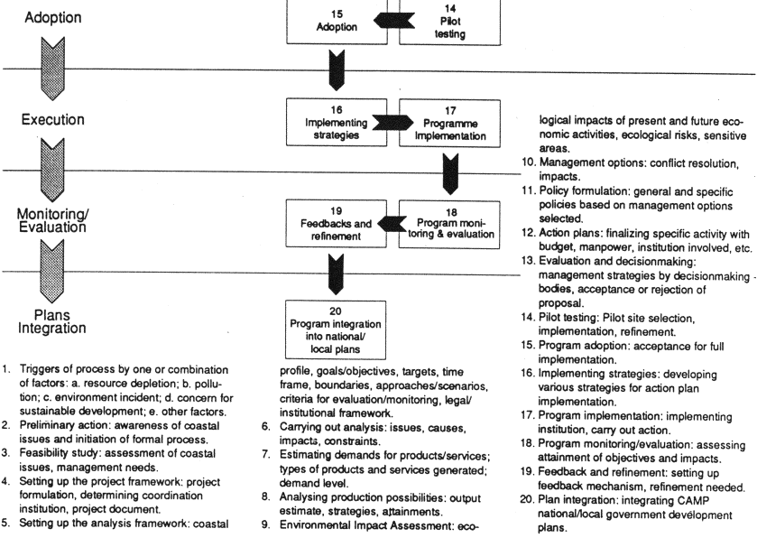
An example for the development of an integrated coastal zone management plan (from Chua, 1989)
An example for the development of an integrated coastal zone management plan (from Chua, 1989)