This Appendix to the annual report, provides a summary of the results of work currently in progress and the observations and deductions are likely to be modified after consideration of any new data derived from future observations.
The lake investigation programme of work has the primary goal of defining the productive capacity of the Qinghai Hu. Of major importance is the growth rates of the fish species that are exploited. In effect the lake contains only one species population, that of the naked carp Gymnocypris przewalskii przewalskii. The fishery exploits only this species.
Qinghai Hu is a high altitude sub-arctic lake with summer water temperatures that rarely exceed 15°C. The lake is ice covered from mid-November until March or April each year. Under these conditions basic productivity is very low, and the populations of phytoplankton, macrophytes and secondary producers are low in density, few in species and with a productive period restricted to the six summer months.
Scales taken from the anal area of the naked carp show well defined annuli and have been used for some time to estimate the age of fish caught by the commercial fishing trawlers. During the intensive sampling of the trawler landings undertaken by the project team, a selection of fish were sampled and scales taken for later reading. A similar procedure was adopted for fish taken from the experimental gill nets.
Scatter diagrams were drawn from the data and compare age of the fish with the Standard Length and with the Total Weight. From these data sets a regression line was fitted to indicate the rate of growth.
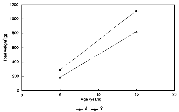
The results of these observations are summarised in Figures A2/1 to A2/6 and Table A2/1.
The measurement of the Standard Length is a more precise estimator of growth than the measurement of Total Weight. The SL effectively a measures skeletal length and is not subject to the variations in weight due to the condition of the fish, gonad state or gut contents. This precision is indicated in the low standard errors in the regression coefficients for the length measurements compared with those of the weight measurements (see Table A2/1).
For fish over 4 years old the average growth in length is in the order of 15 mm per year for both males and females. For the same age group the increase in weight is 62 g a year for males and 63 g a year for females. (See Figures A2/1 to A2/6)
Although the data do not allow for a more precise definition of the growth curve it will be assumed that the growth rate will tend to decline in the oldest fish. It is also noteworthy from the samples, that apparently the male fish have a shorter life span (1 specimen aged 11 years) than females (1 specimen aged 19 years).
Fig. A1/2
QINGHAI HU
Total annual catch (1970–1990)

Records of the Bureau of Aquatic Products. Xining. Record from Fish Factory landings only.
Note: From 1987 Quota of 1200 t/yr Imposed.
Fig. A1/3
QINGHAI HU
Changes in the CPUE for fishing in locality “M”

Data analysed from fishing trip log-books of Qinghai Hu Fish Factory fleet. Records from old wooden trawlers only. Locality “M” la that locality of the lake closest to the Fish Factory ba
Fig. A1/4
QINGHAI HU
Measurement of flash samples from trawi net catches (1964–1991)

Samples taken from trawl net catches landed by the Qinghai Hu Fish Factory fleet
Fig. A2/1
QINGHAI HU
Gymnocypris: correlation of age by scale reading with standard length (SL) (♀)

Samples from factory trawl catches 4/90–9/91 And experiment gillnets
n=304
Fig. A2/2
QINGHAI HU
Gymnocypris: correlation of age by scale reading with standard length (SL) (♂)

Samples from factory trawl catches 4/90–9/91
n=86
Fig. A2/3
QINGHAI HU
Gymnocypris: growth rate (SL) from scale readings

♂ regression equation y=17.28+1.55x (n=56).; ♀ regression equation y=17.48+1.53x
(n =228), Samples from factory trawl catches 4/90–9/91
Fig. A2/4
QINGHAI HU
Gymnocypris: correlation of age by scale reading with weight (♂)

Samples from factory trawl catches 4/90–9/91
n=66
Fig. A2/5
QINGHAI HU
Gymnocypris: correlation of age by scale reading with weight (♀)

Samples from factory trawl catches 4/90–9/91
n=66
Fig. A2/6
QINGHAI HU
Gymnocypris: growth rate (Weight) from scale readings

♂ regression equation y = - 123.52 + 62.28X (n=56): ♀ regression equation y = - 133.23 + 63.46
(n=228). Samples from factory trawl catches 4/90–9/91
Tab. A2/1
Regression output for > 4 years old
| Female (SL) | ||
| Constant | 17.47733 | |
| std Err of Y Est | 2.157589 | |
| R Squared | 0.713313 | |
| No. of Observations | 228 | |
| Degrees of Freedom | 226 | |
| X Coefficient(%) | 1.528504 | |
| Std Err of Coef. | 0.064374 | |
| Male (SL) | ||
| Constant | 17.28121 | |
| Std Err of. Y Est | 2.890423 | |
| R Squared | 0.499712 | |
| No. of Observations | 58 | |
| degrees of Freedom | 54 | |
| X Coefficient(%) | 1.554711 | |
| Std Err of Coef. | 0.211651 | |
| Female (Wt) | ||
| Constant | -133.229 | |
| Std Err of Y. Est | 73.50838 | |
| R Squared | 0.787452 | |
| No. of Observations | 228 | |
| Degrees of Freedom | 226 | |
| X coefficient (%) | 63.48383 | |
| Std Err of Coef. | 2.193187 | |
| Male (Wt) | ||
| Constant | -123.519 | |
| Std Err of Y Est | 76.81642 | |
| R Squared | 0.708399 | |
| NO. of Observations | 58 | |
| Degrees of Freedom | 54 | |
| X Coefficient (%) | 82.28251 | |
| std Err of Coef. | 5.437814 | |