
by
R. Otsyina and B. Dzowela
International Centre for Research in
Agroforestry (ICRAF)
P.O. Box 30677, Nairobi, Kenya
Africa, over several centuries has faced problems of fuel wood supply, inadequate fodder production and food insecurity as a result of massive deforestation and destruction of natural ecosystems through non-sustainable land use systems. These problems have been aggravated by increasing human and livestock populations and increased demand for food and wood products. Trees have an important role in providing these much needed products and services while improving the environment. Leucaena, a small fast growing leguminous tree, introduced from Central and South America has adapted very well and has played a significant role in fuel wood production, fodder supply and soil fertility improvement in many parts of Africa.
This paper reviews the distribution of leucaena in Africa and discusses its importance and potential for fuel wood production, fodder, soil fertility improvement in traditional and improved land-use systems in Africa.
*****
Africa is presently faced with severe problems of wood for fuel and construction (GTZ 1988) inadequate fodder supply, rapid and increasing deforestation and associated land and environmental degradation and food insecurity. These problems have been attributed to the gross imbalance between the rate of population growth and agricultural productive capacity (FAO 1986). The sub-saharan region, for example, has the fastest population growth in the world with an average of 3.36% per year. In addition, livestock populations have increased by over 40% in the last decade. These high growth rates in both human and livestock population have severely strained the productive capacity of fragile environments, resulting in the degradation of forests, rangelands and croplands (Ruthernburg 1980).
Recent studies indicate a major change in climates across Africa associated with an increased frequency of droughts, most probably aggravated by massive over-grazing and deforestation for wood and agriculture (Lele and Stori 1989). It is estimated that, if the present rate of deforestation continues, over 50% of the primary and secondary forests will disappear by the end of this century (FAO 1 986). The problems of food security and wood scarcity are worsened by land use changes from the traditional shifting cultivation systems with long fallow periods, which allowed tree and soil regeneration, to intensive short duration fallows with limited inputs to maintain soil productivity (Ruthernburg 1980 Okigbo and Greenland 1976). Trees played very significant roles in soil fertility maintenance, through nutrient cycling, provision of fuel wood and building materials, fodder use, and in environment conservation. Integration of trees and shrubs into existing and introduced African crop and pasture production systems would help to alleviate the present wood scarcity, fodder supply, land and soil degradation problems in many parts of Africa (Raintree 1 980). One of such trees which has proved to have good potential in providing essential products and services is leucaena.
The importance of Leucaena for wood, fodder and soil conservation in various land use systems in Africa are reviewed in subsequent sections.
Leucaena is a perennial tree legume of Central American origin. It grows fast to an average height of about 5 m. It is particularly adapted to neutral and alkaline soils and tolerates a wide range of rainfall and temperature regimes. It was introduced into Asia where it found its way into cocoa, coffee, pepper and vanilla plantations. During the I9th century, it was introduced into East and West Africa (NAS 1984). Like most other legumes, Leucaena nodulates profusely in many soils and fixes atmospheric nitrogen. Thus for normal growth, leucaena usually requires no fertilizer and can thrive in some nitrogen-deficient soils that are unable to sustain crop production. It produces substantial quantities of nutritious fodder and good quality wood (Van den Beldt and Brewbaker 1 985, Potlinger and Hughes 1 994) (Table 1). Other qualities of leucaena are summarised in Table 2.
Due to its fast growth, adaption to a wide range of soils and beneficial qualities, leucaena has since spread wide across tropical Africa (Fig 1).
Along the East African coast it is not uncommon to find large tracts of mature leucaena stands in the area between Mombasa, Kenya to Tanga, Tanzania. Further inland, for instance in Malawi, the introduction of and research on leucaena commenced actively in the mid to the late 1960s. Initiatives in this line of research commenced with an UNDP/FAO pasture improvement project. A lot of the early work involved research on the adaption (growth, inoculation and foliage production) with a strong bias toward fodder production and utilization as a supplement to poor quality feed resources (Savory and Breen 1980).
In most government stations, one finds plantings of leucaena dating back to the late 1 960s in Kenya, Tanzania, Zambia, Uganda and to some extent in Zimbabwe. However, the growth of leucaena in the South African sub-region has not received much attention due to unfavourable growth conditions caused by frost.
Similar stands of Leucaena can be found in other parts of Africa. Presently, leucaena is being used extensively for various products and services in Africa (NAS 1980, 1984).
Dry season fodder quantity and quality remain the major livestock production constraints in Africa. During this period, forage from both annual and perennial grasslands decreases drastically in quantity and quality to sub-nutritional values for livestock (Le Houerou 1980,
TABLE 1
MAJOR END USES OF LEUCAENA WOOD AND ASSOCIATED PROPERTIES
|
END USE |
PROPERTIES PROVIDED BY LEUCAENA |
|
Fuel wood (domestic) |
Low smoke production |
|
Fuel wood (industrial) |
Good heat production |
|
Home construction |
Good compression and tensile
strength |
|
Fence posts |
Good durability |
|
Pulp |
High holocellulose content |
|
Charcoal |
Good recovery value |
|
Crafts |
Easy to work |
|
Parquet flooring |
Machines well |
|
Furniture |
Good tensile strength |
Source: Potlinger and Hughes
Otsyina et al 1984, Clatworthy et al 1985). At the same time perennial browse species maintain high nutrient levels for instance crude protein which could be used to supplement the low quality grass fodder. Leucaena produces very succulent and palatable leaves, twigs, pods and seeds which are eaten by all types of livestock. It is highly productive and drought tolerant and thus suitable for dry season supplementation (NAS 1984). Leucaena leucocephala. the most dominant species in Africa, has been reported to produce large amounts of fodder ranging from 2 to 20 t/ha (DM) in many parts of the continent (Otsyina 1994, Lulandala and Hall 1987).
The potential contribution of leucaena to the development of livestock in Africa lies in its high nutritive qualities. Leucaena, especially, Leucaena leucocephala leaves are high in crude protein (CP) content ranging from 20-30% and are highly digestible compared to
TABLE 2
OTHER QUALITIES AND PROPERTIES OF LEUCAENA
|
PROPERTY |
RANGE |
SOURCE |
|
Fodder yield (tonnes/ha/yr) |
2-30 |
Krishnamurphy and Munegond (1987) |
|
Crude protein (gr/kg DM) |
25-34 |
Brewbaker (1987) |
|
Fodder digestibility (%) |
50-87 |
Oakes (1968) |
|
Carbon (%) |
80-85 |
NAS (1980) |
|
World potential N
yield
In Africa: N fixation |
up to 500 110 |
Brewbaker (1987)
Lulandala (1985) |
other potential browse species (Table 3) (Oakes 1968, Brewbaker 1975, Savory et al 1 980, NAS 1 984). It also contains large amounts of essential amino acids, vitamins and other elements such as calcium and phosphorus required for growth and milk production in livestock.
Leucaena is used in many parts of Africa as a dry season feed supplement to low quality grasses and crop residues. Very encouraging live weight gains in small ruminants and cattle have been obtained with small amounts of Leucaena supplements in both humid and semi arid environments. Goats supplemented with Leucaena and other browse species were reported to gain on average 1 2 g/head/day during the wet season and 6-8 g/head/day in the dry seasons in Tabora, Tanzania (Karachi, personal communication). In areas where draught power is widely used for land preparation at the beginning of the rainy seasons, the condition of oxen coming out of the dry season is of particular concern to farmers because this determines the amount and efficiency of work output. Farmers thus make extra efforts to put their oxen on a higher level of nutrition. Leucaena leaves are often used to supplement dry grass straws. Supplementation of oxen on dry grass fodder reserves with small amounts (2-3 kg/head/day) of leucaena leaves significantly reduced oxen weight losses and improved their condition in Shinyanga (Otsyina, personal

Figure 1 - Distribution of leucaena in Africa by precipitation zones
communication). Also in many parts of East Africa where milk production is important in small holder systems, supplementation of napier grass, Pennisetum purpureum with leucaena leaves improved milk yields by about 10.8% (Henkel et al 1951). Farmers have now planted and are managing leucaena trees in small homestead feed gardens, farm boundaries and isolated plantings in croplands for fodder throughout Africa.
COMPARATIVE CHEMICAL COMPOSITION (G/KG) DRY MATTER OF FOLIAGE FROM SELECTED TREE SPECIES
|
SPECIES |
CRUDE PROTEIN |
FAT |
ASH |
NDF |
ADF |
LIGNIN |
TANNIN |
IN VITRO DMD (%) |
|
Leucaena leucocephala |
267 |
55 |
75 |
383 |
266 |
87 |
55 |
70 |
|
Albizia lebbeck |
210 |
31 |
80 |
377 |
-- |
-- |
none |
56 |
|
Gliricidia sepium |
275 |
24 |
107 |
255 |
216 |
94 |
30 |
60 |
|
Calliandra calothyrsus |
212 |
-- |
43 |
270 |
229 |
84 |
100 |
48 |
|
Cajanus cajan |
188 |
41 |
54 |
314 |
292 |
100 |
-- |
-- |
NDF =
Neutral detergent fibre.
ADF = Acid detergent fibre.
DMD = Dry matter digestibility.
Due to its high coppicing ability Leucaena is able to withstand repeated cutting and defoliation management (NAS 1994). Studies in West and East Africa have shown good regrowth ability and encouraging biomass accumulation (Kang et al 1981). These qualities make leucaena management very easy and affordable in many rural land use systems.
Extensive use of leucaena as a major feed in Africa has, however, been limited by the presence of mimosine, an amino acid whose degradation products depress cell division in animals (Jones 1 979). Small amounts, between 20-30% of the diets are reported safe for cattle and goats in Africa. Recent advances in mimosine research have identified a micro organism which breaks down and allows increasing use of leucaena in ruminant diets (Jones 1981). This finding does open the scope for utilizing the full potential of leucaena in livestock feeding systems.
The demand for fuel wood and construction poles is probably one of the major factors contributing to deforestation and land degradation in Africa. Over 80% of rural African populations depend on wood for fuel and construction of houses. An estimation of average wood fuel requirements of 1.0 kg/person/day, clearly indicate that wood demand far exceeds the present supply. These great wood demands can only be met by careful integration of fast growing and quality fuel wood trees into existing land use systems (Raintree 1980).
The major potential use of leucaena wood in Africa is to meet domestic fuel wood and construction needs. Leucaena wood burns well compared to most woody species such as Eucalyptus, Albizia, Gmelina and Cassia species currently in use. It has high calorific values ranging between 4200 and 4600 kilocalories (Kcal)/Kilogram (NAS 1980). Leucaena produces excellent charcoal with heating values close 7,000 Kcal/kg, close to that of oil (NAS 1984).
Due to its fast growth, leucaena produces large amounts of wood in a relatively short time. Wood production varies greatly among different leucaena species and is influenced by environmental and management factors. Annual growth and wood accumulation under various rainfall and temperature regimes ranges from 8.4 to 42 cubic meters per hectare for four year old leucaena stands (Hu et al 1982). High wood yields of leucaena have been reported in both humid and arid environments in Africa. In Nigeria, yields between 10-40 m3 of fuel wood were obtained as a secondary product under alley cropping (Kang et al 1981). In a semi-arid environment in Tanzania, 12-1 5 tons/ha of wood were obtained in a four year old woodlot planted in a mixture with Acacia polyacantha (Otsyina et al 1994). Similar high yields were also reported by Lulandala and Hall (1987) at Mafinga in Tanzania. These high wood production values could meet the demands and requirements of an average family of 6-8 persons for a whole year.
Farmers in many parts of Africa have realised the potential of leucaena for fuel wood and pole production over the past decade and have initiated individual and group plantings in woodlots and boundary plantings around homes and farms.
The role of leucaena to restore agricultural land productivity has been highlighted widely in Africa. The choice of a deep rooted leguminous tree such as Leucaena leucocephala does provide sustainability of small-holder resource poor farming systems. It provides drought tolerance in the tropics as the tree is capable of retaining green foliage during dry seasons or periods of drought. The tree also aids in recycling leached nutrients (including P and K) from the subsoil to the surface by means of leaf drop and/or foliage pruning, where they can be used by shallow rooting crops. Being a leguminous tree, it has the capacity of fixing atmospheric nitrogen to forms that can be utilized by plants. Thus the use of tree legumes, e.g leucaena, opens new horizons in sustaining smallholder farming systems by tapping two of the earth's most inexhaustible and under-exploited resources; the subsoil and the atmosphere (Raintree 1980).
In the African tropics, due to population pressure and other factors, agricultural land fallows have been shortened so much that smallholder farmers find it difficult to effectively restore soil productivity or produce stakes, firewood and other essentials usually harvested from bush fallows. Alley cropping has been developed as an alternative to bush fallows (Wilson and Kang 1980) which allows the cropping and fallow operations to be performed concurrently on the same piece of land. Alley cropping, as a land use system allows food crops to be grown in alleys formed by trees or shrubs that are pruned to provide green manure and mulch to restore soil fertility on degraded land and maintain productivity. It is in this system that Leucaena leucocephala has demonstrated great potential to produce large quantities of highly nutritious and palatable foliage for use as green manure (Cobbina et al 1989).
In the humid lowlands of West Africa, prunings and pollardings of leucaena provide fresh and dried leaf material to be put on the soil to improve its nitrogen content. Maize yield responses in on-station and on-farm testing of Leucaena leucocephala in alley cropping have been positively high (Table 4) ranging from 10 to 70 % increases over the control treatments of no green leaf manuring (Jabbar et al 1992). In high aluminum/acidic soils of northern Zambia, Leucaena leucocephala demonstrated a higher capacity than Flemingia congesta to contribute more N into a maize farming system through N fixation (Dalland et al 1993). This was attributed not only to its high biomass production but also to having higher levels of N in its biomass. Leucaena can provide as much as 1 60 kg N, 1 50 kg K and 15 kg P per hectare in alley cropping systems (Harrison 1989). When applied in soil, every tonne of leucaena leaves produces the same increase in soil nitrogen as 10 kg or more of chemical nitrogen fertilizer. At the same time leucaena leaves greatly increase the efficiency of chemical fertilizer use. For instance, by combining leucaena leaves with 40 kg N fertilizer alone (Harrison 1989), it is estimated that yield advantages of alley cropping with leucaena build up with time as the organic content of the soil increases. In long term trials on a sandy soil in Nigeria, unfertilized maize mulched with leucaena prunings yielded 83% more than the control plots with no prunings. During the subsequent three years, the output of the untreated plots fell to an average of only 0.45 tonnes maize/ha. The alley cropped plot continued yielding about 2 tonnes/ha, an average of 3 times more than double the average maize production in Nigeria. The use of leucaena in alley farming is becoming more and more important in the humid and sub-humid regions of western, eastern and central Africa. On the east African humid coast, Bashir Jama and Amare Getahum (1986), reported the use of leucaena leaves for both soil fertility improvement and fodder. However, in sandy soils, foliage yields are reduced by sporadic wilting and death of leucaena plants which is associated with Fusarium attack. In spite of this problem nonetheless maize yield responses are reported to be positive due to the improved nutrient availability and retention in soils remitting from green leaf manuring (Macklin et al 1989). The use of leucaena in other agroforestry systems for soil fertility improvement, eg. improved fallows, has not been common. However, leucaena is now being evaluated in these technologies.
Leucaena thrives on a wide range of ecological conditions where it quickly spreads to form a dense vegetative cover thereby reducing soil erosion, surface run-off and serves as a windbreak. Leucaena's deep rooting characteristics also contribute to soil stabilization and improved infiltration.
EFFECT ON MAIZE GRAIN YIELD OF DIFFERENT PROPORTIONS OF PRUNINGS APPLIED AS MULCH IN LEUCAENA TRIALS (1985-87 AVERAGES)
|
% FOLIAGE |
MULCH APPLIED |
MAIZE GRAIN YIELD |
TOTAL |
||
|
SESSION 1 |
SESSION 2 |
SESSION 1 |
SESSION 2 |
||
|
0 |
-- |
-- |
1.52 |
1.13 |
2.65 (100%) |
|
25 |
0.84 |
1.02 |
2.10 |
1.40 |
3.41 (128%) |
|
50 |
1.67 |
2.02 |
2.29 |
1.65 |
3.94 (149%) |
|
75 |
2.50 |
3.04 |
2.26 |
1.74 |
4.00 (151%) |
|
100 |
3.34 |
4.07 |
2.58 |
1.88 |
4.46 (168%) |
Figures in parentheses are indices of increase over control (Source: Jabbar et al 1992).
Soil conservation benefits of L. leucocephala are particularly important in the highlands with rolling topography and steep slopes. These are marginal areas which, due to increasing land pressure, are being brought under cultivation. Such areas exist in Uganda, Rwanda, Burundi, Kenya, Ethiopia, Tanzania and Madagascar (Ssekabende 1987, Lovingsion and Wang'ati 1993). Planting of leucaena for erosion control and soil conservation is common in these countries. For instance, in the hilly area of the coastal Kenya region (Kaloleni District), leucaena is planted in hedgerows on slopes to prevent soil erosion through stabilizing the terraces. Its constant and frequent pruning also provides large amounts of nutritive and palatable fodder (Bashir Jama and Amare Getahum 1986), while loppings and prunings from the hedges provide mulch to aid in preventing sheet erosion between the trees. This work has a lot of environmental implications in natural resources management. Chief among these implications is sustaining the hydrology of catchment areas and preventing/minimizing siltation of water courses, river basins and dams.
Wind erosion is a serious problem in certain parts of the African tropics. During the dry season and especially just before the rains in the Southern African subregion, eg Zimbabwe, it is not uncommon to see huge soil removals during dusty windy spells. As a measure against this, most large scale commercial farms have planted shelter belts along farm boundaries and contour bands. Among the most used tree species are Eucalyptus, Pinus and to some extent Leucaena. These tree windbreaks reduce wind speeds and wind erosion power as well as reduce the soil moisture evaporative potential across the farm land.
Other uses of leucaena include staking for yams and vine crops in the sub-humid regions of West Africa, as a shade tree in cacao and coffee plantations and to some extent medicinal purposes to cure various illnesses.
The wide spread use of leucaena in African farming systems is limited by social, economic and technological factors such as insecure land and tree tenure, lack of developed markets for leucaena products and lack of improved technologies and management strategies. Agroforestry, a land use system which combines trees/crops and livestock in space and time for sustained production, can play an important role in alleviating some of the current concerns and limitations of tree use in Africa (ICRAF 1992).
Some examples of potential agroforestry systems and practices suitable for leucaena integration are discussed below.
Leucaena and other multipurpose trees can be planted in pure stands or plantations for wood and pole production (Brewbaker 1987). Woodlots provide practical and cost effective ways of tree integration into African farming systems. High biomass and wood yields ranging from 12 to 35 m3/ha have been reported from two year old woodlots in an arid environment in Tanzania (Lulandala 1985). Woodlots, however, require large amounts of land and thus take land out of production from food crops and thus limit crop production in areas where land availability is a serious constraint. Rotational woodlots which involve low densities of trees 400-500 trees/ha and allow continuous integration of crops and animals provide a more practical alternative. Recent studies in the semi-arid areas in Shinyanga, Tanzania have shown that leucaena woodlots planted at 4 x 4 m spacing could support up to three continuous years of cropping while maintaining an excellent stand of trees (Otsyina et al 1994). Due to high coppicing ability, leucaena woodlots can be harvested in one to four year rotations to provide sustainable supplies of domestic fuel wood and timber. Four year old rotational woodlots of Leucaena leucocephala and Acacia polyacantha produced 10-15 tons/ha of fuel wood and poles. The fallow phase between tree rotations provides valuable fodder for livestock.
Farm boundaries provide one of the most favourable and non competitive niches for trees. Multipurpose trees can be planted in rows or strips around farms, pastures and compounds to delimit boundaries and protect areas from animals and human encroachment. These boundary plantings also provide fuel wood, timber, fodder and act as wind breaks (Ssekabembe 1987). Spatial arrangement, width and orientation depend on the site, climatic variables and major production goals.
Leucaena has been planted extensively on farm boundaries and home gardens for demarcation and wood production in many parts of Africa. Due to the fast growth of leucaena and the low management input requirements, boundary and home garden planting of leucaena has become the most important technology among the majority of rural farmers in Africa.
Although the potential of leucaena in providing a wide range of domestic products and services are well known, the use of leucaena and its integration into the African farming systems is limited by several technological, bio-physical and socio-economic problems. One of the major limitations in the lack of appropriate and proven technologies. Most technologies currently available are associated with problems of increased labour inputs, limitations on land availability and incompatibility with cereal crops. These problems are currently being addressed through agroforestry research at ICRAF and in many other national institutions in Africa.
The slow growth and poor adaptation of leucaena to acid soils (Brewbaker 1987), very high altitudes and forest damage limit its use in many African soils particularly, oxisols and ultisols predominant in highly populated humid highlands of Africa (Otsyina et al 1994). Recently, however, other leucaena species such as L. diversifolia, L. macrophylla and L. shanoni have been shown to be more tolerant to acid soils (Brewbaker, 1987) and therefore have great promise for use in these soils.
Pest and disease incidence on leucaena has been minimal in Africa until recently. Termites were the most serious pests of leucaena in the sub-humid and arid areas causing considerable damage to seedlings. During the early and mid 1980s, the leucaena psyllid, Heteropsylla cubana (Crawford) became a serious pest in Asia (Brewbaker 1987). The psyllid defoliates leucaenas, especially L. leucocephala and causes considerable reduction in fodder and wood yields. This insect has finally arrived in Africa and is seriously damaging existing leucaena stands in eastern and southern Africa (Otsyina et al 1984). Psyllid tolerant and resistant Leucaena species and hybrids are being evaluated in many parts of Africa. Among the most tolerant species and hybrids at Tumbi, Tanzania are L. collinsii, L. palida, L. diversifolia and the hybrid K x 3A (original) (Otsyina et al 1994). These species and hybrids also gave high fodder yields averaging 34 tons/ha in repeated cuttings.
In view of the identified constraints and limitations to wide spread leucaena use by farmers in all farming systems, there is clearly a need and room for further research and development of the genus Leucaena in Africa. Major research gaps include:
Lack of suitable leucaena germ plasm adapted to acid and aluminum toxic soils which are predominant in the high rainfall areas of eastern and western Africa.
Lack of proven psyllid tolerant or resistant leucaena species and provenances. Very limited research has now been initiated but needs intensification.
Inadequate research on simple and cost effective technologies and management methods adapted to resource poor conditions of the African farmer.
Lack of certified seed sources and readily available seed supplies for farmers.
Very limited technical know-how on leucaena management in existing land use systems.
Research priorities to improve the utilization of leucaena in Africa should thus concentrate on the following:
Intensive and wide spread evaluation of leucaena species, provenances and hybrids to identify high yielding genetic material adapted to acid soils, high altitudes, tolerance to aluminum toxicity and resistance to the psyllid and other pests.
Specific research and evaluation for fodder should prioritise identification of productive, palatable, highly nutritious, and low in anti-nutritional factors such as tannins and mimosine. Simple techniques of establishment and cutting management strategies to optimise dry season fodder quantity and quality for livestock should be investigated.
Priorities for wood production should be linked to the development of appropriate technologies such as woodlots, boundary and contour plantings which would provide wood as a secondary product on farms. Research efforts should concentrate on screening and evaluation of high wood producing species, establishment methods, thinning management and sustainable utilization of leucaena.
Although the soil fertility improvement and conservation potential of leucaenas well known to farmers, its use on farms is limited by competition for moisture, light and nutrients with associated crops. The nature of these interactions is poorly understood. Research attention should be directed to understanding and evaluation of below and above ground interactions between leucaena and associated crops for better development of management strategies which would minimise negative interactions. The role of leucaena in recycling nutrients (P x K) should be investigated.
Seeds and planting materials of improved leucaena species and provenances should be made readily available to farmers through national seed production and marketing organisations.
Finally, in order to achieve the full potential of leucaena, the transfer of appropriate technologies to the end users (farmers) and improvement of technical know-how on efficient management and integration of leucaena into farming systems for sustained utilization should be encouraged. This would require effective linkages and collaboration between research, extension and development agencies as well as policy makers. It is only through the development of appropriate policies and efficient dissemination machineries that improved materials and technologies can reach farmers.
Leucaena, a fast growing Central American tree introduced into Africa has adapted well tovarious climatic and edaphic conditions on the continent. Due to its high biomass production and nutrient quality, leucaena has shown tremendous potential in fuel wood, fodder and pole production as well as use in soil fertility improvement and conservation and is widely accepted by farmers in many parts of Africa.
Its use is, however, limited by anti-nutritional factors and, more recently, by the psyllid which has become a major concern among scientists and farmers. Research has been limited to a narrow range of species and provenances. There is a need to broaden the genetic scope of leucaena and identify adapted materials with low anti-nutritional values and tolerance to pests and diseases.
Finally, effective integration of leucaena into rural farming systems would lead to improvements in crop and livestock production and meet household wood demands for fuel and construction.
Bashir Jama and Amare Getahun, 1986. Leucaena for fodder at the coast. MTWAPA, Agroforestry Extension Bulletin No. 1., Kenya Renewable Energy Development project (KREDP), Nairobi, Kenya.
Bashir, J., A. Getahun, D. Ngugi, and B. Macklin, 1986. Leucaena alley cropping at the coast. MTWAPA Agroforestry Technical Bulletin No. 2., KREDP, Nairobi, Kenya.
Brewbaker J.L, 1 987. Leucaena: A multipurpose tree genus for tropical agroforestry. In Agroforestry: a decade of development. ICRAF, Nairobi, Kenya, pp. 289-323.
Datworthy J.N., A.K. Maclaum and M. Avila, 1985. The possible role of forage legumes in communal farming systems in Zimbabwe. In Proceedings of a Workshop held at ILCA, Addis Ababa, Ethiopia, 16-19 Sept. 1985.
Cobbina, J., B.T. Kang and A.N. Atta-Krah, 1989. Effects of soil fertility on early growth of Leucaena and Gliricidia in alley farms. Agroforestry Systems 8:157-164.
Dalland A., P.L. Vaje., R.B. Mathews and B.R. Singh, 1993. The potential of alley cropping in improvement of cultivation systems in the high rainfall areas of Zambia - III, Effects on soil chemical and physical properties. Agroforestry Systems 21:117-132.
Duguma, B., 1994. Potential for development and research priorities for leucaena in west and central Africa. Paper presented at the International Leucaena workshop, Bogor, Indonesia, 25-29 January, 1994.
FAO, 1986. Forestry and Food Production in Africa. African Forestry Commission, Seventh Session, Bamako, Mali, 20-24, January 1996.
GTZ, 1988. Wood Energy Activities Report. Consultancy report prepared by Woo Dec LTD. Nairobi, Kenya.
Henkel, L.A., K. Otagaki, R.W. Jorgenson, and K. Monta, 1951. Koa-haole (Leucaena glauca) as the sole roughage fed to milking cows. In Biennial report. University of Hawaii, Faculty of Agriculture, Honolulu, Hawaii, USA, pp 56-58.
Hu, Ta-wei and T. Kiang, 1982. Wood production of spacing trials in Taiwan. Leucaena Research Reports 3:59-61.
Hu, T.W. and T. Kiang, T. 1983. Leucaena research in Taiwan. Leucaena Research in the Asian Pacific Region, Ottawa, IDRC, pp 127-132.
ICRAF, 1992. Annual Report 1992. International Centre for Research in Agroforestry, Nairobi, Kenya.
Jabbar, M.A., J. Cobbina and L. Reynolds, 1 992. Optimum fodder-mulch allocation of tree foliage under alley farming in south west Nigeria. Agroforestry Systems 20:187-198.
Jones, R.J., 1979. Value of Leucaena leucocephala as a feed for ruminants in the tropics. World Animal Review. 31:13-23.
Jones, R.J., 1981. Does ruminant metabolism of mimosine and DHP explain the absence of leucaena toxicity in Hawaii? Australian Veterinary Journal 57:57-56.
Kaale, B.K., 1982. Afforestation for energy supply and charcoal production in Tanzania. Country Paper Prepared for the Regional Workshop on Wood, Charcoal Production and Utilization. Nairobi: Commonwealth Science Council (CSC/IDRC) 22 pp.
Kang, B.T., G.F. Wilson, and L. Sipkens, 1981. Alley cropping maize (Zea mays L.) and leucaena (Leucaena leucocephala. Lam) in southern Nigeria. Plant and Soil 63:165-179.
Le Houerou, H.N., 1980. The role of shrubs and trees in the management of natural grazing lands. Position paper: Item No. 10, 8th World Forestry Congress, Jakarta, Indonesia.
Lele U., and S. Stone, 1989. Population pressure, the environment and agricultural intensification: variations in the Boserup hypothesis. MADIA, Discussion Paper No. 4., World Bank.
Lovingsion, M. and F. Wang'ati, 1993. Integrated land resource management for the highlands of east and central Africa. ICRAF, Nairobi.
Lulanala, L.L.L., 1985. Intercropping Leucaena leucocephala with maize and beans. Ph.D. Thesis. Morogoro (Tanzania): Sokoine University of Agriculture. 254 pp.
Lulandala, L.L.L., and J.B. Hall, 1987. Fodder and wood production from Leucaena
leucocephala intercropped with maize and beans at Mafinga, Morogoro, Tanzania. Forest Ecology and Management 21:109-17.
Macklin, W., Kedir Reshid and B. Jama, 1989. Results of alley cropping experiments with Leucaena leucocephala at the Kenya Coast: An example of an appropriate soil conservation (fertility) measure. In Soil and Water Conservation in Kenya, Proceedings of the Third National Workshop, 16-17 September 1986, Nairobi, Kenya pp 272-280.
NAS, 1980. Firewood crops: shrubs and tree species for energy production. Washington D.C., NAS, 237 pp.
NAS, 1984. Leucaena: Promising Forage and Tree crop for the Tropics. Innovations in Tropical Reforestation; Second Edition, National Academy Press, Washington D.C. 100 pp.
Okigbo, B.N., and I.D. Greenland, 1976. Intercropping Systems in Tropical Africa. Multiple Cropping. American Society of Agronomy, Inc, Madison, Wisconsin, pp 63-101.
Otsyina, R.M., and C.M. McKell, 1984. Browse in the nutrition of livestock in Africa: A review. World Animal Review 53:33-39.
Otsyina, R., J. Hanson and E. Akyeampong, 1994. Potential for development and research priorities for leucaena in East Africa. Paper presented at the Leucaena Workshop, 15-19 January, Jakarta, Indonesia, 13 pp.
Otsyina, R., R. Msangi, G. Nyadzi, and J. Madulu, 1994. Annual Progress Report, Tumbi Tabora, AFRENA REPORTS No. 83, ICRAF, Nairobi, Kenya, 73 pp.
Pottinger, A.J. and C.E. Hughes, 1994. A review of wood quality in leucaena. OFl, Department of Plant Sciences. Oxford, UK, 11 pp.
Ssekabembe, C.K., 1978. The need for Leucaena leucocephala as a multipurpose tree in crop/livestock production systems in Uganda. Paper presented at the First Uganda Pasture Network (UPANE), Workshop, 13-17 Dec 1978, Makerere University, Kampala, Uganda, 13 pp.
Savory, R., J.A. Breen and C.I.A. Beale, 1980. Leucaena as a forage crop on small farms in Malawi. FAO/UNDP, Lilongwe, Malawi, 14 pp.
Raintree, J.B., 1980. Conservation farming with soil improving tree legumes. In A Farming Systems Approach to tropical agroforestry. Discussion Paper 9/80, Agriculture Economics, IITA, 18 pp.
Ruthernburg, H., 1980. Farming systems in the tropics. 3rd ed. Oxford University Press, London.
Van den Beldt, R.J. and J. Brewbaker (Eds.)], 1985. Leucaena wood production and use. Nitrogen Tree Fixing Association Report. Hawaii, USA, 50 pp.
Wilson, G.F. and B.T. Kang, 1980. Alley cropping, a stable alternative to shifting cultivation. International Institute of Tropical Agricultural, Ibadan, Nigeria.
by
Asa Johansson
Morogoro Women-Focused Afforestation
Project
Morogoro, Tanzania
A survey was conducted in parts of the Morogoro District to study the effects of the leucaena psyllid, Heteropsylla cubana, on women's enterprises. Women in the surveyed areas prefer tree species that can be income generating, therefore Leucaena leucocephala has been a widely grown tree around their homesteads. Also women appreciate the multipurpose use of this species, which has yielded them many different products. During the peak planting years, between 1989 and 1991, up to 30% of the total trees planted in these areas were of this species. Therefore the impact of the psyllid on L. leucocephala in the surveyed areas has been great for women enterprises.
The greatest losses being felt by women due to the psyllid attack were firewood, building poles, fodder and soil fertilizer. Other big losses were local medicines and shade. For many of the daily activities around the homestead, women depend on shade to ease their work outdoors. Also shade provides suitable meeting places for social purposes. Time and energy losses due to longer time spent for firewood and fodder collection is being felt by women.
The purely economic losses for women and households due to psyllid attack were estimated for two levels of tree maturity. On the average, at pole size (two years), each woman/household lost 47 000 Tsh ($US 90). For timber sized trees (eight years), each woman/household lost 245 000 Tsh ($US 460). These losses are a significant strain on women's enterprises and household economies.
In spite of the great losses, women have a positive attitude toward planting other species of Leucaena or similar multipurpose species. This is due to their past positive experiences with this tree as well as their willingness to get new knowledge on tree species that can help them in their daily work and in their efforts to establish new enterprises.
*****
This survey of the effects of the leucaena psyllid, Heteropsylla cubana, was conducted by the Morogoro Women Focused Afforestation Project (MWAP). As a brief background to its origins, the aims were first to ensure that women have access to and benefit from trees/forest products and secondly to encourage participation of women in community forestry activities. These objectives from the initial phase of the project are still valid although other villagers (men, school age children, mixed groups of men and women, and organizations) have been involved as well. This is to assist villagers as a whole in their efforts to ensure a sustainable supply of trees and forest products and to increase the general awareness of environmental problems.
MWAP has involved women in tree raising and planting through women's group nurseries and individual home nurseries whereby women are the ones who select species and take care of the trees. As women prefer trees of commercial value, Leucaena leucocephala has been a popular tree in all project areas due to the many products that can be harvested from it. One of its important products is firewood, which they can now obtain closer to their living areas thus reducing time and energy spent in firewood collection. In some heavily deforested areas this task can account for a considerable amount of time, up to 7-8 hours per head load collected.
The survey was done in all project areas with a random selection of 11 villages in the four Divisions where the project is working. These Divisions surround Morogoro and include Mkuyuni, Kingolwira, Mlali and Mgeta. The different areas represent an environmental cross-section from the dry lowland plains at an elevation of about 400 meters up to the rainy slopes of the Uluguru Mountains at altitudes of up to 1800 meters. The whole areas are basically inhabited by one main ethnic group, the Bantu. They are represented by the Luguru people. The Luguru people are purely agricultural people, they do not keep cattle. The society is matrilineal and there are therefore no restrictions for women to own land, control their income, or to plant or harvest trees.
At least 30 000 seedlings of Leucaena leucocephala have been planted in project areas. the peak of planting was during the period 1989-1991. This accounts for up to 30% of the total amount of tree seedlings raised and planted during each year of this period and illustrates the popularity of this multipurpose tree. Therefore the impact of the adverse effects caused by the psyllid has been great for women as well as village enterprises as a whole.
The seed sources for the L. leucocephala planted in the project area have been Gairo and Lushoto from seed collections made in 1987 to 1988.
To assess the effects of leucaena psyllid on women enterprises, women were contacted by project staff in randomly selected villages representing all project areas. Women were chosen randomly so as to represent different age groups. The majority were individuals and the remainder represented groups (both women and mixed groups). Also primary schools were included in the survey as a large part of the students are females. To make comparisons according to gender, some men were included in the survey. Men comprise 17% and women 67% of the interviewed group (Table 1).
A questionnaire, prepared in Kiswahili, the official language of Tanzania, was used to obtain the required information from the women, men and schools. Physical checking of the affected trees was done in each surveyed area. Documentation by photographing trees in different localities was also done during the survey.
The survey was conducted during August and September 1994. The weather conditions were normal for this period, dry with relatively cool temperatures.
DISTRIBUTION OF SURVEY PARTICIPANTS BY VILLAGE, GENDER AND AGE
|
VILLAGE |
FEMALES |
MALES |
PRE-SCHOOL |
AGE |
|
Mlale |
3 |
1 |
30-43 |
|
|
Melela |
6 |
5 |
15-60 |
|
|
Doma |
13 |
1 |
35-63 |
|
|
Peko-Misgese |
1 |
1 |
45 |
|
|
Mongwe |
1 |
|||
|
Langali |
1 |
45 |
||
|
Changa |
1 |
|||
|
Kibwaya |
1 |
|||
|
Kikundi |
1 |
|||
|
Kiziwa |
1 |
|||
|
Kiroka |
11 |
1 |
2 |
45-64 |
|
Totals |
34 |
9 |
8 |
By using data from the questionnaires, calculations were made by hand using a portable calculator. The statistics were drawn from a sample of 51 people (women, men and children attending schools) for the different parameters. General conclusions have also been drawn from observations in the field apart from the data.
The results are listed in the same order as they have been extracted from the questionnaires.
WHEN WERE THE TREES PLANTED AND WHEN WERE THEY ATTACKED IN PROJECT AREAS?
The peak of the planting of the L. leucocephala in the project areas was between 1989 and
1991. The peak period of attack observed by villagers was from 1993 and onwards. There is an exception in one area, Mgeta, where the effects were noticed as early as in
1992. This area is situated at a high altitude, with little forest cover and is therefore susceptible to high winds. These findings are in accordance time wise with other psyllid populations detected in Tanzania.
WHAT CAUSES THE DAMAGE ON THE LEUCAENA TREES?
Clearly the majority, 76%, of the villagers interviewed, were aware that the cause of damage was insects. Many of them could describe the insects in detail, some finding it similar to those found on the runner bean, Phaseolus vulgaris. However, a significant proportion of villagers, 10%, were not aware of the cause of the damage. This could be due to the relatively recent attack of the psyllid in their villages. Also since L. leucocephala is a newly introduced exotic species, some of villagers thought it was part of the tree's natural cycle to shed its leaves. Seven percent of those interviewed thought there was a combination of factors such as drought and termites contributing to the damage Fig 1).
WHAT PORTION OF THE TREES HAVE BEEN AFFECTED BY LEUCAENA PSYLLID?
The majority of the L. leucocephala trees planted by each interviewed villager have been affected. Between 75 - 100% of their trees have been attacked. Surprisingly about one fifth of the interviewed villagers reported to have a small proportion, 0-25% of affected trees. One reason for this could be the unawareness of the attack. Another reason could be that as the survey was conducted in the early part of the dry season when the damage was not as visible. Another reason could be that because the attack by the psyllid has a short duration, with the highest intensity during the hot season (kiangazi), the trees have the chance to recover by sprouting again during the rainy season. This can also contribute to making the villagers less aware of the attack.
WHICH LOSSES ARE CONSIDERED SIGNIFICANT BY TO WOMEN'S ENTERPRISES, MEN AND SCHOOL CHILDREN?
From the eight types of losses recorded, the four following have been pointed out as the most important both for women and men; firewood, building poles, fodder and soil fertilizer. School groups differed in response ranking shade as being a greater loss than building poles . Women felt an equally great loss (21 %) for firewood, building poles and fodder as compared to men. Women felt a bigger loss due to medicinal products provided by leucaenas than men. This was particularly true in one village where the leucaena is used to cure a disease of cattle caused by tse-tse flies and ticks (sotoka) (Fig 2).
One possible reason for the gender difference in ranking of impacts could be the traditional distribution of work in the villages. Women do most of the domestic work including tending of trees they have planted, as well as crops and animals. They feel the losses as equally big for many daily chores as compared to men. One reason for the big loss felt by men for firewood could be that in one of the project areas, Mgeta, men are the ones who collect firewood.
Another interesting point is that the loss of shade is felt more by women and school groups than by men. For many of the daily activities around the homestead, women depend on shade to ease their work outdoors. Also the shade provides suitable meeting places for social purposes.
WHAT ECONOMIC LOSSES HAVE BEEN FELT BY WOMEN AND THE COMMUNITY AS A WHOLE?
The losses were estimated for two levels of tree maturity; pole size (2 years) and timber size (8 years). Included in the calculation are those for firewood harvesting as well as the labour costs for raising each seedling to plantable size (rate according to Forest Ordinance of Tanzania for potted non-ornamental seedlings). Losses for fodder and medicines have not been included in the estimates because they vary from individual to individual.

*lncludes drought and termite attack
Figure 1 - Women's perceptions of the cause of damage to leucaena trees.

Figure 2 - Perceived resource losses due to attack by leucaena psyllid (Fw = firewood, Po = poles, Fo = fodder, Fe = fertilizer, Md = medicines, So = soil conservation, Sh = shade, Wi = windbreaks).
On the average, each woman/household economy lost 47 000 Tsh ($US 90)2 for their pole sized leucaenas. For the timber sized tree, each woman/household economy lost 245 000 Tsh ($US 462). These losses are significant to the women's enterprises and household economies. This can be illustrated by the fact that the loss for pole sized trees for a woman and household is roughly equal to one year of household spending on daily commodities (cooking oil, salt, sugar, tea, soap, etc). This also is equal to one year's consumption of the staple crop, maize, which constitutes the main part of the diet in the project areas.
Likewise, the loss to the women and households for timber sized trees is roughly equal to five years of household spending on daily commodities or four years consumption of maize by one household.
Besides the purely economic losses, much time and energy have been and will be lost by each woman due to a longer time spent in firewood and fodder collection because the leucaena trees near her homestead no longer provide these products. This will secondarily hinder women in their efforts to establish enterprises as there is lack of time, energy and money for investment from selling leucaena products. An important source of income generating for women has therefore been severely affected.
For the community as a whole the economic losses are even larger because many leucaenas have been planted near schools, both in woodlots as well as in demonstration plots, for the benefit of all villagers. Roughly 4.5 million Tsh ($US 8500) for pole sized trees and 23.5 million Tsh ($US 44 350) for timber sized trees have been lost by schools due to the psyllid.
HOW HAS THE PSYLLID OUTBREAK AFFECTED THE OPINION OF WOMEN IN PLANTING OTHER SPECIES OF LEUCAENA OR SIMILAR SPECIES?
All women interviewed in the survey were positive toward trying other species of leucaenas and/or similar species. This response was also received from the men and schools interviewed. The main reason for this positive attitude was the awareness of 50% of the women of the multipurpose use of the leucaena and other trees of the family Leguminoseae. Before the negative effects of the psyllid on their trees had an impact, they had already experienced the many benefits of the tree. Another major reason for the women wanting to try new species was to acquire additional knowledge in tree planting. Men were also motivated by the same reasons, although they gave trust in expertise in forestry as an additional reason (Fig 3).

Figure 3 - Reasons why women are favourable toward planting other species of trees. (Mu = multipurpose uses, Gr = fast growth, kn = acquisition of new knowledge, Re = replacement, Ex = trust expertise in forestry.
From this survey the following general conclusions can be made:
It can be concluded that in spite of the great losses to women and villagers as a whole due to the psyllid attack, villagers are positive in trying other species of leucaena and/or related multipurpose tree species. From this standpoint it seems most suitable as a means of local management of the psyllid to identify and use leucaena varieties, which are both genetically broad based and resistant or tolerant to the leucaena psyllid. Identifying leucaenas through species/provenance selection and testing those that are resistant or tolerant to leucaena psyllid should be of high priority.
It is also important to complement the planting of psyllid tolerant leucaenas with indigenous tree species of multipurpose use. This would help make the entire tree population as a whole less prone to insect attack. This is also a more sustainable way of ensuring women the benefits of multipurpose trees for their enterprises.
2 1 $US = 530 Tanzania shillings (September 1994)
by
J.G.D. Ward
Food and Agriculture Organization of the
United Nations
Nairobi, Kenya
and
J.G. Mwangi
Forest Health Management Centre
Forest Department, Box 30241
Karura, Muthaiga, Kenya
Integrated pest management (IPM) is viewed as a rational approach to reducing the impact of pests (e.g. insects, pathogens, weeds) on forest and agroforestry ecosystems. This paper presents the concept and components of IPM as they could apply to the management of the leucaena psyllid, Leucaena leucocephala (Lam.) de Wit. Experience gained from other IPM programmes to manage forest insects provide a basis for developing an IPM approach to managing the psyllid in Africa.
* * * *
Integrated pest management (IPM) has been suggested as an essential approach for managing the leucaena psyllid, Heteropsylla cubana Crawford, in Africa (Napompeth 1994). IPM is an approach for reducing the impact of insects or other pests in any ecosystem. This concept has been in existence for over thirty years. IPM can be defined as "the maintenance of destructive agents, including insects, at tolerable levels by the planned use of a variety of preventive, suppressive, or regulatory techniques and strategies that are ecologically and economically efficient" (Waters and Ewing 1974).
IPM gained popularity in 1962 following the publication of Rachel Carson's book Silent Spring. Its purpose was to alert the world of problems suffered by man and the environment by the indiscriminate use of pesticides. As the informed people of the world became more concerned about the use of chemical pesticides, IPM advocates suggested other options to resource managers for controlling pests. While not eliminating the use of pesticides, IPM considers and encourages possible alternatives to manage pests affecting resources, appeases the environmentalists and gives managers a more logical approach for reducing the impact of pests on resources. Unfortunately, even today after the philosophy of IPM has been advocated for over three decades, many resource managers routinely resort to chemical pesticides since they may not be familiar with IPM or they may feel that the urgency of the situation justifies their use. This is especially true when farmers or homeowners are faced with the dilemma of controlling an insect pest.
In the past twenty years a number of research and development programmes to design IPM for forest ecosystems have been conducted. In the United States, programs such as the USDA Expanded Douglas-Fir Tussock Moth Program, Gypsy Moth Program, Southern Pine Beetle Program and others developed an IPM approach for managing specific forest insects. The primary purpose of these research, development and applications (RDA) programs was to collect the necessary information through research and other means to develop and implement practical IPM decision support systems. As a result, IPM approaches were developed and implemented. Improvements have been made as resource managers gained practical experience and additional research findings became available.
In Africa the first major IPM research, development and applications programme for a forest insect began in Kenya against the cypress aphid, Cinara cupressi (Buckton), in 1992. This insect, which now occurs in a number of East African countries threatens to destroy industrial/commercial plantations as well as ornamentals and hedges of Mexican cypress, Cupressus lusitanica. The National Aphid Project, with financial assistance from FAO, UNDP and the World Bank, and in collaboration with institutions such as Kenya Forest Research Institute (KEFRI), International Institute of Biological Control (IIBC), International Centre of Insect Physiology and Ecology (ICIPE), Moi University and the Kenya Forest Department, has made progress towards the development of an IPM system for the cypress aphid. Areas where progress has occurred include the development of survey and sampling methods, importation of an exotic parasitoid, registration of a chemical insecticide, identification of possible resistant or tolerant varieties and removal of severely damaged plantations. Work is continuing to develop and implement an IPM system for cypress aphid in Kenya. Although there has been progress during the past two or three years additional work remains before an adequate IPM system is developed.
Research and development on leucaena psyllid in the Asia-Pacific region has provided treatment tactics suitable for incorporation into an IPM decision support system in Africa. A summary of research information on the psyllid can be found in the proceedings of several workshops held since 1987 (Napompeth 1994, NFTA 1987, Napompeth and MacDicken 1990). Although no formal IPM system has been developed in the Asia-Pacific region the implementation of non-chemical treatment tactics has reduced the impact of the psyllid in the region.
Practising IPM is more than a question of selecting from a list of treatment tactics, especially when applied on a large scale. An IPM programme should design an organized system for decision making that utilizes information on the insect as well as the ecosystem and socioeconomic conditions affected. As part of a process to look at the research needs of IPM programs in the United States, a general conceptual model was developed to show both the research and development components, their relationship to each other and to the operational components (Figure 1).

Figure 1. General conceptual model showing the components and their relationship to one another in an IPM system (modified from Waters and Ewing 1974).
One of the most important aspects of this conceptual model is that pest management is only part of the total resource management for the resource managers or farmers. The Waters and Cowling (1976) version of this model refers to the interior of the model as the research and development components and the outer components as operational components. Research provides information to drive the operational components.
When relating this model to the psyllid problem, a number of questions need to be asked. Do we have the information and methodology needed for the various components and which components should receive priority in terms of research? Is information collected and methodology developed in other parts of the world relevant to Africa? Additional information that may be needed to develop an IPM system for leucaena psyllid in Africa could include the following:
- Is the life cycle known in Africa?
- What factors regulate population fluctuations?
- Can the influence of these factors be quantified?
- Is there a method to predict population changes?
- Is there a sampling method to quantify populations?
- What are the interactions between pest/host?
- What are the factors influencing susceptibility?
- Is there a tree/site hazard rating system?
- What is the interaction between associated agricultural crops, trees and pest?
- What is the effect of the pest on reaching management objectives?
- What is the impact of the pest on growth and yield?
- What is the impact of the pest on socioeconomic conditions?
- Can the impact be quantified?
- What has the impact been in other parts of the world?
- Are there environmental risks posed by the pest?
- Are there environmental risks posed by the treatment?
- What is the impact on associated agricultural/forest crops?
- Do the benefits of developing and implementing an IPM program equal or exceed the costs involved?
- Could the funds used for the above be better utilized elsewhere?
- Could the impact of the pest be positive on the resource?
- Can the forest manager use this information to make a management decision?
- Are any of the following treatment tactics ready for implementation:
- Biological
- Cultural
- Use of resistant or tolerant varieties
- Use of non-host species
- Regulatory
- Chemical
- Is there scientific or other evidence to show that these treatment tactics were effective in other areas of the world?
- When is it appropriate to apply a specific treatment tactic?
- Is there a method to evaluate the treatment tactics?
- Does the treatment strategy pose environmental risks?
- Will the problem subside without any treatment?
The operational components shown on the outside of the model include surveys to provide information for making status and prediction determinations, the prediction of impact with and without treatment tactics, the application of treatment tactics and post treatment evaluations. The methodology required for the operational components is usually provided through research and development. Some of the needs and methodology that may be required for the operational components are as follows:
- Monitoring Pest Populations and Forest Conditions
- Develop appropriate survey methods for populations and damage estimates.
- Organize and implement a survey and reporting system.
- Prediction Models
- Is there a need to develop a hazard rating system?
- Develop a method to predict relative population changes.
- Develop a method to predict outcome with/without treatments.
- Treatments
- Implement one or more treatment tactics.
- Consider no treatment as an option.
- Conduct post treatment evaluations.
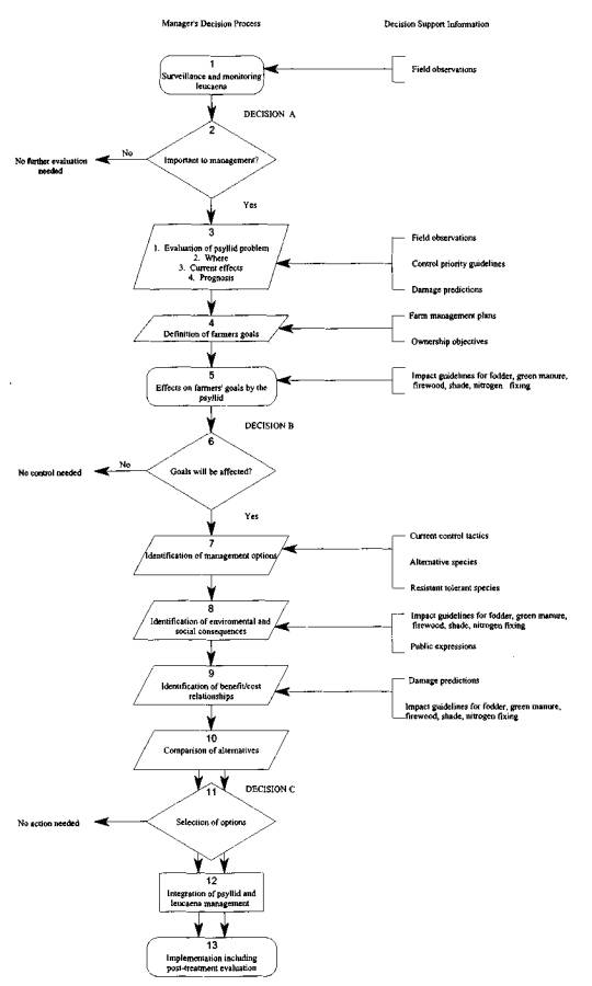
IPM for a specific pest is often referred to as a system or a decision support system. The system serves as an organized means for making a decision on whether to initiate treatment for a pest and if so, what treatments to use. It may be as simple as using a key expressed as a series of questions or a complicated computer-based model. Some decision support systems require a considerable amount of information gained through research, development and practical experience. Research and development for some of the systems in use today has cost millions of dollars. Although the example of a decision support system shown in Figure 2 may be more complex than needed for the leucaena psyllid, it shows the general process for making pest management decisions.
Similar decision support systems for other forest insects have been implemented. None of them are without problems and they will be constantly changing as additional information becomes available and as the conditions within the forest ecosystems themselves change. Although they are imperfect, their use provides a more logical approach to decision making especially in the areas related to the environment and economics of forest pest management.
The development of an IPM system is dynamic because improvements will need to be incorporated as conditions change and new knowledge is acquired. However, the management of forest pests using IPM treatment tactics should not be delayed until the system is completely developed. With regard to the leucaena psyllid, treatment tactics such as the use of resistant and tolerant varieties of leucaena and biological control have

Figure 2. Conceptual design of a decision support process for leucaena psyllid modified from the system used for managing the southern pine beetle in the Southeastern United States (Thatcher et al. 1980).
already proved useful in other countries without the development of a formal IPM decision support system. With some modification these treatment tactics could be used anywhere in the world.
Although every IPM system is unique, a decision support system similar to that shown in Figure 2 could be developed for management of the leucaena psyllid. The management of leucaena is different than a commercial forest plantation tree because it is an agroforestry species and the users are primarily farmers rather than government institutions or industrial managers. Leucaena psyllid causes the most severe problems in
developing countries where financial resources for management are scarce and the products from leucaena or similar trees are vital for the well being of the farming community. Therefore, it is important to ensure that the development of an IPM programme for leucaena psyllid will contribute to the well being of the people of Africa and not just to scientific knowledge.
Technology transfer is a vital part of an IPM programme. Technology transfer bridges gaps between research, development and applications. Many of the results of an IPM research and development program must be "translated" from highly technical terms to more easily understood language and reduced to simplest terms to benefit the ultimate user, the farmer managing the leucaena resource. In Africa it will probably be necessary to translate information into several national or local languages. Technology can be transferred in many ways including brochures, television, radio, video, training courses and demonstrations and is usually carried out by people specifically trained and designated for this job.
The expertise to develop an IPM program for leucaena psyllid in Africa is available but this in itself will not be sufficient to build a successful IPM program. Technical and scientific capability are important but other elements including cooperation, organization, coordination, communication, management, transportation and funding are all vital and without them, success will be limited.
An IPM approach is recommended management of the leucaena psyllid in Africa. This approach should favour non-chemical and long-term treatment tactics such as biological control and the introduction and distribution of resistant and/or tolerant varieties or species of leucaena. A pest management programme for the psyllid in Africa can be built on information that is already available while conducting research to fill information gaps that may be specific for conditions in Africa. The development and implementation of IPM for management of the psyllid should also consider the needs and level of sophistication of the ultimate user, the farmer or resource manager.
Carson, R., 1962. Silent Spring. Houghton Mifflin Co., Boston.
NFTA. 1987. Proceedings of a workshop on biological and genetic control strategies for the leucaena Psyllid. A Special Edition of "Leucaena Research Reports" Volume 7 (2). Honolulu HI.
Napompeth, B., 1994. Leucaena psyllid in the Asia-Pacific Region: Implications for its management in Africa. FAO, RAPA Publication: 1994/13. Bangkok, Thailand. 26 pp.
Napompeth, B. and K.G. MacDicken, eds., 1990. Leucaena psyllid: problems and
management. Winrock International/IDRC/NFTA/F-FRED, Bangkok, Thailand. 208 pp.
Thatcher, R.C., J.L. Searcy, J.E. Coster, and G.D. Hertel (eds.), 1980. The Southern Pine Beetle. USDA Forest Service - Sci. and Educ. Admin. Tech. Bulletin 1631. Washington, D.C. 266 pp.
US AID, 1992. Environmental assessment for implementation of biological control for the leucaena psyllid in Asia and Africa. Office of Forestry and Natural Resources, Bureau for Science and Technology. United States Agency for International Development. Washington, D.C. 225 pages.
Waters, W.E. and B. Ewing, 1974. Development and role of predictive modelling in pest management systems - insects. Michigan State Univ., East Lansing. pp 19-27.