La pesca constituye un factor selectivo y tiene la posibilidad de modificar las poblaciones. Muchos pescadores se dedican a una especie o grupos de especies particulares y persiguen los ejemplares adultos de gran tamaño en lugar de los juveniles. Es bien sabido que con métodos distintos de pesca se capturan peces de distinta talla en la misma zona, v.g. las pesquerías de arrastre y con palangre del Atlántico Norte (ICNAF, 1963) y artes de cerco, redes de enmalle y con curricanes frente a las costas de la Columbia Británica para el salmón del Pacífico (Ricker et al., 1978). Pese a estas posibilidades de selección, las pruebas de que se hayan producido variaciones genéticas por la pesca, especialmente en las poblaciones marinas, son limitadas. Miller (1957) ya había llegado a la conclusión de que había pocos indicios de cambios hereditarios debidos a la explotación o a la introducción de peces de agua dulce. Desde entonces se han comunicado experiencias sobre variaciones genéticas en poblaciones de peces debidos a una pesca intensa. La mayor parte de los informes se basan en el cambio de los caracteres del ciclo biológico a lo largo del tiempo, pero estos caracteres pueden cambiar por factores extragenéticos en respuesta a los cambios ambientales.
El bacalao del Atlántico ha sido explotado en las aguas costeras del Atlántico Norte durante siglos, pero el muestreo biológico de las capturas se remonta únicamente a los últimos cincuenta años. El descubrimiento y recuperación de una goleta perdida en las costas de Nueva Escocia en los años 1750 ofreció un oportunidad única para realizar una comparación de las longitudes del bacalao entre los siglos XVIII y XX, basada en la medición de los huesos de la clavícula (Kenchington y Kenchington, 1993). Los bacalaos capturados con anzuelos modernos frente a las costas de Nueva Escocia son mucho más pequeños que los que se capturaba en los años 1750, si bien ocasionalmente se pescan bacalaos de una talla máxima parecida (Kenchington y Kenchington, 1993).
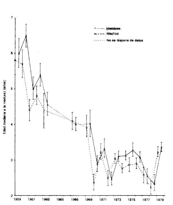
En 1968 las capturas en la plataforma escocesa del Atlántico Norte llegaron a un máximo de 80 000 toneladas y vinieron acompañadas de un acusado declive de la biomasa y la reducción correspondiente de la talla y edades medias (Beacham, 1983a). Además, la longitud y las edades medianas al llegar a la madurez disminuyeron también : la edad mediana al llegar a la madurez sexual pasó de ser > 5 años en 1960 a < 3 años en 1978 (Fig.1) tanto para los machos como para las hembras (Becham, 1983a). El bacalao que maduró a los tamaños más pequeños más jóven tendría una pesca intensiva ya que el bacalao de mayor tamaño y de madurez más tardía habría sido capturado antes de llegar a la madurez sexual (Becham, 1983a). Se han observado casos parecidos para el bacalao del Atlántico en el oeste de Groenlandia, donde la edad media a la madurez pasó de 9,9 años en 1917 a 6,4 años en 1936 en la pesquería septentrional y de 9,3 años en 1922 a 7,6 años en 1936 en la pesquería meridional (Hansen, 1949).
En las poblaciones ártico-noruegas del bacalao del Atlántico la mayoría de los ejemplares maduraron entre los 8 y los 10 años en los años treinta pero para los años setenta la mayoría del bacalao maduró a los 6 años (Borisov, 1979). Esta disminución se atribuyó a la retirada selectiva de la población del bacalao de maduración tardía (Borisov, 1979). Durante un período de cuarenta años no se observó tendencia alguna en cuanto a la longitud por edades, lo que parece indicar que el crecimiento no dependía de la densidad, si bien la reducción de la longitud por edades en la primera mitad de los años ochenta coincidió con una disminución de la abundancia relativa del capelán, que constituye la presa principal de los grandes bacalaos (Jorgensen. 1992). Law y Grey (1989) estiman que la pesca de los ejemplares de 4 años del mar de Barents y en la plataforma de Spitzbergen deberían restringirse y la pesca debería concentrarse en los peces de mayor tamaño que desovan, en la costa de Noruega. Esta modalidad de pesca seleccionaría individuos de madurez tardía y ofrecería un mayor rendimiento.
El eglefino ha sido explotado intensamente en las pesquerías demersales del Atlántico nordoccidental. Las capturas del eglefino en los bancos de la isla de San Pedro, frente a Terranova, aumentaron rápidamente para alcanzar un máximo de 58 000 toneladas en 1955, basadas principalmente en una clase anual excepcional en 1949. Esta gran captura vino seguida de una disminución de cerca de 6 000 toneladas en 1957 y otras reducciones de menos de 1 000 toneladas en los años setenta (Templeman y Bishop, 1979a). Los datos biológicos reunidos entre 1948–51 y 1969–75 arrojan una disminución de la edad media a una madurez del 50 por ciento (Fig. 2) que pasó de 4,6 a 3,3 años para los machos y de 5,9 a 4,3 años para las hembras (Templeman y Bishop, 1979b). Becham (1983b) ha señalado que esta disminuci ón se produjo en un período en que se dieron tasas de crecimiento tanto crecientes como decrecientes, por lo que el cambio de la edad a la madurez no está únicamente relacionado con la variaci ón de las tasa de crecimiento debida al efecto compensatorio de la reducción de la biomasa, sino que con gran probabilidad se trata de una variaci ón genética.

Figura 1. Edad mediana a la madurez sexual para el bacalao del Atlánticok capturado en la División de Pesca 4W en la plataforma de Escotain, Canadá, entre 1959–79. Los triángulos unidos por una línea de trazo continuo representan los datos correspondientes a las hembras y los círculos unidos por una lx5inea de trazos a los machos, mientras que la línea de puntos indica que no se dispone de datos y las barras vetrticales representan los límites de confianza del 95 por ciento. (Datos presentados por Beacham, 1983a).

Figura 2. Trendencias de la edad media a la madurez sexuel del 50 por ciento lpara el glefino macho y hembra en los bancos de la isla de San Pedro, Canadá, entre 1948–75. Las barras verticales representan los límites de confianza del 95 por ciento.(Datos facilitados por Templeman y Bishop, 1979b).
En la plataforma continental de Escotian las capturas de eglefino ascendieron en 1965 a más de 50 000 toneladas y posteriormente disminuyeron a menos de 11 000 toneladas en 1967. Durante el mismo período de tiempo la longitud mediana a la madurez sexual se mostró relativamente constante, pero la edad mediana a la madurez disminuyó entre 1959–64 y 1975–79 para pasar de 3,9 a 2,7 para los machos y de 4,4 a 3,0 para las hembras (Beacham, 1983c).
En el Gran Banco, en el Atlántico nordoccidental, la captura de la platija americana, Hippoglossoides platessoides, fue aumentando durante los años cincuenta hasta alcanzar un máximo de unas 90 000 toneladas anuales en los años sesenta, para disminuir después y situarse en unas 45 000 toneladas (Pitt, 1975). Durante el período 1959–72 la talla media por edades aumentó gradualmente, al mismo tiempo que descendía la edad a la madurez sexual (Pitt, 1975). La longitud media estaba en correlación con la abundancia de la población, pero no la temperatura del agua, lo que indujo a Pitt (1975) a creer que los cambios del tamaño por edad se debían en gran medida a una reducción de la densidad. La causa del descenso de la edad de la madurez está menos clara al existir variaciones regionales de dicha edad; en algunas zonas los peces que crecen más rápidamente maduran a una edad más avanzada que los peces de crecimiento lento de otras zonas (Pitt, 1975). Es probable que la pesca retire una mayor proporción de peces de crecimiento más rápido, produciendo una disminución de la edad a la madurez pero no debido a un aumento de la tasa de crecimiento dependiente de la densidad. Beacham (1983b) ha presentado pruebas en apoyo de una disminución de la longitud y las edades medianas a la madurez sexual para la platija americana (Fig.3) y la limanda. Limanda ferruginea, en varias pesquerías del Atlántico nordoccidental. Esta disminución tanto de la talla como de la edad a la madurez no se explican fácilmente por un aumento de la tasa de crecimiento debida a los efectos compensatorios de una biomasa reducida (Beacham, 1983b), sino que probablemente reflejan una variación genética de la población.
En la pesquería de limanda japonesa, Limanda espersa, en las costas de la Federación de Rusia, la talla y edad en la cual el 50 por ciento de las hembras que alcanzaban la madurez disminuyó de 29,9 cms y 8,5 años a 27,2 cm y 7,2 años durante el período 1961–69 (Tikhonov, 1977). Durante el mismo período se registró un aumento de la fecundidad de los peces de la misma talla.
En cambio, en la pesquería del mar del Norte el aumento de la tasa de crecimiento del lenguado, Solea solea, estaba relacionado con la disponibilidad de alimentos procedentes de las actividades de arrastre más que de una reducción de la densidad de la población (de Veen, 1976). La talla a la madurez permaneció constante durante un largo período de tiempo y para aumentar después, mientras que la edad a la madurez no sufrió modificaciones durante el mismo período. Igualmente, Rijinsdrop et al., (1991) no encontraron pruebas de que el crecimiento dependiera de la densidad de los individuos adultos de lenguado y la solla europea, Pleuronectes platessa, adultos en un período de 30 años de gran explotación. En la solla la edad a la madurez, pero no la talla, varió a lo largo del período 1958–88 y estaba correlacionada positivamente con la tasa de crecimiento de los juveniles. En el lenguado no existía relación entre la tasa de crecimiento de los juveniles y la edad de la madurez, y tanto para la solla como para el lenguado no se advertía tendencia alguna de la tasa de crecimiento o la talla y la edad a la madurez (Rijinsdrop, 1991).
La observación de las poblaciones naturales de langostas indica que el principio la madurez sexual viene determinado por la edad y no por la talla. Cuando la población reproductora de la Panulirus longipes cygnus de la costa occidental de Australia alcanza una baja densidad, la talla de la primera cría y las tallas superiores de las hembras son más elevadas (Chittleborough, 1979). En condiciones de alta densidad (sin explotación) la tasa de crecimiento se retrasa y el principio de la madurez sexual se produce a una talla más pequeña (Chittleborough, 1979). En el Jasus lalandii, en el ecosistema de Benguela frente a Africa austral, las tasas de crecimiento y la talla a la madurez sexual son mayores cuando hay mucha abundancia de alimentos (Byers y Goosen, 1987). Se ha observado una reducción de la talla al principio de la producción de huevos y un aumento asintónico de la longitud de la langosta, Panulirus marginatus, de Hawai, tras un período intenso de pesca de una población virgen(Polovina, 1989). Esta disminución de la talla al principio de la producción de huevos en la P. marginatus, apunta en una dirección opuesta a la prevista en base a las relaciones de densidad y puede indicar un cambio genético de la población.

Figura 3. Edad mediana a la madurez sexual para la platija americana capturada en la División de Pesca 4W en la plataforma de Escotain, Canadá, entre 1964–80. Los triángulos unidos por una línea de trazo continuo representan los datos correspondientes a las hembras y los círculos unidos por una línea de trazos a los machos, mientras que la línea de puntos indica que no se dispone de datos y las barras verticales representan los límites de confianza del 95 por ciento. (Datos presentados por Beacham, 1983c).
Los camarones pandálidos son hermafroditas protándricos (reproduciéndose primeramente como machos) en los que la edad del primer cruzamiento y posterior inversión de sexo está relacionada con la talla individual (Charnov, 1979). En la pesquería de camarones, P. borealis, en el Skaggerak, se produjo una reducción de la talla de las hembras durante un período de intensa explotación (Jensen, 1965, 1967). Las capturas danesas y suecas de camarón combinadas ascendieron a más del doble entre 1956 y 1960, mientras que el porcentaje de camarones grandes, predominantemente hembras, disminuyó del 44 por ciento en 1944 al 14 por ciento en 1961. Más sorprendente todavía fue la aparición de una clase de hembras de pequeño (Cuadro 1), aproximadamente de la misma talla que los machos de un año de edad. Las hembras pequeñas (< 75 mm) no estaban presentes en 1953, pero para 1961–62 constituyeron el 21–30 por ciento de la captura (Jensen, 1965). Charnov (1981) sugiere que una mayor mortalidad por pesca de las hembras mayores ha dado lugar a la selección de unos individuos que maduran como hembras a la edad de la primera cría.
Para las especies con un período de desove prolongado y las correspondientes pautas de conducta y movimiento estacionales, las actividades de pesca pueden infligir una mayor mortalidad en un componente del recurso. En las pesquerías de temporada o sin limitaciones, los explotadores comerciales se sienten tentados de conseguir las máximas capturas en cuanto se abre la temporada. Ello puede ejercer una mayor presión en los individuos que regresan pronto y favorecer a los que vuelven más tarde. Las primeras llegadas y desoves posteriores del arenque del Atlántico, C. harengus, en la costa noruega han cambiado a lo largo de un período de 60 años (Devold, 1963). Hacia fines del siglo pasado, los primeros arenques en regresar a los lugares de desove lo hacían en septiembre—octubre, pero esta fecha de regreso se ha ido retrasando progresivamente, por lo que para los años cincuenta los arenques no aparecían en dichos lugares hasta el mes de enero (Devold, 1963). Mathisen (1989) estimó que este cambio se debió a los efectos de la pesca, ya que se capturaban selectivamente los primeros subgrupos de arenque en regresar, de forma que con el tiempo éstos contribuían en menor medida a la pesquería y eran sustituidos sucesivamente por los subgrupos que regresaban más tarde.
Cuadro 1. Disminución de la talla media y aumento de la frecuencia relativa de las hembras de pequeño tamaño en la pesquería de langostinos del Skagerak entre 1949–62. (Datos facilitados por Jensen, 1965).
| Período | |||||
|---|---|---|---|---|---|
| Sexo | 1949–53 | 1954–57 | 1958–60 | 1961–62 | |
| longitud media (mm) | |||||
| Machos y transición | 74 | 69 | 68 | 67 | |
| Hembras | 96 | 87 | 83 | 82 | |
| porcentaje | |||||
| Machos y transición | 65 | 81 | 85 | 83 | |
| Hembras | >74mm | 0 | 2 | 3 | 4 |
| >75mm | 35 | 17 | 12 | 14 | |
Esta interpretación de las observaciones de Devold debe contrastarse con los cambios no genéticos que pueden haberse producido durante el período. Los cambios de los tiempos de desove de otros grupos de arenque del Atlántico han podido explicarse por los cambios de las condiciones ambientales. El arenque es una especie flexible fenotípicamente, que se ha subdividido en muchos grupos taxonómicos basados en los caracteres morfométricos y los períodos y lugares de desove (Parrish y Saville, 1965). El carácter hereditario de los momentos del desove en el arenque se desconoce pero hay indicios de que existe un fuerte componente ambiental. En el Báltico, los arenques desovan entre la primavera y el otoño (Aneer, 1985) produciéndose el desove menos fecundo en primavera y el más fecundo en otoño (Anokhina, 1971). La desaparición de los desoves de otoño se ha atribuido a unas mejores condiciones alimentarias, debidas a la eutrofización, por la que los adultos disponen de reservas suficientes de alimento para desovar en primavera (Aneer, 1985). En el noroeste del Océano Atlántico, los arenques nacidos en otoño y primavera, identificados por sus características otolíticas, se ha visto que desovaban en estaciones opuestas (Messieh, 1972).
Por una extensión de esta hipótesis de desove selectivo, Mathisen (1989) cree que el declive de la anchoveta peruana, Engraulis ringens, se vio acelerado por la pesca selectiva disruptiva de las “mejores unidades reproductoras” con lo que quedaron solamente grupos marginales para reconstituir las poblaciones.
En las pesquerías de salmón del Pacífico de la Columbia Británica la mayor parte de los peces se capturan en la fase de adultos maduros cuando vuelven a los ríos para desovar. Por ello las pesquerías tienen menos probabilidades de demostrar el efecto de pesca que hemos visto en la pesca de arrastre para los teleósteos marinos. Un estudio realizado sobre cinco especies de salmón del Pacífico llego a la conclusión de que tres especies por lo menos presentaban una disminución de la talla media por años, tras varios años de pesca selectiva por tallas (Ricker, 1981). La pesca con redes de enmalle y con curricanes del salmón plateado. Oncorynchus kisutch, y el salmón rosado, O. gorbuscha, tiende a capturar los peces mayores y dichas especies presentan las mayores reducciones de las tallas medias (Ricker, 1981). El salmón real, O. tshawytscha, redujo tanto su talla media (Fig. 4) como su edad entre 1951 y 1975 (Ricker, 1980). Ricker (1981), estima que esta disminución de talla y edad se debe a la pesca con curricanes, que captura tanto los individuos maduros como los no maduros, lo cual milita en contra de los individuos que maduran tarde. Sin embargo, los datos son complejos y los métodos de pesca y los tamaños de las mallas han cambiado durante el período de muestreo y para el O. nerka se advirtió un aumento de la tasa de crecimiento a lo largo del período, que se atribuyó al enfriamiento de las aguas oceánicas (Ricker, 1981).
En el caso del salmón plateado, O. kisutch, los machos maduran después de seis meses de permanencia en el océano como los jureles o tras dieciocho meses como los aguileños. Estas dos estrategias alternativas del ciclo biológico son mantenidas por la selección disruptiva (natural) que favorece los machos pequeños “sigilosos” y los machos grandes “luchadores” (Gross, 1985). La pesca captura selectivamente los peces mayores (Fig. 5) aumentando la frecuencia relativa de los jureles (Gross, 1991). Sin embargo, Gross (1991) ha demostrado que los cambios en otras fases del ciclo biológico pueden influir en la proporción entre jureles y aguileños. La limpieza de los arroyos puede reducir los refugios disponibles para los jureles por lo que favorece a los peces aguileños en los lugares de desove. Otros cambios ambientales, tales como la “eutrofización” pueden aumentar la tasa de crecimiento de los alevines, lo que conduce al aumento de la proporción de juveniles que maduran como jureles (Gross, 1991).
El salmón del Atlántico, S. salar, muestra grandes variaciones en su edad media entre distintas cuencas orográficas durante el primer desove. Se cree que estas variaciones son adaptativas y se mantienen por selección natural (Schaffer y Elson, 1975). La presión de pesca sobre los adultos que regresan para desovar ha eliminado a los peces mayores y más viejos de algunas carreras de desove, lo que ha redundado en una edad más baja de los peces primeros que regresan (Schaffer y Elson, 1975).
En las especies con una temporada de desove larga una presión de pesca desigual ejercida durante la temporada puede producir una mortalidad selectiva. En el río Columbia la carrera de desove del salmón real, Oncorhynchus tsawyscha, duraba de abril hasta agosto para alcanzar un máximo en junio-julio cuando se inició la primera pesca el siglo pasado (Thompson, 1951). La pesca tenía lugar principalmente durante el verano con el buen tiempo y cuando los peces eran más abundantes. La fuerte presión de pesca ejercida durante los momentos álgidos de la carrera de desove redujeron las capturas, de forma que en 1938 disminuyó el número total de ejemplares capturados y la carrera de desove alcanzó sus máximos en mayo y en agosto (Fig. 6) siendo muy pocos los peces capturados durante el período máximo anterior de junio-julio (Thomson, 1951). Mathisen (1989) ha interpretado estas observaciones como una selección disruptiva, que seleccionó tanto los peces que desovaban al principio como al final de la temporada, que no sustituyeron a los desovadores del período máximo medio.
Ricker (1982) ha descrito una selección disruptiva de la talla en el salmón rojo, Onorhynchus nerka. La pesca con redes de enmalle permite capturar peces de talla media lo que ha favorecido la supervivencia de los pequeños peces oceánicos de tres años y los grandes de cuatro años. De resultas de ello los peces de tres años se han hecho más pequeños y los de cuatro más grandes, aumentando la diferencia entre ellos en unos 500g (Ricker, 1982).
En muchas pesquerías de lago se utilizan las redes de enmalle, que capturan selectivamente los peces de gran peso, produciendo una mortalidad no aleatoria con respecto a la talla (Hamley, 1975). En el Canadá abundan los coregonos y el coregono de lago, Coregonus clupeaformis, constituye la base de la pesca en varios lagos. La comparación entre las poblaciones explotadas y no explotadas del coregono de lago puso de manifiesto los efectos compensatorios típicos de la pesca por los que la tasa de crecimiento aumenta con la explotación (Healey, 1975). La tasa de crecimiento de las poblaciones muy explotadas fue parecida a la tasa de crecimiento más rápido de las poblaciones no explotadas (Healey, 1975). Sin embargo, en las poblaciones muy explotadas los peces maduraron a una edad más temprana y su talla era más pequeña que la de los peces de las poblaciones no explotadas.
En el lago Lesser Slave, provincia de Alberta, los recursos pesqueros se han explotado intensamente. La trucha de lago, Salvelinus namaycush, quedó agotada para los años veinte y disminuyó igualmente la abundancia de otras especies (Handford et al., 1977). Entre 1941 y 1975 se analizaron muestras del C. clupeaformis a partir de las capturas comerciales y de las destinadas a la investigación. Tras un aumento inicial del peso y de la longitud media se observó una disminución tanto de la longitud como del peso a una edad determinada. Para los años setenta los peces de una determinada edad pesaban menos de la mitad que los peces de la misma edad en los años cuarenta, si bien la longitud media por edades fue casi la misma tanto en los años setenta como en los cuarenta (Handford et al., 1977). Se han hecho observaciones parecidas en otros lagos (Handford et al., 1977). Además, las capturas del lago Lesser Slave arrojaron un aumento general de la edad media, resultado que era de esperar a niveles moderados de explotación en los que la selección favorece unas tasas de crecimiento más lentas que neutralizan los efectos de la compensación dependiente de la densidad (Hanford et al., 1977). La pesca de los pércidos de lago ha mostrado tendencias parecidas de un aumento de la tasa de crecimiento y la reducción de la edad al primer desove (Spangler et al., 1977).

Figura 4. pesos medianos del salmón real capturado con curricanes frente a las costas de la Columbia Británica, Canadá. (Datos presentados por Ricker, 1981).

Figura 5. Efectos de la pesca selectiva por tallas sobre la aptitud relativa de los jureles y los machos aguileños del salmoón plateado. la retirada selectiva de los machos aquileños aumenta el porcentaje de jureles en la pesquería; pl* ausencia de pesca, p2* y p3* niveles crecientes de pesca.(Datos de Gross, 1991).

Figure 6. Cambios estacionales de las capturas del salmón plateado en el río Columbia. A. diarias con red de enmalle en 1876 y B. Captures en 1938. 9Datos ofrecidos por Mathieson, 1989).
Las poblaciones de peces del lago George, Uganda, se estudiaron entre 1967 y 1972 cuando el cíclido Tilapia nilotica representaba cerca del 80 por ciento de las capturas. La pesca ha sido la fuente principal de la mortalidad entre los adultos para estas especies, cuya talla media disminuyó de unos 0,9 kg en 1950 a 0,4 en 1970. Durante el mismo período la talla a la madurez disminuyó de 20–29 cm a 18–24 cm (Gwahaba, 1973).
En el lago Femund de Noruega los coregonos, que son polimórficos, revisten tres formas. Una pesquería de pelágicos con redes de enmalle iniciada en los años ochenta procedió a una selección adversa al tipo pelágico, que disminuyó con respecto a las dos otras formas y ha redundado en una reducción de la proporción de peces grandes y de la talla por edades (Sandlund y Naesje, 1989).
En los años ochenta se creó una nueva pesquería dedicada al reloj anaranjado frente a las costas de Nueva Zelandia y tras diez años de explotación la biomasa se redujo en el 60–70 por ciento. La diversidad genética, medida por la electroforesis de la gelatina arrojó una disminución importante en tres caladeros aislados (Cuadro 2) entre 1982/83 y 1988 (Smith et al., 1991). El reciente descubrimiento de nuevos lugares de desove ofrece nuevas oportunidades para observar los efectos genéticos de la explotación de las poblaciones vírgenes. Los resultados preliminares de los estudios alozimáticos indican unos niveles de diversidad genética parecidos a los comunicados en 1982–83 anteriormente a la explotación (Smith, no publicados). En una situación parecida para la langosta, Panulirus marginatus, no se observaron variaciones genéticas a lo largo de nueve años de fuerte explotación de una población virgen (Seeb et al., 1990).
En las poblaciones de salmón rojo que desovan en lagos remotos en la península de Kamchatka, los ejemplares jóvenes pasan de uno a tres años en los lagos y luego emigran al mar para uno o cuatro años más antes de regresar como adultos sexualmente maduros. Los machos maduran según dos tallas distintas: como machos grandes, tras dos o más años en el mar, o como pequeños machos “kayiriki” después de un año en el mar (Altukhov, 1990). Además, algunos machos residuales del lago maduran como “enanos” (Altukhov, 1990). Este dimorfismo sexual es parecido al observado en el salmón plateado, O. kisutch (Gross, 1985). Los ejemplares machos grandes del salmón rojo tienen una ventaja sobre los machos pequeños en los lugares de desove, pero los machos pequeños consiguen su desquite en los años en que el nivel del agua es bajo, ya que los machos grandes no pueden penetrar en las zonas de desove superficiales (Altukhov, 1990).
Cuadro 2. Niveles de heterocigosis del reloj anaranjado correspondientes a tres caladeros situados alrededor de Nueva Zelandia, observados en 1982/83 y 1988, antes y después de una pesca intensa. Se observa un fuerte descenso de la heterocigosis en cada caladero con una probabilidad de <0,02–<0,01 (Datos facilitados por Smith et al., 1991)
| Caladero | Año del muestreo | Heterocigosis media | Probabilidad |
|---|---|---|---|
| Chantham Rise | 1982 | 0,20 | <0,02 |
| (Océano Pacífico) | 1988 | 0,14 | |
| Costa este | 1983 | 0,25 | <0,02 |
| (Océano Pacífico) | 1988 | 0,17 | |
| Challenger Plateau | 1983 | 0,22 | <0,01 |
| (Mar de Tasmania) | 1988 | 0,15 | |
Durante los treinta y cinco años comprendidos entre 1935–76 el número de salmones rojos que regresó al lago Dalneye, en la península de Kamchatka, disminuyó espectacularmente (Altukhov, 1990), mientras que aumentó la proporción de machos pequeños entre los que regresaban y, asimismo, la proporción de machos enanos residentes en la población aumentó considerablemente (Cuadro 3). Los estudios alozimáticos más recientes de las poblaciones de salmón rojo en tres lagos de Kamchatka (Cuadro 4) han revelado que la heterocigosis media entre dos loci enzimáticos es mayor en los machos pequeños que en los grandes (Altukhov, 1993). Las frecuencias alélicas son similares entre los dos grupos, pero los machos pequeños se caracterizan por un exceso importante de heterocigotos en el locus, phosphoglucomutase (PGM) y los machos grandes por un exceso importante de homocigotos en dos lagos. La hetorocigosis de las hembras se encuentra en un valor intermedio entre el de los machos grandes y pequeños (Altukhov, 1990). (Altukhov 1990) cree que estos cambios del heterocigotismo se deben a los efectos selectivos de la pesca. Mientras la pesca puede haber favorecido la supervivencia de los machos pequeños, como puede ocurrir con los cambios en un entorno de agua dulce, no hay datos históricos sobre las alozimas para las dos clases de talla de los machos. En tres lagos de Kamchatka el nivel de heterocigosis en la PGM aumenta con la proporción de machos pequeños existentes en el lago (Altukhov, 1990).
Kirpichnikov et al. (1990) han demostrado que cuando los peces son pequeños los individuos de crecimiento más lento son menos heterocigóticos que los de crecimiento rápido. Si estos últimos maduran antes como enanos o machos pequeños, y en los salmónidos el crecimiento rápido está asociado con una madurez precoz, ello explicaría las observaciones de (Altukhov, 1990). La heterocigosis general de la población ha aumentado debido a los efectos indirectos de la pesca, que favorece la supervivencia de los machos pequeños.
El O. mossambicus se utiliza ampliamente en la acuicultura tropical de estanque. Se reproduce por la boca y se cría fácilmente en depósitos. Para medir los efectos de la pesca selectiva se establecieron dos poblaciones y después de 39 meses se cosecharon con dos meses de intervalo (Silliman, 1975). Mediante estas operaciones se extrajo aproximadamente el 10 por ciento de los peces: una población fue pescada selectivamente, retirando únicamente los peces que no podían pasar por una rejilla situada en el estanque. La segunda población, que actuaba de testigo, se pescó sin carácter selectivo, retirando un número parecido de peces pero de todas las clases de talla. Transcurridos 63 meses se aumentó la presión de pesca al 20 por ciento y se mantuvo durante otros 12 meses. Para observar los efectos genéticos de la pesca, se retiraron grupos de 46 individuos maduros, tanto de la población sometida a selección como de la no sometida, después de 77 meses, y se dejaron crecer durante otro período. El crecimiento se midió a los 55–56, 118–119, y 150–151 días después del comienzo del segundo experimento. Tanto en la población sometida a selección como en la no sometida los machos crecieron más rápidamente que las hembras, pero los machos de la población no sometida a selección crecieron más rápidamente que los machos de la población sometida a selección (Silliman, 1975). Así pues, la pesca selectiva dio lugar a la reducción de la tasa de crecimiento de los machos en tan solo tres generaciones. Es probable que las hembras se vieran menos afectadas.
Cuadro 3. Número de ejemplares de salmón rojo en el lago Dalneye, península de Día, y número de machos pequeños y enanos durante el período 1935–76. (Datos facilitados por Krogius, 1979, y presentados por Altukhov, 1993)
| Salmón | Períodos | |||
|---|---|---|---|---|
| 1935–46 | 1947–56 | 1957–65 | 1966–76 | |
| Promedio de desovantes que entraron en el lago (10 000s) | 63 | 10 | 6 | 1,6 |
| Porcentaje de machos pequeños entre los machos migrantes | 0,2 | 0,6 | 4,3 | 37,5 |
| Porcentaje de enanos en la población de machos | 26 | 49 | 47 | 89 |
Cuadro 4. Niveles de heterocigosis para los loci de la lactate dehydrogenase (LDH), y la phosphoglucomutase (PGM) del salmón rojo en tres lagos de Kamchatka. (Datos procedentes de Altukhov, 1993)
| Lago | Peces | Heterocigosis | |
|---|---|---|---|
| LDH | PGM | ||
| L. Nachikinskoye | machos pequeños | .43 | .55* |
| machos grandes | .39 | .35* | |
| L. Blizhneye | machos pequeños | .19 | .56* |
| machos grandes | .03 | .36 | |
| L. Dalineye | machos anadrómicos | .21 | .31 |
| machos enanos | .16 | .62* | |
* desequilibrio genético significativo
Las diferencia del ciclo biológico entre las poblaciones de “guppies” se deben a la depredación: algunos depredadores (cíclidos) hacen presión en los “guppies” sexualmente maduros de gran tamaño y otros depredadores (“killifish”) atacan a los “guppies” pequeños e inmaturos. Se trasplantó una población de “guppies” de un río, entre los que había un depredador cíclido, a un lugar tributario sin “guppies” pero con depredadores “killifish”. A lo largo de un período de once años la población trasplantada produjo hijos mayores y mayores hembras (Figura 7), que se reprodujeron por primera vez según una talla mayor que las hembras de la población testigo (Reznick et al., 1990). La cría de grupos de descendientes de las dos poblaciones en condiciones de laboratorio parecidas mostró que las diferencias del ciclo biológico tenían una base genética (Reznick et al., 1990).
Se llevó a cabo un experimento en el laboratorio con la pulga de agua, D. magna, para medir las repercusiones de dos regímenes de captura antagónicos, retirando los individuos pequeños y después los grandes (Edley y Law, 1988). En la primera extracción se retiró el 50 por ciento de la población y posteriormente el 40 por ciento cada ocho días. Los rendimientos disminuyeron en ambos regímenes, pero fueron mayores en la población de la que se extrajeron individuos grandes. En el régimen de retirada de individuos pequeños la talla media por edades aumentó, al igual que la talla a la primera reproducción, mientras que en el régimen de retirar los individuos grandes se produjo el efecto inverso, es decir, una disminución de la talla por edades y una disminución de la talla a la primera reproducción (Edley y Law, 1988).

Figura 7. Talla de los hijos y talla media de las hembras sexualmente maduras en las muestras trasplantada y testigo de los “guppies” a lo largo del período de once años en el río Aripo de Trinidad. Los círculos unidos por una línea de trazo continuo corresponden al lugar introducido y los triángulos unidos por una línea de trazos son el lugar testigo. En este último lugar el principal depredador hizo presa predominantemente en los grandes “guppies” y en el lugar de trasplante el principal depredador atacó los “guppies” pequeños. (Datos facilitados por Reznick et al., 1990).
Mentshutkin et al., (1989) formularon un modelo simulador para la pesquería del salmón rojo, Oncorhyncus nerka, en Kamchatka. Cuando el crecimiento estaba controlado por un gen único con dos alelos, la población modelo se hizo inestable al perder un alelo, lo cual apoya las observaciones de que la regulación del crecimiento es poligénica. Cuando el crecimiento era poligénico y multialélico, el porcentaje de alelos de “rápido crecimiento” (que equivale a la madurez precoz) aumentó en la población seleccionada y aumentó igualmente la proporción de peces no migratorios. Estos resultados corroboran las observaciones en la pesquería cuando ha habido un aumento de machos pequeños y de peces residentes en el lago (Altukhov, 1990). Favro et al., (1979, 1982) utilizaron un modelo de simulación para estimar la magnitud de los efectos genéticos en una pesquería de truchas sujeta a unos límites de talla mínima y en la que el crecimiento estaba regulado por un pequeño número de genes principales. Los resultados demostraron que la talla media y los números totales disminuyeron ante niveles moderados de presión de pesca y concordaban con las observaciones realizadas en la pesquería de la trucha marina, Salmo trutta, en Michigan. Ampliando el modelo para seleccionar los peces de una gama específica de tallas, para la que se fijó un límite máximo y mínimo, el modelo puso de manifiesto que un límite doble producía una disminución parecida en los peces grandes, al igual que ocurrió con los límites de talla mínima convencionales (Favro et al., 1980).
Law y Edley (1989) han utilizado un modelo centrado en la edad para describir la explotación que actúa como una fuerza selectiva sobre la variación genética de los caracteres del ciclo biológico. La pesca selectiva inducirá cambios de los ciclos biológicos, que a su vez producirán cambios evolutivos del rendimiento. En principio, el director de la pesquería puede optar por la modalidad de pesca que seleccione el ciclo biológico óptimo y que producirá el mayor rendimiento, al que los autores se refieren como la “estrategia evolucionista para la pesca óptima estable” (Law y Edley, 1989). Aplicando este modelo al bacalao ártico-noruego, Gadus morhua, que ha mostrado una disminución de la edad a la madurez, puede obtenerse un aumento del rendimiento seleccionando los peces que maduran más tarde. En la práctica, aquello podría conseguirse restringiendo la pesca basada en los peces inmaturos en los lugares de alimentación septentrionales y centrando el esfuerzo en las pesquerías de desove (Law y Edley, 1989).
McAllister y Peterman (1992) han propuesto un método de gestión experimental a gran escala para ensayar el carácter hereditario de la tasa de crecimiento y los efectos de la pesca selectiva por tallas en una población natural del salmón rosado, Oncorhynchus gorbuscha, con el objetivo de aumentar la biomasa de las capturas. Esta especie como ocurre con otros salmónidos de la costa oeste, ha mostrado una reducción de la talla media en los últimos veinte años (véase la sección g y Ricker et al., 1978) y no está claro si los cambios se deben a la captura selectiva de los peces mayores, al agotamiento selectivo de las poblaciones de gran tamaño corporal o a la modificación de las condiciones oceanográficas (McAllister y Peterman, 1992). La captura selectiva controlada de los peces pequeños permitiría comprobar el carácter hereditario de la tasa de crecimiento y, de ser ésta hereditaria, aumentar la talla media de los ejemplares de la pesquería. Las simulaciones realizadas en Monte Carlo pusieron de manifiesto que el diseño de bloque con pocas frepeticiones y breves tiempos de duración ofrecían una buena base estadística para determinar la importancia de la pesca con selección de tallas. Ampliando el diseño experimental, (McAllister y Peterman 1992) recurrieron al análisis decisorio para demostrar que el método experimental de ordenación de las poblaciones de salmón rosado produciría seguramente un valor de las capturas superior al obtenido con los métodos actuales.