(División 34.3.1 de C.P.A.C.O.)
por
*Ana RAMOS MARTOS
*Ignacio SOBRINO YRAOLA
*Ma Teresa GARCIA JIMENEZ
*Lourdes FERNANDEZ PERALTA
*Centro Oceanográfico de Fuengirola
Puerto Pesquero s/n 29640 Fuengirola
MALAGA (ESPAÑA)
RESUMEN
Desde 1986 una parte de la flota congeladora española faena en la ZEE de Guinea-Bissau bajo licencia comunitaria para la pesca de “marisco”. La especie objetivo de esta flota es la “gamba blanca” (Parapenaeus longirostris Lucas, 1846) que constituye el 87% de las capturas totales.
En el presente trabajo se presenta por primera vez una descripción de esta pesquería, detallándose las caracteristicas de flota y artes, especies capturadas, áreas de pesca y la evolución de los esfuerzos, capturas y rendimientos de la flota durante los años 1987–90.
ABSTRACT
Since 1986 part of the Spanish freezer fleet fishes shellfish in the Guinea-Bissau EEZ under European Community licence. The target specie of these bottom trawlers is the “deppwater roseshrimp” (Parapenaeus longirostris Lucas, 1846), which constitutes the 87% of the total catches.
In this paper, a description of this fisherie is presented for the first time. The characteristics of the fleet and the fishing nets are described, pointed out the species caught, the fishing areas, as well as, the evolution of the efforts, catches and yields during 1987–90 period.
1. INTRODUCCION
La explotación de crustáceos profundos en las costas noroestes de Africa tropical es relativamente antigua (Thiam et al, 1981). En el año 1963, diversos organismos oficiales de investigación y armadores privados, llevaron a cabo con éxito las primeras prospecciones de los stocks de crustáceos existentes entre Senegal y Angola. Los rendimientos de gamba blanca obtenidos en algunas áreas del Golfo de Guinea (Crosnier et Tanter, 1968), hicieron pensar en la posibilidad de rentabilizar la pesca gracias a la captura de esta especie. La presencia de otros crustáceos profundos, “alistado”, “carabinero” y “cangrejo”, tambien era conocida y podían ofrecer buenas perspectivas de explotación.
Aunque la pesca artesanal de peneidos costeros se ha practicado desde tiempo inmemorial en los paises ribereñs, puede considerarse que la pesca industrial de crustáceos comienza en las aguas del Golfo de Guinea en 1965. Fué la flota de arrastre española la que inició las pescas comerciales en la plataforma de Senegal, firmandose los primeros Acuerdos Pesqueros entre Senegal y España en 1975. La pesquería, que en 1964 era inexistente, ha sufrido un desarrollo espectacular de las capturas, especialmente a partir de 1977, alcanzando en 1980 las 6000 tn (Thiam et al., 1990).
En la pasada década las sucesivas restricciones que los nuevos Acuerdos de Pesca firmados con Marruecos, Mauritania y Senegal, áreas de pesca tradicionales de la flota española de altura, han obligado a esta a la búsqueda de nuevas áreas de pesca. Los adelantos técnicos de las embarcaciones y de los sistemas de conservación, por otra parte, han permitido los desplazamientos a caladeros cada vez más alejados.
Hasta los años 1986-87, los barcos que iban quedando sin licencia, comenzaron a pescar en otros países del Golfo de Guinea gracias a la existencia de Acuerdos Privados y a partir de esta fecha las negociaciones de la C.E.E. con los Gobiernos respectivos, impusieron a nuestra flota la normativa de los nuevos Acuerdos Pesqueros en su calidad de miembro de la C.E.E.
Los Acuerdos de Pesca con Guinea Bissau y Guinea Conakry afectan de manera directa a la flota española desde 1986. El Acuerdo con el Gobierno de Sierra Leona se ha rubricado en diciembre de 1990, pero aún no ha entrado en vigor.
La flota española marisquera congeladora que pesca en el área Guinea Bissau-Sierra Leona (Fig. 1), lo hace casi exclusivamente en aguas de Guinea Bissau. Muchos de estos barcos tienen licencia para dos o más caladeros próximos (Senegal, Gambia), entre los que alternan sus actividades.
A Guinea Conakry solo se desplazaron un barco marisquero en 1987 y dos en 1989. En Sierra Leona no faena la flota marisquera, ya que la morfologia y naturaleza de los fondos, duros y de talud escarpado, no permite el mantenimiento de este tipo de pesquerias. En estos dos paises, además, la explotación de crustáceos profundos no parece en principio rentable. Por todas estas razones en este informe solo se hará referencia a las pesquerias de Guinea Bissau.
2. CARACTERISTICAS DE LA PLATAFORMA GUINEANA
La plataforma guineana entre Cabo Roxo y los Bancos de Santa Ana, con una amplitud de 75 millas en el norte y aproximadamente 60 millas en el sur, es la más ancha del oeste africano. Frente a Guinea-Bissau esta plataforma, con una superficie de 10 811 mn, ve reducida su anchura efectiva a unas 30 millas en la zona sur, a causa del Archipiélago de Bissagos. En esta área, como lo demuestra la separación de las líneas isobáticas de 200 y 1000 m, su amplitud es máxima (Fig.2).
Los depósitos del fondo, desde Bissagos hasta la frontera con Guinea Conakry, entre 20– 75 m, son duros y están asociados en su parte externa a bancos y arrecifes (Williams, 1968). Esta zona está atravesada por numerosos cañones y valles submarinos (McMaster et al, 1971) (Figs. 3). En el norte los sedimentos son principalmente blandos (fangos y arenas) y están relacionados con la desembocadura de los rios.
Si bien los fondos son todos arrastrables entre 15–50 m, entre 50 y 200 solo lo son el 92% de ellos a causa de los bancos rocosos coralinos existentes entre 70 y 100 m. Además de los bancos de la zona sur, se extienden otros por el norte de la platafroma frente a Ziguinchov.
Por fuera de los 200 m los depóositos varian de blandos (fangos y arenas) a duros (cascajo, gravas y rocas), mientras que a mayor profundidad, entre 400 y 600 m, los sedimentos son todos blandos (Williams, 1968).
3. DESCRIPCION DE LA PESQUERIA
Toda la información disponible coincide en señalar a la división 34.3.1 de C.E.C.A.F. (Cabo Verde) como la zona más rica del Golfo de Guinea. La alta productividad de la plataforma guineana, calculada a partir de los datos del Guinean Trawling Survey, hace que esta sea considerada como muy rica en recursos halieúticos (Williams, 1968).
Este hecho ha ocasionado la afluencia de arrastreros extranjeros, que desde la década de los 70 operan en aguas guineanas al amparo de diversos acuerdos. En 1979 era 93 el número total de arrastreros, de nacionalidad francesa y senegalesa, que faenaban en Guinea-Bissau. De ellos, 24 se dedicaban a la captura de marisco.
En la actualidad unos 30 barcos con bandera española faenan en aguas de Guinea Bissau y Guinea Conakry, dedicados a la explotación de recursos de Cefalópodos y Crustáceos.
3.1. EL ACUERDO DE PESCA C.E.E.-GUINEA BISSAU
El Acuerdo de Pesca entre la C.E.E. y el Gobierno de Guinea Bissau sobre la pesca en sus costas se firmó en Bissau el 27 de febrero de 1980. Este protocolo fué modificado por posteriores Acuerdos renovados en 1987 y 1989, siendo estos dos últimos los que han afectado de manera directa a la flota española.
El actual Protocolo, que entró en vigencia el 16 de junio de 1989, tendrá validez por tres años, hasta el 15 de junio de 1991. Las claúsulas de este Acuerdo, que afectan a las pesquerias de Crustáceos, se refieren a los siguientes aspectos:
Para los buques arrastreros “marisquerosrdquo se fija un T.R.B. mensual máximo de 10 000 (media anual), si bien se contempla la posibilidad de ampliaciones en partidas sucesivas de 1 000 T.R.B. /mes, a petición de la Comunidad.
Se autoriza la pesca con tangones.
La malla minima en el copo es fijada en 40 mm (malla estirada) a partir del 1 de agosto de 1989.
La pesca puede ser ejercida en toda la costa de Guinea Bissau, en aguas situadas por fuera de las 12 millas naúticas a partir de líneas de base.
3.2. LA FLOTA
Los barcos españoles que faenan en aguas de Guinea Bissau se engloban en la modalidad de arrastreros congeladores, disfrutando de licencias trimestrales, semestrales o anuales. La mayoria de estas embarcaciones poseen fambien licencias de pesca para otros caladeros, principalmente para Senegal, y algunos para Gambia.
Esta flota descarga, por su proximidad geográfica, en los puertos de Dakar y Las Palmas, si bien las capturas, casi en su totalidad, son transportadas y vendidas en el puerto de Huelva, en donde están basados la mayoria de los barcos.
Las unidades tienen una eslora comprendida entre 20 y 50 m, y una potencia media que osciló, en los años 1986–90, entre 840 y 900 CV. El registro bruto medio se ha mantenido en estos años entre 210 y 280 TRB, apreciándose una disminución desde 1987 (Tabla I, fig. 4).
En las tablas II y III se recoge la distribución de esta flota por categorias de registro bruto (TRB) y potencia (CV) para los cinco años de duración de la pesquería. El 68% de las unidades tienen un TRB comprendido entre 150 y 300, y el 62% una potencia entre 700 y 1100 CV (figs. 5a y b). Practicamente esta flota es la misma que faena en los caladeros senegaleses, cuyas caracteristicas son bien conocidas por trabajos anteriores (Thiam et al, 1981; 1990).
3.3. ARTES Y CARACTERISTICAS DE LA PESCA
La pesca se lleva a cabo con dos artes de tangones para la captura de gamba hasta profundidades de 400 e incluso 500 m. Para la captura de las especies de profundidad, “alistado” y “carabinero”, se utiliza el arte de marisco clásico de arrastre con puertas por la popa. Dos esquemas tipo de la forma y medidas de los artes de tangón y clásico, facilitadas por la Empresa Marvasa, se presentan en las figuras 6 y 7.
Las redes son en todos los casos de polietileno, de muy poco peso, y van armadas de cadenas en la linea de plomos y de flotadores en la de corchos, teniendo como objetivo principal el conseguir una abertura vertical mínima que evite en lo posible las capturas de peces. La luz de malla en el copo es la reglamentaria de 40 mm.
Normalmente los arrastres para la captura de “gamba” se realizan de dia, ya que de noche la capturabilidad de esta especie disminuye, e indistintamente de día y de noche, aunque con preferencia de noche, para la captura de “alistado”.
El número de lances diarios suele ser de 5–6, con una duración normal de tres horas.
3.4. ESPECIES OBJETIVO
La especie que por su valor económico constituye el objetivo de esta flota es la “gamba blanca” (Parapénaeus longirostris Lucas, 1846), siendo la segunda especie en interés el “alistado” (Aristeus varidens Holthuis, 1952). Como especies secundarias, si bien tambien de importante valor económico, se capturan “carabinero” (Plesiopenaeus edwardsianus Johnson,1867), “camarón (Plesionika spp.), “cangrejo” (Geryon maritae Manning & Holthuis, 1981), “moruno” (Aristeomorpha foliacea Risso, 1827) y “langostino” (Penaeus notialis Pérez-Farfante, 1967).
Todas ellas, a excepción del “langostino”, son crustáceos profundos que se capturan entre 200 y 600 metros, principalmente en fondos fangosos.
La “gamba blanca”, especie objetivo, se pesca en un rango de profundidad más amplio, entre 100 y 400 metros preferentemente, en fondos de arenas fangosas. Su distribución batimétrica varia en función de la talla, ocupando los individuos más grandes las zonas más profundas (FAO, 1981). El ”alistado”, la segunda especie objetivo, se captura a mayor profundidad, a partir de los 300 metros, mientras que la pesca de “langostinos” siempre se realiza a profundidades inferiores a 100 m.
Además de Crustáceos se pescan cantidades poco significativas de Cefalópodos, principalmente “choco”, y algunos peces como rape, lenguado, etc.
3.5. AREAS DE PESCA
El análisis grosero de los partes de captura diarios muestra que, actualmente la zona de captura de la flota marisquera se extiende a todo lo largo de las costa de Guinea-Bissau, en una ancha franja que ocupa entre los 50 y los 700–800 m, aproximadamente (Fig. 8). Entre Cabo Roxo y el archipiélago de Bissagos, debido a la menor anchura de la plataforma el área de pesca es más estrecha, extendiéndose entre los 17o 00' y los 17o 20' de longitud oeste. Al sur de Bissagos, hasta la frontera con Conakry, la plataforma es muy ancha, y como consecuencia tambien lo es el área de pesca que abarca entre los 16o 30' y los 17o 30' de longitud oeste.
La “gamba” se pesca de manera general por toda el área. El principal caladero de “alistado” está situado, actualmente, en el sur, entre los 10o 00' y 10o 30' de latitud norte, en la zona más profunda, en la que tambien se pesca “carabinero”. No obstante, hace algunos años el principal caladero de pesca de “alistado” se extendía entre los 11o 20' y los 12o 00'. Este caladero era ya conocido por la flota que faenaba en Senegal, si bien el arrastre ofrecia dificultades por la presencia de cañones submarinos (Revidiego, com. pers.).
La zona de pesca de “camarón” parece extenderse preferentemente por el norte de la plataforma, al sur de Cabo Roxo. En la misma área, en aguas más someras, se captura tambien "langostino" entre 50–100 m. Este caladero de “langostino”, descubierto en la década de los 60, produjo rendimientos diarios de hasta 730 kilos (Crosnier et Bondy, 1967). En el presente toda la zona al sur de cabo Roxo, cercana a las desembocaduras de los rios Cacheu y Cassamance, parece estar muy explotada.
3.6. ESFUERZOS, CAPTURAS Y RENDIMIENTOS
3.6.1. Procedencia y tratamiento de los datos
Las estadísticas pesqueras disponibles, utilizadas en la elaboración del presente informe proceden del sector pesquero (ANAMAR) y de la Secretaria General de-Pesca Marítima, cubriendo los años 1986–1990.
Para el cálculo de los esfuerzos mensuales se han empleado los partes de captura diarios facilitados por la Secretaria General de Pesca Maritima. Como unidad de esfuerzo se ha considerado el día de pesca efectivo en caladero, para el total de las embarcaciones. Los esfuerzos representan por tanto valores reales, no estimaciones, aunque están sin estandarizar. Los esfuerzos de 1990 no deben de estar completos, por lo que los datos de este ano son aún provisionales.
Las cifras de capturas, facilitadas por la Asociación Nacional de Armadores de Marisco (ANAMAR), agrupa bajo la única categoria de "marisco" a todas las especies de Crustáceos. La falta de tiempo ha impedido dar un tratamiento exhaustivo al cálculo de las capturas por especie, ya que los partes de captura diarios de esta pesqueria aún no han sido informatizados y elaborados. Por esta razón la composición especifica real de las capturas por meses se ha podido calcular unicamente para los datos de 1989, aplicándose luego los porcentajes obtenidos para la estimación de las capturas mensuales por especie del resto de los años, 1987, 1988 y 1990.
3.6.2. Análisis de los datos
Esfuerzos
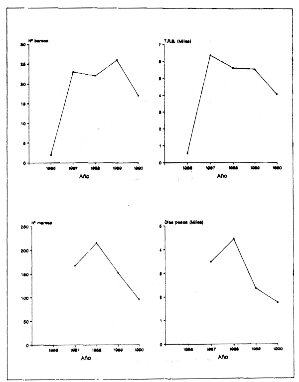
En la tabla IV y las figuras 9 (a-d) se presenta la evolución de los esfuerzos medios anuales en no de unidades, TRB utilizado y no de mareas y dias de pesca efectivos, desde el inicio de la pesqueria.
Si bien en 1986, año en el que el Acuerdo de Pesca Comunitario Comenzó a aplicarse a la flota española, sólo pescaron en el caladero dos unidades, su número aumentó a 23 en 1987, con un máximo de 26 barcos en 1989. En el pasado año se ha observado una fuerte disminución, faenando solo 17 embarcaciones.
El TRB utilizado por el conjunto de la flota con licencias de pesca para Guinea-Bissau ha oscilado entre 4 000 y 6 500, cifras inferiores en cualquier caso al valor del TRB máximo que se contempla en el Acuerdo. El registro bruto máximo correspondió a 1987, año en el que tambien el TRB medio por unidad fué el más elevado (Tablas I y II).
Los esfuerzos en número de mareas y dias de pesca (figs. 9c y d) fueron máximos en 1988, presentando una fuerte caida a partir de este año. El número de mareas, 215 en 1988, pasó a 152 en 1989 y a 95 en 1990. Los dias de pesca presentan una evolución paralela, con un máximo de 4 443 dias de pesca efectivos en 1988, disminuyendo en los dos años siguientes. A pesar de que los datos de 1990 no están completos, todo parece indicar que en el pasado año el esfuerzo ha seguido descendiendo.
El análisis de los esfuerzos mensuales (figs. 10 a y b) muestran una estacionalidad bastante marcada en la pesqueria. Los esfuerzos se concentran en el primer semestre y caen durante los meses de verano (junio-agosto), recuperandose posteriormente en otoño. Esta evolución podria estar marcada por los desplazamientos de la flota a caladeros próximos al finalizar el período de licencia semestral de que disfrutan muchas de las unidades durante la primera parte del añ, en que como veremos más adelante, los rendimientos en el caladero son más elevados. En la temporada de 1990 no se aprecia esta evolución quizás debido a un sesgo en la información de que, hasta el momento, se dispone.
Capturas y rendimientos
Las capturas anuales de la flota marisquera en aguas de Guinea Bissau, entre 1987 y 1990, han oscilado entre 1000 y 1700 t. Tal y como se observa en la tabla V y en la figura 11 a, las capturas están dominadas por la “gamba”, especie objetivo de las pesquerías españolas en el área.
La composición específica de la captura mensual se ha calculado para 1989 a partir de los datos de base (partes diarios). En el resto de los años ha sido estimada a partir de los porcentajes obtenidos en 1989. La proporción de “gamba” varía a lo largo de los meses entre 76% y 97% (Tabla VII). La única excepción se produce en septiembre. En este mes las capturas de “gamba” constituyen unicamente el 37.4%. Como se aprecia en la figura 13 a-d), en que se ha representado la evolución de las capturas (totales, gamba y otros crustáceos) durante los añ 1987–90, la menor proporción de “gamba” va siempre acompañada de una mayor captura de otros crustáceos de profundidad, “camarón” y “alistado”, principalmente.
En la tabla VI se ofrecen los datos completos sobre la actividad de la pesquería. Además de los esfuerzos, que ya han sido analizados, se presenta la evolución de las capturas (kg) y rendimientos (kg/día pesca) mensuales del total y de “gamba”.
Los rendimientos medios (fig. 11b) oscilaron entre 420 y 385 kg/dp, excepto en 1990, en que estos valores parecen haberse disparado. Las cifras de este año han de ser tratadas con precaución hasta que se revisen proximamente. Los rendimientos de la flotilla marisquera congeladora que faena en caladeros de Senegal son mucho más elevados (600–800 kg/dp para el total de especies) (Thiam et al., 1990).
Los rendimientos mensuales totales son paralelos a los de “gamba” a lo largo del año, menos entre junio-octubre, en que los de ésta descienden bruscamente. En el mes de septiembre los rendimientos de “gamba” son claramente inferiores (Figs. 14 a-d). Este fenómeno tambien se produce en otros caladeros cercanos durante la estación cálida (Thiam et al., 1981; 1990).
Durante estos meses aumentan en compensación la proporción de otros crustáceos profundos. Como se ve en la tabla VII, en septiembre el porcentaje de “alistado” es practicamente igual que el de “gamba” (36.9 y 37.4%, respectivamente), incrementándose tambien las capturas de “camarón”.
En las tablas VIII-XI se presentan, pormenorizadas por especie, las capturas mensuales de la pesquería durante el período 1987– 90.
5. CONCLUSIONES
Tal y como ya ha quedado demostrado en campañas de prospección pesquera de los recursos demersales, entre Senegal y Angola, la productividad parece ser muy inferior a la del resto de las plataformas del oeste africano (Williams, 1968). Durante la campaña Guinean Trawling Survey, los rendimientos de “gamba” significativos, y no parecían ofrecer perspectivas a la explotación comercial de los crustáceos, a excepción del “langostino”.
El hecho de que la pesca de crustáceos profundos se haya desarrollado a partir de Senegal, hacia el norte, y de Angola, hacia el sur, sugieren que los rendimientos económicos parecen insuficientes para retener a las flotas marisqueras en aguas del Golfo de Guinea. Este hecho es expresado claramente por los armadores del sector, quienes manifiestan que a duras penas pueden mantener a sus flota en aguas de Senegal y Guinea-Bissau. En 1990, el número de unidades que han faenado en aguas de Guinea-Bissau ha sido sólo de 17, debido a los bajos rendimientos obtenidos en la zona en los últimos dos bajos rendimientos desplazamiento del esfuerzo hacia caladeros más ricos, Angola y Mauritania principalmente.
6. AGRADECIMIENTOS
Agradecemos a D. Alonso Conde (ANAMAR), D. Francisco Pastoriza (DIMAROSA) y D. Jose Revidiego (MARVASA), la valiosa ayuda que nos han prestado al proporcionarnos sin demora toda la información que se les ha requerido.
A nuestro compañero Luis López Abellán, experto en pesquerias de crustaceos africanos, por su apoyo.
7. BIBLIOGRAFIA
CARDENAS, E., N. LUYEYE, M.L. SARDINHA e I. SOBRINO. 1989. Informe de la prospección pesquera de los stocks demersales de crustaceos en aguas de la República Popular de Angola. Inf. Inst. Esp. Oceanogr. (miemo).
CROSNIER A. et E. BONDY. 1967. Les crevettes commercialisables de la côte de l'Afrique inter-tropicale. O.R.S.T.O.M. Init. Doc. tech. 7: 72 pp.
CROSNIER A. et J.J. TANTER. 1968. La pêche des crevettiers espagnols au large du Congo et de l'Angola. Pêche Martim., 1085: 539–41.
DOMAIN, F. 1979. Les ressources démersales de l'Atlantique Centre-est. FAO Doc. Tech. Pêch. 186.1: 79–122.
FAO. 1980. Report of the second ad hoc working group on coastal demersal stocks from southern Mauritania to Liberia (CECAF Statistical divisions 34.3.1 and 34.3.3.) CECAF/ECAF SERIES 80/23.
FISHER, W., G. BIANCHI & W.B. SCOTT. 1981. FAO species identification sheets for fishery purposes. Eastern central Atlantic. FAO. Dep. Fish. Oc. Canada.
LOPEZ ABELLAN, L.J. y E. CARDENAS. 1989. Resultados de la campaña de prospección pesquera de los stocks de crustaceos en aguas de la República Popular de Angola “Angola 8903”. Inf. Inst. Esp. Oceanogr. (mimeo).
McMASTER, R.L., T.P. LACHANCE and A. ASHRAF. 1970. Continental shelf geomorphic features off Portuguese Guinea, Guinea and Sierra Leona (West Africa). Mar. Geol. 9 (3): 203–13
THIAM D., A. CAVERIVIERE et M. THIAM. 1981. La pêche des crevettiers espagnols au large du Sénegal en 1980 et récapitulatif sommaire des résultats pour la période 1977–1980.
THIAM D., A. CAVERIVIERE et M THIAM. 1990. L'exploitation des merlus et des crevettes profonds au Senegal. COPACE/PACE SERIES 90/51.
WILLIAMS F. 1968. Report on the Guinean Trawling Survey. Publ. Organ.Afr.Unity Sci.Tech.Res.Comm. 99, 3 vol.

Fig. 1. Localizacién de la zona Guinea Bissau - Sierra Leona.

Fig. 2. Batimitria de la plataforma y talud continental guineanos (McMaster et al., 1971).

Fig. 3. Principales rasgos morfológicos de la plataforma guineana (McMaster et al., 1971).

Fig. 4. Evolución del TRB medio de la flota marisquera.

Fig. 5(a y b). Distribución por TRB y CV de la flota marisquera.

Fig. 6. Esquema del arte de tangón de 51 m. de burlón. (Fuente : Marvasa)

Fig. 7. Esquema del arte clásico de tangón de 92 m. de burlón. (Guente : Marvasa)

Fig. 8. Zonas de pesca de la flota marisquera.

Fig. 9(a-d). Evolución del esfuerco medio anual en n° de unidades, TRB total, n° de mareas y de dias de pesca.

Fig. 10(a y b). Evolución de los esfuerzos mensuales reales en n° de mareas y dias de pesca.

Fig. 11(a y b). Evolución de las capturas y rendimientos totales y de gamba.

Fig. 12(a y b). Composición especifica de la captura global y por meses en 1989.

Fig. 13(a-d). Capturas mensuales del total, gambas y otros. Años 1987–90.

Fig. 14(a-d). Rendimientos mensuales del total y gamba. Años 1987–90.
| 1986 | 1987 | 1988 | 1989 | 1990 | |
|---|---|---|---|---|---|
| Nomero | 2 | 23 | 22 | 26 | 17 |
| T.R.B. | 275 | 276 | 255 | 213 | 239 |
| M.P. | 915 | 882 | 901 | 842 | 883 |
| Año/T.R.B. | 1986 | 1987 | 1988 | 1989 | 1990 | № | |
|---|---|---|---|---|---|---|---|
| 0–150 | - | 4.3 | 13.6 | 19.2 | 11.8 | 11 | 12.2 |
| 150–200 | - | 21.7 | 31.8 | 38.5 | 17.6 | 25 | 27.8 |
| 200–250 | - | 17.4 | 9.1 | 15.4 | 35.3 | 16 | 17.8 |
| 250–300 | 100.0 | 34.8 | 18.2 | 11.5 | 17.6 | 20 | 22.2 |
| 300–350 | - | - | 4.5 | 7.7 | - | 3 | 3.3 |
| 350–400 | - | 4.3 | 9.1 | 7.7 | 17.6 | 8 | 8.9 |
| 400–450 | - | 4.3 | - | - | - | 1 | 1.1 |
| 450–500 | - | 13.0 | 13.6 | - | - | 6 | 6.7 |
| No Total | 2 | 23 | 22 | 26 | 17 | 90 | 100.0 |
| Año/C.V. | 1986 | 1987 | 1988 | 1989 | 1990 | № | |
|---|---|---|---|---|---|---|---|
| <500 | - | - | 4.5 | 11.5 | 11.8 | 6 | 6.7 |
| 500–600 | - | 21.7 | 9.1 | 11.5 | 5.9 | 11 | 12.2 |
| 600–700 | - | 4.3 | 4.5 | 7.7 | 5.9 | 5 | 5.6 |
| 700–800 | 50.0 | 17.4 | 18.2 | 11.5 | 11.8 | 14 | 15.6 |
| 800–900 | - | 17.4 | 18.2 | 11.5 | - | 11 | 12.2 |
| 900–1000 | - | 8.7 | 9.1 | 15.4 | 41.2 | 15 | 16.7 |
| 1000–1100 | 50.0 | 8.7 | 22.7 | 23.1 | 11.8 | 16 | 17.8 |
| 1100–1200 | - | 13.0 | 4.5 | 7.7 | 11.8 | 8 | 8.9 |
| >1200 | - | 8.7 | 8.1 | - | - | 4 | 4.4 |
| No Total | 2 | 23 | 22 | 26 | 17 | 90 | 100.0 |
| 1986 | 1987 | 1988 | 1989 | 1990 | |
|---|---|---|---|---|---|
| No barcos | 2 | 23 | 22 | 26 | 17 |
| TRB total | 549 | 6359 | 5606 | 5541 | 4058 |
| No mareas | 167 | 215 | 152 | 95 | |
| Días pesca | 3487 | 4443 | 2367 | 1755 |
| 1986 | 1987 | 1988 | 1989 | *1990 | |
|---|---|---|---|---|---|
| Capt. total | 1332 | 1702 | 1004 | 1562 | |
| Capt. gamba | 1117 | 1446 | 872 | 1316 | |
| Rendim. total | 382 | 383 | 424 | 890 | |
| Rendim. gamba | 320 | 325 | 368 | 750 |
| 1987 | 1 | 2 | 3 | 4 | 5 | 6 | 7 | 8 | 9 | 10 | 11 | 12 | TOTAL |
|---|---|---|---|---|---|---|---|---|---|---|---|---|---|
| No MAREAS | 9 | 10 | 12 | 15 | 15 | 12 | 13 | 14 | 19 | 17 | 16 | 15 | 167 |
| DIAS PESCA | 169 | 194 | 268 | 324 | 308 | 241 | 276 | 317 | 372 | 379 | 280 | 359 | 3487 |
| CAPT TOTAL | 62878 | 112424 | 110057 | 113453 | 128818 | 96724 | 100669 | 92980 | 117543 | 177257 | 112967 | 106178 | 1331948 |
| CPUE (kg/DP) | 372 | 580 | 411 | 350 | 418 | 401 | 365 | 293 | 316 | 468 | 403 | 296 | 382 |
| CAPT GAMBA | 55586 | 98345 | 99303 | 105787 | 114818 | 94477 | 82087 | 70471 | 43943 | 139388 | 110478 | 102006 | 1116689 |
| CPUE GAMBA | 329 | 507 | 371 | 327 | 373 | 392 | 297 | 222 | 118 | 368 | 395 | 284 | 320 |
| 1988 | 1 | 2 | 3 | 4 | 5 | 6 | 7 | 8 | 9 | 10 | 11 | 12 | TOTAL |
|---|---|---|---|---|---|---|---|---|---|---|---|---|---|
| No MAREAS | 14 | 15 | 21 | 23 | 24 | 21 | 19 | 17 | 18 | 14 | 15 | 14 | 215 |
| DIAS PESCA | 331 | 267 | 399 | 541 | 597 | 379 | 368 | 361 | 352 | 296 | 268 | 284 | 4443 |
| CAPT TOTAL | 118582 | 93715 | 133832 | 183786 | 221216 | 155846 | 167084 | 137821 | 116399 | 160700 | 106515 | 100200 | 1702250 |
| CPUE (kg/DP) | 550 | 251 | 335 | 340 | 371 | 411 | 454 | 382 | 330 | 543 | 397 | 377 | 383 |
| CAPT GAMBA | 104830 | 81979 | 120754 | 171368 | 197174 | 152226 | 136787 | 104533 | 43483 | 156630 | 105577 | 102777 | 1445561 |
| CPUE GAMBA | 317 | 307 | 303 | 317 | 330 | 402 | 370 | 290 | 124 | 428 | 388 | 362 | 325 |
| 1989 | 1 | 2 | 3 | 4 | 5 | 6 | 7 | 8 | 9 | 10 | 11 | 12 | TOTAL |
|---|---|---|---|---|---|---|---|---|---|---|---|---|---|
| No MAREAS | 18 | 15 | 15 | 17 | 17 | 14 | 6 | 7 | 11 | 10 | 11 | 11 | 152 |
| DIAS PESCA | 269 | 286 | 219 | 267 | 222 | 184 | 61 | 83 | 177 | 240 | 220 | 120 | 2307 |
| CAPT TOTAL | 79444 | 133021 | 107397 | 138370 | 120093 | 74040 | 20711 | 29245 | 54913 | 100447 | 64978 | 80913 | 1003572 |
| CPUE (kg/DP) | 295 | 465 | 490 | 518 | 541 | 402 | 406 | 352 | 310 | 405 | 288 | 599 | 424 |
| CAPT GAMBA | 70231 | 116362 | 96902 | 129021 | 107041 | 72320 | 16888 | 22165 | 20529 | 78988 | 63547 | 77734 | 871728 |
| CPUE GAMBA | 261 | 407 | 442 | 483 | 482 | 393 | 331 | 267 | 116 | 319 | 281 | 576 | 368 |
| 1990* | 1 | 2 | 3 | 4 | 5 | 6 | 7 | 8 | 9 | 10 | 11 | 12 | TOTAL |
|---|---|---|---|---|---|---|---|---|---|---|---|---|---|
| No MAREAS | 9 | 12 | 14 | 13 | 10 | 14 | 15 | 5 | 3 | 0 | 0 | 0 | 95 |
| DIAS PESCA | 161 | 212 | 236 | 214 | 184 | 271 | 293 | 112 | 71 | 0 | 0 | 0 | 1755 |
| CAPT TOTAL | 74473 | 114597 | 155185 | 163168 | 231657 | 203480 | 226644 | 166404 | 108935 | 76466 | 41983 | 0 | 1561992 |
| CPUE (kg/DP) | 463 | 541 | 658 | 762 | 1252 | 751 | 770 | 1486 | 1534 | 0 | 0 | 0 | 890 |
| CAPT GAMBA | 65837 | 100246 | 140021 | 152143 | 206481 | 198753 | 183992 | 126120 | 40725 | 60130 | 41058 | 0 | 1315506 |
| CPUE GAMBA | 409 | 473 | 593 | 711 | 1116 | 733 | 528 | 1126 | 574 | 0 | 0 | 0 | 750 |
* (Datos de 1990 provisionales)
| 2 | 3 | 4 | 5 | 6 | 7 | 8 | 9 | 10 | 11 | 12 | Total | ||
|---|---|---|---|---|---|---|---|---|---|---|---|---|---|
| Gamba | 88.4 | 87.5 | 90.2 | 93.2 | 89.1 | 97.7 | 81.5 | 75.8 | 37.4 | 78.6 | 97.8 | 96.1 | 86.8 |
| Alistado | 1.9 | 2.2 | 0.7 | 0.1 | 0.0 | 0.1 | 7.3 | 3.9 | 36.9 | 7.3 | 0.0 | 7.3 | 3.7 |
| Camarón | 3.0 | 1.6 | 4.7 | 4.3 | 10.1 | 0.3 | 4.3 | 14.1 | 7.9 | 5.3 | 1.3 | 1.1 | 4.4 |
| Langostino | 0.5 | 0.2 | 0.6 | 1.5 | 0.7 | 0.3 | 1.7 | 4.7 | 2.5 | 7.2 | 0.8 | 0.4 | 1.5 |
| Varios | 6.2 | 8.6 | 3.7 | 0.9 | 0.1 | 1.6 | 5.1 | 1.4 | 15.3 | 1.5 | 0.1 | 0.2 | 3.6 |
| TOTAL (o) | 79 | 133 | 107 | 138 | 120 | 74 | 21 | 29 | 55 | 100 | 65 | 81 | 100 |
| Mes/Especie | Gamba | Longostino | Camarón | Alistado | Varios | TOTAL |
|---|---|---|---|---|---|---|
| Enero | 55586 | 328 | 1872 | 1190 | 3902 | 62878 |
| Febrero | 98345 | 200 | 1750 | 2452 | 9676 | 112424 |
| Marzo | 99303 | 663 | 5158 | 820 | 4114 | 110057 |
| Abril | 105787 | 1645 | 4919 | 128 | 973 | 113453 |
| Mayo | 114818 | 898 | 12989 | 0 | 113 | 128818 |
| Junio | 94477 | 245 | 317 | 118 | 1566 | 96724 |
| Julio | 82087 | 1748 | 4348 | 7386 | 5101 | 100669 |
| Agosto | 70471 | 4390 | 13123 | 3655 | 1341 | 92980 |
| Septiemb | 43943 | 2881 | 9268 | 43429 | 18021 | 117543 |
| Octubre | 100000 | 12015 | 0404 | 12007 | 2704 | 177207 |
| Noviemb | 110478 | 941 | 1427 | 39 | 81 | 112967 |
| Diciemb | 102006 | 408 | 1137 | 2394 | 232 | 106178 |
| TOTAL | 1116689 | 27161 | 65743 | 74499 | 47855 | 1331948 |
| Mes/Especie | Gamba | Longostino | Camarón | Alistado | Varios | TOTAL |
|---|---|---|---|---|---|---|
| Enero | 104830 | 619 | 3530 | 2244 | 7359 | 118582 |
| Febrero | 81970 | 167 | 1450 | 2044 | 8066 | 93715 |
| Marzo | 120754 | 806 | 6272 | 997 | 5003 | 133832 |
| Abril | 171368 | 2665 | 7969 | 207 | 1577 | 183786 |
| Mayo | 197174 | 1543 | 22306 | 0 | 193 | 221216 |
| Junio | 152226 | 396 | 511 | 191 | 2523 | 155846 |
| Julio | 136242 | 2901 | 7216 | 12259 | 8466 | 167084 |
| Agosto | 104533 | 6512 | 19465 | 5422 | 1989 | 137921 |
| Septiemb | 43482 | 2851 | 9171 | 42973 | 17832 | 116309 |
| Octubre | 126385 | 11616 | 8555 | 11663 | 2479 | 100700 |
| Noviemb | 103977 | 886 | 1343 | 37 | 76 | 106319 |
| Diciemb | 102777 | 411 | 1146 | 2412 | 234 | 106980 |
| TOTAL | 1445710 | 31372 | 88942 | 80470 | 55797 | 1702290 |
| Mes/Especie | Gamba | Longostino | Camarón | Alistado | Varios | TOTAL |
|---|---|---|---|---|---|---|
| Enero | 70231 | 415 | 2365 | 1503 | 4830 | 79444 |
| Febrero | 116362 | 237 | 2071 | 2902 | 11449 | 133021 |
| Marzo | 96902 | 647 | 5033 | 800 | 4014 | 107397 |
| Abril | 129021 | 2006 | 6000 | 156 | 1187 | 138370 |
| Mayo | 107041 | 838 | 12108 | 0 | 105 | 130093 |
| Junio | 72320 | 188 | 243 | 91 | 1199 | 74040 |
| Julio | 16888 | 360 | 894 | 1520 | 1049 | 20711 |
| Agosto | 22185 | 1361 | 4127 | 1150 | 422 | 29245 |
| Septiemb | 20529 | 1346 | 4330 | 20289 | 8419 | 54913 |
| Octubre | 78988 | 7261 | 5346 | 7303 | 1549 | 100447 |
| Noviemb | 63547 | 541 | 821 | 22 | 47 | 64978 |
| Diciemb | 77734 | 311 | 866 | 1825 | 177 | 80813 |
| TOTAL | 871728 | 15530 | 44207 | 37560 | 34547 | 1003572 |
| Mes/Especie | Gamba | Longostino | Camarón | Alistado | Varios | TOTAL |
|---|---|---|---|---|---|---|
| Enero | 65837 | 389 | 2217 | 1409 | 4622 | 74473 |
| Febrero | 100246 | 204 | 1784 | 2500 | 9863 | 114597 |
| Marzo | 140021 | 935 | 7273 | 1156 | 5801 | 155185 |
| Abril | 152143 | 2366 | 7075 | 184 | 1400 | 163168 |
| Mayo | 206481 | 1616 | 23358 | 0 | 203 | 231657 |
| Junio | 198753 | 516 | 668 | 249 | 3294 | 203480 |
| Julio | 183992 | 3917 | 9745 | 16555 | 11434 | 225644 |
| Agosto | 126120 | 7857 | 23485 | 6542 | 2400 | 166404 |
| Septiemb | 40725 | 2670 | 8590 | 40249 | 16701 | 108935 |
| Octubre | 60130 | 5527 | 4070 | 5559 | 1179 | 76466 |
| Noviemb | 41058 | 350 | 530 | 15 | 30 | 41983 |
| Diciemb | ||||||
| TOTAL | 1315505 | 26347 | 88796 | 74417 | 56926 | 1561991 |