publiée par B. Krishnapillay et M. Marzalina dans IRGF no21, p. 22–28
par
M. Hühn
Université de Kiel/Institut d'agronomie et de génétique des plantes
Olshausenstrasse 40, D-24118 Kiel (Allemagne)
INTRODUCTION
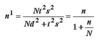
Pour calculer la taille d'échantillon en vue de la détermination de la teneur en humidité, les auteurs de l'article cité ci-dessus, publié dans IRGF no21 (1993), ont appliqué les formules bien connues de la théorie statistique élémentaire pour un échantillonnage aléatoire simple:

(pour une taille de population infinie) ou:

(pour une taille de population finie), dans lesquelles n et n' = taille d'échantillon calculée; d = différence maxima acceptable (marge d'erreur) entre l'échantillon et les moyennes inconnues de la population; s = écart-type de la population; N = taille de la population, et t = valeur de la variable t correspondant à un degré de confiance (1 - α) et à (n - 1) degrés de liberté.
Au lieu de cette valeur de t, les auteurs ont utilisé les valeurs correspondant à une distribution normale. Ces valeurs peuvent être appliquées si la variance de la population est connue. Dans le domaine de l'application pratique, toutefois, la situation la plus courante sera celle d'une variance inconnue qui doit être estimée à partir des données. En conséquence, il faut remplacer t dans les formules de calcul de n et n' ci-dessus par les valeurs de t pour un degré de confiance (1 - α) et (n - 1) degrés de liberté. Pour une grande taille d'échantillon, toutefois, ces valeurs de t coïncident avec celles d'une distribution normale. Mais pour une petite taille d'échantillon la méthode qui consiste à utiliser la distribution normale n'est pas correcte, et elle fournira des tailles d'échantillon sous-estimées.
LA METHODE
Il y a quelques années, une règle approchée simple pour corriger cette sous-estimation a été énoncée par Rustagi (1983): la taille d'échantillon pour un degré de confiance désiré peut être calculée en utilisant la valeur pour une distribution normale et en ajoutant ensuite une constante K qui dépendra du degré de confiance. Les valeurs numériques de cette constante sont (Rustagi, 1983): K = 1,87 (pour α = 0,90); K = 2,44 (pour α = 0,95); K = 3,79 (pour α = 0,99); K = 5,63 (pour α = 0,999). Ces règles de calcul sont basées sur des approximations. Leur précision semble toutefois suffisante pour les applications pratiques.
RESULTATS
Il est recommandé de remplacer les données du Tableau 3 de l'article de Krishnapillay et Marzalina (1993) par le Tableau 3 révisé ci-dessous, établi par application de la méthode proposée ci-dessus aux résultats de ces auteurs (taille d'échantillon pour une distribution normale + correction de Rustagi):
| Précision désirée (%) | Probabilité | Ecart-type de la teneur en humidité des graines | ||||||||
| 1.00 | 1.25 | 1.50 | 1.75 | 2.00 | 2.25 | 2.50 | 2.75 | 3.00 | ||
| Taille de l'échantillon (nombre de graines) | ||||||||||
| 0.5 | 0.90 | 13 (11) | 19 (17) | 26 (24) | 35 (32) | 44 (42) | 55 (53) | 67 (65) | 80 (78) | 94 (92) |
| 0.95 | 18 (16) | 27 (25) | 37 (35) | 49 (47) | 62 (61) | 77 (77) | 93 (94) | 111 (112) | 130 (132) | |
| 0.99 | 30 (-) | 45 (-) | 62 (-) | 81 (-) | 103 (-) | 128 (-) | 154 (-) | 181 (-) | 210 (-) | |
| 0.999 | 48 (42) | 71 (64) | 98 (90) | 128 (121) | 161 (154) | 197 (189) | 235 (227) | 275 (267) | 316 (307) | |
| 1.0 | 0.90 | 5 (3) | 7 (4) | 8 (6) | 11 (8) | 13 (11) | 16 (14) | 19 (17) | 23 (20) | 26 (24) |
| 0.95 | 7 (4) | 9 (6) | 12 (9) | 15 (12) | 18 (16) | 22 (20) | 27 (25) | 31 (30) | 37 (35) | |
| 0.99 | 11 (-) | 15 (-) | 19 (-) | 24 (-) | 30 (-) | 37 (-) | 45 (-) | 53 (-) | 62 (-) | |
| 0.999 | 17 (11) | 23 (17) | 30 (24) | 39 (32) | 48 (42) | 59 (52) | 71 (64) | 84 (77) | 98 (90) | |
| 1.5 | 0.90 | 4 (1) | 4 (2) | 5 (3) | 6 (4) | 7 (5) | 8 (6) | 10 (7) | 11 (9) | 13 (11) |
| 0.95 | 5 (2) | 6 (3) | 7 (4) | 8 (5) | 10 (7) | 12 (9) | 14 (11) | 16 (13) | 18 (16) | |
| 0.99 | 7 (-) | 9 (-) | 11 (-) | 13 (-) | 16 (-) | 19 (-) | 22 (-) | 26 (-) | 30 (-) | |
| 0.999 | 11 (5) | 14 (7) | 17 (11) | 21 (14) | 25 (19) | 30 (24) | 36 (29) | 42 (35) | 48 (42) | |
| 2.0 | 0.90 | 3 (1) | 3 (1) | 4 (2) | 4 (2) | 5 (3) | 6 (3) | 7 (4) | 7 (5) | 8 (6) |
| 0.95 | 4 (1) | 4 (2) | 5 (2) | 6 (3) | 7 (4) | 8 (5) | 9 (6) | 10 (8) | 12 (9) | |
| 0.99 | 6 (-) | 7 (-) | 8 (-) | 9 (-) | 11 (-) | 13 (-) | 15 (-) | 17 (-) | 19 (-) | |
| 0.999 | 9 (3) | 10 (4) | 12 (6) | 14 (8) | 17 (11) | 20 (13) | 23 (17) | 26 (20) | 30 (24) | |
Tableau 3 révisé. Valeurs ajustées pour le tableau déterminant la taille d'échantillon requise pour tester la teneur en humidité de graines de Shorea leprosula et S. parvifolia à différents degrés de confiance et de précision (basé sur un lot de 1500 graines). Les valeurs originelles, telles qu'indiquées par Krisnapillay et Marzalina, sont entre parenthèses. Pour un degré de 0,99 il n'avait pas été calculé de valeurs; elles sont figurées par (-).
REFERENCES
Krisnapillay, B. & Marzalina, M. (1993). Méthode statistique de détermination de la taille d'échantillon pour la mesure de la teneur en humidité des graines récalcitrantes d'arbres forestiers (Etude de cas sur Shorea leprosula et S. parvifolia). Informations sur les ressources génétiques forestières no 21: 22–28.
Rustagi, K.P. (1983). Determination of sample size in simple random sampling. Forest Science 29: 190–192.
REPONSE DE M. KRISHNAPILLAY AUX COMMENTAIRES DE M. HÜHN 1
“J'ai bien reçu vos précieux commentaires sur l'article que j'avais publié dans IRGF no 21, et vous en remercie. Comme vous le notez justement, nous avons en effet utilisé pour nos calculs les valeurs t pour la distribution type normale. Selon vos arguments, je conviens entièrement que la variance de la population n'est pas connue. Le Tableau 3 de notre article qui est basé sur ces valeurs t est impropre, et doit être remplacé par votre tableau modifié. En conséquence, je recommande vivement que vos commentaires soient publiés afin de rectifier cette erreur pour le bénéfice d'autres lecteurs intéressés. Merci encore pour vos utiles commentaires.”
Ressources Génétiques Forestières No 22. FAO, Rome (1995)