J.F. Caddy (*), R. Refk (**) and T. Do-Chi (*)
INTRODUCTION
A variety of authors have reviewed the distribution of fisheries production in the Mediterranean basins, (see especially Charbonnier and Garcia, 1984; and Ivanov and Beverton 1985), and this issue has been discussed at numerous technical consultations of the General Fisheries Council for the Mediterranean (GFCM). The emphasis in the 1970s and early 1980s was on the overcapitalized nature and excess fishing power of Mediterranean fleets; especially the demersal fisheries. For example, from the second to the sixth sessions of the Committee on Resource Management of GFCM, there were items on the agenda concerning the need to control fishing effort, particularly on the demersal resources. This reflected a general consensus that, by the mid-1980s, fishing effort was excessive, especially on demersals, and no significant gains in yield (and considerable losses in revenue) would result from further increases in fishing effort.
The reviews of Caddy (1990a, b) and Caddy and Griffiths (1990), for the Mediterranean and Black Seas respectively, made the case that ecological changes had occurred in the Mediterranean and Black Sea Basins in the 1970s. Apart from the more obvious changes in primary production and other symptoms of nutrient enrichment that have been noted (for example under the UNEP Regional Seas Programme), the reason for not considering these changes as being primarily due to changes in intensity of exploitation, were pointed out in the first-cited article. This article noted that apart from some deep water resources of the continental shelf, most Mediterranean fishery resources were already exploited, and many were close to or at MSY levels by the late 1970s. As such, subsequent increases of up to 100 percent or more recorded in the landings in some areas in recent years, could not, from stock assessment theory, be simply due to the effects of changes in fishing effort under equilibrium production. It would be more reasonable to suggest that they represent actual changes in production, and that these changes have accelerated over the last decade.
This paper attempts to re-examine recent trends in fish landings in the Mediterranean and Black Sea basins separately for each GFCM statistical area, (Figure 1), in terms that allow comparison of estimates of production in the different basins in comparable units of measurement: namely, the productivity per unit area of surface of continental shelf.

Figure 1. Continental shelf areas within each GFCM statistical area, moving from West to East
METHODOLOGY
The following sources of data were used to calculate the fisheries production per surface area:
the ETOPO5 data base (US National Geophysical Data Center) of topography and bathymetry was used to calculate the continental shelf areas less than 200 metres depth. The resolution (cell size) of the data base is 5 minutes latitude by 5 minutes longitude;
a map of FAO statistical divisions (Balearic, Gulf of Lions, Sardinia, Adriatic, Ionian, Aegean, Levant, Marmara Sea, Black Sea, Azov Sea) of the Mediterranean and Black Sea (GFCM Area 37);
a map of the coastal state boundaries. This map was digitized in order to identify the limits of the Northern, Eastern and Southern Mediterranean and Black Sea subregions;
maps of fishing intensity in the Western Mediterranean (Charbonnier & Garcia, 1985), and
two main categories of landings. These were distinguished from the “supergroupings” given in the GFCM statistical bulletins for each area, and the sum totals for each of these, and the areas involved, are shown in Table 1:
The first of these is the super-grouping “Coastal Pelagic Fishes”. These are predominantly small pelagic fish, but we have also lumped with this the super grouping, “Marine Fishes n.e.i. ” [ = not elsewhere included], which is believed to be dominated in terms of weight by small pelagic fish; (Table 2). The production of this combined category is given in terms of the total surface area of each statistical subdivision (Figure 2). This figure also shows the proportion this combined category formed of the whole landings in 1989.
The second category incorporates three super-groupings: “Demersal Fishes”, “Crustaceans” and “Molluscs” (Table 3). The catches of these are expressed in terms of the area of shelf within each division inside the 200m isobath (Figure 3).
A Geographical Information System (GIS) was used to overlay the shelf areas with: GFCM statistical areas in order to define the shelf areas within each statistical division;
As an alternative to the GFCM divisions, and solely for purposes of creating homogenous subregions, (with no legal validity), median lines offshore from land boundaries of certain coastal states were digitized in order to define the shelf areas within each of a series of arbitrary subregions in the north, south, and east Mediterranean (Figure 4).
GIS was also used to elaborate maps of catches per type of fishery per statistical and per shelf area. The calculation of the continental shelf areas was performed using a FORTRAN 77 programme. The GIS was based on ARC/INFO and ERDAS systems running on MICROVAX 3400 computer.
| Name | Total catch | Shelf area | Total catch/ | Rank | |
|---|---|---|---|---|---|
| (tonnes) | (km2) | shelf area | |||
| East Mediterranean | |||||
| (Turkish Med. Cyprus, Syria, Lebanon, Israel, Gaza strip. | 90895 | 27496.9 | 3.305 | 1 | |
| Black Sea | |||||
| (Turkey (Marmara and Black Sea) Bulgaria, Romania, Russian Fed. | 558309 | 195245.2 | 2.859 | 2 | |
| North Mediterranean | |||||
| (Spain, France, Malta, Yugoslavia, Albania, Greece, Italy) | 794535 | 53699.2 | 2.246 | 2 | |
| South Mediterranean | |||||
| (Morocco, Algeria, Lybia, Tunisia, Egypt) | 268375 | 188674.5 | 1.422 | 3 | |
| Div. | Statistical Area (Km2) | PEL+NEI | (PEL+NEI) /Km2 Statistical area | Rank |
|---|---|---|---|---|
| 1.1 Balearic | 456685.6 | 188851 | 0.413 | 2 |
| 1.2 G. of Lions | 63885.8 | 42293 | 0.662 | 2 |
| 1.3 Sardinia | 308513.5 | 28438 | 0.092 | 1 |
| 2.1 Adriatic | 102694.6 | 94433 | 0.919 | 3 |
| 2.2 Ionian | 842355.8 | 100861 | 0.119 | 2 |
| 3.1 Aegean | 289178.7 | 107612 | 0.372 | 2 |
| 3.2 Levant | 441879.4 | 32274 | 0.073 | 1 |
| 4.1 Marmara Sea | 11539.5 | 30483 | 2.641 | 4 |
| 4.2 Black Sea | 420179.8 | 396658 | 0.944 | 3 |
| 4.3 Azov Sea | 39515.0 | 1735 | 0.044 | 1 |
NEI = Marine fishes not elsewhere included
| Statistical Division | (D + B) tonnes | Shelf area (km2) | km2 | (D + B)/ | Rank |
|---|---|---|---|---|---|
| 1.1 Balearic | 53158 | 46128.1 | 1.152 | 2 | |
| 1.2 G. of Lions | 37605 | 12419.4 | 3.028 | 3 | |
| 1.3 Sardinia | 50522 | 50903.4 | 0.992 | 1 | |
| 2.1 Adriatic | 147723 | 86479.6 | 1.708 | 2 | |
| 2.2 Ionian | 138941 | 168294.2 | 0.825 | 1 | |
| 3.1 Aegean | 83272 | 86996.8 | 0.957 | 1 | |
| 4.1 Marmara Sea | 19469 | 6128.0 | 3.177 | 3 | |
| 4.2 Black Sea | 60405 | 107312.7 | 0.562 | 1 | |
| 4.3 Azov Sea | 43056 | 39009.9 | 1.103 | 2 |
RESULTS
Geographical differences in fish catches recorded in the various Mediterranean basins: Maps of pelagic catches per statistical area (Figure 2), demersal catches including crustaceans and molluscs (Figure 3) per shelf area per subregion or per statistical division, and of overall catches per shelf area, (Figure 4), lead to the following conclusions which are summarized in Table 4.
| Statistical divisions | Demersal productivity (t/km2) |
| Gulf of Lions, Marmara Sea | High (> 2) |
| Adriatic | Medium (1–2) |
| Sardinia, Ionan, Aegean, Black Sea, | |
| Balearic, Levant, Ionian | Low (< 0.1) |
| Statistical divisions | Coastal pelagic productivity (t/km2) |
| Marmara Sea | Very high (>2) |
| Black Sea, Adriatic | High (0.91–0.95) |
| Baleric, Gulf of Lions, | |
| Ionian, Aegean | Medium (0.11 – 0.67) |
| Sardinia, Levant, Azov | Low (< 0.1) |
| Arbitrary subregions of the Mediterranean | Total productivity (t/km2) |
| Eastern Mediterranean | High (> 3) |
| Northern Mediterranean | |
| and Black Sea | Medium (2 – 2.99) |
| Southern Mediterranean | Low (< 1.99) |
PELAGIC FISHES PER STATISTICAL DIVISION AREA

Figure 2. Coastal pelagic fish catches (1989) per statistical area and their ratios to the total catches
DEMERSAL FISHES PER SHELF AREA WITHIN EACH STATISTICAL DIVISION

Figure 3. Demersal fish and shellfish catches (1989) per shelf area inside 200 m depth
TOTAL CATCH PER SHELF AREA WITHIN EACH STATISTICAL SUBREGION

Fishing intensity in the Mediterranean: The distribution of the fishing intensity (total horse power/per unit shelf surface area) in the western Mediterranean during the early 80s (Figure 5) was calculated on the basis of the data provided in Charbonnier and Garcia (1985). Unfortunately, comparable national or regional figures are not available for the entire Mediterranean basin. Global fleet statistics (FAO 1991a) are incomplete, and in some cases do not distinguish between national fleets fishing the different basins or subregions of the Mediterranean, and those fishing other national waters (e.g., between Mediterranean and Atlantic waters of western Mediterranean States, or Black Sea and eastern Mediterranean waters). At the same time there seems little doubt from incomplete data (FAO, 1991a) that fleet tonnages, and hence fishing intensity exerted by northern Mediterranean and several several coastal Black Sea States over the last few decades has been significantly higher than for the majority of riparian States of the eastern and southern Mediterranean.

Figure 5. Fishing intensity in the Western Mediterranean for the pelagic and demersal fleets (from Charbonnier and Garcia, 1985)
Pelagic fisheries: The fishery productivity of the pelagic ecosystem appears to be highest in the northern basins (Adriatic and Black Sea), and especially high in Marmara (Figure 2 and Table 4), and is lowest in Sardinia and the Levant region. A classical interpretation would be to suppose that catch is simply a function of fishing intensity. Despite the absence of comparable data for all regions, this hypothesis is not discounted, but does not explain the low overall catch in the Sardinia subdivision. What seems very clear however from the atlas of Charbonnier and Garcia (1985) for the Western Mediterranean, is that the combined pelagic fleet tonnage in the Western and Central Mediterranean is a relatively small proportion of that for the demersal fleet (Figure 5), reflecting the relatively higher intensity of exploitation of demersal than pelagic resources in the Mediterranean.
An alternative or supplementary interpretation of Figure 2 might be generated by considering variations in pelagic production in terms of sources of nutrients: those for the Black Sea, Marmara and Adriatic coming predominantly from land/river run off leading to the high phytoplankton standing stocks documented for these areas during most periods of the year. These areas also contribute through outflow to productive processes in the Ionian and Aegean Sea. Nutrient sources for the Baleares subregion are Atlantic inflow, upwelling and river inflow along the Catalan coast, and the Rhone plume. The Sardinia and Levant areas, being remote from large rivers, are seen from NSF/NASA satellite chorphyll imagery to be predominantly oligotrophic.
Demersal/shellfish fisheries: The productivity of this combined grouping, expressed in tonnes/km2 (Figure 3), is highest in the Gulf of Lions and Marmara Sea (over 2t/km2), followed by the Balearic Division and Adriatic (1-<2 t/km2). In contrast, the production from the South and East Mediterranean, and the Black Sea is below 1 t/km2. Again, the possible influence of fishing effort is not excluded, except to note that while the areas of highest fishing intensity include the Spanish littoral, Gulf of Lions and Adriatic, and probably also the narrow Marmara shelf, these areas are also strongly enriched by land and river runoff.
Total production: The current statistical divisions of GFCM do not allow catches to be separated for the southern and northern shelves. This is however, attempted in a preliminary way in Figure 4 using national statistics, by four major arbitrary subareas: North, Black/Azov/Marmara Sea, South and East. Here, the generally high production of the northern Mediterranean, with high nutrient inputs as well as high fishing intensity, is contrasted with the relatively low production of the southern Mediterranean, with its sparse nutrient inputs, and generally more moderate levels of fishing intensity. The high production per shelf area of the eastern Mediterranean is probably deceptive, and results from the high proportion of pelagics, in part caught offshore from the narrow shelf. It may be worth noting that in the case of the Azov Sea, the overall marine production shown in Figures 2 and 3 for this highly productive area is certainly underestimated, since the largest catch category consists of anadromous and freshwater species.
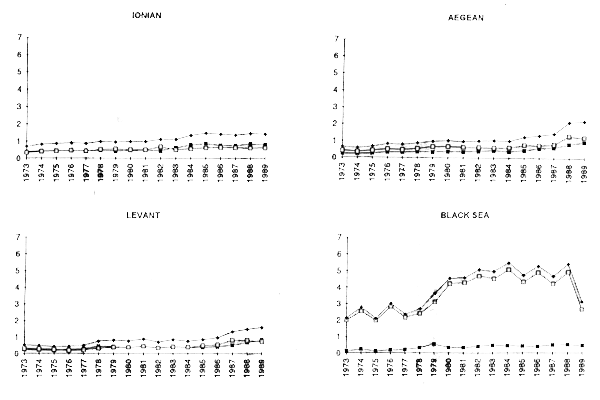
Trends in production in the Mediterranean: The total catch and the catches of pelagic and demersal resources per shelf area have been related to shelf areas obtained from GIS (Figure 6), and are summarized for 1969, 1979 and 1989, from data given in Table 5, and illustrated in Figure 7. Some notable features of this data set are as follows:
the general decline in catch/shelf area with distance from the mouth of the Mediterranean is clear, with the notable exceptions of the Adriatic, but more markedly, Marmara and Black Seas: all areas where local nutrient runoff enriches nutrient-poor Mediterranean waters, which become progressively more oligotrophic with flow eastward (Murdoch and Onuf 1972);
overall catch trends have been upwards in all areas, with the notable unexplained exception of the Sardinia division, where a decline has been noted over the three decades, and for the Black Sea and Adriatic (FAO, 1991b), where peak catches were followed by declines in 1989 due to collapse of the fishery ecosystem (Caddy and Griffiths, 1990);
the shelf areas with the highest total fishery catches in 1989, were Marmara (8.15 t/km2) and Gulf of Lions (6.47 t/km2), followed by Balearic (5.25 t/km2) (Table 5). These levels of overall catches are towards the upper end of the ranges of Maximum Sustainable Yield (all species) given by Gulland 1971, for the (then) total fish production from the NE and NW Atlantic, NW Pacific, and are above those for tropical areas such as the Indian Ocean, South China Sea and West Central Atlantic; and
the general upward trend in fishery production in the western Mediterranean and the Adriatic between 1969–1979 (Figures 6 and 7), seems to have been followed by a second period of catch production 1979–89, predominantly in the eastern Mediterranean, which has brought fishery production levels for several statistical areas up to and beyond the world average of 3.44 t/km2 quoted from Gulland (1971) in Caddy and Griffiths (1990).
The demersal production levels, while generally falling below those quoted by Marten and Polovina (1982) as applying to the US Gulf of Mexico (6.7 t/km2), US Atlantic Coast (5.5 t/km2), and Gulf of Thailand (3.9 t/km2), are comparable to, or exceed, figures given for demersal production for a range of tropical and subtropical shelves, by the same authors, which are in the range 0.4–3 t/km2. None of the figures given in Table 5 for the northern basins, with the exception of Sardinia, are typical of nutrient-poor shelves. Rather they seem to suggest that over the last three decades, the Mediterranean has approached, and perhaps has now reached, fish production levels of 3.44t/km2, which were considered by Gulland (1971) to be an average value for shelf fisheries globally (Figure 6).
Comments on the analysis: In making comparisons of catch per area in the different subdivisions, the authors are very conscious that the figures are not accurate for reasons that relate particularly to the definition of the unit areas concerned. For example, much of the demersal production in the Adriatic comes from much less than 200 m depth, so that inshore production figures must be much higher than those given here. Also, statistical divisions with very limited shallow water shelves and a mixture of small pelagics in demersal catches (as along the Algerian and Moroccan coasts), may be prone to overestimates of demersal catch per area figures. The pelagic catch figures, expressed per total surface area of the division (Figure 2), may be liable to the opposite type of bias: since although pelagic catch is not confined to the shelf areas, small pelagic concentrations tend to be largely confined to on or near the shelf (e.g., in Algeria), so that production expressed for the whole surface of the statistical division, will likely be an underestimate of pelagic production per area of fishing ground, when comparing for example, to the Adriatic, where most pelagics are caught over the shelf within 200 m depth.


Figure 6 Trends in fish production (tonnes) per shelf areas (km2( in the Mediterranean and Black Sea basins

Figure 7. Production (tonnes) per shelf areas (km2)
It seems appropriate to suggest therefore, that additional analysis should be undertaken at a regional or local level in order to identify the causes of the spatial differences observed in the total “fishery productivity” of the different GFCM Statistical divisions, and to refine the hypotheses presented here with respect to these spatial differences.
DISCUSSION
The more recent analyses reported here tend to support the suggestion that the dramatic changes in landings that have occurred over the last few years are at least in part due to changes in basic biological productivity. This does not of course, nullify the possibility that an undefined fraction of the changes in fish production may have resulted from increases in fishing effort on a resource growing in abundance (or in the case of the Black Sea, due to introduction of exotic species to a system subject to eutrophic enrichment). At the same time, there is a need for more detailed information on the productivity, the rate of exploitation and the true changes in fishing intensity, in order to determine their relative importance for the fisheries productivity of the different statistical areas of the Mediterranean. This is a matter that must be of priority to the General Fisheries Council for the Mediterranean, to national administrations of fisheries, and to bodies concerned with the Mediterranean marine environment.
Finally, there seems growing evidence from other semi-enclosed marine systems, that while moderate enrichment leads to increases in production of both small pelagics and demersals/benthos (Boddeke and Hagel, 1991; Caddy, in press), pelagic production is likely to be less affected by bottom anoxia, so that small pelagics tend to dominate catches as nutrient enrichment proceeds. The circled percentages given in Figure 2 for the different statistical areas seems consistent with this hypothesis with certain exceptions: notably, small pelagic production in the Adriatic, where (with the exception of anchovy) relatively low market prices have meant that sardine and sprat biomasses have probably remained underutilized by fisheries, despite the increases in abundance that seem to have occurred.
| Shelf Area km2 | 46128 | 12419 | 50903 | 86480 | 168294 | 86997 | 44063 | 6218 | 107313 | 39009 |
|---|---|---|---|---|---|---|---|---|---|---|
| 1969 | Balearic | G. Lions | Sardinia | Adriatic | Ionian | Aegean | Levant | Marmara | Black Sea | Azov |
| Demersal Total | 0.76 | 1.15 | 1.21 | 0.67 | 0.28 | 0.29 | 0.32 | 0.41 | ||
| Pelagic | 1.55 | 1.77 | 1.22 | 0.65 | 0.17 | 0.26 | 0.16 | 1.59 | ||
| NEI | 0.09 | 0.37 | 0.32 | 0.24 | 0.11 | 0.10 | 0.07 | 0.06 | ||
| Pelagic Total | 1.64 | 2.15 | 1.54 | 0.89 | 0.28 | 0.36 | 0.23 | 1.66 | ||
| Total | 2.40 | 3.40 | 2.76 | 1.58 | 0.56 | 0.65 | 0.55 | 2.10 | ||
| 1979 | Balearic | G. Lions | Sardinia | Adriatic | Ionian | Agean | Levant | Marmara | Black Sea | Azov |
| Demersal | 1.10 | 0.54 | 0.38 | 0.20 | 0.24 | 0.26 | 0.34 | 0.44 | ||
| Crustacean | 0.11 | 0.01 | 0.07 | 0.05 | 0.05 | 0.02 | 0.07 | 0.00 | ||
| Molluscs | 0.19 | 0.88 | 0.22 | 0.87 | 0.12 | 0.06 | 0.02 | 0.09 | ||
| Demersal Total | 1.40 | 1.43 | 0.66 | 1.13 | 0.41 | 0.33 | 0.43 | 0.54 | ||
| Pelagic | 3.00 | 1.71 | 0.64 | 1.47 | 0.31 | 0.54 | 0.30 | 3.08 | ||
| NEI | 0.37 | 0.07 | 0.23 | 0.33 | 0.24 | 0.12 | 0.09 | 0.00 | ||
| Pelagic Total | 3.37 | 1.79 | 0.87 | 1.80 | 0.55 | 0.66 | 0.39 | 3.08 | ||
| Total | 4.78 | 3.41 | 1.53 | 2.93 | 0.95 | 0.99 | 0.82 | 3.62 | ||
| 1989 | Balearic | G. Lions | Sardinia | Adriatic | Ionian | Aegean | Levant | Marmara | Black Sea | Azov |
| Freshwater | 0.07 | |||||||||
| Diadromous | 0.0013 | 0.99 | ||||||||
| Demersal | 0.75 | 0.71 | 0.43 | 0.18 | 0.40 | 0.63 | 0.53 | 0.94 | 0.41 | 0.04 |
| Crustacean | 0.17 | 0.06 | 0.07 | 0.07 | 0.09 | 0.04 | 0.14 | 1.03 | 0.06 | |
| Molluscs | 0.23 | 2.26 | 0.49 | 1.46 | 0.33 | 0.28 | 0.16 | 1.21 | 0.16 | |
| Demersal Total | 1.15 | 3.03 | 0.99 | 1.71 | 0.82 | 0.96 | 0.83 | 3.18 | 0.63 | 1.10 |
| Pelagic | 3.72 | 2.86 | 0.36 | 0.98 | 0.35 | 1.11 | 0.44 | 3.71 | 0.00 | |
| NEI | 0.37 | 0.55 | 0.20 | 0.11 | 0.25 | 0.12 | 0.29 | 0.06 | 0.04 | |
| Pelagic Total | 4.09 | 3.41 | 0.56 | 1.09 | 0.60 | 1.24 | 0.73 | 4.97 | 3.7 | 0.04 |
| Total | 5.25 | 6.43 | 1.55 | 2.80 | 1.42 | 2.20 | 1.56 | 8.15 | 4.78 | 1.19 |
REFERENCES
Boddeke, R. and P. Hagel, 1991. Eutrophication of the North Sea Continental Zone, a blessing in disguise. ICES Doc. C.M. 1991/E:7:18 p. (mimeo)
Caddy, J. F., 1990a. Recent trends in Mediterranean fisheries. GFCM Stud. Rev., 63:1–42
Caddy, J.F., 1990b. A contrast between recent fishery trends and evidence for nutrient enrichment in two large marine ecosystems: the Mediterranean and the Black Sea. Presented at the Conference; “The Large Marine Ecosystem (LME) concept and its application to regional marine resource management”. Monaco, 1–6 Oct 1990
Caddy, J.F. and R.C. Griffiths, 1990. A perspective on recent fishery-related events in the Black Sea. GFCM Stud.Rev., 63:43–71
Caddy, J.F.,1993. Towards a comparative evaluation of human impacts on fisheries ecosystems of enclosed and semi-enclosed seas. Rev. Fish. Sci., 1:1–5:38 p.
caddy, J.F., 1992. Fisheries of enclosed and semi-enclosed seas: towards a comparative approach to evaluation of human impacts on marine fisheries ecosystems. Paper presented at World Fisheries Congress. Athens, May 1992 (mimeo)
Charbonnier, D. and S. Garcia (Ed.), 1985. Atlas of the fisheries of the Western and Central Mediterranean. FAO-EEC.
Degobbis, D., 1989. Increased eutrophication of the Northern Adriatic Sea. Mar.Poll.Bull., Vol, 20(9):452–7
FAO, 1991a. Fishery fleet statistics, 1970, 1975, 1980–89. Bull.Fish.Stat., Rome, FAO, 30:344 p.
FAO, 1991b. GFCM statistical bulletin Nos 6, 7 and 8. Nominal catches. Rome, FAO.
Gulland, J.A., 1971. The fish resources of the ocean. Fishing News (Books) Ltd.. West Byfeet, England.
Ivanov, L. and R.J.H.Beverton, 1985. The fisheries resources of the Mediterranean. Part Two: Black Sea. GFCM Stud.Rev., 60:135 p.
Marten, G.G. and J.J. Polovina, 1982. A comparative study of fish yields from various tropical ecosystems. In: Theory and Management of Tropical Fisheries, Pauly, D. and G.I. Murphy (Ed.) Manila, pp. 255–85
Murdoch, W. W. and C.P. Onuf, 1972. The Mediterranean: an ecological overview. Ch. II. In: The Mediterranean marine environment and development of the region. Pacem in Maribus III, Split, Yugoslavia, 28–30 April 1972. 502 p.
NSF/NASA, 1989. Ocean color from space. (A folder of remote sensing imagery and text, prepared by the NSU/NASA-sponsored US Global Flux Study Office, Woods Hole Oceanographic Institution, Woods Hole, MA 02543.