Página precedente Indice Página siguiente


Capítulo 5 - Elaboración y refinado de aceites comestibles

La elaboración puede eliminar los componentes de los aceites comestibles que menoscaban el sabor, la estabilidad, el aspecto o valor nutritivo. En la medida de lo posible, la elaboración debe conservar los tocoferoles y evitar cambios químicos en los triglicéridos.

Producción rural de aceite vegetal

La extracción rural de aceite se produce normalmente cerca de las zonas de producción de las materias primas. Esto supone productores en pequeña escala que tienen acceso a las materias primas, ayuda a asegurar que las semillas de aceite perecederas se elaboran rápidamente, y reduce los costos de transporte. En las comunidades rurales o urbanas pobres, los aceites vegetales sin refinar contribuyen considerablemente a la cantidad total de aceite consumido. Los aceites crudos son asequibles a los grupos con bajos ingresos y son una importante fuente de b -carotenos y tocoferoles.

Para mantener la calidad de la materia prima, es necesario proceder con cuidado durante y después de la cosecha de los frutos oleaginosos perecederos y susceptibles de que sus grasas se descompongan. Las magulladuras en los frutos frescos de la palmera aceleran la actividad de las lipasas, conduciendo a la degradación de las grasas. Las semillas oleaginosas, como las nueces de butirospermo, tienden a enmohecerse durante el almacenamiento. Esto se frena con un tratamiento térmico: tratamiento con vapor o hervido, junto con secado al sol para reducir la humedad.

Almacenamiento. La humedad de las semillas oleaginosas y nueces influye en gran medida en la calidad de las materias primas. En la mayoría de las operaciones rurales, el secado al sol reduce la humedad de las semillas de aceite por debajo del 10 por ciento. Una adecuada ventilación o aireación de las semillas o nueces durante el almacenamiento asegura que se mantengan niveles bajos de humedad y evita el desarrollo microbiano. Esto es importante en el almacenamiento del maní que es muy susceptible de contaminarse con aflatoxinas debidas al crecimiento de Aspergillus flavus. Puesto que las aflatoxinas y los plaguicidas no se eliminan con las técnicas de extracción rural, debe evitarse la contaminación microbiana y el empleo de insecticidas. Es necesario adoptar prácticas de almacenamiento que sean asequibles y disponibles para los productores en pequeña escala. Las materias primas perecederas, como los frutos de la palmera, deben elaborarse tan pronto como sea posible después de la cosecha.

En los países en desarrollo húmedos, el secado al sol de las semillas oleaginosas que tienen una humedad elevada, como el coco maduro, es lento e ineficaz. Estas condiciones favorecen el crecimiento de mohos, lo que produce elevados niveles de ácidos grasos libres y características organolépticas pobres. El aceite de coco destinado al consumo humano debe obtenerse poco después de la cosecha.

Pretratamiento. La primera operación después de la cosecha implica esterilización y tratamiento térmico con vapor o cocimiento, lo que inactiva las enzimas lipolíticas que pueden ocasionar una rápida degradación del aceite y facilita el flujo del mesocarpio para extraer el aceite. La pulpa de los frutos de la palmera «esterilizados» se extrae en un triturador o un mortero de madera, o en un digestor mecánico.

El descortezado o pelado separa la porción portadora de aceite de la materia prima, y elimina las partes con poco o ningún valor nutritivo. Se puede disponer de peladoras mecánicas pequeñas para las almendras, pero sigue predominando el pelado manual.

La mayoría de las semillas oleaginosas y nueces se someten a un tratamiento térmico de tostado para licuar el aceite presente en las células de la planta y facilitar su liberación durante la extracción. Todas las semillas oleaginosas y nueces se someten a este tratamiento excepto los frutos de la palmera, en los que la «esterilización» reemplaza este tratamiento.

Para aumentar la superficie y optimizar el rendimiento en aceite, se reduce el tamaño de la parte portadora de aceite del maní, girasol, sésamo, coco, almendra de palma y semilla de butirospermo. En las operaciones rurales se suelen emplear molinos mecánicos de fricción por discos.

Extracción. En la extracción del aceite, las semillas molidas se mezclan con agua caliente y se hierven para permitir que el aceite flote y sea recogido. Las semillas molidas se mezclan con agua caliente para hacer una pasta que se amasa a mano o a máquina hasta que el aceite se separa en forma de emulsión. En la extracción del aceite de maní, se suele añadir sal para hacer que las proteínas coagulen y favorecer la separación del aceite.

Los grandes trituradores rotatorios en sistemas de mortero fijo pueden moverse mediante motor, hombres o animales, proporcionando fricción y presión a las semillas oleaginosas para liberar el aceite en la base del mortero. Hay otros sistemas tradicionalmente utilizados en la extracción rural de aceite que emplean piedras pesadas, cuñas, palancas y cuerdas retorcidas. Para presionar, se aprieta manualmente una placa o un pistón dentro de un cilindro perforado que contiene la masa de aceite molida o su pulpa por medio de un tornillo. El aceite se recoge debajo de la cámara perforada. Se han diseñado diversos expeledores mecánicos. La materia prima precalentada se alimenta en un cilindro horizontal mediante un estrangulador ajustable, la presión interna que se crea en el cilindro produce la ruptura de las células que contienen el aceite, y lo liberan.

Deshidratación. Las trazas de agua presente en el aceite crudo se eliminan hirviéndolo en calderos poco profundos, después de depositarlo en ellos. Esto es frecuente en todas las técnicas rurales que reconocen el papel catalítico del agua en el desarrollo de rancidez y de características organolépticas pobres.

Tortas de prensado. El subproducto de la elaboración, las tortas de prensado, puede resultar útil, dependiendo de la técnica de extracción que se emplee. Las tortas oleaginosas a las que se ha extraído el agua carecen normalmente de nutrientes. Otras técnicas tradicionales, como por ejemplo la que se utiliza con el maní y la copra, aseguran que los subproductos, si se manipulan con cuidado, sean idóneos para el consumo humano.

Tecnologías tradicionales. En muchos países son muy importantes los procedimientos tradicionales para producir aceite, especialmente en las comunidades que tienen fácil acceso a las materias primas oleaginosas. La elaboración tradicional tiende a ser ecológicamente inocua, y la destreza que se requiere consiste en las actividades de una familia o grupo, en que intervienen sobre todo las mujeres. En un ambiente industrial cambiante, estos factores positivos han tenido menos peso que los aspectos negativos de la elaboración tradicional, como pequeña capacidad de producción, pobre economía de escala, altos desembolsos de energía y tiempo, y coste de transporte de los aceites a los mercados.

Producción en gran escala

Almacenamiento. Muchas de las fases de elaboración industrial tienen su origen en los procedimientos tradicionales. En las operaciones en gran escala, las semillas oleaginosas se secan hasta obtener una humedad inferior al 10 por ciento. Se pueden almacenar durante períodos prolongados de tiempo en condiciones adecuadas de aireación, tomando precauciones contra las infestaciones de insectos y roedores. Este tipo de almacenamiento reduce la infección por mohos y la contaminación con micotoxinas, y minimiza el proceso de degradación biológica que conduce a la aparición de ácidos grasos libres y de color en el aceite.

Las frutas oleaginosas, como la aceituna y la palma, deben tratarse tan pronto como sea posible. La palma se esteriliza como primer paso de la elaboración. Los tejidos adiposos y las materias primas procedentes del pescado (esto es, el cuerpo o el hígado) se derriten durante las primeras horas haciéndolos hervir para destruir las enzimas y evitar el deterioro del aceite.

Elaboración. Las semillas oleaginosas generalmente se limpian de sustancias extrañas antes de ser descortezadas. Las almendras se muelen para reducir su tamaño y se cuecen con vapor, y el aceite se extrae mediante un torno o una presa hidráulica. La torta de la prensa se desprende en escamas para la posterior extracción de las grasas residuales con disolventes, como el hexano «de uso alimentario». El aceite puede extraerse directamente con disolventes de los productos con bajo contenido en aceite, tales como la soja, el salvado de arroz y el maíz.

Después de la esterilización, se extrae la pulpa (digestión) antes de someterla a presión mecánica a menudo en una prensa de torno. Las almendras de palma se extraen de la torta de prensado y se vuelven a elaborar para obtener el aceite. Los tejidos animales se reducen de tamaño antes de derretirlos con procesos secos o húmedos. Después de un tratamiento en autoclave, los tejidos de pescado se prensan y la suspensión aceite/agua se centrífuga para separar el aceite.

Refinado del aceite. El refinado produce un aceite comestible con las características deseadas por los consumidores, como sabor y olor suaves, aspecto limpio, color claro, estabilidad frente a la oxidación e idoneidad para freír. Los dos principales sistemas de refinado son el refinado alcalino y el refinado físico (arrastre de vapor, neutralización destilativa), que se emplean para extraer los ácidos grasos libres.

El método clásico de refinado alcalino comprende normalmente las siguientes etapas:

1a etapa

Desgomado con agua para eliminar los fosfolípidos fácilmente hidratables y los metales.

2a etapa

Adición de pequeñas cantidades de ácido fosfórico o cítrico para convertir los restantes fosfolípidos no hidratables (sales de Ca, Mg) en fosfolípidos hidratables.

3a etapa

Neutralización de los ácidos grasos libres con un ligero exceso de solución de hidróxido sódico, seguida de la eliminación por lavado de los jabones y de los fosfolípidos hidratados.

4a etapa

Blanqueo con tierras minerales naturales o activadas con ácido para adsorber los compuestos coloreados y para descomponer los hidroperóxidos.

5a etapa

Desodorización para eliminar los compuestos volátiles, principalmente aldehídos y cetonas, con bajos umbrales de detección por el gusto y el olfato. La desodorización es fundamentalmente un proceso de destilación con vapor que se lleva a cabo a bajas presiones (2-6 mbares) y elevadas temperaturas (180-220 °C).

En algunos aceites, como el de girasol o el de salvado de arroz, se obtiene un producto claro de mesa mediante una etapa de eliminación de las ceras o de cristalización de los ésteres de ceras a baja temperatura, seguida de una filtración o centrifugación.

El proceso de neutralización alcalina tiene importantes inconvenientes, el rendimiento es relativamente bajo y se producen pérdidas de aceite debido a la emulsión y saponificación de los aceites neutros. También se genera una cantidad considerable de efluente líquido. Los jabones se disocian generalmente con ácido sulfúrico, recuperándose los ácidos grasos libres junto con sulfato sódico y vapor de agua ácida que contiene grasa.

En el refinado físico, los ácidos grasos se eliminan mediante un procedimiento de destilación al vapor (arrastre) similar a la desodorización. La baja volatilidad de los ácidos grasos (que depende de la longitud de la cadena) requiere temperaturas más elevadas que las requeridas sólo para la desodorización. En la práctica, una temperatura máxima de 240-250 °C es suficiente para reducir el contenido de ácidos grasos libres a niveles de alrededor del 0,05-0,1 por ciento. Un requisito previo del refinado físico es que se eliminen los fosfátidos hasta un nivel inferior a los 5 mg de fósforo/kg de aceite. En el proceso de refinado clásico, este nivel se consigue fácilmente en la etapa de neutralización, pero se requiere un proceso especial de desgomado para el refinado físico de las semillas oleaginosas con alto contenido en fosfátidos. Estos procedimientos se basan en una hidratación mejorada de los fosfolípidos mediante un contacto íntimo entre el aceite y una solución acuosa de ácido cítrico, ácido fosfórico y/o hidróxido sódico, seguida de blanqueo (Segers y van de Sande, 1988).

Es improbable que las condiciones de reacción suave empleadas durante el desgomado y la neutralización induzcan cambios significativos indeseables en la composición del aceite. Por el contrario, algunas impurezas, incluidos compuestos oxidados, trazas de metales y materiales coloreados se eliminan parcialmente por arrastre con los fosfolípidos y con el depósito de jabón. Estas impurezas se reducen posteriormente durante el blanqueo. La neutralización también contribuye considerablemente a eliminar contaminantes, tales como las aflatoxinas y los organofosforados. (Thomas, 1982). Los plaguicidas organoclorados y los hidrocarburos aromáticos policíclicos, si están presentes, deben eliminarse durante la etapa de desodorización/arrastre y mediante un tratamiento con carbón activo. Suelen producirse pérdidas de tocoferoles y esteroles durante la etapa de neutralización alcalina, pero, sin embargo, en condiciones bien controladas (minimizando el contacto con el aire) esta pérdida no supera el 5-10 por ciento (Gertz, 1988; Johansson y Hoffmann, 1979).

Posibles reacciones secundarias durante el procesamiento a alta temperatura

La posibilidad de que las elevadas temperaturas de la desodorización y arrastre tengan efectos negativos ha sido motivo de preocupación. En algunos estudios se emplearon unas condiciones extremas de temperatura y tiempo (incluso con libre acceso de aire) para generar resultados cuantitativos significativos. Sin embargo, los resultados de los estudios en modelos deberían estar relacionados con las condiciones prácticas de los procesos. Ya en 1967-79, la Sociedad Alemana de Investigación sobre las Grasas (DGF) definió los límites superiores de las condiciones de desodorización [240 °C para 2 horas, 270 °C para 30 min (Fremdstoff-Kommission, 1973; Gemeinschaftsarbeiten, 1992)].

Un buen hábito de manipulación también supone lo siguiente: empleo de equipos de acero inoxidable; deaireación cuidadosa a < 100 °C antes de calentar a la temperatura final de arrastre; utilización de corrientes libres de oxígeno; y especificaciones de alimentación estrictas (normalmente: 0,1 Fe, 0,01 Cu, 5P, tierras de blanqueo 5 mg/kg de aceite como máximo).

Las investigaciones en las que se maltrataba el aceite en condiciones extremas (Rossel, Kochhar y Jawad, 1981; Jawad, Kochhar y Hudson, 1983a, b; 1984) determinaron los efectos de la temperatura (240-300 °C) y del tiempo (30-180 min.) en el refinado físico del aceite de soja (desgomado con ácido fosfórico y ligeramente blanqueado, pero conteniendo todavía 20 mg de P, 0,35 mg de Fe y 0,05 mg de Cu por kg de aceite). En la Figura 5.1 se muestra el fuerte efecto de la temperatura sobre la formación de ácidos grasos en trans y de compuestos polimíricos. El tiempo tiene también un efecto significativo. A 280-300 °C, hubo muestras de una apreciable inter o intraesterificación (aumento en el contenido de ácidos grasos saturados en la posición 2 de los triacilglicéridos); también se formaron cantidades importantes de ácidos grasos conjugados. Las áreas sombreadas indican la gama habitual de condiciones de elaboración requeridas para el refinado físico (270 °C para 30 min; 250 °C para 1 h; 240 °C para 2 h; 220 °C para 3 h). En estas condiciones, todos los cambios inducidos por el tratamiento a altas temperaturas parecen ser relativamente insuficientes.

FIGURA 5.1 - Formación de diversos artefactos en el aceite de soja en condiciones extremas de tratamiento térmico

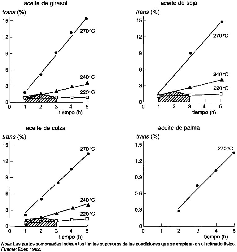
Isomerización cis-trans. Uno de los parámetros más sensibles que se utiliza para detectar los cambios químicos resultantes de unas condiciones de elaboración severas es la isomerización cis-trans, especialmente en el ácido linoleico. El estudio más completo realizado sobre este tema ha sido el de Eder (1982), que investigó con varios aceites la formación de isómeros geométricos a escala de laboratorio, planta piloto, y de producción. A escala de laboratorio, con aceite de soja sin blanquear a 240 °C, la formación de los isómeros C18:3 (determinada por GLC) era insignificante (menos del 1 por ciento, incluso después de 5 h, frente al 3 por ciento a 260 °C). En la Figura 5.2 se describe el contenido total de isómeros trans (determinado por espectroscopia de infrarrojos) en diversos aceites desodorizados en equipo de acero inoxidable a escala de planta experimental. Los datos muestran un fuerte efecto de la temperatura, especialmente entre 240 y 270 °C, y confirman la tendencia general. Esto es, incluso en aceites altamente insaturados que contengan ácido linoleico, la formación de isómeros en trans es lenta en las condiciones recomendadas para la desodorización/refinado químico industrial (por ejemplo, 250 °C como máximo). En conclusión, en la gama de temperaturas de 240-250 °C, la cantidad de ácidos grasos en trans que se forman a partir de los aceites insaturados es de alrededor del 1 por ciento o menos por hora. Este dato concuerda con los que se han considerado anteriormente (Rossel, Kochhar y Jawad, 1981; Jawad, Kochhar y Hudson, 1983b). Calentar los aceites al aire, en condiciones de fritura simulada, ha conducido a tipos similares de ácidos grasos isomerizados (Grandgirard, Sebedio y Fleury, 1984; Grandgirard y Juillard, 1987; Sebedio, Grandgirard y Provost, 1988).

FIGURA 5.2 - Formación de ácidos grasos en trans durante la desodorización a alta temperatura de diversos aceites

No se ha descrito la formación de isómeros de posición (esto es, dobles enlaces desplazados a lo largo de la cadena de ácidos grasos) del ácido linoleico y linolénico en condiciones de desodorización/refinado físico.

Dimerízación y polimerización. En la Figura 5.1 se han incluido datos cuantitativos sobre la formación de compuestos poliméricos en el aceite de soja blanqueado (Jawad, Kochhar y Hudson, 1983b). Hasta cerca de 260 °C, su tasa de formación parece ser baja; alrededor de 260 °C, el aumento es más rápido. Tendencias similares fueron observadas por Eder (1982). Sólo a 270 °C se observó un aumento rápido de la cantidad de triacilglicéridos. La desodorización del aceite de soja a escala comercial (2 x 51 min a 240 °C) dio como resultado un aumento entre el 0,5 y el 0,8 por ciento de los triacilglicéridos poliméricos.

Cuando la temperatura se elevó a 270 °C en una de las bandejas del desodorizador, se encontró un 1,5 por ciento de polímeros. Esto sugiere que el contenido en dímeros y polímeros de triacilglicéridos de los aceites y grasas debidamente refinados normalmente no supera el 1 por ciento en peso.

Strauss, Piater y Sterner (1982) realizaron estudios toxicológicos en ratones alimentados con concentrados (24 ó 96 por ciento) de dímeros (incluidos polímeros) de triacilglicéridos aislados a partir de aceite de soja que se había desodorizado a 220 °C durante 3,5 h y a 270 °C durante 1 h, y que contenía un 1,5 por ciento en peso de dímeros. Se vio que la toxicidad aguda era baja, con una DL50 de aproximadamente 18 g/kg de peso corporal. La administración del concentrado de dímeros durante un período largo de tiempo (12 meses, 15 por ciento en peso del concentrado al 24 por ciento en la dieta) no reveló ninguna diferencia significativa con respecto al grupo de control. Se vio que la absorción de los dímeros de ácidos grasos era bajo. Por lo tanto, la presencia de pequeñas cantidades de dímeros y polímeros en los aceites elaborados no parece presentar problemas fisiológicos.

Pérdidas físicas

Durante la desodorización o el refinado físico se eliminan los compuestos volátiles del aceite mediante la combinación de altas temperaturas, bajas presiones y arrastre con un gas inerte (vapor). El grado de eliminación depende de las propiedades físicas de los componentes (especialmente tensión de vapor) y de la temperatura y volumen de vapor que se hace pasar a través del aceite. Algunas pérdidas físicas son muy convenientes, tales como la eliminación de los malos olores, plaguicidas y compuestos aromáticos policíclicos, si existieran. Otras pérdidas de compuestos con valor nutritivo, como tocoferoles y esteroles, son potencialmente indeseables.

Se han dado datos cuantitativos sobre la composición de los destilados del desodorizador y la eliminación de varios tipos de contaminantes de los aceites durante la desodorización (Chaudry, Nelson y Perkins, 1978; Larsson, Eriksson y Cervenka, 1987; Sagredos, Sintra-Roy y Thomas, 1988; Gemeinschaftarbeiten, 1990). Durante la desodorización a alta temperatura o el refinado físico, especialmente, las concentraciones de plaguicidas organoclorados (lindano, DDT, etc.), si se hallan presentes en el aceite de blanqueo, se reducen a niveles muy bajos.

Los hidrocarburos aromáticos policíclicos (HAP) han constituido motivo de preocupación desde que se detectaron en algunos tipos de grasas y aceites sin refinar en los años sesenta. Un ejemplo de esto lo constituye el aceite de coco obtenido de la copra secado con gases de humos sin purificar. Según el número de anillos aromáticos, los hidrocarburos aromáticos policíclicos se pueden clasificar como ligeros (3-4 anillos) o pesados (5 o más anillos). Algunos de estos compuestos poseen propiedades carcinogénicas comprobadas, como el benzo-a -pireno. Los hidrocarburos policíclicos ligeros pueden eliminarse en el proceso de desodorización o refinado físico, mientras que los hidrocarburos aromáticos policíclicos pesados sólo pueden eliminarse por adsorción sobre carbón activo (Chaudry, Nelson y Perkins, 1978; Larsson, Eriksson y Cervenka, 1987). Este tratamiento, que puede combinarse con el tratamiento de blanqueo, es eficaz para reducir la concentración de compuestos aromáticos policíclicos a niveles aceptables.

Es inevitable que se produzcan algunas pérdidas por evaporación de tocoferoles y esteroles durante la desodorización y refinado físico a alta temperatura. Sin embargo, tienen pesos moleculares mayores y volatilidades inferiores a las de los ácidos grasos libres y a las de los hidrocarburos policíclicos aromáticos. En consecuencia, si se eligen bien las condiciones de elaboración, las pérdidas de tocoferoles y esterolesno tienen por qué ser severas. En algunos estudios en modelos se han empleado condiciones extremas para inducir efectos más drásticos. En la Figura 5.3 se ilustran los resultados característicos obtenidos con aceite de soja (Rossell, Kochhar y Jawad, 1981; Jawad, Kochhar y Hudson, 1984). Tras 2 h a 300 °C (un tratamiento drástico), los tocoferoles y esteroles desaparecían casi completamente, mientras que la reducción efectiva durante el refinado físico a 240 °C durante 120 min sólo es del 15-20 por ciento. Las pérdidas totales del refinado (incluido el pretratamiento) son de aproximadamente el 25-35 por ciento. Muchos investigadores proporcionan datos similares para muchos aceites. Las pérdidas tienden a ser mayores en el refinado físico que en el alcalino debido a que son más elevadas las temperaturas de arrastre.

En condiciones extremas, puede darse cierto grado de isomerización del b -sitosterol, y cada tocoferol (a, b, g, d) y esterol puede comportarse de diferente modo cuando se expone a altas temperaturas (Jawad, Kochhar y Hudson, 1984). Sin embargo, en condiciones más realistas estos fenómenos son menos importantes. La composición en tanto por ciento de las fracciones de tocoferol y esterol permanece prácticamente invariable durante la elaboración (Gemeinschaftarbeiten, 1990; Jung, Mood y Min, 1989).

En los aceites refinados, como el de girasol, semilla de algodón, y colza, un límite superior del 30-35 por ciento de las pérdidas de tocoferoles durante la elaboración completa seguiría satisfaciendo el criterio generalmente aceptado de equivalentes de a -tocoferol/ácido linoleico ³ 0,6 mg/g (Jager, 1975). El aceite de soja, que tiene un elevado contenido de g -tocoferol y por lo tanto se protege bien in vitro, tiene un contenido relativamente bajo de a -tocoferol, y no puede alcanzar este valor.

El b -caroteno del aceite de palma es otro componente valioso que debe tenerse en cuenta en el proceso de refinado. Se están diseñando procesos especiales de retención. Los aceites de oliva y de sésamo se utilizan sin refinar, ya que los consumidores cuentan con su sabor específico.

FIGURA 5.3 - Reducción del contenido de tocoferol (A) y esterol (B) del aceite de soja durante el blanqueo y tratamientos térmicos intensos (tiempo = 2 horas)

Procesos de modificación de las grasas

Hidrogenación. La hidrogenación de las grasas y aceites comestibles se ha realizado en gran escala desde principios de siglo. El proceso se lleva a cabo en un sistema trifásico (gas hidrógeno, aceite líquido y catalizador sólido), a temperaturas que varían desde unos 120 °C hasta unos 220 °C como máximo en las etapas finales de reacción. El catalizador consiste en pequeños cristales de níquel soportados por un óxido inorgánico, normalmente sílice o alúmina. Tras la reacción, se filtra el catalizador y se eliminan todas las trazas de níquel residual después del refinado, hasta conseguir un nivel de 0,1 mg/kg o inferior.

La hidrogenación consiste en una serie de reacciones consecutivas con una cinética de reacción de pseudo primer orden:


K3


K2


K1


18:3

®

18:2

®

18:1

®

18:0

en que K3, K2 y K1 son las constantes de velocidad de reacción de los ácidos linolénico, linoleico y oleico respectivamente. En casi todas las hidrogenaciones, el ácido linolénico se transforma en compuestos menos saturados. Dependiendo de las condiciones de reacción, puede cambiar considerablemente el llamado Cociente de Selectividad (K2/K1); así, con catalizadores de níquel, varía de aproximadamente 10 a bajas temperaturas a 50 ó 100 a altas temperaturas. Un cociente de selectividad elevado supone que se forma relativamente poco ácido saturado, y que los ácidos grasos monoinsaturados son el principal producto de reacción.

Aparte de la reducción de la insaturación, durante la hidrogenación también se da una isomerización de los dobles enlaces: isomerización geométrica (cis-trans), y de posición. Los mecanismos de hidrogenación y de isomerización se relacionan estrechamente (Koritala y Dutton, 1973; Rozendaal, 1976). Inicialmente se forma un intermedio mediohidrogenado, en el que la molécula adsorbida a la superficie del catalizador con un enlace sencillo puede rotar libremente. La adición de un segundo átomo de hidrógeno saturaría el enlace, mientras que la sustracción de un átomo de hidrógeno del estado intermedio mediohidrogenado de la superficie del níquel produce o bien la molécula original o bien un isómero de posición o geométrico. La hidrogenación de los ácidos grasos polienoicos se produce, al menos parcialmente, a través de isómeros conjugados (por ejemplo, c9, t11 o t10, c12), que son muy reactivos y por tanto se convierten rápidamente en ácidos monoenoicos en cis o en trans sin acumularse. De la cantidad total de ácidos grasos en trans presentes en los aceites de grasas hidrogenados, la mayor parte son, con mucha diferencia, los monoenos en trans. Dada la importancia del papel de la hidrogenación en la producción de grasas plásticas, los ácidos grasos en trans se pueden encontrar en importantes cantidades en muchos productos. La cantidad de dienos cis, trans y trans,cis es mucho menor, y el nivel de dienos trans,trans raramente supera el 1 por ciento (Gottenbos, 1983).

Aparte de la hidrogenación, existen otras dos importantes tecnologías de modificación de grasas. La primera es la interesterificación, el reordenamiento al azar de los ácidos grasos en la molécula del triglicérido, bajo la influencia de un catalizador moderadamente alcalino. Esto modifica el comportamiento de la grasa frente a la fusión, sin que cambie la naturaleza de sus ácidos grasos. La segunda es el fraccionamiento, la separación controlada de las fracciones de aceite/grasa a temperaturas bajas (fraccionamiento en seco) los disolventes (fraccionamiento con disolventes). En este proceso no se dan cambios en la naturaleza química de los ácidos grasos. El aceite de palma se fracciona en palmoleína y palmestearina.

Interrelaciones entre las tecnologías de modificación de grasas. En la industria se emplean varios aceites y grasas intercambiables, conservando una calidad constante. Generalmente se elige la combinación menos cara de materias primas que sea compatible con la calidad requerida. La hidrogenación amplía en gran medida el número de grasas disponibles que poseen un comportamiento determinado frente a la fusión, lo que aumenta la capacidad de intercambio y disminuye los costos. En situaciones en que no se da hidrogenación, la combinación de la interesterificación, el fraccionamiento y la selección del aceite inicial pueden constituir soluciones aceptables para limitar la formación de isómeros en términos de calidad del producto, pero sin embargo los costos son mayores. Si bien las modificaciones específicas reales, como la hidrogenación o la interesterificación son relativamente baratas, los costos de las pérdidas de flexibilidad pueden ser considerablemente mayores. Los procesos de modificación de aceites pueden cambiar a medida que se pueda disponer de nuevas composiciones mediante la biotecnología de las plantas (Sommerville, 1993).

Otras consideraciones

Almacenamiento, transporte y embalado de aceites. Los aceites y grasas deben protegerse frente al deterioro oxidativo, la contaminación con agua, suciedad, o con otras grasas, la absorción de olores y sabores extraños, el deterioro térmico y la entrada de sustancias extrañas procedentes de los materiales de empaquetado y forrado. Los factores de deterioro son la temperatura, la presión de oxígeno, los productos de oxidación, las trazas de metales, las enzimas oxidativas y lipolíticas, la disminución de los antioxidantes naturales, y la luz ultravioleta y visible. El empleo de temperaturas de almacenamiento bajas, el envasado en vacío o en nitrógeno; evitar que el cobre y las aleaciones de hierro y cobre formen parte de los materiales de construcción de las cubas de almacenamiento; y el empleo de antioxidantes naturales o sintéticos y de secuestrantes metálicos como aditivos, contribuyen a evitar el deterioro del aceite durante el almacenamiento.

Selección de la tecnología de elaboración de aceites. Son varios los factores que influyen en el empleo de la tecnología de elaboración de aceites y su aplicación a los productos. Así, la demanda de triglicéridos con ácidos grasos específicos en las posiciones 1, 2 y 3 de la molécula puede conseguirse mediante la transesterificación enzimática que emplea lipasas como catalizadores del proceso de intersesterificación. El ácido graso que más fácilmente se absorbe en la posición 2 puede generar triglicéridos específicos con utilidad médica. Por ejemplo, se pueden proporcionar ácidos grasos esenciales a pacientes con varios tipos de deficiencias en la absorción de grasas, o se puede proporcionar energía a los niños administrándoles ácido palmítico en la posición 2. Otro factor consiste en el aumento del uso del refinado físico debido a la presión de los consumidores que piden elaboraciones menos «químicas».

Conclusiones

El refinado en el medio rural de las plantas oleaginosas puede producir grasas y aceites de buena calidad que aportan la energía y las vitaminas liposolubles necesarias. El refinado comercial produce grasas y aceites con poco sabor, color limpio, buena calidad de conservación y estabilidad para freír. Las grasas y aceites refinados comercialmente carecen de los contaminantes conocidos que se extraen de las materias primas agrícolas. El refinado puede eliminar carotenoides con valor nutritivo para producir aceites con poco color, pero mantiene proporciones importantes de tocoles, y no cambia los ácidos grasos ni las composiciones de los triacilglicéridos. La temperatura, el tiempo y la presión deben controlarse cuidadosamente durante el refinado industrial. Los productos de los aceites deben almacenarse convenientemente, transportarse y empaquetarse para mantener la calidad, y los consumidores deben asumir la responsabilidad de no abusar de los aceites y grasas en sus familias.

La industria puede diseñar prácticamente cualquier grasa o aceite para una aplicación específica empleando varios procesos de modificación, como la hidrogenación, interesterificación, fraccionamiento o mezcla. La hidrogenación normalmente reduce el contenido de ácidos grasos esenciales y crea diversos isómeros de ácidos grasos, tanto cis como trans. La gran flexibilidad de que dispone la industria para seleccionar materias primas y distintos procesos de modificación permite elaborar aceites con el menor costo posible, un aspecto importante de la producción de los alimentos.


Página precedente Inicìo de página Página siguiente