G.F.; J.C. Bell & A.C. Matheson. 1980 The genetic structure and levels of inbreeding in a Pinus radiata D. Don seed orchard. Silvae Gent. 29: 190–193.
Müller, G. 1976 A simple method of estimating rates of self-fertilization by analyzing isozymes in tree seeds. Silvae Genetica 25: 15–17.
Müller-Starck, G. 1985 Genetic differences between “tolerant” and “sensitive” beeches (Fagus sylvatica L.) in an environmentally stressed adult forest stand. Silvae Genetica 34: 241–246.
Muona, O.; R. Yazdani & G. 1987 Lindquist. Analysis of linkage in Picea abies. Hereditas 106: 31–36.
Nei, M. & A.K. Roychoudhury. 1974 Sampling variances of heterozygosity and genetic distance. Genetics 76: 379–390.
Olsson, U. 1975 Peroxydase isozymes in Quercus petraea and Quercus robur. Bot., Notiser 128: 401–411.
Perry, D.J. & P. Knowles. 1988 Allozyme variation in sugar maple at the northern limit of its range in Ontario. Canada, Can. J. For. Res. 19: 509–514.
Poulsen, H.; V. Simonsen & H. Wellendorf. 1983 The inheritance of six isoenzymes in norway spruce Picea abies (L.) Karst. Forest Tree Improvement 16: 13–33.
Rothe, G.M. & W.D. Maurer. 1986 One-dimensional PAA-gel electrophoretic techniques to separate functional and denatured proteins, in: M. Dunn (Ed.) Gel electrophoresis of proteins, Wright, Bristol.
Rothe, G.M. 1988 Möglichkeiten und Grenzen von Isozym-Analysen zur Ermittlung der genetischen Konstitution von Waldbäumen. Allg. Forst Z., 43(49): 1336–1338.
Rothe, G.M. 1990 Identifizierung von Fichtenklonen durch Isozymanalysen an Nadeln. Allg. Forst- u. J. Ztg. 161: 104–107.
Scholz, F. & F. Bergmann. 1984 Selection pressure by air pollution as studied by isozyme-gene-systems in norway spruce exposed to sulphur dioxide. Silvae Genetica 33: 238–240.
Shaw, D.V. & R.W. Allard. 1981 Analysis of mating system parameters and population structure in Douglas-fir using single-locus and multi-locus methods, in: Conkle, M.T. (Technical Coordinator), Proc. Symp. Isozymes North Am. forest trees and forest insects, Berkeley, C.A. USDA Forest Serv. Gen. Techn. Rep. PSW-48, pp. 18–22.
Shen, H. - H.; D. Rudin & D. Lindgren. 1981 Study of the pollination pattern in a Scots pine seed orchard by means of isozyme analysis. Silvae Genet. 29: 190–193.
Steinhoff, R.J.; D.G. Joyce & L. Fins. 1983 Isozyme variation in Pinus monticola. Can. J. For. Res. 13: 1122–1132.
Surles, S.; J.L. Hawrick & B.C. Bongarten. 1989 Allozyme variation in black locust (Robinia pseudoacacia). Can J. For. Res. 19: 471–479.
Tigerstedt, P.M.A. 1973 Studies on isozyme variation in marginal and central populations of Picea abies. Hereditas 75: 47–60.
Tobolski, J.J. 1978 Isozyme variation in several species of oaks. Proceedings of the Second Central Hardwood Forest Conference, Purdue University, West Lafayette, Indiana, November
Tzschacksch, O. & M. Weiss. 1972 Die Variation der SO2 Resistenz von Provenienzen der Baumart Fichte (Picea abies (L.)) Karst. Beitr. Forstwirtsch. 3: 21–23.
Weber, J.C. & R.F. Stettler. 1981 Isoenzyme variation among ten populations of Populus trichocarpa Toor et Gray in the Pacific Northwest. Silvae Genetica 30: 82–87.
Wendel, J.F. & C.R. Parks. 1985 Genetic diversity and population structure in Camellia japonica L. (Theaceae). Am. J. Bot. 72: 52–65.
Yeh, F.C. & D. O'Malley. 1980 Enzyme variations in natural populations of douglas-fir Pseudotsuga menziesii (Mirb.) Franco, from British Columbia, 1. Genetic variation patterns in coastal populations. Silvae Genet. 29: 83–92.
Yeh, F.C. & Y.A. 1989 El-Kassaby. Enzyme variation in natural populations of sitka spruce (Picea sitchensis), 1. Genetic variation patterns among trees from 10 IUFRO provenance. Can. J. For. Res. 10: 415–422.
(i) isoenzymes arise from multiple gene loci, which code for structurally distinct polypeptide chains of the enzyme;
(ii) allozymes (or alleloenzymes), are structurally distinct variants of a particular polypeptide chain, coded by multiple alleles at a single locus;
(iii) secondary isozymes result from post-translational modifications of the enzyme structure;
The distinction between multiple alleles and multiple gene loci as causes of isozyme formation is that multiple alleles are the result of differences between individual members of a certain species, whereas multiple loci are common to all members of a species.
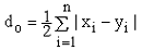
The genetic distance (do) is a quantification of the difference between two statistical distributions of gene frequencies. The genetic distance can obtain values ranging from 0 to 1. The value 1 is obtained, when no common alleles are present in the two populations. The value 0 indicates, that the populations are genetically identical (Rothe 1988).
The average heterozygosity is the same as the average probability of two genes selected at random not being identical. The figure is independent of the frequency of observed heterozygotes, since it does not take non-random crossings and selection into account. It is based only the observed gene-frequencies. (Rothe 1988).
5 International Union of Forest Research Organizations