APPENDIX B INTEREST AND ECONOMIC EQUIVALENCE


B.1 Financial Equations

B.1.1 Interest
B.1.2 Time value of money
B.1.3 Simple interest
B.1.4 Compound interest

B.2 The Meaning of Equivalence
B.3 Derivation of Interest Factors

B.3.1 Compound-interest factor with single payment
B.3.2 Present worth factor with single payment
B.3.3 Compount-interest factor with equal-payment series
B.3.4 Sinking-fund factor with equal-payment series
B.3.5 Capital recovery factor with equal-payment series
B.3.6 Geometric series

B.4 Nominal and Effective Rates of Interest

B.4.1 Discrete compound rate of interest
B.4.2 Continuous compound rate of interest
B.4.3 Comparison of interest rates

B.5 Inflation and Interest


B.1 Financial Equations

B.1.1 Interest

The term "interest" is used to indicate the rent paid for the use of money. It is also used to represent the percentage earned by an investment in a productive operation. From the lender's point of view, the interest rate is the ratio between profit received and investment over a period of time, which is a contribution to the risk of loss, administrative costs and pure earnings or profit. From the borrower's point of view, the interest rate can be expressed as the ratio between the amount paid for use of the funds and quantity of funds requested. In this case, the interest to be paid must be less than the earnings expected.

B.1.2 Time value of money

As money can produce earnings at a certain rate of interest by being invested for a period of time, it is important to know that one unit of money received at some future date does not produce as much earnings as a unit of money received in the present. This relationship between interest and time gives rise to the concept of the "time value of money".

Money also has a time value, as its buying power of a dollar varies with time. During periods of inflation, the quantity of goods that can be bought with a certain amount of money decreases as the purchase date moves into the future. Although this change in the buying power of money is important, the concept of the time value of money is even more so, in that it has earning power. Any future reference to the time value of money will be restricted to this concept. Effects of inflation on the profitability of an investment are discussed in section 7.9. It is necessary to know the different methods for computing interest in order to calculate, with certainty, the actual effect of the time value of money in the comparison of alternative courses of action.

B.1.3 Simple interest

Normally, a rate of interest on a sum of money is expressed as the percentage of the sum that is paid for the use of the money during a one-year period, but it can also be quoted for different periods of time. In order to simplify the following discussion, examination of interest rates for periods other than one year will be made at the end of this Appendix (13.4). The interest to be paid on a loan, at simple interest, is proportional to the principal sum. With P as the principal sum, n the number of years and i the interest rate, simple interest can be expressed as:

I = P × n × i                                 (B.1)

A loan at simple interest can be made for any period of time. The interest and the initial sum will be paid at the end of the loan period.

Example B.1 Simple Interest

Find the simple interest on US$ 4 500 at 8% per year for a) 1 year and b) 4 years.

Answer:

  1. I = P × n × i
    I = US$ 4 500 × 1 × 0.08 = US$ 360

The initial sum plus interest increases to US$ 4 860 and will be the total debt at the end of the year.

  1. I = P ×x n × i
    I = US$ 4 500 × 4 × 0.08 = US$ 1 440

When calculating the interest owed for a part of the year, it is usual to consider the year as made up of 12 months of 30 days each, that is, 360 days.

Example B.2 Simple Interest. Period Length Less than One Year

Find the simple interest on US$ 1000 for the period 1 February-20 April at 8 % per year.

Answer:

I = P × n × i

I = 1000 × (80 days/360 days) × 0.08

I = US$ 17.78

B.1.4 Compound interest

When interest earned during each period is added to the principal sum, as shown in Table B.1 (see Example B.3), it is said that the interest is compounded annually. The difference between simple interest and compound interest is due to the effect of capitalization. The final total amount will be higher when large sums of money, higher rates of interest or a greater number of periods are involved. Compound interest is the type of interest that is used in practice, and thus it will be used in this manual.

Table B.1 Calculation of Compound Interest

Year

Sum owed at  beginning of year (A)

Interest added to  debt at year end (B)

Sum owed at  year end (A + B)

Sum to be paid  at year end

1

1000 

1 000 x 0.08 = 80

1 080

0.00

2

1080 

1080 x 0.08 = 86.4

1 166.4

0.00

3

1 166.4 1 

166.4 x 0.08 = 93.3

1 259.7

0.00

4

1 259.7 

1 259.7 x 0.08 = 100. 8

1 360.5

1 360.5

To allow the visualization of each economic investment alternative a cash expenditure and receipts diagram (Figure B. 1) is used. This graphic method provides all the information required to analyse an investment proposal. This diagram shows income received during the period with an upward arrow (increment of money) positioned at the end of the period (it is always assumed to take place at the end of the period in question). The length of the arrow is proportional to the size of the income received during the period. Similarly, expenditure is represented by a downward arrow (a reduction of money). These arrows are located on a time-scale that represents the duration of the alternative.

Figures B. 1 (a) and (b) also show the flow diagrams for the borrower and the lender of the previous example, where the expenses incurred in initiating an alternative are deemed to have taken place at the beginning of the period over which it extends.

 

Figure B. 1 Expenditure and Receipts Diagram: (a) Borrower and (b) Lender

Example B.3 Compound Interest

Find the total debt to be paid at the end of 4 years. The sum owed is US$ 1 000 at 8 % per year.

Answer: Results of calculation are shown in Table B. 1. and Figure B. 1.

B.2 The Meaning of Equivalence

In order to evaluate investment alternatives, sums of money produced at different points in time must be compared. This is only possible if their characteristics are analysed on an equivalent basis. Two situations are equivalent when they have the same effect, the same worth or the same value. Three factors are involved in the equivalence of investment alternatives:

The factors of interest which will be developed take account of duration and rate of interest. Later, they are used in the transformation of alternatives in terms of a common time-base.

B.3 Derivation of Interest Factors

Interest factors applicable to routine situations, such as compound interest with single payment, and with a series of equal payments, will be derived. The following five points must be kept in mind for application in calculations of investment alternatives:

  1. The end of one period is, at the same time, the beginning of the next period.

  2. P is produced at the beginning of a period, at a time in the present;

  3. F occurs at the end of the nth period, from a time considered as present (n being the total number of periods).

  4. A is a single payment within a series of equal payments made at the end of each period under consideration. When P and A occur together, the first A in the series is produced one period after P. When F and A occur together, the last A in the series occurs at the same time as F. If the equal payments series occurs at the beginning of each period under consideration, it is called Ab.

  5. In proposing different alternatives, the quantities P, F, A and Ab must be used such that they incorporate the conditions needed to adjust the respective models to the factors used.

Table B.2 summarizes the financial equations that show the relationships between P, F and A (Jelen and Black, 1983).

Table B.2 Financial Equations

Single -payment compound-amount factor:
Given P, find F F = P ×  [(1+ i)n] F = P × FPF,i,n
Single -payment present-worth factor:
Given F, find P P = F × [(1+ i)n] P = F × FFP,i,n
Equal-payment series  present-worth factor:
Given  A, find P P = A × FAP,i,n
Equal-payment series  capital-recovery factor:
Given  P, find A A = P × FPA,i,n
Equal-payment series-compound-amount factor:
Given  A, find F F = A × FAF,i,n
F = A × FAP,i,n ×  FFP, i, n
Equal-payment series  sinking-fund factor: 
Given F, find A A = F × FFA, i, n
A = F × FFP, i, n × FPA, i, n

B.3.1 Compound-interest factor with single payment

If a sum P is invested at the rate of interest i, how much money is accumulated between capital and interest at the end of period n; or, what is the equivalent value at the end of the final period n, of the sum P invested at the beginning of the operation? The cash flow diagram for this financial situation is shown in Figure B. 2. Table B. 1 shows interest earned on applying compound interest to the investment described in Figure B.2. This investment provides no income during the intermediary periods. In Table B. 1, the interest earned is added to the initial sum at the end of each interest period (annual capitalization). Table B.3 shows the deduction in general terms.

Table B.3 Deduction of Compound-interest Factor with Single Payment

Year 

Amount at beginning of year

Interest earned during year

Compound Interest at year end

1

P

P × i 

P + P × i = P × (1 + i)

2

P × (1+ i)

P × (1 + i) × i

P × (1 + i) + P × (1 + i) × i = P × (1 + i)2

3

P × (1 + i)2

P × (1 + i)2 × i 

P × (1 + i)2 + P × (1 + i)2 × i = P × (1 + i)3

n

P × (1 + i)n-1

P × (1 + i)n-1 × i

P × (1 + i)n-1 + P × (1 + i)n-1 × i = P × (1 +i)n = F

 

Figure B.2 Single Present Amount and Single Future Amount

The resulting factor (1 + i)n is known as the compound-interest factor with single payment, and is written FPF; the relationship is:

F = P × (1 + i)n                                                                        (B. 2)

F = P × FPF                                                                              (B. 3)

Example B.4 Single-payment Compound-amount Factor

Find the compound amount of US$ 1 000 in 4 years at 8% interest compounded annually.

Answer: From Equation B.3,

F = 1 000 × (1 + 0.08)4 = 1 000 × 1.3605 = US$ 1 360.5

Another way of interpreting Equation B.3 is that the amount F at some future time is equivalent to the known value of P at the present time, for the given interest rate of i. The amount F, US$ 1 360.5, is equivalent to the initial amount P, US$ 1 000 at the end of four years if the interest rate is 8 % per year.

B.3.2 Present-worth factor with single payment

Solving P from the last Equation B.2 results in:

P = F × 1 / (1 + i)n                                     (B.4)

The resulting factor (1 + i)-n is known as the present-worth factor with single payment and is written as FFP:

P = F × FFP                                              (B.5)

Example B.5 Single-payment Present-worth Factor

How much should be invested now (at present time) at 8% compound interest per year, in order to receive US$ 1360.5 within 4 years; or what is the present equivalent worth of US$ 1 360.5 to be received four years in the future?

Answer: From Equation B.5,

P = 1 360.5 × (1/1.3605) = 1 360.5 × 0.73503 = US$ 1 000

It is noted that the two factors are reciprocal. In the Net Present Value and Internal Rate of Return methods used to evaluate the profitability of projects (Chapter 7), the present worth factor is applied to compare cash flows with initial investment.

B.3.3 Compound-interest factor with equal-payment series

As an introduction, a definition will be given of the concept of annuity, which consists of a series of equal payments made at regular intervals of time, whether annually or at different periods. This scheme arises in situations such as accumulation of a determined capital (receipt of a certain lump sum after a certain amount of periodic payments, as occurs in some life insurance plans), or cancellation of a debt. Figure B.3 shows the first situation, given that the future value is being sought, through a series of equal payments made at the end of successive interest periods.

 

Figure B.3 Single Future Amount with Equal-payment Series

The sum of the compound interest of the different payments can be calculated through the use of the compound-interest factor with equal payment series. The method of calculating the factor is to use the compound-interest with single payment factor to transform each A into its future value:

F= A + A × (1+ i) + A × (1 + i)2 + A × (l + i)3 + … + A × (1 + i)n-1             (B.6)

This is a geometric ratio series (1+i)

F = A × [1 + (1 + i) + (1 + i)2 + (1 + i)3 + … + (l + i)n-1]                              (B.7)

The sum of a geometric series is equal to:

Number of terms

1 - (ratio)            x(first term)                                                 (B.8)
1 - ratio

In this case:

F= A ×(1 - (1 + i)n / 1 - (1 + i)) × 1                                                               (B.9)

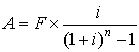
F= A × (1 + i)n - 1 / i                                                                                   (B. 10)

The resulting factor [(1 +i )n - l]/i is known as the compound interest factor with equal payment series and is written as FAF:

F = A × FAF                                                                                 (B. 11)

Example B. 6 Equal-payment Series Compound-amount Factor

Find the amount compounded for a series of five payments of US$ 500 made at the end of each year at 8% per year.

Answer: Calculation is illustrated in Table B.4.

From Equation B.11:

F = 500 × [(1.08)5 - 1] / 0.08 = 500 × 5.8664

F = US$ 2 933.2

That is, the amount of US$ 2 933.2 at the end of the five periods is equivalent to five annual payments of US$ 500, when the rate of interest is 8% per period.

Table B.4 Example of Compound-interest Factor with Equal-payment Series

Year end

Compound-Interest Factor with year end payments

Compound Interest at end of 5 years

Total Compound Interest

1

500 (1.08)4

680.2

 

2

500 (1.08)3

629.8

 

3

500 (1.08)2

583.2

 

4

500(1.08)

540.0

 

5

500

500.0

2 933.2

B.3.4 Sinking-fund factor with equal-payments series

Solving A from the expression (B. 10) results in:

A = F × i / (1 + i)n - 1                                                         (B. 12)

The resulting factor i/[(1 + i)n - 1] is known as the sinking-fund factor with equal-payment series.

A = F x FFA

Example B. 7 Equal-payment Series Sinking-fund Factor

One wishes to accumulate US$ 2 933.2, through a series of five annual payments, at 8% interest per year, which is the amount required for each payment?

Answer: From Equation B. 12 it will be:

A = 2 933.2 × 0.08 / (1 + 0.08)5 - 1 =US$ 500

Derivation of this factor and the examples shows that the compound-interest factor with equal-payment series and the sinking-fund factor with equal-payment series are reciprocal.

B.3.5 Capital-recovery factor with equal-payment series

Amount P is deposited at a present time, at an interest rate of i per year. The depositor wishes to withdraw the capital plus the interest earned in a series of equal year end receipts over the next n years. When the last withdrawal is made, no funds remain in the deposit. Moreover, it can be said that whatever the uniform payment is at the end of each period, it is equivalent to the amount invested at the beginning of the first year. The cash flow diagram is shown in Figure B.4. To calculate this factor, it should be expressed as the product of two factors which are already known, compound-interest factor with single-payment (FPFi, n) and the sinking-fund factor with equal-payment series (FFAi ,n)

A = P × FPA = P × FPF × FFA                                         (B. 13)

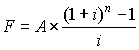
A = P × (1 + i)n × i / (1 + i)n - 1                                      (B. 14)

 

 

Figure B.4 Single Present Amount and Equal-payment Series

A = P × i × (1 + i)n / (1 + i)n - 1                                                (B. 15)

The resulting factor i x (1 +i)n / [(1 +i)n - 1] is known as the capital-recovery factor with equal-payment series, and is written as (FFA', n). It is used to calculate equal payments required to amortize a present amount of a loan, where the interest is calculated on the balance. This type of financial settlement is the basis of the majority of loans and constitutes the most common form of amortizing a debt.

B.3.6 Geometric series

In many cases, the annual payments are not made in an equal-payment series. In some countries it is common to find geometric series of payments, that is, payments where each term is equal to the previous one, multiplied by a factor:

(B. 16)

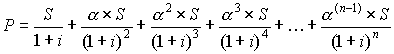
where S stands for the first payment and r, the factor by which it is multiplied. This series can symbolize, for example, a monthly indexed quota, with a monthly interest of a. In this case, the initial quota is S. To be able to work with this series through the known formulas, each of the quotas should first be brought to present values:

(B. 17)

After removing the common S/r factor in the series:

(B. 18)

the expression between parentheses is the sum of the geometric ratio series a /(1 + i)

(B. 19)

Working with this expression it is possible to obtain:

(B.20)

If instead of working with present value, the annual quotas equivalent to the series are required, the following equations should be used:

(B. 21) 

In this way, whether using P or A, it is possible to work easily with the known equations.

B.4 Nominal and Effective Rates of Interest

To simplify matters, the discussion of interest has been based on interest periods of one year. However, agreements may specify that interest be paid more frequently, for example, biannually, quarterly, or monthly. Such agreements result in interest periods of six months, three months or one month, and the interest is compounded twice, four times or twelve times for the year, respectively.

The interest rates associated with this method of more frequent compounding are normally quoted on an annual basis according to the following convention. When the effective rate of interest is 4.8 % compounded every 6 months, the annual or nominal interest is quoted as " 9.6 % annually, compounded biannually". For a 2.4 % effective rate of interest compounded at the end of each 3-month period, the nominal interest is quoted as "9.6% annually, compounded quarterly". Thus the nominal rate of interest is expressed on an annual basis and this is determined by multiplying the effective rate of interest by the number of interest periods in the year.

B.4.1 Discrete compound rate of interest

The effect of compounding more frequently is that the effective rate of interest, is higher than the nominal rate of interest. For example, consider a 9.6% nominal rate of interest, compounded biannually. The value of a dollar at the end of a year, when a dollar is compounded at 4.8% for each 6-month period is:

F = US$ 1(1.048) (1.048) = US$ 1 (1.048)2 = US$ 1.0983

The real interest earned on the dollar for a year, is equal to US$ 0.0983. As a result, the effective rate of interest is 9.83 %. An expression for the annual effective rate of interest can be derived from the last reasoning, that is:

i = nominal rate of interest (annual)

ieff = effective rate of interest (per period)

c = number of interest periods per year

ieff = annual effective rate of interest = (1 + i/c)c - 1                                             (B.22)

Example B.8 Effective Rate of Interest

Find the value of US$ 1 000 for 4 years at a 10% nominal rate compounded quarterly.

Answer: From Equation B.22,

ieff = (1 + 0. 10/3)3 - 1

ieff = 10.33%

Using Equation B.3

F = P x FPF 10.33%,4years = 1 000 x (1 + 0.1033)

F = US$ 1 482

B.4.2 Continuous compound rate of interest

As a limit, interest can be considered to be compounded an infinite number of times per year, that is continually. Under these conditions, continual annual effective interest for interest compounded continuously is defined as:

ieff = lim (1 + i/c)c - 1                                     (B.23)

The right side of the equality is rearranged to include i in the exponent:

(1 + i/c)c = (1 + i/c)i x c /i                                 (B. 24)

The value of the mathematical symbol e is the value of (1 + l/n)n as n approaches infinity, then:

lim (1 + i/c)c/i = e                                             (B.25)

By substitution,

ieff = lim (1 + i / c)i x c/i - 1 = ei - 1                     (B.26)

As a result, when interest is compounded continuously,

ieff = annual effective rate of interest = ei - 1                                             (B. 27)

B.4.3 Comparison of interest rates

The effective rates of interest which correspond to a 9.6% nominal rate, compounded annually, biannually, quarterly, monthly, weekly, daily and continuously, are shown in Table B.5.

Table B.5 Comparison of Interest Rates

Frequency of Compounding 

Number of Periods Per Year (c)

Effective Interest Rate Per Period (ip)

Annual Effective Interest Rate (ieff)

Annually

1

9.6%

9.60%

Biannually

2

4.8%

9.83%

Quarterly

4

2.4%

9.95%

Monthly

12

0.8%

10.03%

Weekly

52

0.1846%

10.06%

Daily

365

0.0263%

10.074%

Continuously

10.076%

Note:

The annual effective rate of interest always equals the nominal rate when interest is compounded annually.

Since the effective interest rate represents the real interest earned, it is this rate which must be used to compare the benefits of various nominal rates of interest.

B.5 Inflation and Interest

The behaviour of the world economy in the past shows a general inflationary tendency in the cost of goods. This tendency was reversed during specific periods, but from a global point of view there seems to be an incessant pressure on prices to increase. Low inflation rates seem to have little impact on changes in prices, but when inflation exceeds 10% annually, it can produce extremely serious consequences for individuals and for institutions (see section 7.9).

Inflation is normally described in terms of an annual or monthly percentage, which represents the rate at which prices of goods in the year or month being considered increased in relation to the prices of the previous year or month. Since the rate is defined in this manner, inflation has a compounded effect. Therefore, prices which inflate at a rate of 8% monthly will increase by 8% in the first month and in the following month the expected increase will be 8% of the new prices. Since the new prices include the original 8% increase, the rate of increase is applied to the 8% increase already added.

The same applies to the successive months and as a consequence, the inflation rates are compounded in the same manner as the interest rate. To incorporate the effects of inflation in economic studies, interest factors must be used such that inflationary effects can be identified in monetary values at the different points in time. The standard procedure to avoid the loss of buying power that accompanies inflation is:

  1. Study all costs associated with a project in terms of present monetary value.

  2. Modify the costs estimated in step 1 so that at each future date they represent the cost at that time in terms of the monetary values that must then be spent.

  3. Calculate the equivalent quantity of cash flow which results from step 2, considering the time value of money (interest rate of the market).

It is important to observe that the interest rate at which it is possible to invest in a financial or banking operation represents the market interest rate (financial standard). This interest rate is compounded by the inflation rate and the opportunity of earning. If these two effects are separated; iR, the rate which represents the money's earning power without inflation, is related to i, the market rate and b , the inflation rate, by Equation 7.25 of this manual as:

(1 + i) = (1 + ß) x (1 + iR)

iR = ((1 + i) / (1 + b )) - 1                                          (B. 28)

Example B.9 Real Rate of Interest

A person invests his money in a bank at an interest rate of 25 % per year where the inflation rate is 20% per year. What is the true or real interest rate?

Answer: From Equation B.28

1 + iR = (1+0.25)/(1+0.20) = 1.042

iR = 4.2%

This example shows that the effect of the inflation is to make a business seems more profitable than it actually is.