Appendix B: Equations of the model in level and differential form
The model considered in the main text is repeated here for convenience in level form. Exogenous variables are represented with an overbar, while parameters are denoted with Greek letters.
Agricultural production:
(B.1)
Non-agricultural production:
(B.2)
Non-agricultural labour demand:
(B.3)
Demand for imports:
(B.4)
Level of non-agricultural profits:
(B.5)
Full employment:
(B.6)
Wage determination:
(B.7)
Commodity balances and surplus:
(B.8)
(B.9)
Tax revenue:
(B.10)
Resource balance:
(B.11)
Domestic prices:
(B.12)
(B.13)
The above equations constitute a system of 13 equations in 14 variables, namely Xa, Xn, La, Ln, P , M, w, E, S, T, F, e, pm and pa.
The exogenous variables are the tax rates ta and tm
and the international terms of trade
. Depending on the way the external sector
is closed either F or e can be made exogenous. If both F and e
are fixed, as under regime Ar, then the exchange rate
utilized for the determination of the domestic prices in
(B.12)-(B.13) is the fixed official one, while a new variable is
introduced the "rationed" equivalent tariff rate
, which is used in the
price equation (B.12) to derive the import price that would make
the rationed demand for imports equal to the actual demand for
imports. The tax revenue in this case is still computed via (B.
10).
The above system is logarithmically differentiated
to investigate
departures from equilibrium
(B.14)
(B.15)
(B.16)
(B.17)
(B.18)
(B.19)
(B.20)
(B.21)
(B.22)
(B.23)
(B.24)
(B.25)
(B.26)
(B.27)
(B.28)
where the following parameters are defined in the initial equilibrium
share of
agricultural labour force in total labour force.
share of
agricultural production that is exported.
share of
non-agricultural output that is utilized for public consumption
and gross domestic investment (public and private).
ratio of
imports to GDP.
ratio of
exports to GDP.

(B.30)
income
elasticities of domestic private consumer demand for agricultural
and non-agricultural products.
negative of
the own price elasticity of consumer demand for the agricultural
product (hence
).
cross-price
elasticity of demand of the non-agricultural product with respect
to the price of the agricultural product.
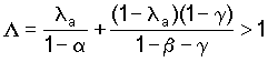
Note that the above parameters are not all independent. For
instance consider the standard properties of the demand
functions, namely that the sum of the income elasticities
weighted by the budget shares equals 1 (Engel aggregation), and
that the sum of the price elasticities of the demands for the
goods with respect to a given price, weighted by the relevant
budget shares, is equal to the negative of the budget share of
the good, whose price is used in the differentiation. From these
we can solve for
and
as functions
of the other two elasticities and the agriculture budget share
as follows
(B.31)
(B.32)
where
(B.33)
Similarly using (B.7) and (B.8) it can easily be shown that
(B.34)
Also
can be
expressed as follows
(B.35)
Apart then from the import tariff and tax rates there are only
seven independent structural parameters in the model, namely
, and
. These are all both
easy to visualize as well as to empirically specify.
Using the same logic that led to (B.35) we can find the ratio of imports to the country's Gross Domestic Product (GDP) Y and the ratio of exports to GDP. In the model specified the country's GDP at international prices is given by
(B.36)
Using (B.36) it is easy to derive the following expressions (remember we have normalized the initial exchange rate e0 to be equal to one)
(B.37)
(B.38)
These expressions prove quite helpful in the empirical specification of the model.
Using the above equations we can derive output supply elasticities for the agricultural and non-agricultural sectors. Combining (B.16), (B.20) and (B.19) we obtain an equation for wage determination
(B.39)
where
(B.40)
By substituting (B.39) in (B.20) we obtain an expression for
. When we introduce
this into (B.14) we obtain a supply equation for agriculture
(B.41)
(B.42)
where
and
are the respective
(positive! multipliers. As can be easily seen both of these are
positive.
By substituting the expression (B.39) for
in (B.15) we find the
supply equation for the non-agricultural sector
(B.43)
(B.44)
where
are the
respective multipliers.
Given the above multipliers, the reduced form multipliers of
the surplus
and
the tax revenue
can be derived. Using (B.22), (B.24), (B.39), and (B.43) we
obtain
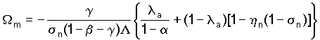
(B.45)
where

(B.46)
(B.47)
Since it is not clear whether
is positive or negative, it is not clear
whether
is
negative or positive. It will most likely be negative. Similarly
will also most likely
be negative.
Using (B.39) and (B.40) in (B.17) we obtain an expression for the change in imports
(B.48)
Both of the multipliers above are negative.
Using (B.23), (B.39), (B.14) and (B.20) we can also obtain an expression for the change in exports.
(B.49)
The second multiplier above is positive while the sign of the first one is ambiguous.
If we use (B.45) and (B.49) in (B.28) we obtain expressions for the multipliers of the tax revenue. Using the price equations (B.27), (B.28) we obtain
(B.50)
When there is an external financial constraint under flexible exchange rates then the exchange rate adjusts to clear the external constraint, when there is a change in the tax or tariff rates. Using equations (B.26), (B.27), (B.28), (B.48) and (B.49) we derive an equation for the proportional change in the exchange rate
(B.51 )
Once this equation is solved for
, the change in the exchange rate can be
substituted in the expressions for
and
, in order to derive the elasticities of pa
and pm with respect to the changes in the relevant tax
rates. These elasticities can then be multiplied by the
elasticities of the various other variables with respect to pa
and pm.
Notice that if we denote by ea and em the elasticity of the nominal exchange rate with respect to ta and tm respectively, then from (B.51) we have
(B.52)
This relation implies that for every export tax there is an import tariff that has an equivalent impact on the exchange rate. Equivalently the impact on the exchange rate of an export tax can be neutralized by some import tariff.
Under regime Ar, the external financial constraint
cannot be accommodated by an adjustment of the exchange rate. In
this case the implicit tariff rate of imports must adjust. Using
equations (B.26), (B.27), (B.28), (B.48) and (B.49) we can solve
for the change in implicit rate of import tariff
in response to a
change in the rate export tax
(B.53)
Given the attendant changes in the domestic prices
(B.54)
(B.55)
Hence the various multipliers with respect to
and
can be used in order
to predict changes in the various variables.
Available economic and social development papers (ESD) Policy studies group policy analysis division
A. Policy reform and the agricultural sector
No. 65 Agricultural stabilization and structural adjustment policies in developing countries by Alexander H. Sarris (Rome 1987).
No. 66 Agricultural issues in structural adjustment programs by Roger D. Norton (Rome 1987).
No. 84 Measures of protection: methodology, economic interpretation and policy relevance by Pasquale L. Scandizzo (Rome 1989).
No. 90 The impact of stabilization and structural adjustment policies on the rural sector - case studies of Côte d'lvoire, Senegal, Liberia, Zambia and Morocco by Pascal Salin and Emil-Maria Claassen (Rome 1991).
No. 95 Guidelines for monitoring the impact of structure/ adjustment programmes on the agricultural sector by Alexander H.Sarris (Rome 1990).
No. 96 The effects of trade and exchange rate policies on production in agriculture by C. Kirkpatrick and D.Diakosavvas (Rome 1990).
No. 98 Institutional changes in agricultural product and input markets and their impact on agricultural performance by Ann Thomson (Rome 1991).
No. 99 Agricultural labour markets and structural adjustment in Sub Saharan Africa by Lawrence D. Smith (Rome 19911.
No. 100 Structural adjustment and household welfare in rural areas -a micro-economic perspective by Raghav Gaiha (Rome1991 ).
No. 103 The impact of structural adjustment on smallholders by J.M. Boussard (Rome 1992).
No. 104 Structural adjustment policy sequencing in Sub-Saharan Africa by L.D. Smith and Neil Spooner, Glasgow University (Rome 1991).
No. 105 The role of public and private agents in the agricultural sector of developing countries by L.D. Smith and A.Thomson (Rome 1991).
No. 115 Design of poverty alleviation strategy in rural areas by R. Gaiha (Rome, Jan. 1993). B. Environment and sustainable development studies
No.107 Land reform and structural adjustment in Sub-Saharan Africa: controversies and guidelines by J.-Ph. Platteau (Rome 1992). French version "Réforme agraire et ajustement structurel en Afrique subsaharienne: controverses et orientations".
No.110 Agricultural sustainability: definition and implications for agricultural and trade policy by T. Young (Rome 1992).
No.121 Policies for sustainable development: four essays by A.
Markandya (Rome, 1994).
To acquire ESD papers please write to:
Forthcoming ESD papers
Working papers policy studies group policy analysis division
To acquire working papers please write to: