Previous PageTable Of ContentsNext Page

Systèmes culturaux durables pour les Cerrados du Brésil

C.R. Spehar et P.I.M. Souza
Centro de Pesquisa Agropecuaria dos Cerrados
CPAC/EMBRAPA, Brésil

RÉSUMÉ

Au Brésil, le manque de terres naturellement fertiles permettant de nourrir une population de plus en plus nombreuse a conduit à étendre l'activité agricole aux savanes (Cerrados). Depuis une vingtaine d'années, des investissements publics massifs ont appuyé la recherche agricole et ont incité le secteur agricole à mettre en valeur cette région. Aujourd'hui, les Cerrados sont devenus l'un des principaux centres de production végétale, d'élevage bovin et de plantations forestières. Le succès de cet effort de mise en valeur ouvre de nouvelles possibilités d'expansion agricole durable à fort coefficient d'intrants.

L'expansion de l'agriculture dans la région des Cerrados a été autorisée par des conditions naturelles propices, du fait de précipitations suffisantes, de températures favorables, d'une topographie se prêtant à la mécanisation, d'un bon drainage des sols ainsi que par les bas prix fonciers. La productivité était en revanche limitée par des caractéristiques défavorables des sols (taux élevés d'acidité et abondance de l'aluminium, faible fertilité et faible capacité de rétention de l'eau), par la distance des ports maritimes et des grandes villes, et par le manque d'infrastructures. Des agriculteurs avertis du sud du Brésil ont apporté leur esprit d'entreprise et leur endurance dans le milieu peu familier des Cerrados. Ils ont rapidement adopté de nouvelles technologies qui ont permis à l'agriculture de s'implanter avec succès dans la région, notamment avec la culture du soja. L'adaptation du soja à ces basses latitudes a rendu nécessaire l'élaboration de variétés présentant un stade juvénile prolongé. Cette percée technique a ouvert la voie à d'autres possibilités de successions culturales diversifiées.
Au nombre des productions végétales nouvelles on compte le maïs, les haricots, le manioc, le caféier, les cultures fruitières et les cultures fourragères. On escompte que d'autres productions végétales non traditionnelles comme le coton, le quinoa, le sésame, le guar, le pois-chiche, le rocouyer, le ricin et l'hévéa trouveront à terme leur place dans des systèmes de cultures multiples et contribueront à leur stabilité. De nouvelles espèces et variétés fourragères permettant d'améliorer la production de viande bovine et de lait sont prévues dans la diversification des cultures. L'adaptation ultérieure de végétaux dans les milieux des Cerrados aura pour effet de permettre des systèmes de rotation des cultures évitant les effets - défavorables aux rendements - des ravageurs, anciens ou nouveaux, des maladies et des adventices. Une tolérance meilleure des espèces végétales à l'aluminium permettra un enracinement plus profond et donc une meilleure utilisation des nutriments, outre une meilleure tolérance aux périodes de sécheresse.
D'autres facteurs se sont révélés nécessaires pour rendre économiquement possible l'expansion agricole. Il a fallu développer les sources locales d'approvisionnement en chaux et en engrais, et étudier quels étaient les taux économiques d'application à recommander pour les cultures annuelles et les cultures pérennes. Une fumure équilibrée, fondée sur les besoins en nutriments des végétaux, a permis d'obtenir des rendements plus élevés.
Les principales pratiques qui conduisaient à une mise en valeur et à une exploitation inappropriées des terres - phénomène fréquent dans les premiers temps de la colonisation agraire - ont été identifiées; des solutions permettant de préserver l'environnement ont été proposées.
Les principaux facteurs qui déterminent la stabilité de la production dans les Cerrados sont la conservation et la bonne gestion des sols. La conservation et l'accroissement de la teneur des sols en matière organique sont en effet de la plus haute importance. Des systèmes appropriés d'assolements et de façons culturales exerceront un effet positif sur la teneur des sols en matière organique, en favorisant la constitution d'agrégats et en jetant les bases d'une production durable et élevée. Les assolements doivent tenir compte du rapport C/N des résidus de culture. Les résidus de soja présentent un rapport C/N peu élevé, et se décomposent rapidement; par conséquent la monoculture du soja est à éviter.
Les méthodes de labour minimum et de non-labour ont gagné du terrain, et présentent les avantages combinés de la conservation de l'humidité, de la réduction de l'érosion, de l'entretien de la teneur en matière organique et de son amélioration, et permettent d'économiser en machines et en énergie. Il reste néanmoins à ajuster ces méthodes aux rotations locales de cultures pour répondre aux impératifs de reconstitution des disponibilités en nutriments, de lutte contre les adventices et d'entretien d'un paillis.
L'introduction et la dissémination des adventices a fait suite à l'expansion agricole. Les espèces adventices dominantes dans les Cerrados sont celles qui sont les plus communes dans les zones d'agriculture traditionnelle du pays. Les méthodes chimiques de lutte contre les adventices ont été largement adoptées. Les principaux insectes ravageurs peuvent être maîtrisés par les pesticides, les moyens biologiques et la lutte intégrée contre les ravageurs. Les pratiques de lutte contre les ravageurs du soja illustrent bien cette approche environnementalement équilibrée.
A mesure que les cultures augmentaient, les maladies sont devenues plus graves, principalement du fait de la monoculture. La sélection en vue d'une résistance accrue a notablement permis de réduire, voire d'éliminer, les moyens chimiques de lutte phytosanitaire. Ici aussi, comme le montre l'exemple du soja, la rotation des cultures a permis de réduire les risques de maladies épiphytotiques. Toutefois, certaines pratiques de rotations des cultures qui favorisent la lutte contre les maladies et les ravageurs, et permettent peut-être aussi le maintien de la teneur en matière organique, ne sont pas économiquement viables sur une base annuelle. Des incitations gouvernementales sont à conseiller pour promouvoir de telles pratiques, nécessaires à la durabilité.
Les premiers colons ont été gênés par leur méconnaissance des conditions locales et par le manque de main-d'_uvre qualifiée. Ils étaient peu informés quant aux système de labourage et de culture, et les connaissances disponibles n'ont pas toujours été efficacement transmises par les services de vulgarisation. La médiocre gestion des sols dans certaines zones s'est traduite par des problèmes tels que la stérilité des sols imputable à la perte de matière organique, à l'extinction d'espèces indigènes végétales ou animales, et à la pollution des cours d'eau et des lacs. Ces pertes auraient pu être évitées moyennant l'utilisation de systèmes de production modernes.
La solution la plus au point permettant d'assurer la pérennité d'un système environnementalement équilibré de production et d'expansion agricoles repose sur la planification intégrée à l'échelle des microbassins ou des bassins hydrographiques. Cette solution suppose que les agriculteurs coopèrent à l'utilisation des ressources naturelles communes. L'hydrologie, les types de sol, le climat, le relief, la végétation naturelle et la géologie détermineront quels sont les systèmes culturaux qui se prêtent à une production agricole permanente.
On prévoit que des investissements supplémentaires dans les infrastructures contribueront encore à faire des Cerrados l'une des principales régions agricoles du monde. Des politiques agricoles réalistes devront être mises en _uvre pour donner à la région une prospérité durable, et en faire un exemple pour des zones analogues dans d'autres pays.

INTRODUCTION

Les savanes du Brésil occupent un quart de la superficie du territoire et sont connues localement sous le nom de Cerrados. Elles s'étendent entre l'océan Atlantique et le fleuve Amazone, et couvrent une superficie d'environ 200 millions d'hectares (figure 1). Jusqu'à récemment, la région est restée en marge de l'agriculture brésilienne. Pendant près de 150 ans, les immenses plateaux - interrompus seulement par les talus descendant vers les cours d'eau - ont principalement été exploités pour l'élevage des bovins, avec un faible coefficient d'intrants et une faible intensité de production.

FIGURE 1
Brésil: localisation des Cerrados

v8941f02.GIF (21854 bytes)

Source: EMBRAPA, 1979.

A l'origine, le paysage des Cerrados présentait un gradient de végétation qui allait du pâturage ouvert à la savane arborée dense, en général à proximité des berges des rivières. A maints égards, il ressemblait à la savane africaine, sauf pour ce qui est de l'acidité le plus souvent élevée des sols. Initialement, les sols des Cerrados étaient acides, pauvres en nutriments, et se caractérisaient par des taux élevés d'aluminium (Al) disponible, et une faible capacité de rétention de l'humidité.
La faible fertilité des sols a longtemps fait obstacle à l'expansion de l'agriculture moderne; toutefois, grâce aux progrès de la science des sols, le chaulage et la fumure massive ont permis de développer l'agriculture moderne dans la région (EMBRAPA, 1980; 1981). En outre l'amélioration des espèces, tant de plein champ que fourragères et fruitières, ainsi que forestières, a joué un rôle important dans la colonisation agricole récente de ces terres restées longtemps improductives.
Les Cerrados brésiliens et les Llanos Orientales de Colombie sont de bons exemples du milieu tropical, présentant de fortes contraintes à l'établissement de systèmes agricoles durables (Spehar, 1989). Le présent document examine l'historique de l'utilisation des Cerrados et l'élaboration des techniques actuelles de mise en valeur et de gestion des sols. Les problèmes résultant du passage rapide de systèmes culturaux traditionnels à faible coefficient d'intrants à une approche moderne plus intensive sont soulignés, ainsi que les défis liés au bouleversement d'un système d'agriculture de subsistance environnementalement équilibré, auquel se substitue une agriculture à fort coefficient d'intrants qui se veut durable.

GÉNÉRALITÉS PHYSIOGRAPHIQUES

Climat

Les Cerrados connaissent deux saisons: l'une pluvieuse, l'autre sèche. Les précipitations annuelles moyennes s'établissent entre 1 000 et 2 000 mm. Dans la majeure partie de la région, les pluies se concentrent entre octobre et mars. Seulement 15 pour cent des précipitations tombent à la saison sèche, ce qui limite sévèrement la pratique de cultures annuelles au cours de cette saison. Toutefois, du fait de l'excédent d'eau de pluie qui atteint le sol à la saison humide (figure 2), de grandes quantités d'eau s'infiltrent dans le sol et forment des cours d'eau qui viennent alimenter trois des plus grands bassins hydrographiques d'Amérique du Sud. Depuis quelque temps, ces cours d'eau sont exploités comme sources d'eau d'irrigation pour prolonger la production végétale dans la saison sèche.

FIGURE 2
Evapotranspiration, précipitations et température dans les Cerrados centraux

v8941f03.GIF (15390 bytes)

 

L'isothermie des Cerrados est remarquable. Les différences entre températures maximales et minimales atteignent tout au plus 4 °C à 5 °C et s'atténuent progressivement en approchant de l'Equateur. Dans la région amazonienne (Belém et Manaus), ces différences ne sont que de 1 °C à 2 °C. L'écart entre les températures maximales et minimales est plus fort à la saison sèche qu'à la saison humide. L'ensoleillement journalier moyen des Cerrados est compris entre 475 et 500 Langleys (cal/cm²/jour) (Adamoli, Macedo et Madeira Neto, 1985).
On distingue quatre zones écophysiographiques importantes qui agissent sur les Cerrados: la forêt tropicale humide atlantique à l'est; les marécages du Pantanal au sud-ouest; la forêt tropicale dense amazonienne à l'ouest et au nord-ouest; et la caatinga semi-aride au nord-est (figure 1). Le centre des Cerrados se caractérise par des zones de plateaux pouvant atteindre une altitude de 1 000 m au-dessus du niveau de la mer. La saison humide est habituellement interrompue par des périodes de sécheresse, notamment dans les régions limitrophes de la zone semi-aride. Comme le montrent les séries pluviométriques chronologiques (tableau 1) pour Sete Lagoas (Minas Gerais) dans le sud-est des Cerrados, le nombre des jours de pluie et leur écart type dénotent le caractère aléatoire des périodes de sécheresse dans le courant de la campagne agricole pluviale.

TABLEAU 1

Distribution des précipitations dans les Cerrados à Sete Lagoas (Minas Gerais), 1928-1986

Mois

Moyenne (mm)

Ecart type (mm)

Coefficent de variation (%)

Nombre de jours de pluie

Janvier

265,9

149,54

56,2

16,9

Février

174,4

110,56

63,4

12,4

Mars

147,3

90,80

61,6

12,1

Avril

59,1

44,56

75,3

7,0

Mai

21,7

23,30

107,0

3,4

Juin

7,1

13,89

195,6

1,8

Juillet

9,7

16,65

172,1

1,6

Août

8,1

12,87

159,6

1,3

Septembre

33,0

30,45

92,2

4,3

Octobre

109,4

59,25

54,5

10,3

Novembre

208,9

95,45

45,7

13,1

Décembre

299,7

126,73

42,0

19,7

Source: Assad et Castro, 1992.

En moyenne, des périodes sèches de huit, 10 ou 13 jours se produisent trois fois, deux fois ou une fois par saison humide, respectivement. Des périodes de sécheresse de 18 à 22 jours se produisent en moyenne deux fois ou une fois tous les sept ans, respectivement. Les périodes de sécheresse d'une durée supérieure à 15 jours nuisent au rendement des cultures annuelles. Leur probabilité est élevée en janvier et février, au moment où la plupart des cultures annuelles en sont au stade reproductif de leur développement. La perte de rendement correspondante est fonction des caractéristiques des cultures. Le riz (Oryza sativa) et le maïs (Zea mays) sont plus sensibles que le soja, dont la période de floraison est plus longue, et qui peut échapper aux effets du déficit hydrique. Le faible enracinement de la plupart des plantes annuelles cultivées est en général considéré comme étant la principale cause de sensibilité aux périodes de sécheresse. Le problème est aggravé par la concentration de la fumure et des amendements calcaires dans la couche superficielle des terres labourées. Les racines se cantonnent dans cette zone superficielle, et leur approvisionnement en humidité est donc limité. La fumure exerce à terme ses effets sur les couches plus profondes du sol par lessivage des nutriments vers les zones plus profondes. Ce phénomène atténue les effets du déficit hydrique superficiel, mais seulement plusieurs années après que les sols vierges aient été mis en valeur pour l'agriculture (Ritchey et al., 1980).

Sols

L'une des caractéristiques communes des sols des Cerrados est leur fertilité naturelle faible, avec un pH bas (de l'ordre de 4,0 à 5,5) et, dans la plupart des cas, une forte saturation en aluminium. Plus de 95 pour cent des sols sont dystrophiques. L'exposition intense aux agents atmosphériques se traduit par le fait que les particules fines sont principalement constituées de kaolinite et de fer (Fe) et d'hydroxydes d'aluminium. Les hydroxydes de Fe et d'aluminium présentent une forte capacité d'adsorption des phosphates et des sulfates (Madeira Neto, Macedo et Azevedo, 1982). Ainsi la disponibilité de phosphates et de nutriments tels le potassium (K), le calcium (Ca), le magnésium (Mg) et le zinc (Zn) est très faible dans les sols vierges des Cerrados. La désilicification et le lessivage des cations ont pour résultat des capacités très faibles d'échange de cations (CEC <13 meq/100 g, les valeurs s'établissant en général aux alentours de quatre). Ainsi, bien que l'aluminium puisse rendre compte de jusqu'à 80 pour cent du taux de saturation alcaline, les valeurs absolues d'aluminium échangeable ne sont pas très élevées. Ces sols ne peuvent donc être cultivés rentablement sans amélioration adéquate de leur fertilité.

Les ferralsols (oxisols) sont la principale classe de sols représentée dans les Cerrados (tableau 2) et sont les plus intensivement utilisés par l'agriculture. Au cours des cinq dernières années, des superficies considérables d'arénosols (inceptisols) ont été défrichées pour des usages agricoles. Les propriétés physiques et chimiques de ces sols, et d'autres représentés dans les Cerrados, sont décrites en détail par Madeira Neto, Macedo et Azevedo (1982).

TABLEAU 2

Principales classes de sols dans les Cerrados

 

Système de classification

Superficie

FAO

Brésil

Etats-Unis

km2

Pourcentage

Ferralsols

Latossolos

Oxisols

935 870

46,0

Arénosols

Areias quartzosas

Inceptisols

309 715

15,2

Acrisols/luvisols

Podzólicos

Ultisols/alfisols

307 677

15,1

Lithosols

Litólicos

Entisols

148 134

7,3

Luvisols/gleysols

Plintossolos

Oxisols/inceptisols

122 664

6,0

Cambisols

Cambissolos

Inceptisols

61 943

3,0

Acrisols

Concrecionários

Ultisols/oxisols

57 460

2,8

Gleysols

Gleis

Inceptisols

40 752

2,0

Nitosols

Terras roxas

Alfisols

34 231

1,7

Autres

Autres

Autres

19 154

0,9

Total

   

2 037 600

100,0

Source: Adamoli, Macedo et Madeira Neto, 1985.

Deux ferralsols représentent plus de 90 pour cent des sols appartenant à cette classe: le latosol rouge sombre, qui est un haplustox caractéristique, isohyperthermique et kaolinique fin (Grove, Ritchey et Naderman, 1980); et le latosol rouge-jaune, acrustox oxydique, kaolinique et isothermique caractéristique (Ritchey, Silva et Costa, 1982) selon le système de classification des Etats-Unis. Dans le premier, les couches plus profondes de sol contiennent de fortes quantités d'aluminium; dans le second, la teneur en Ca est très faible, et devient quasi nulle à mesure que l'on descend plus bas dans le profil. La saturation alcaline est faible. Les niveaux élevés d'aluminium et faibles de Ca font obstacle à l'enracinement profond de la plupart des espèces végétales cultivées.
Les caractéristiques physiques principales de ces sols leur confèrent une capacité naturelle de drainage modérée à élevée et une profondeur supérieure à 2 m, avec une différence très peu marquée entre les horizons A et B. La structure granulométrique des sols des Cerrados est excellente, et permet le travail mécanisé peu après de fortes pluies (Sanchez, 1976). La texture des sols varie entre des caractéristiques argileuses à très sablonneuses. Ces dernières dominent dans de grandes zones s'étendant dans le nord du Mato Grosso, l'ouest de Bahia, la rivière Tocantins et le sud du Piauí. Dans ces sols sableux, la capacité de rétention de l'humidité est encore moins bonne que dans les zones argileuses, le déficit hydrique subi par les cultures étant plus fort au cours des périodes de sécheresse. Les limons n'ont qu'une place mineure dans la plupart des sols des Cerrados.

Relief

Le relief des Cerrados est fonction de la structure lithologique de la zone. Les roches cristallines précambriennes pédiplanées se caractérisent par la prédominance des plateaux, des hautes terres et des bassins entre massifs, ponctués d'inselbergs; dans les zones sédimentaires mésozoïques, les reliefs tabulaires de dimensions variables et les pentes qui les entourent l'emportent. On rencontre des ferralsols, des lithosols (entisols) et des acrisols (ultisols) ainsi que des luvisols (alfisols) sur les vastes plateaux aplanis et sur les pentes, en séquences géomorphiques (figure 3). Les latosols rouge-jaune (ferralsols) dominent en général dans les zones planes. Leur couleur est grisâtre, typique de la réduction du fer sous l'effet d'une saturation hydrique prolongée au cours de la saison humide. Leur caractéristique chimique principale est une capacité d'échange cationique (CEC) faible, le profil inférieur étant pratiquement dépourvu d'éléments minéraux, et notamment de Ca. Les pentes sont en général occupées par des latosols rouge sombre saturés d'aluminium. Enfin, à proximité des cours d'eau, on trouve des sols alluviaux qui peuvent présenter des intensités variables de réduction de Fe et des concentrations diverses en matières organiques.

FIGURE 3
Profil géomorphique caractéristique des Cerrados

 

v8941f04.GIF (14222 bytes)

Source: Adamoli, Macedo et Madeira Neto, 1985.

De toute évidence, les zones planes sont moins exposées au ruissellement lors de pluies torrentielles et par conséquent sont moins sujettes à l'érosion lorsqu'elles sont mises en culture. Ce relief caractéristique a facilité l'expansion des systèmes agricoles pleinement mécanisés, produisant des cultures annuelles comme le soja et, plus récemment, le maïs.

Végétation

Même si le paysage des Cerrados ressemble à celui des savanes africaines, l'occurrence et la distribution de la flore varient considérablement, celle-ci consistant principalement en plantes à longue durée de vie, profondément enracinées, et en espèces éphémères dont les racines se concentrent dans les couches superficielles du sol, ainsi qu'en graminées pouvant appartenir à l'un ou l'autre de ces deux groupes, et se développant exclusivement au cours de la saison humide. On distingue un gradient de distribution des espèces végétales entre les herbages ouverts et les boisements denses (figure 4), qui est étroitement corrélée à la fertilité des sols (tableau 3).

FIGURE 4
Principaux types de végétation des Cerrados

v8941f05.GIF (38071 bytes)

 

TABLEAU 3

Relations entre les types de végétation indigène dans le centre du Brésil et les caractéristiques moyennes du sol superficiel

Caractéristiques du sol

Herbages

Herbages de base

Cerrado

Cerrado dense

Forêt

pH (H20)

4,87a1

4,94ab

5,00b

5,14b

5,28c

pH (KCl)

4,16a

4,25b

4,25b

4,32b

4,35b

pH

-0,71a

-0,69a

-0,76bc

-0,82cd

-0,93d

Matière organique

2,21a

2,33a

2,35a

2,32a

3,14b

Ca échangeable (meq/100 cc)

0,20a

0,33ab

0,45b

0,69c

1,50d

Mg échangeable (meq/100 cc)

0,06a

0,13a

0,21b

0,38c

0,55b

K extractible ² (meq/100 cc)

0,08a

0,10ab

0,11b

0,13b

0,17c

Al échangeable (meq/100 cc)

0,74a

0,63a

0,66a

0,61a

0,78a

CEC effect. (meq/100 cc)

1,08a

1,19a

1,43b

1,81c

3,00d

Saturation par Al

66,00a

58,00b

54,00b

44,00c

40,00c

P extractible ² (ppm)

0,5a

0,5a

0,9b

2,10c

1,4bc

Zn extractible ² (ppm)

0,58a

0, 61a

0,66b

0,67b

1,11c

Mn extractible ² (ppm)

5,4a

10, 3b

15,9c

22,90d

24,10c

Cu extractible ² (ppm)

0,60a

0,79ab

0,94b

1,32c

0,95bd

Fe extractible ² (ppm)

35,7a

33,9a

33,0a

27,10b

37,20c

Argile (%)

33,00a

36,00a

34,00a

32,00a

37, 00a

Limon (%)

20,00a

16,00b

15,00b

16,00b

16, 00b

Sable (%)

46,00a

48,00a

51,00a

53,00a

47, 00a

1Les moyennes pour chaque ligne, qui ne sont pas suivies de la même lettre, sont sensiblement différentes à un niveau de probabilité de 0,05.
²Extrait par 0,05 N HCl + 0,025N H2SO4.
Source: Lopes, 1974.

Les végétaux pérennes présentent une structure foliaire scléromorphique qui leur donne l'apparence caractéristique des végétaux xéromorphiques. Cette caractéristique répond à un impératif d'économie d'eau, et est une conséquence des concentrations toxiques d'aluminium, quoique les facteurs d'éclairement et de température aient joué un rôle dans le processus de sélection naturelle (Ferri, 1977). Les incendies spontanés dans la région ont aussi contribué à la sélection des espèces qui tolèrent mieux le feu que celles qui sont originaires de la forêt humide dense.
Les espèces végétales des Cerrados ont tendance à tolérer les fortes concentrations d'aluminium. Les tiges ligneuses, les feuilles coriaces au veinage apparent, les feuilles jaune verdâtre quand elles sont sèches et les fruits bleu pâle sont au nombre des caractéristiques des plantes réputées accumuler l'aluminium. Les familles botaniques rangées dans cette catégorie sont notamment les Vochysiaceae, les Melastomataceae et les Rubiacea (Ferri, 1977). D'autres espèces tolèrent l'aluminium par exclusion, et certaines échappent à ses effets nocifs en colonisant seulement la couche superficielle, plus riche en matière organique, du sol.
Une grille de classification des Cerrados a été établie sur la base de paramètres quantitatifs, à savoir: densité de la couverture végétale; hauteur et stratification; degré de déciduité; humidité du sol; et présence ou absence de pierres (EMBRAPA, 1982). Les types physiognomiques suivants ont ainsi été définis: boisements mésophytiques (taches boisées dispersées dans les Cerrados); forêts galeries (boisements le long des berges des cours d'eau); Cerrado dense («Cerradão»); Cerrado; herbage Cerrado; herbage de base; herbage; herbage en plaques («Vereda»); Cerrado rupestre; Cerrado de parc; et herbage sur buttes. La figure 4 illustre plusieurs des principaux types de végétation de Cerrado. Cette classification a permis de normaliser les données dans les études de la distribution et de la fréquence des espèces indigènes, ainsi que de planifier la mise en valeur des terres.
Des études de terrain ont été effectuées pour évaluer le potentiel économique des espèces végétales indigènes pour des usages médicinaux, ornementaux, ainsi que pour la production de bois, de fourrage et de denrées vivrières. Les populations locales considèrent que des espèces comme Andira humilis, Anemopaegma arvensis et Tabebuia caraiba ont des propriétés médicinales. Certaines espèces fruitières, dont plusieurs ont déjà été étudiées, et des espèces ligneuses, dont Astronium urundeuva, A. fraxinifolium et Copaifera langsdorfii, pourraient le cas échéant se révéler économiquement intéressants. Aeschynomene brasiliana, Arachis glabrata, Galactia glaucescens, Solanum lypocarpum, Stylosanthes spp., Echinolaena inflexa et Paspalum spp. sont quelques unes des espèces fourragères de parcours ou d'embouche actuellement soumises à évaluation. Au total, plus de 70 espèces végétales distribuées entre les familles des Anacardiaceae, Leguminosae, Annonaceae, Moraceae, Malpighiaceae, Vochysiaceae, Myrtaceae, Caryocaraceae, Araliaceae, Icacinaceae, Apocynaceae, Guttiferae, Tiliaceae, Sapindaceae, Sapotaceae, Solanaceae, Loganiaceae, Symplocaceae, Melastomataceae, Rubiaceae, Bignoniaceae et Palmae ont été décrites comme présentant un potentiel économique, sous réserve d'une étude plus poussée (EMBRAPA, 1980).

UTILISATION DES TERRES

Jusqu'à la première moitié du XXe siècle, la population du Brésil s'est concentrée dans les zones naturellement fertiles. On y cultivait des denrées de base, comme le maïs, le riz et les haricots (Phaseolus vulgaris) et des cultures de rente comme le caféier (Coffea arabica), la canne à sucre (Saccharum officinarum) et le cotonnier (Gossypium hirsutum). Avec le développement industriel, un grand nombre de migrants venus du nord-est aride se sont installés dans ces zones. La population et l'agriculture ont connu une expansion rapide, et très vite toutes les terres naturellement fertiles étaient utilisées.

La région des Cerrados n'était qu'une vaste friche inexploitée, utilisée seulement pour une agriculture de subsistance et l'élevage extensif de bovins. Les grands domaines étaient majoritaires dans la région, et les populations locales se cantonnaient dans de petits villages où elles pratiquaient une agriculture de subsistance dans les zones naturellement fertiles et le long des cours d'eau. Avant 1960, la population humaine de cette zone était très réduite, mais elle a depuis nettement progressé (tableau 4).

TABLEAU 4

Accroissement de la population dans les principaux Etats de la région des Cerrados

Etat

1960

1970

1980

1990

 

(en milliers)

Mato Grosso do Sul

-

-

1 370

1 797

Mato Grosso

889

1 597

1 138

1 727

Goiás

1 913

2 940

3 860

4 943

District fédéral

140

537

1 180

1 864

Minas Gerais

9 960

11 645

13 635

15 831

Total, Brésil

70 070

93 139

119 000

150 368

Source: Données 1991 de l'IBGE.

Dans les années 60, la culture du riz pluvial et l'établissement de pâturages artificiels ont commencé à se développer dans les Cerrados. Il s'agissait de deux cultures à faible apport d'intrants, et l'on disposait alors de variétés comportant des gènes autorisant une tolérance d'aluminium (Fageria, Baligar et Wright, 1989). Les variétés tolérant l'aluminium se sont révélées être moins sensibles aux périodes de sécheresse, car elles ont un enracinement plus profond. Cette tolérance à des conditions pédologiques contraires s'est probablement développée dans les variétés locales sous l'effet d'une sélection indirecte. Au début des années 60, le soja, culture de rente florissante dans le sud, n'avait été introduit que sur 10 000 ha dans les Cerrados. Pour que cette culture réussisse véritablement dans la région, il faudrait attendre les contributions des généticiens et des sélectionneurs (Spehar, Monteiro et Zuffo, 1992).
Les pionniers ont pu acheter de vastes superficies dans les Cerrados en raison du bas prix des terres. Les tentatives de mise en culture de vastes superficies ont donné lieu à des pratiques agricoles contestables, qui seront examinées plus loin. Les agriculteurs pionniers se sont heurtés à des problèmes dus au manque d'installations d'entreposage, et à l'absence quasi totale d'infrastructures de transport. Les plus grandes exploitations ont organisé leurs propres entrepôts, tandis que les petites ont fait appel à des associations coopératives. De nombreuses coopératives ont mené à bien leur tâche et permis de réduire le coût des intrants, dont le fret était la composante essentielle.
Le processus de développement a été stimulé par des crédits à faible taux d'intérêt et des prix plus élevés des produits, par rapport à la situation d'aujourd'hui. Ainsi, la combinaison de prix fonciers bas, d'un crédit subventionné incitant à la mise en valeur et de prix alléchants ont tous contribué à la mise en valeur agricole des Cerrados du Brésil.
Comme les agriculteurs pionniers installés dans les Cerrados venaient principalement du sud, ils connaissaient par tradition les exigences en nutriments de cultures telles le soja et le maïs. D'autres connaissaient bien la conduite de troupeaux de bovins sur des pâturages naturellement riches en nutriments. Des variétés de soja ont été alors transférées du sud du Brésil jusqu'à 20° de latitude sud, et se sont adaptées avec succès sans que soient modifiées les techniques de conduite des cultures. La superficie ensemencée en soja s'est rapidement développée à cette latitude, principalement aux dépens du riz de plateau (Fontoura, 1981), mais le soja n'était pas rentable dans les zones équatoriales, plus au nord, où un système limité à la riziculture et aux pâturages continuait de l'emporter. Les variétés de soja disponibles manquaient de hauteur pour permettre la récolte mécanisée, et présentaient des rendements inférieurs à ceux des latitudes plus basses.

Adapter le soja aux Cerrados

Le soja est actuellement considéré comme un des piliers des systèmes agricoles modernes des Cerrados en raison de son rôle économique de culture pionnière et de sa capacité de fixation de l'azote. La fertilité améliorée des sols après culture du soja favorise d'autres cultures exigeantes en nutriments, comme le maïs, dont la production s'est accrue récemment. L'un des facteurs importants ayant contribué à l'expansion de la culture du soja dans les Cerrados a été la création de l'Organisation brésilienne du développement agricole (EMBRAPA). Les centres de recherche de l'EMBRAPA ont été organisés autour des produits ou des ressources naturelles. L'équipe de chercheurs qui travaille au Centre national de recherche pour les Cerrados (CPAC) a concentré ses efforts sur la résolution du problème posé par les systèmes à la fois restreints et vulnérables de production dans les Cerrados. En collaboration avec les chercheurs du Centre national de recherche sur le soja (CNPS) de l'EMBRAPA, des programmes de sélection ont été organisés pour répondre aux besoins particuliers de l'adaptation du soja à la région. Les croisements entre des types à maturation tardive et des variétés nord-américaines adaptées aux conditions du sud du Brésil ont servi de germoplasme de base. La plupart de ces croisements ont été effectués au CNPS, et les populations obtenues ont été distribuées dans les stations régionales, pour sélection de lignées présentant les caractères agronomiques souhaités. Des programmes locaux ont permis aussi d'introduire du germoplasme et de réaliser des hybridations.

Le soja est originaire de Mandchourie (Chine) et s'est diffusé dans d'autres régions de l'Asie. La Mandchourie, située dans la zone tempérée, aux alentours de 40° de latitude nord, se caractérise par des hivers froids et de longues journées en été. Comme la floraison du soja est retardée par la longueur de la période d'éclairement et accélérée par des jours plus courts, les différences de durée d'éclairement régulent de façon efficace la floraison et la venue à maturité aux latitudes tempérées. Toutefois, les variations saisonnières de la durée du jour diminuent avec la latitude, ce qui a pour effet que la durée du jour dans les zones tropicales des Cerrados varie peu, et ne dépasse jamais 14 heures. Avec des journées aussi courtes, l'intégralité du germoplasme d'origine septentrionale fleurit et vient à maturité précocement, ce qui donne des plantes de petite stature, à bas rendement, quoique l'on constate une certaine variabilité génétique permettant un développement tardif (Miyasaka et al., 1970). Les travaux de sélec-tion visant à élaborer des variétés de soja mieux adap-tées aux Cerrados ont commencé dans les années 70.
Les croisements effectués dans le sud des Etats-Unis entre les variétés adaptées aux zones tempérées et des sources génétiques de développement tardif, par exemple avec l'introduction de PI 240664 des Philippines (Hinson, 1989; Kiihl et Garcia, 1989) ont fourni un matériel génétique initial. Outre son caractère tardif, la lignée PI 240664 contient des gènes de juvénilité qui étendent le stade de préfloraison même lorsque la lignée est conduite dans des conditions de photopériode normalement inductives (Summerfield, Shanmugasundaram et Roberts, 1985). Des croisements ont aussi été réalisés à l'Institut de recherche agricole des Campinas (IAC) au Brésil, à partir des mêmes sources de germoplasme. Le matériel génétique a ensuite été sélectionné par les chercheurs de l'EMBRAPA, après la création de cette institution. Les lignées nouvellement sélectionnées présentaient l'avantage d'une floraison tardive, mais leur rendement était faible, et elles étaient sujettes à la verse et à l'égrenage prématuré. Les variétés Jupiter (Hinson, 1972) et IAC-2, produites par les programmes américains et brésiliens, respectivement, ont été les premières obtentions présentant des attributs agronomiques satisfaisants, y compris une hauteur adéquate permettant la récolte et le battage combinés sous les tropiques. Les cycles ultérieurs de sélection ont porté sur la résistance aux maladies et l'accroissement du rendement en grains.
Plusieurs autres facteurs ont contribué au succès des programmes de sélection. L'intégration des efforts s'est traduite par la mise en place d'un réseau d'expériences de terrain. Grâce à ce réseau, la tolérance à des taux élevés d'aluminium et à une faible concentration en Ca a été incorporée dans le germoplasme nouvellement obtenu (Spehar, 1989). De nouvelles techniques de laboratoire ont été élaborées pour améliorer encore la tolérance à l'aluminium en vue de plus hauts rendements et d'une meilleure stabilité de ceux-ci (Spehar, Monteiro et Zuffo, 1992). Par ailleurs, l'absence de gelées dans la région a permis de produire deux générations par an, ce qui a accéléré la mise au point de variétés.
Le CPAC et le CNPS coopèrent depuis 1976 en vue de faciliter deux cycles de sélection par an - l'un durant la saison pluvieuse (journées longues), l'autre durant la saison sèche (journées courtes).
La variété Doko est issue de cette procédure de sélection. Elle a été obtenue à partir d'une population résultant de croisements multiples, et comportant des sources de tardiveté, d'insensibilité à la photopériode, et du germoplasme américain. Le Doko présente une bonne stature et un rendement satisfaisant pour les semis tant d'été que d'hiver, en raison de la longueur de son stade juvénile. Cette variété a été mise à la disposition des agriculteurs deux ans après son obtention, et a marqué une étape décisive pour l'établissement d'une agriculture moderne dans les Cerrados. Sa tolérance à la médiocre fertilité des sols a permis de développer les superficies consacrées au soja. En tant que culture légumineuse, elle améliore la teneur du sol en N, assure des rendements stables, et permet aux agriculteurs de créer du capital, contrairement au riz de plateau. Par la suite, des organismes étatiques et fédéraux, ainsi que des sociétés du secteur privé, ont élaboré des variétés supplémentaires de soja. Celles-ci ont été obtenues par sélection massale et par des méthodes de modification du pedigree. Nombre d'entre elles - par exemple Cristalina - sont plus exigeantes en nutriments, et ont pu être cultivées avec succès grâce aux améliorations du sol résultant de la culture antérieure d'autres variétés rustiques de soja. La diversification des systèmes culturaux, faisant intervenir le maïs par exemple, est ainsi devenue possible.
En l'espace de 20 ans, la production de soja dans les Cerrados est passée d'un volume quasi insignifiant à près de 45 pour cent de la production nationale totale (tableau 5). Durant bien des années, les rendements à l'hectare du soja dans les Cerrados ont dépassé ceux obtenus dans la zone tempérée du Brésil.

TABLEAU 5

Contribution des Cerrados à la production brésilienne de soja

Année

Production

Part des Cerrados

Rendement

 

Brésil

Cerrados

Superficie

Production

Brésil

Cerrados

 

(milliers de tonnes)

(pourcentage)

(kg/ha)

1975

9 893

223

3

2

1 690

1 304

1980

15 127

1 573

11

10

1 728

1 717

1985

15 540

4 161

26

27

1 650

1 693

1989

23 049

10 311

42

45

1 894

2 026

1990

19 988

6 802

38

34

1 732

1 553

Source: Données 1991 de l'IBGE.

Les programmes de sélection se sont développés pour inclure des variétés aux caractéristiques diverses, de maturation et autres, à savoir qualité des semences, efficacité de l'utilisation des nutriments, et résistance aux maladies et aux insectes (Spehar, Monteiro et Zuffo, 1992). Les contributions de la recherche sur le développement variétal peuvent être évaluées en comparant les résultats des variétés nouvelles et anciennes (Crocomo et Spehar, 1981). Les nouvelles variétés peuvent avoir des rendements supérieurs d'au moins 400 kg/ha à ceux des variétés anciennes. Cet avantage représente un gain de 1,7 million de tonnes, et injecte 350 millions de dollars par an dans l'économie nationale. Si d'autres caractéristiques agronomiques, comme la stature de la plante et la hauteur de la première gousse, sont prises en compte, les contributions des nouvelles variétés sont encore plus grandes. Par ailleurs, des souches nouvelles, plus efficaces, de Bradyrhizobium japonicum ont permis d'éliminer complètement les besoins de fumure azotée du soja (Peres, Vargas et Suhet, 1984), avec des effets bénéfiques pour les cultures consécutives, et une incidence positive sur les rendements ne pouvant être dépassée que par l'adoption de nouvelles variétés.
On prévoit que des gènes spécifiques apportant une résistance aux ravageurs et aux herbicides, et une tolérance aux environnements hostiles pourront prochainement, par des moyens biotechnologiques, être transférés afin d'améliorer encore la stabilité des rendements et de réduire les coûts de production. Les qualités culinaires pourront aussi être améliorées par les mêmes méthodes, ce qui donnera un produit présentant plus d'intérêt du point de vue de la consommation humaine directe et de la production par les petits agriculteurs.

Adapter d'autres cultures aux Cerrados

L'adaptation du soja à la région des Cerrados a été suivie par d'autres entreprises visant à adapter d'autres espèces végétales aux systèmes agricoles économiques de la région. Certaines cultures, comme le maïs et le haricot, étaient originaires de cette région du monde. D'autres, comme le blé et le riz, y étaient exotiques. La superficie cultivée, la production et les rendements moyens en riz, haricots, maïs, soja et blé en 1990 sont indiqués au tableau 6. Les travaux de recherche ont permis d'adapter les cultures pérennes exotiques de café, d'agrumes (Citrus spp. et hybrides), de mangues (Mangifera indica), d'avocatiers (Persea americana), de Pinus spp. et d'Eucalyptus spp. Plus récemment, l'hévéa (Hevea brasiliensis), indigène dans la région amazonienne, a été introduit avec succès dans les Cerrados. Dans tous les cas, ces introductions sont le fruit du travail interactif des chercheurs du système coopératif pour résoudre les problèmes très complexes qui limitent l'adaptation de ces cultures aux Cerrados.

TABLEAU 6

Superficie cultivée, production et rendements moyens des principales cultures annuelles dans les Cerrados, 1990

Culture

Superficie

Production

Rendement moyen

 

Brésil

Cerrados

Brésil

Cerrados

Brésil

Cerrados

 

(milliers d'ha)

(milliers de tonnes)

(kg/ha)

Riz

3 945

1 640

7 419

1 550

1 881

945

Haricots

4 678

802

2 230

432

477

538

Maïs

11 391

2 730

21 341

4 500

1 874

1 648

Soja

11 481

4 381

19 988

6 802

1 732

1 553

Blé

2 681

157

3 093

184

1 154

1 175

Total

34 176

9 710

53 971

13 469

-

-

Source: Données EMBRAPA/CPAC.

Caféier. A peu près un milliard de plants de caféier sont cultivés sur environ un million d'hectares dans les Cerrados. Ces plantations sont principalement concentrées dans l'Etat de Minas Gerais (MG à la figure 1), et comptent pour 32 pour cent de la superficie cultivée, et 40 pour cent de la production totale de café au Brésil. Ces chiffres incluent les plantations établies au cours des trois dernières années. Comme la culture du caféier exige un travail manuel considérable, 200 000 familles ont été installées dans la zone pour assurer la main-d'_uvre nécessaire. Les variétés utilisées jusqu'ici sont celles qui ont été sélectionnées pour les régions sud et sud-est du pays (Carvalho, 1983). Des facteurs importants comme la quasi-absence de gelées et le bas prix des terres ont attiré les planteurs de café des régions traditionnelles de production du Brésil vers les Cerrados.

Le caféier pousse bien dans les Cerrados, et la tendance actuelle est à la poursuite de l'expansion de cette production dans la région. Avec cette expansion, il faut s'attendre à une recrudescence de maladies comme celles causées par Cercospora spp., Phoma spp. et Colletotrichum spp. Les ravageurs classiques des zones de caféiculture traditionnelles, comme Perileucoptera cofeela, pourraient aussi se multiplier et endommager les plantations des Cerrados. Les rendements ont varié entre 360 et 1 440 kg/ha au cours des 10 dernières années. La résistance aux maladies pourrait favoriser des rendements plus hauts, et plus stables. De nouvelles lignées sélectionnées, résistantes à la rouille du caféier, ont donné de bons résultats, avec des rendements compris entre 2 700 et 3 300 kg/ha, soit un gain d'environ 50 pour cent par rapport aux variétés classiques à haut rendement (Sampaio, 1991).
Outre la menace de maladies, des problèmes de fertilité des sols conduisant à des déséquilibres nutritionnels en minéraux accentuant les effets de la saison sèche prolongée sont à craindre. Ces effets peuvent être atténués par une irrigation de complément et des applications de gypse. Pour améliorer la qualité du produit final, il faudra recueillir des informations supplémentaires sur les pratiques de récolte et le traitement du café après-récolte.

Maïs. Le maïs est indigène des Amériques, et entre dans l'alimentation des populations indigènes du Brésil depuis l'époque précolombienne. Toutefois, la production de maïs dans les Cerrados ne s'est accrue que récemment, passant de 17 pour cent - en majeure partie dans les régions naturellement fertiles - à environ un tiers de la production nationale. Le maïs est cultivé en assolement avec le soja, et donne des rendements comparables à ceux des zones de culture traditionnelle. Dans les zones où la saison des pluies est plus longue, le maïs est cultivé en double campagne, après le soja.

Le maïs, comme le soja, est devenu une culture de rente complètement mécanisée dans les Cerrados. Pourtant une culture de subsistance continue de survivre dans certaines zones, ce qui abaisse la moyenne des rendements des Cerrados au-dessous de la valeur nationale (tableau 6). Font exception aux rendements faibles dans les conditions naturelles les cultures localisées pratiquées sur des sols très fertiles dans les Etats de Minas Gerais et de Goiás, où une culture mécanisée extensive était déjà pratiquée avant l'expansion rapide intervenue dans les années 80.
La principale extension de la superficie ensemencée en maïs est imputable aux agriculteurs qui disposaient de l'infrastructure voulue pour la production de soja. Les facteurs limitant cette expansion dérivent du fait qu'il faut 60 à 120 kg/ha de N et adopter des précautions d'entreposage supplémentaires, le maïs étant plus vulnérable que le soja aux attaques d'insectes. Bien que ces facteurs accroissent les coûts de production, on constate actuellement un déplacement de la tendance du soja au profit du maïs, en raison des prix plus alléchants et de l'aptitude au haut rendement des nouveaux hybrides et des variétés récentes (EMBRAPA, 1992). Les hybrides ont été mis au point par des organismes privés et publics, et sont utilisés principalement sur les grandes exploitations. Des variétés à pollinisation ouverte sont utilisées sur les petites exploitations, où le fait de réserver une fraction des semences pour les semis suivants présente des avantages économiques importants. En outre, ces variétés sont plus stables, quoique moins productives que les hybrides sur les sols bien fumés. Le maïs permet aux agriculteurs de diversifier leurs sources de revenu, et diminue les risques que présente la monoculture du soja.

Riz. Le riz est une production végétale pionnière mineure utilisée en association avec d'autres cultures dans les Cerrados. Une pratique ancienne consistait à créer des pâturages en semant du riz et des graminées ensemble. Une fois le riz récolté, les graminées fourragères pouvaient coloniser la zone. Les variétés anciennes sélectionnées par l'Institut de recherche agronomique de Campinas (IAC) présentaient une certaine tolérance à l'aluminium; toutefois, la faible fertilité du sol, la conduite médiocre des cultures, la pyriculariose causée par Pyricularia oryzae et des périodes fréquentes de sécheresse se sont traduites par des rendements bas. De nouvelles variétés à haut rendement et résistantes aux maladies, ainsi que des nouvelles technologies ont été mises au point pour permettre aux agriculteurs d'obtenir des rendements plus hauts et plus stables.

Le riz est l'une des principales cultures de base, et fait l'objet d'une demande qui se développera avec l'accroissement de la population. Pourtant, la superficie rizicole des Cerrados, qui comptait autrefois pour 25 pour cent de la production nationale, a diminué en raison de l'expansion des semis de soja et de maïs. La culture du riz pourrait, à l'avenir, se développer sur les terres irrigables.

Haricots. Au deuxième rang des cultures vivrières après le riz, cette légumineuse était déjà cultivée dans les Cerrados selon des méthodes de subsistance avec de très bas rendements. La majeure partie de la production se faisait sur des sols naturellement fertiles à proximité des centres de population, dans les Etats de Minas Gerais et de Goiás, où la demande de haricots secs était élevée. En contraste marqué avec les bas rendements obtenus par les agriculteurs de subsistance, il existe des pratiques modernes de production de haricots secs reposant sur l'irrigation par aspersion rotative. En 1992, des rendements records de 4 000 kg/ha ont été obtenus. Ce rendement est très supérieur à la moyenne nationale de 700 kg/ha (J.A. Azevedo, EMBRAPA-CPAC, communication personnelle).

L'élaboration de variétés nouvelles à haut rendement et résistantes aux maladies, la lutte contre des maladies et des ravageurs spécifiques, et les techniques appropriées de fumure et de conduite des cultures comptent parmi les facteurs qui ont permis d'accroître la production de haricots dans les Cerrados. Cette région représente actuellement environ 25 pour cent de la récolte nationale.

Céréales secondaires. Le blé et l'orge de brasserie (Hordeum vulgare) sont cultivés principalement dans les Cerrados du sud du Mato Grosso en double culture après le soja. Ces cultures se pratiquent aussi, à moindre échelle, sur les plateaux du Minas Gerais. La région ne produit que 10 pour cent de la récolte nationale de blé, et il semble peu probable que l'on puisse développer encore cette culture pluviale. Toutefois, on a tendance actuellement à cultiver le blé sous irrigation rotative, en général en seconde campagne après le soja. Ce système a un coût énergétique élevé, mais permet de rendre le Brésil autosuffisant en blé.

Les efforts de la recherche se sont concentrés sur la sélection de nouvelles lignées présentant une tolérance à l'aluminium, une résistance à la rouille des tiges et des feuilles, et des rendements supérieurs aux 1 000 à 1 500 kg/ha obtenus normalement à la saison des pluies. Pour les cultures irriguées, de nouvelles lignées dérivées de variétés mexicaines à haute productivité ont été sélectionnées, et sont distribuées aux agriculteurs (Andrade et al., 1991). L'identification d'environnements appropriés nouveaux pour la double campagne, la sélection de lignées de blé résistantes aux moisissures Bipolaris sorokiniana et Erysiphe blumeria f.sp. tritici ainsi qu'aux maladies bactériennes, la sélection de lignées d'orge à haut rendement et à faible teneur protéique, ainsi que l'amélioration des techniques d'ensemble de conduite des cultures pourraient permettre d'accroître la production de céréales secondaires dans les Cerrados. Le remplacement du diésel par l'énergie hydroélectrique permettrait aussi de réduire les coûts du pompage de l'eau d'irrigation, et accroître la faisabilité économique de la production de céréales secondaires sous irrigation par aspersion rotative.

Manioc. Le manioc (Manihot esculenta) est cultivé sur deux millions d'hectares au Brésil, mais les Cerrados ne comptent guère que pour 8 pour cent de la superficie totale et de la production nationale. Le manioc est la culture la plus productive selon les critères énergétiques, de superficie et de temps, mais il n'est en général cultivé qu'à petite échelle en raison d'une demande locale limitée, et de l'impératif de le transformer rapidement après la récolte. Pourtant, il demande peu de fumure, et l'incidence des maladies et des ravageurs est faible. La bactérie Xanthomonas manihotis est la cause de la principale maladie qui touche le manioc dans les Cerrados, mais toutes les variétés actuellement cultivées dans la région y sont résistantes. Elles ont été obtenues à l'issue d'un programme conjoint conduit par des équipes de chercheurs du CPAC et de l'Université de Brasilia.

Le manioc est bien adapté aux Cerrados, il présente moins de risques que les cultures céréalières et offre une bonne souplesse dans le choix de la période de récolte. L'avenir du manioc dépend de la sélection de cultivars à haut rendement, résistant à Xanthomonas manihotis, aux chenilles (Erinnyis ello), aux araignées, aux punaises (Vatiga spp.), tolérants à l'aluminium et offrant une bonne extraction de nutriments sur des sols médiocres. Des études sont en cours en vue d'accroître l'utilisation du manioc pour l'alimentation humaine et animale, et ce, afin de stimuler la demande. Il faudrait, par ailleurs, améliorer la conservation des qualités du produit après-récolte. Le mécanisme de production de semences doit être amélioré pour encourager l'adoption rapide de nouvelles variétés par les agriculteurs.

Arboriculture - fruits et noix. Les conditions climatiques des Cerrados sont exceptionnellement favorables aux cultures de fruits et de noix exotiques qui, pourtant, n'occupent que 12 pour cent de la superficie cultivée, le bananier (Musa spp. et hybrides) occupant la plus grande superficie, suivi par l'anacardier (Anacardium occidentale) et les cultures d'agrumes. Des surfaces moindres d'ananas (Ananas comosus), de manguiers, d'avocatiers et d'espèces fruitières de la zone tempérée sont exploitées là où la température n'est pas un facteur limitant. Il existe aussi des fruits indigènes qui offrent un potentiel de culture économique, comme Eugenia spp. et Hancornia speciosa («mangaba») des familles des Myrtaceae et Apocynaceae, respectivement. Leurs jus se prêtent à la fabrication de glaces, en raison de leur saveur exquise. Des espèces indigènes de plusieurs autres familles sont actuellement étudiées en vue de leur culture économique (Silva et al., 1992). Elles peuvent être utilisées pour la production de jus, de crèmes glacées, de conserves, d'huile ou de noix.

La principale tâche, pour ce qui est de l'adaptation de cultures fruitières aux Cerrados, est de sélectionner des espèces et des variétés présentant un haut rendement et une résistance aux ravageurs et aux maladies. Les introductions d'agrumes, d'avocatiers, de manguiers, d'annones (Annona muricata), de fruits de la passion (Passiflora spp.), d'acerola (Malpighia glabra) et autres fruits indigènes pourraient contribuer à développer la production fruitière de la région. Des recherches sont en cours pour résoudre les problèmes de déséquilibre des nutriments, ayant principalement trait à P, K, Mg, Zn, manganèse (Mn) et cuivre (Cu), pour les espèces exotiques. Une irrigation de complément alliée à des applications de gypse permet d'atténuer efficacement les effets des longues périodes sèches, et peut se traduire par un enracinement plus profond propice à la croissance et à la stabilité des rendements (Genú, Pinto et Ferreira, 1991). Les variétés de mangues communément cultivées sont productives, mais leurs fruits sont fibreux et sujets aux maladies. Quelques rares variétés adaptées donnent de plus hauts rendements de fruits de bonne qualité. La variété américaine bien connue Haden donne des fruits de haute qualité, mais son rendement est faible. Des hybrides sélectionnés localement offrent à la fois une haute qualité et de bons rendements, ce qui pourrait permettre d'accroître la production de mangues (Ramos et al., 1991). Pour tous les arbres fruitiers et à noix que l'on peut envisager, il est nécessaire de trouver des fournisseurs fiables en plants de haute qualité pour la création de vergers.

Foresterie. Jusque vers le milieu des années 60, une production de bois allant de 30 à 130 m³/ha était obtenue en exploitant la végétation naturelle. Le bois était exploité pour les usages domestiques et pour approvisionner les aciéries en charbon de bois. Toutefois, la végétation indigène était incapable d'assurer les volumes nécessaires à l'accroissement de la demande de charbon de bois, de cellulose et de bois. Ainsi, vers la fin des années 60, le Gouvernement brésilien a offert des incitations pour des opérations d'afforestation dans les Cerrados. Des espèces exotiques comme Eucalyptus spp. ont été introduites après avoir été cultivées dans d'autres régions du pays. Les résultats des recherches montrent que ces espèces produisent plus de bois que les espèces ligneuses indigènes. Pour choisir les espèces les plus efficaces en fonction des diverses conditions édaphoclimatiques, des études ont été menées sur diverses espèces originaires d'Australie, d'Indonésie, de Papouasie-Nouvelle-Guinée et des Philippines. Pinus spp. a aussi été introduit avec succès, mais exige un délai plus long avant la récolte qu'Eucalyptus spp. Ces espèces exotiques sont maintenant cultivées sur de vastes superficies, avec un rendement annuel en bois allant de 15 à 75 m3/ha. En général, les provenances retenues viennent de régions aux conditions de sol et de climat analogues à celles que l'on trouve en Australie pour Eucalyptus spp., et aux Caraïbes et en Amérique centrale pour Pinus spp. Le succès de ces espèces exotiques sur les sols pauvres des Cerrados est imputable à leur association avec des champignons ectomycorrhizaux qui infectent les racines et accroissent efficacement la surface d'absorption des éléments minéraux et de l'eau.

Des espèces légumineuses, tant indigènes qu'exotiques, ont aussi été évaluées en vue de la production de bois et de l'amélioration de la fertilité des sols, par fixation de l'azote. Les espèces exotiques ont en général donné de meilleurs résultats que les espèces indigènes. Des études plus poussées sont effectuées au CPAC (Guimarães, 1991). Pour développer la production de bois, il est encore nécessaire de sélectionner des sujets individuels parmi les provenances les mieux adaptées afin de constituer une base pour les programmes de sélection et de production de semences de haute qualité (Moura, 1991).

Il a été nécessaire d'offrir aux agriculteurs des incitations afin qu'ils adoptent une approche agroforestière. Des tentatives ont été faites pour combiner l'élevage bovin et la production de bois. Des études supplémentaires sont effectuées pour identifier les espèces ligneuses pérennes susceptibles de contribuer à l'une ou l'autre des activités agricoles ci-après: production d'engrais vert; lutte contre l'érosion; produits d'affouragement du bétail; miel; fruits et bois; enfin, brise-vent.

Cultures envisageables. On évalue actuellement le potentiel offert par d'autres espèces en vue de diversifier encore les systèmes de production dans la zone. Bien que plusieurs solutions soient susceptibles d'accroître les profits des agriculteurs et de diminuer les risques qu'ils encourent, les efforts de recherche se sont concentrés sur l'hévéa, le coton et le ricin (Ricinus communis), le sésame (Sesamum indicum) le rocouyer (Bixa orellana), le quinoa (Chenopodium quinoa), le pois-chiche; (Cicer arietinum) et le guar (Cyamopsis tetragonolobus).

La culture de l'hévéa s'est rapidement développée dans les Cerrados de L'Etat du Mato Grosso. Cette zone est favorisée par l'absence d'une maladie des feuilles causée par Dothidella ulei, qui est commune dans la région amazonienne où les conditions d'humidité sont favorables à son développement. La production de coton s'est elle aussi développée, en association avec le soja. Précédemment, le coton faisait l'objet d'une culture extensive sur les sols d'origine basaltique de L'Etat de Goiás. La tendance récente est à la culture du coton sous irrigation, mais des études supplémentaires seront nécessaires avant que cette production ne s'intègre pleinement dans les systèmes agricoles des Cerrados. Une culture andine, le quinoa, semble présenter un bon potentiel dans les systèmes culturaux des Cerrados (Spehar et Souza, 1993). Les grains de cette pseudocéréale contiennent des protéines de haute qualité, et pourraient devenir une ressource importante pour l'alimentation humaine et animale (volaille et porcs).

Cultures fourragères et élevage bovin. Depuis sa colonisation, voici plus de 200 ans, la région des Cerrados était traditionnellement consacrée à la production de viande bovine. Les domaines d'élevage étaient de grande taille, car les herbages indigènes ne pouvaient supporter qu'une charge d'une tête de bétail pour 5 ha. La pratique courante de conduite des herbages consistait à brûler l'herbe une année sur deux pour en améliorer la qualité. Avec l'expansion de l'agriculture moderne, on s'est dirigé vers l'amélioration des herbages, pour en renforcer la capacité de charge. De ce fait la région possède environ 45 pour cent du cheptel national. Cela a été rendu possible par les progrès faits dans l'adaptation d'espèces fourragères, dans la sélection animale et les pratiques zootechniques.

L'espèce fourragère de base appartient au genre Brachiaria. Elle est sujette aux infestations de pucerons et le fourrage est de médiocre qualité à la saison sèche. Sa consommation conduit à des déséquilibres nutritionnels chez le animaux, entraînant une perte d'appétit et de poids, des avortements chez les vaches et des pertes de veaux et d'adultes dans les cas de malnutrition avancés. Pour remédier à la pénurie de fourrage de bonne qualité, de nouvelles espèces de graminées exotiques ont été introduites. Andropogon gayanus, Panicum maximum et Paspalum spp. semblent offrir des solutions prometteuses; les deux premières proviennent d'Afrique, tandis que la dernière est originaire des Cerrados et de la frange entre les Cerrados proprement dits et le Pantanal. Parmi les légumineuses, des variétés de l'espèce indigène Stylosanthes guianensis ont manifesté de bonnes aptitudes à l'amélioration de la qualité des pâturages. Arachis spp. pourrait aussi donner de bon-nes légumineuses fourragères, et provient probable-ment de la frange nord-est des Cerrados, à proximité de la forêt humide dense atlantique. Des études sur les besoins en éléments minéraux pour une bonne production fourragère ont été effectuées à partir d'espèces fourragères nouvellement sélectionnées (Vilela et al., 1991).
Des recherches ont également été effectuées sur la persistance des pâturages alliant graminées et céréales, et sur l'utilisation de légumineuses monospécifiques en tant que sources de protéines. D'autres études de la conduite des pâturages portent sur le choix des graminées à utiliser et sur la période à laquelle déplacer les bêtes, afin que la qualité du fourrage disponible soit élevée en fin de saison sèche. L'un des principaux problèmes posés par la conduite des pâturages tient à la baisse de la qualité des protéines en fin de saison sèche. Des techniques ont été mises au point pour compléter l'alimentation animale au moyen de mélanges minéraux. Leurs résultats indiquent qu'il est ainsi possible d'éviter les pertes de poids et les décès résultant de la malnutrition à la saison sèche (Lopes et Pereira, 1992).

MISE EN VALEUR DES TERRES

La colonisation moderne des espaces vierges des Cerrados a commencé avec une mise en valeur consistant à défricher des terres, ce défrichage se faisant sous contrat par des entreprises tant privées que publiques. Plusieurs méthodes ont permis de supprimer relativement facilement la végétation naturelle. La principale est la méthode avec chaînes et boulets. Une lourde chaîne d'acier (jusqu'à 60 kg/m) est attachée à chaque extrémité à de puissants engins à chenilles ou à des bouteurs. La chaîne forme un arc prononcé derrière et entre les chenillettes. Les véhicules avancent parallèlement, à vitesse constante, et la végétation est éliminée par la chaîne. Afin de soulever la chaîne pour avoir un meilleur effet de levier, celle-ci est fixée, en son milieu, à un boulet d'acier de grand diamètre (Hudson, 1975). L'opération peut être répétée deux fois quand la végétation est dense - dans un sens puis dans l'autre -, pour faire en sorte que tous les buissons soient brisés. Une autre méthode consiste à utiliser un bulldozer, la lame avant étant soulevée pour pousser et faire tomber les buissons. Dans les deux cas, les fractions aériennes de la végétation naturelle sont enlevées, mais des sections de racines demeurent dans le sol. Les fractions ligneuses détachées sont amassées en lignes pour former des brise-vent, et certains agriculteurs brûlent les débris; d'autres ajoutent la production de charbon de bois aux contrats de défrichage. Cela permet de réduire le coût de la mise en valeur des terres dans les zones proches des grands marchés du charbon de bois. Une fois défrichée, la terre est prête à être labourée.

Les chercheurs recommandent que les applications de chaux soient faites en deux fois, en vue d'une répartition plus uniforme dans le sol - une première moitié appliquée avant le passage de la charrue à disques, l'autre avant le passage du pulvériseur à disques. En pratique, les agriculteurs appliquent toute la chaux en une seule fois, et l'incorporent avec la charrue à disques car ils ne disposent que d'un parc limité de machines. Toutefois cela se traduit par une distribution irrégulière de la chaux, par des champs non uniformes, et par des rendements faibles à la première récolte.
Les racines peuvent être rassemblées entre ces opérations et tout au long des premières campagnes. Cela exige une main-d'_uvre supplémentaire, quoique des outils spéciaux puissent être utilisés, comme des râteleuses tractées. La préparation classique pour les semis consiste en un labourage à la charrue à disques ou un passage du pulvériseur à disques et le nivellement du sol. Cette opération est commode au plan économique pour les agriculteurs, quoique elle ait été la cause de problèmes graves de compactage des sols. Faute d'un outillage mécanisé adéquat, les pratiques de travail du sol sont parfois médiocres, comme nous le verrons dans la section suivante.
En général, les sols des Cerrados sont bien drainés et tolèrent un travail mécanisé dans un délai relativement bref après les pluies. Toutefois la mécanisation agricole représente une fraction importante des apports dans les systèmes culturaux. Environ 30 pour cent des coûts de production des haricots, du maïs et du soja sont imputables à l'utilisation de machines (Folle et al., 1992).
La recherche fait apparaître que ces coûts pourraient être réduits si l'on connaissait mieux la puissance, la capacité de traction, la consommation de carburant et la vitesse des tracteurs nécessaires pour effectuer les diverses pratiques culturales, avec les différents outils et en fonction des différents types de sol. Les données relatives aux opérations de terrain ont contribué à analyser les performances des tracteurs. Les résultats préliminaires montrent que la puissance nécessaire pour tracter une charrue à disques diminuait de jusqu'à 18 pour cent lorsque l'humidité du sol augmentait de 7 pour cent. Ainsi, la combinaison appropriée du taux d'humidité du sol, des caractéristiques des tracteurs et de leur outillage permet de réduire les coûts.

GESTION ET CONSERVATION DES SOLS

La connaissance des diverses propriétés des sols permet de mieux comprendre les principes appropriés de gestion et de conservation de ceux-ci. La fraction argileuse est un élément des plus importants d'un point de vue chimique pour ce qui est des ferralsols, dont la texture est variable. Certaines des particules d'argile n'ont aucune activité chimique, ou une activité réduite. Quoique les ferralsols prédominent dans les zones cultivées, des arénosols sableux ont aussi été mis en valeur pour l'agriculture. Ces deux types de sols présentent une faible capacité de rétention d'eau, celle des sols sableux étant la plus basse. Leur activité chimique est directement liée à leur teneur en matière organique.

Entretien de la structure des sols

La structure des sols est un facteur important, car elle détermine la préparation de la terre pour les semis, les mouvements de l'eau, la résistance à l'érosion et l'aération du sol. Le maintien de la structure des sols est lié aux pratiques culturales, par exemple labourage, entretien de la teneur en matière organique et drainage. Le labour effectué lorsque le sol est soit sec, soit excessivement humide, en dégrade la structure; la récupération de celle-ci peut demander plusieurs années de façons culturales appropriées (Cardoso, 1992). Or, le passage répété du pulvériseur à disques, pratique commune, est la principale cause de dégradation de la structure des sols.

La structure des sols est aussi fonction de la stabilité des agrégats. L'argile contribue positivement à la préservation de ceux-ci. Ainsi, dans les sols sableux, qui présentent une faible concentration d'argile, les agrégats sont peu nombreux et la structure du sol est médiocre. Pour entretenir la structure du sol, il importe de privilégier les pratiques qui concourent à conserver la stabilité initiale des agrégats. L'entretien de la teneur en matière organique est aussi important à cet égard.
La porosité du sol est directement affectée par le labour. Cette porosité se réduit rapidement sous l'effet des méthodes traditionnelles de préparation de la terre pour les semis annuels.
Plus le sol se compacte, plus les mouvements horizontaux de l'eau déplacent des particules et des nutriments, même sur des champs sensiblement plats. Les pentes présentant un gradient de 2 pour cent ou plus doivent faire l'objet de pratiques de conservation des sols, avec aménagement de terrasses ou cultures en courbes de niveau, afin de réduire l'érosion.
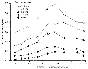
La distribution des précipitations a une incidence directe sur l'érosion des sols. Dans certaines zones des Cerrados, 70 pour cent des précipitations annuelles se produisent entre novembre et mars (figure 2, p. 4), avec un pic en décembre, époque à laquelle les cultures annuelles comme le soja n'ont pas encore complètement recouvert le sol. Pendant cette période, les cultures en place tout autant que les pratiques culturales déterminent l'érosion du sol (tableau 7). Les pratiques réduisant la porosité du sol, autant que celles qui diminuent sa teneur en matière organique ou le compactent limitent l'infiltration de l'eau dans le profil, ce qui accroît l'écoulement de surface et l'érosion. L'érosion a pour effet négatif important d'emporter la majeure partie des éléments de fumure appliqués par les agriculteurs avec le sol qui les contient. Les pertes de matière organique qui l'accompagnent sont tout aussi importantes, or celle-ci est déjà insuffisante dans les sols des Cerrados.

TABLEAU 7

Effet des cultures sur la perte de sol et la composition des sédiments après deux pluies sur la même superficie en 1974 et 1984

Traitement/ Perte de sol

pH

Al+3

Ca+

Mg

K

P

Matière organique dans le sol

 

(t/ha)

(H2O 1:1)

(meq/100 g)

(ppm)

(Pourcentage)

 

16 mai 1997 - Précipitations de 45,8 mm

               

Sol découvert

1,4

5,3

0,1

2,9

50

4

2,0

Maïs, façon classique

0,3

5,3

0

3,6

37

3

1,7

Riz, façon classique

0,2

5,7

0

3,8

49

5

1,9

Soja, façon classique

0,5

5,5

0

3,4

58

5

1,8

Soja, sans résidus

0,3

5,8

0

3,3

42

4

1,5

Soja, travail nul

0,5

5,4

0

3,7

44

5

2,0

               
 

27 décembre 1984 - Précipitations de 30,5 mm

               

Sol découvert

3,8

5,7

0,5

2,1

7

2

2,0

Maïs, façon classique

1,1

5,7

0,5

2,6

27

5

2,4

Riz, façon classique

0,6

5,7

0,4

2,5

29

6

2,2

Soja, façon classique

0,6

5,7

0,4

2,4

27

6

2,1

Soja, sans résidus

0,5

5,7

0,4

2,4

24

4

2,1

Soja, travail nul

0,1

6,0

0,0

4,0

71

11

3,1

Source: Dedecek, 1986.

La conversion des Cerrados à l'agriculture a commencé de manière très peu planifiée. La plupart des caractéristiques environnementales de la région ont été négligées par les colons et, par conséquent, il en est souvent résulté des phénomènes massifs d'érosion. Les problèmes d'érosion peuvent être réduits au minimum si les agriculteurs identifient le type de sol, sa topographie, la distribution de la végétation et des cours d'eau avant de commencer le défrichage. Il a été conseillé aux agriculteurs de ne défricher que la superficie qu'ils peuvent exploiter dans des délais raisonnables avec les machines disponibles, afin que le sol ne soit pas inutilement exposé aux agents érosifs (Cardoso, 1992).
Le passage du pulvériseur à disques après récolte et au cours de la saison sèche est une pratique inopportune, car elle expose le sol à une érosion éolienne importante, principalement sur les plateaux. En outre, une couche compacte se forme en dessous de la couche superficielle de sol meuble, par suite de l'action de l'instrument aratoire. La couche compactée accroît le risque de manque d'eau et d'éléments nutritifs, car elle fait obstacle à la pénétration des racines dans le profil. Le labour à différentes profondeurs est efficace pour réduire la formation d'une couche compactée limitant le développement des racines et l'infiltration de l'eau.
La profondeur des couches compactées peut être déterminée en creusant de petites tranchées. Cela permet de déterminer la morphologie du sol et sa résistance à la pénétration des instruments tranchants. Les couches compactées se trouvent rarement à plus de 30 cm de profondeur. On peut remédier au compactage en utilisant des instruments appropriés, par exemple charrues, scarificateurs ou sous-soleuses. Le succès de l'opération est fonction des facteurs suivants: réglage approprié de l'outil de manière à ce qu'il pénètre juste en dessous de la couche compactée; humidité du sol correcte pour l'outil utilisé (pour la charrue à disques, le sol doit être friable, pour la sous-soleuse, il doit être sec); enfin, espacement horizontal entre les lames tranchantes de 1,2 à 1,3 fois la profondeur du labour.

Travail du sol réduit. Le travail du sol minimum ou le travail nul sont en train de devenir des pratiques de conservation des sols appréciées dans les Cerrados. L'avantage immédiat de ces méthodes non classiques est de réduire le temps nécessaire aux diverses façons culturales. Elles améliorent aussi l'efficacité de l'utilisation de l'eau et réduisent les effets des périodes de sécheresse. Elles devraient contribuer à préserver et à améliorer les caractéristiques physiques et chimiques des sols. Ces facteurs pourraient bien être les plus importants sur les sols sableux, car ceux-ci, plus fragiles, ont été convertis à l'agriculture grâce à des subventions gouvernementales, et quoique ces subventions aient été réduites, ils continuent d'être exploités. Les pratiques de conservation des sols sont essentielles pour que l'on puisse utilement continuer à les exploiter. Le travail minimum du sol est une solution fréquente lorsque se présentent des problèmes d'adventices ou de surfaces irrégulières, qui rendraient difficile d'établir des cultures uniformes aux agriculteurs souhaitant passer des méthodes classiques à un travail nul du sol.

Un passage léger du cultivateur à disques en fin de saison sèche permet de détruire les adventices survivantes et permet à de nouvelles de pousser. Les nouvelles plantes adventices peuvent facilement être contrôlées en début de saison des pluies, et assurent une certaine couverture végétale du sol. Cette méthode, dite du «vieux lit de semences», est peu coûteuse, et permet d'utiliser des semoirs classiques. La persistance d'un paillis d'adventices est fonction de l'espèce - les adventices à feuilles larges se décomposent plus rapidement que les graminées, qui ont un ratio C/N plus élevé et sont plus souhaitables en raison de leur décomposition plus lente. Dans les zones où la saison humide est assez longue pour permettre deux campagnes successives, la deuxième campagne peut être mise en place sur les résidus de la première, sans travail du sol. Cela permet de conserver un couvert végétal, et de profiter des pluies tardives et de l'humidité rémanente du sol. Au début de la saison humide suivante, le sol est à nouveau préparé par passage léger du pulvériseur à disques avant semis.
Le travail nul du sol consiste à semer dans un sol non préparé. Les semences sont placées dans des sillons ou des mottes de densité et de profondeur suffisantes pour assurer une bonne couverture et un bon contact avec le sol. Alors que le travail du sol classique brise la structure du sol, risque de provoquer un compactage, et expose la matière organique à une oxydation plus rapide et à la décomposition microbienne tout en réduisant l'humidité du sol, le travail nul permet de sauvegarder la structure du sol, diminue le taux de perte de matière organique et conserve l'humidité. Ces facteurs sont d'un intérêt particulier sur les sols sableux, dont la structure peut être complètement détruite par les façons classiques. Le travail nul du sol a pour autres avantages: la double campagne ou la succession des cultures peut s'effectuer plus rapidement et plus efficacement; on a besoin de moins d'outillage puisque les façons sont réduites; et la plupart des opérations peuvent généralement être faites avec des tracteurs plus légers, donc plus économes en carburant.
Le succès des systèmes à travail nul du sol passe par une lutte efficace contre les adventices, le maintien à la surface du sol d'un paillis végétal, et l'adaptation des machines et des opérations culturales. Il convient d'avoir mené à son terme l'amélioration de la fertilité du sol avant d'adopter ce système, et les couches compactées doivent avoir été aérées par scarification. Les rendements de soja et de maïs obtenus avec le travail nul du sol sont concurrentiels avec ceux des systèmes classiques. Il est intéressant de noter qu'au terme d'une étude de longue durée, Cardoso (1992) a constaté que le travail du sol consécutif à une période de travail nul permet d'accroître les rendements tant du soja que du maïs (tableau 8).

TABLEAU 8

Effet des méthodes de travail du sol sur les rendements du soja et du maïs

Travail du sol

Rendement (kg/ha)

Rendement (kg/ha)

1979-1983

1985-1986

   
   

Soja (1985)

Maïs (1986)

Travail nul

Charrue à disques

3 585

5 195

 

Charrue à versoir

3 581

5 174

 

Travail nul

3 385

4 648

Travail classique du sol

Charrue à disques

3 307

4 515

 

Charrue à versoir

3 055

4 416

 

Travail nul

3 027

4 403

Source: Cardoso, 1992.

Le travail nul du sol est particulièrement intéressant dans les systèmes de culture intensive avec irrigation. Quand elle est disponible, l'irrigation permet d'obtenir trois campagnes annuelles. Les séquences typiques de cultures triples sont: maïs, soja ou haricot de plein champ et blé; ou bien soja, maïs et pois. Le choix des cultures est fonction du prix des produits et des objectifs de l'agriculteur. Le maïs, par exemple, peut être utilisé pour le grain ou l'ensilage. Le producteur doit tenir compte du fait qu'un paillis couvrant le sol permet de réduire le coût des mesures de lutte contre les adventices, conserve le sol et l'humidité, et améliore les propriétés physiques et chimiques du sol.
Parmi les diverses méthodes de travail du sol pratiquées dans les Cerrados (tableau 9), certaines sont adaptées à des usages très particuliers. Il importe que les agriculteurs tiennent des registres depuis le début de la mise en valeur de leurs terres pour pouvoir choisir les méthodes les plus efficaces de travail du sol en vue de la conservation de ce dernier, compte tenu de leur situation particulière.

TABLEAU 9

Méthodes de travail du sol pratiquées dans les Cerrados

Outil

Profondeur (cm)

Résidus de récolte

Lutte contre les adventices

Utilisation

Observations

Pulvériseur à disques et niveleuse à disques

10-15

Incorporés peu profond

Lutte limitée

-

Provoque compactage en profondeur et pulvérise les particules de sol

           

Charrue à disques et niveleuse à disques

20-30

Incorporés

Lutte partielle

Si souches, racines et galets présents

Provoque compactage en profondeur

           

Charrue à versoir et niveleuse à disques

20-40

Incorporés

Enfouies dans le sol

Sur sols sans obstacles

-

           

Extirpateur

20-25

Laissés en surface

Nulle

Sur sols compactés

-

           

Niveleuse à disques

10-15

Incorporés peu profond

Lutte limitée

Pour prévenir reproduction des adventices

-

           

Travail nul

-

Laissés en surface

Nulle

Si couverture végétale du sol est supérieure à 70%

Praticable seulement sous conduite intégrée des cultures

Source: Cardoso, 1992.

Entretien du rendement cultural

Amélioration de la fertilité du sol. L'activité économique fondamentale des premiers colons était l'élevage de bovins de boucherie sur les herbages indigènes. Les cultures étaient limitées par la faible fertilité du sol et le manque d'espèces végétales économiques adaptées. Les travaux des chercheurs ont permis de connaître comment améliorer les sols, et ces informations ont été mises à la disposition des agriculteurs par l'EMBRAPA-CPAC et les organismes de recherche des Etats. Initialement, l'impératif d'importer de la chaux d'autres régions a considérablement accru les coûts de production. Ce problème a ensuite été résolu par l'utilisation d'abondants gisements de chaux présents localement - faisant du chaulage l'un des apports les moins coûteux pour le développement agricole de la région. Actuellement, un chaulage parfois excessif a déterminé des carences en micronutriments, les plus marquées étant les carences en Zn et Mn dans les ferralsols, et en Cu dans les arénosols. En raison de leur capacité d'échange cationique (CEC) faible, le pH de ces sols peut facilement être modifié par chaulage. Avant de chauler un champ, les besoins doivent être déterminés par une analyse du sol, et la quantité de chaux à appliquer doit être calculée en équivalent carbonate de calcium. La capacité effective de neutralisation de la chaux sera fonction de sa composition et de la taille des particules après broyage. Les particules les plus grosses réagissent plus lentement que les plus petites, mais elles agiront à terme sur le pH du sol, et si elles sont appliquées en excès, détermineront des carences en micronutriments (Ritchey, Urben Filho et Spehar, 1982). Pour assurer que le pH atteint le niveau souhaité avant l'établissement des cultures, la chaux doit être appliquée bien à l'avance (figure 5). Il faut compter en général environ trois mois pour atteindre le pH maximum possible pour une application donnée de chaux.

FIGURE 5
Changements dans le pH du sol après chaulage d'un sol acide des Cerrados

v8941f06.GIF (11468 bytes)

Source: EMBRAPA, 1981.

Le phosphore est fixé par la fraction argileuse des sols des Cerrados. Les plantes cultivées peuvent manifester une réponse spectaculaire à l'application de P (figure 6). Une analyse du sol est nécessaire pour déterminer le taux d'application qui donnera le rendement le plus élevé et le plus économique à la fois (tableau 10). Les applications de P2O5 pouvant atteindre 240 kg/ha (0,5 tonne/ha de monosuper-phosphate) peuvent être profitables aux sols qui présentent un taux faible de P et une forte teneur en argile (Sousa, Miranda et Lobato, 1987). Le phosphate était très coûteux initialement, en raison des coûts de transport. Des usines de traitement sont désormais établies dans L'Etat de Minas Gerais, et elles fabriquent des engrais phosphatés à partir de minerais disponibles localement. Toutefois les phosphates restent un intrant coûteux, car le soufre doit être importé et transformé en acide sulfurique, qui est utilisé pour solubiliser le phosphate natif afin de produire les engrais phosphatés commerciaux. Jusqu'à récemment, les agriculteurs bénéficiaient de subventions gouvernementales pour entretenir un niveau adéquat de P propice à la production végétale.

FIGURE 6
Réponse du rendement de Cristalina, variété de soja, au phosphore appliqué à un latosol rouge sombre

v8941f07.GIF (7511 bytes)

Source: Sous, Miranda et Lobato, 1987.

TABLEAU 10

Analyses du phosphore du sol et applications de P2O5 nécessaires pour une production économique de soja, en fonction de la teneur en argile

Teneur en argile

Analyse des sols

Fumure

 

Corrective1

Progressive2

 

Très basse

Basse

Moyenne

Adéquate

P très bas

P bas

P très bas

P bas

 

(pourcentage)

(ppm)

(kg/ha)

>80

-

-

-

-

300

-

-

-

61-80

0-1.0

1.1-2.0

2.1-3.0

3.0

240

120

120

90

41-60

0-3.0

3.1-6.0

6.1-8.0

8.0

180

90

90

80

21-40

0-5.0

5.1-10.0

10.1-14.0

14.0

120

60

80

70

<20

0-6.0

6.1-12.0

12.1-18.0

18.0

100

50

70

60

1 Corrective: suffisante pour obtenir un niveau adéquat de P disponible pour le soja.
2 Progressive: fumure d'entretien de la culture et excédent pour accumuler du P disponible dans le sol.
Source: Sousa, Miranda et Lobato, 1987.

Le potassium est un autre élément important, importé principalement pour assurer la fumure essentielle en K. Actuellement, le chlorure de potassium est produit dans le nord-est du pays, mais cette production ne répond qu'à 30 pour cent des besoins du Brésil. La dynamique de K est liée à la faible CEC des sols. Les applications de chaux accroissent la saturation en Ca et Mg dans la couche labourée, et améliorent la rétention de K (figure 7). La charge négative de la matière organique procure aussi des sites importants d'absorption de K et prévient son lessivage dans les profondeurs du sol. Ainsi, les pratiques de gestion des sols réduisant le taux de matière organique diminuent la disponibilité de K. Ce problème se fait le plus sentir sur environ 500 000 ha de sols sableux, où des applications fractionnées peuvent être nécessaires pour répondre aux besoins des cultures annuelles. L'application de la moitié des quantités requises par les cultures dans le sillon, lors du semis, et du reste à la volée avant floraison, a permis d'améliorer les rendements du soja et du maïs (Vilela et al., 1985).

FIGURE 7
Influence du chaulage sur le lessivage du potassium dans un latosol rouge sombre (ferralsol)

v8941f08.GIF (8613 bytes)

Source: Vilela et al., 1985.

Les Cerrados peuvent présenter des propriétés indésirables du sous-sol, même lorsque la couche superficielle du sol est convenablement chaulée. Le chaulage profond, qui permettrait de relever le pH trop bas et les niveaux de Ca et de Mg, ainsi que de réduire l'aluminium toxique, n'est pas commode à mettre en _uvre par les agriculteurs, bien qu'il détermine des rendements plus élevés et plus stables. L'utilisation de gypse (sulfate de calcium) a été recommandée pour accroître aussi bien la disponibilité de soufre (S) que la migration de Ca dans le profil. L'anion sulfate est d'une bonne mobilité dans les sols, et entraîne Ca et les autres cations dans le profil inférieur, ce qui améliore l'état du sol et permet un enracinement plus profond. Le taux des applications de gypse sera fonction de la composition chimique du sol et de sa texture, ainsi que des besoins en S des végétaux. Dans les sols dont la saturation en aluminium est supérieure à 30 pour cent à des profondeurs de 35 cm ou au-dessous, et présentant un taux de Ca inférieur à 0,2 meq/100 g, le gypse est recommandé à des taux de 500, 1 000 et 1 500 kg/ha pour les sols sableux, de texture moyenne et argileux, respectivement. Pourtant, d'un point de vue pratique, une application de 200 kg/ha par campagne est recommandée. Le facteur limitant l'utilisation du gypse est la distance des usines de transformation des phosphates, qui produisent du gypse comme sous-produit.

TABLEAU 11

Productivité effective et potentielle dans la région des Cerrados, 1990

Culture

Brésil (moyenne)

Cerrados

Recherche (prod. potentielle)

   

Moyenne

Bonnes pratiques agricoles

 
   

(tonnes/ha)

 

Riz de plateau

1,9

0,9

3,1

4,8

Haricots de plein champ

0,5

0,5

2,0

4,5

Maïs

1,9

1,6

7,6

14,0

Soja

1,7

1,5

4,0

6,0

Blé irrigué

1,7

3,8

5,5

8,0

Blé pluvial

1,2

1,2

2,7

3,5

Source: Souza et Goedert, 1989.

Il existe des différences remarquables entre les rendements potentiels et les rendements effectifs dans les Cerrados (tableau 11). Celles-ci sont principalement imputables à la fumure réduite ou inappropriée du sol. Les applications de phosphore sont réduites lorsque le coût des engrais est élevé et les prix des produits bas. Cela se produit fréquemment depuis que les subventions ont été réduites. Les taux insuffisants d'application de K, la conduite inadéquate des cultures (date de plantation, choix des populations et des variétés végétales) et des mesures inappropriées de lutte contre les maladies, les ravageurs et les adventices, contribuent également à réduire les rendements. Ainsi, on observe que les technologies permettant d'obtenir de hauts rendements sont disponibles, mais que compte tenu des coûts actuels des intrants et des prix des produits, elles ne sont pas toujours économiquement applicables.

Entretien de la teneur du sol en matière organique. La matière organique présente une CEC apparente de 280 meq/100 g, tandis que la CEC de l'argile est en général inférieure à 10 meq/100 g. Tout accroissement de la teneur d'un sol en matière organique en améliore les caractéristiques physiques et chimiques. La teneur en matière organique d'un latosol rouge sombre augmente à la suite du défrichage d'une zone vierge (figure 8). L'accroissement au cours des premières années de monoculture du soja a probablement été dû à l'incorporation de la végétation indigène. La teneur en matière organique diminue avec le temps et, au bout de 11 ans, atteint les niveaux de 1,8 à 2,6 pour cent (Resck, Pereira et Silva, 1991).

FIGURE 8
Changement de la teneur du sol (ferralsol) en matière organique sous monoculture du soja

v8941f09.GIF (8585 bytes)

Source: Resck, Pereira et Silva, 1991.

Après défrichage, chaulage et fumure, le taux de matière organique pourra décroître du fait d'un surcroît d'activité microbiologique. Pourtant la quantité de résidus de récolte produits sur les sols dont la fertilité est améliorée augmente et contribue à remplacer la matière organique. Le brûlis des résidus réduit la quantité de graines d'adventices, et facilite la préparation des terres, mais diminue la quantité de matière organique et accroît les risques d'érosion du sol. La plupart des nutriments peuvent être perdus par volatilisation, lessivage ou érosion. Lors de la récolte, il convient de disperser la paille de façon uniforme sur le champ, en réglant de façon appropriée la moissonneuse-batteuse, ou, dans le cas du maïs et d'autres cultures à fort coefficient de résidus, en utilisant un dispositif qui les hache et les disperse. Les résidus de récolte peuvent alors être incorporés, ou laissés tels quels pour pailler le sol dans les systèmes à travail nul du sol.
La gestion appropriée des résidus de récolte est la clé de l'entretien de la teneur du sol en matière organique. Une monoculture de soja réduira la teneur en matière organique en raison du faible ratio C/N de ses résidus. Lorsque N est abondant, il y a décomposition rapide des résidus par les micro-organismes (Resck, Pereira et Silva, 1991). La rotation judicieuse des cultures contribue à entretenir la teneur en matière organique en profitant du ratio plus élevé C/N des autres cultures; les cultures comme le maïs produisent par ailleurs davantage de résidus. Le choix des assolements peut, par ailleurs, avoir d'autres aspects positifs: possibilité de plus hauts rendements, réduction des risques commerciaux, conservation de l'environnement et lutte contre les maladies et les ravageurs. Les cultures de légumineuses pour leurs grains ou pour l'engrais vert peuvent avoir un rôle important dans les assolements, grâce à leur capacité de fixation de N2. L'engrais vert est une bonne source de matière organique active. Les graminées, en raison du ratio élevé C/N de leur matière sèche, se transforment plus lentement en humus que les légumineuses. Un équilibre entre les cultures présentant différents ratios C/N est souhaitable pour entretenir la teneur des sols en matière organique.

Protection des cultures

Lutte contre les adventices. Les espèces indigènes des Cerrados ne deviennent pas des espèces adventices dans les zones récemment mises en culture. Les adventices sont importées et transportées avec les semences et par les instruments agricoles. Elles se multiplient peu à peu jusqu'à poser des problèmes, imposant de mettre en _uvre des moyens de lutte après trois ou quatre ans de culture. Si l'on utilise des semences de qualité et si l'on veille à éradiquer les premières mauvaises herbes quand elles apparaissent dans les champs, cette période de grâce peut être allongée.

La concurrence des adventices est l'une des menaces qui pèsent sur l'entretien de rendements culturaux élevés. Les adventices concurrencent les plantes cultivées pour l'eau, la lumière et les nutriments, et peuvent compliquer la récolte, en réduisant les rendements et/ou la qualité des produits finals. En outre, certaines adventices produisent des substances allélopathiques.
Dans les Cerrados, on applique des méthodes mécaniques, chimiques, culturales et biologiques de lutte contre les adventices. L'outillage mécanique, mu par traction animale ou mécanique, permet de réduire les populations d'adventices dans les champs. Le sarclage manuel est le moyen le plus simple et le plus efficace, bien que la main-d'_uvre nécessaire ne soit pas toujours disponible. Le sarclage à la houe peut compléter d'autres pratiques. Le sarclage au cultivateur et à la houe est le plus efficace par temps chaud et sec. Il se pratique avant la floraison des cultures annuelles, et doit rester superficiel pour éviter d'endommager les racines des plantes cultivées. En général deux ou trois passages suffisent à éliminer les adventices.
La lutte chimique contre les adventices s'est généralisée, principalement parce qu'elle exige moins de main-d'_uvre, et s'exécute rapidement. Cette pratique est coûteuse, mais donne des résultats économiques si elle est appliquée parallèlement à une fumure appropriée, et quand les dates de semis et de choix des variétés sont judicieuses. Comme pour les autres facteurs de production, les coûts doivent être comparés aux gains potentiels de production. La combinaison de différentes méthodes se répand, et sera fonction des espèces et des quantités d'adventices contre lesquelles il faut lutter. Avant d'entreprendre d'appliquer des méthodes chimiques de lutte, les agriculteurs doivent comprendre les prescriptions d'emploi des herbicides disponibles, et apprendre à calibrer le matériel d'application. Les produits chimiques sont sélectifs, et leur succès sera fonction des espèces d'adventices présentes, et de leur âge.
Outre ses avantages pour la conservation des sols, le travail nul du sol favorise la lutte contre les adventices. Toutefois l'utilisation d'herbicides est nécessaire, et l'on veillera très attentivement au bon choix des produits. Il pourra être nécessaire d'appliquer des herbicides foliaires pour neutraliser la végétation sur les champs en mottes ou pour lutter contre les adventices présentes dans les résidus de récolte, avant semis. Par la suite, des herbicides sélectifs pourront être nécessaires, avec application préalable au semis, avant émergence ou après émergence des plantes cultivées.
Dans les zones à saison humide prolongée, les cultures d'hiver permettent d'obtenir une biomasse qui servira au paillis à la saison sèche. Ce paillis protégera le sol et fera obstacle aux infestations des adventices, réduisant le besoin d'herbicides foliaires en système à travail nul du sol.
Ces dernières années, on a observé des infestations d'espèces adventices très agressives comme Cassia tora, Desmodium purpureum, Hyptis suaveolens, Pennisetum setosum et Nicandra physalodes. Certaines d'entre elles sont difficiles à maîtriser, ou sont détruites seulement par certains produits chimiques spécifiques. Il est conseillé aux agriculteurs de prévenir les infestations en utilisant des semences exemptes de graines d'adventices, en nettoyant soigneusement toutes les machines et l'outillage agricoles avant de passer d'un champ à un autre, et d'éliminer les adventices avant qu'elles ne deviennent un problème.

Lutte contre les insectes. Les principales cultures annuelles dans les Cerrados sont le soja et le maïs, suivis par les haricots, le riz et le blé. Des insectes communs, comme Agrotis ipsilon et Elasmopalpus lignosellus, peuvent s'attaquer à toutes ces espèces végétales. Le traitement des semences est recommandé contre Elasmopalpus lignosellus, qui peut poser des problèmes graves.

Dans le passé, la lutte chimique avait tendance à être surtout préventive, ce qui se traduisait par des coûts élevés, une pollution de l'environnement et la présence de résidus de pesticides dans les produits. Actuellement, que ce soit pour les cultures de rente ou les denrées alimentaires de base, la lutte intégrée contre les ravageurs est devenue pratique courante parmi les agriculteurs. Des pulvérisations intensives continuent d'être pratiquées pour certaines cultures horticoles comme la tomate (Lycopersicon esculentum) et la pomme de terre (Solanum tuberosum). Toutefois, la tendance actuelle consiste à élaborer des méthodes de lutte biologique contre les insectes sans effet dommageable pour l'environnement ou résidus chimiques susceptibles de compromettre la qualité des produits. On citera comme bons exemples de lutte biologique efficace contre les insectes qui attaquent le maïs et le soja l'utilisation d'un virus (Baculovirus anticarsia), d'une moisissure (Nomuraea rileyi) et d'une bactérie (Bacillus thuringiensis).

Lutte contre les maladies. Dans les Cerrados, la majeure partie de la lutte contre les maladies est menée par le biais de la sélection en vue de la résistance des plantes, principalement pour le soja et le maïs qui ne sont pas pulvérisés contre les maladies. Les efforts se sont aussi concentrés sur la résistance du riz à la rouille et à un ensemble de maladies fongiques, bactériennes et virales du haricot et du blé. Le riz, le haricot et le blé continuent d'être pulvérisés pour les protéger contre les maladies, et c'est là une contrainte à leur culture économique. Des ennemis des cultures vivant dans le sol sont présents, comme Rhizoctonia solani, Fusarium spp., Sclerotinia sclerotiorum, Meloidogyne javanica et, plus récemment, Heterodera glycines, et peuvent affecter différentes cultures. Les dommages ont été limités en utilisant des variétés résistantes et en faisant alterner les cultures qui ne servent pas d'hôtes aux agents pathogènes.

Plusieurs maladies des feuilles et des tiges qui affectaient les cultures pérennes (espèces fruitières et caféiers) ont été maîtrisées par pulvérisation. Toutefois la sélection en vue de la résistance a aussi eu son rôle dans la lutte contre ces maladies.

INCIDENCE DE LA SUCCESSION DES CULTURES

Cultures annuelles

Le soja est cultivé en monoculture dans plusieurs régions des Cerrados, d'où accroissement de l'incidence des maladies et des ravageurs. Les méthodes inappropriées de gestion des sols se traduisent par des désordres minéraux provoqués par l'érosion et la perte de fertilité. La rotation des cultures et la pratique de doubles campagnes ont contribué à atténuer certains de ces problèmes.

Des rendements plus élevés du maïs ont été obtenus après une culture de soja, pour les mêmes taux de N, les accroissements de rendement pouvant atteindre 33 pour cent (tableau 12). L'azote contenu dans les résidus laissés par le soja est l'un des facteurs positifs qui favorisent la production de maïs. Les autres avantages d'une alternance soja-maïs sont notamment l'interruption du cycle des ravageurs et des maladies, une lutte plus aisée contre les adventices et l'entretien des taux de matière organique.

TABLEAU 12

Effet de l'azote sur le rendement du maïs en monoculture et en alternance avec le soja sur un sol des Cerrados

 

Rendement

Azote (kg/ha)

Monoculture du maïs

Maïs après soja

Accroissement de rendement (pourcentage)

 

(kg/ha)

 

0

2 880(62)1

3 124(67)1

8

40

3 229(69)

4 276(92)

32

60

3 671(79)

4 263(92)

16

80

3 922(84)

4 438(95)

13

100

3 511(75)

4 659(100)

33

1 Les valeurs entre parenthèses sont les pourcentages correspondant au traitement donnant le meilleur rendement.
Source: Vasconcelos, Marriel et Pinto, 1989.

L'alternance s'est aussi révélée profitable au soja. Le maïs, comme le soja, sont plus productifs en alternance qu'en monoculture, les rendements moyens sur une période de cinq ans étant de 700 et 174 kg/ha, respectivement (tableau 13).

TABLEAU 13

Rendements du maïs et du soja en monoculture et en alternance

Campagne

Maïs

Soja

 

Monoculture

Alternance

Gain

Monoculture

Alternance

Gain/perte

 

(kg/ha)

1983/84

5 069

5 513

+444

1 452

1 870

+418

1984/85

4 860

5 833

+973

2 229

2 120

-109

1985/86

6 636

7 772

+1 136

2 307

2 413

+106

1986/87

3 666

4 246

+580

1 102

1 392

+290

1987/88

2 916

3 286

+370

838

1 005

+167

Mean

4 630

5 330

+700

1 586

1 760

+174

   

(115)1

   

(111)1

 

1 Rendement des cultures alternées en pourcentage du rendement de la monoculture.
Source: Araujo et al., 1989.

Cultures annuelles et engrais vert

L'utilisation d'engrais vert en alternance avec les cultures annuelles a permis de maintenir et de reconstituer la matière organique du sol. Les nutriments sont aussi recyclés (tableau 14).

TABLEAU 14

Résidus présents sur le sol (équivalent matière sèche) et nutriments restitués au sol pour les différents systèmes culturaux

Système

Campagne

Matière sèche

N

P

K

Ca

Mg

Zn

     

(kg/ha)

(g/ha)

Légumineuses

1983/84

4 400

101

7

57

38

8

95

(engrais vert)

1984/85

11 085

320

25

205

77

19

193

                 

Soja

1983/84

3 290

29

2

17

19

9

-

 

1984/85

3 450

42

2

27

26

10

71

                 

Maïs

1983/84

3 600

20

2

14

12

6

-

 

1984/85

3 060

27

1

22

6

5

104

                 

Maïs + légumineuses

1983/84

4 880

53

3

16

25

9

-

en culture intercalaire

1984/85

7 650

124

8

50

38

11

350

Source: Vasconcelos, Marriel et Pinto, 1989.

Il est intéressant de noter que Vasconcelos, Marriel et Pinto (1989) ont observé des rendements supérieurs de maïs après culture du soja qu'après culture d'engrais vert, malgré le recyclage des nutriments. D'autres auteurs (Pereira, Burle et Resck, 1992) ont montré que les cultures céréalières consécutives à l'incorporation d'engrais vert donnaient des rendements pouvant atteindre 46,6 pour cent de plus que les productions en monoculture au cours de saisons humides normales. En outre, des différences en faveur de la culture d'engrais vert ont aussi été observées lorsque les conditions météorologiques sont moins favorables (Martin, Santos et Assumpção, 1987). Resck et Pereira (1979) ont constaté que la culture d'engrais vert précédant la culture du soja avait un effet favorable sur le rendement de ce dernier.
Il existe plusieurs manières d'utiliser les cultures d'engrais vert, quoique la plus fréquente consiste à semer une légumineuse après récolte de la culture principale. Des cultures intercalaires peuvent aussi être pratiquées lorsque le cycle végétal est long. Ces pratiques permettent aux deux cultures de faire usage d'une partie de la saison des pluies, ce qui diminue le déficit hydrique à la saison sèche pour la culture intermédiaire. Pereira, Burle et Resck (1992) proposent les usages suivants de l'engrais vert:

Cultures annuelles et herbages

Des successions de cultures annuelles et d'herbages ont été établies avec succès. Ce passage de la monoculture de cultures annuelles à des cultures pérennes favorise une meilleure structure des sols en raison de l'accroissement du taux de matière organique et de la réduction de l'érosion. Les assolements modernes qui incluent une culture céréalière à forte demande en nutriments remplacent les successions traditionnelles riz-herbages qui demandaient peu d'intrants mais donnaient de faibles rendements de riz et des pâturages de médiocre qualité. Selon Spain (Spain, EMBRAPA-CPAC, communication personnelle), l'association de légumineuses de pâturage en alternance avec des cultures annuelles présente les avantages suivants: amélioration de la fertilité du sol, avec activité biologique accrue dans le sous-sol en raison de l'enracinement profond des plantes pérennes acido-tolérantes; recyclage efficace des nutriments par les végétaux et les animaux; amélioration de la condition physique du sol sous l'effet d'une meilleure gestion de la matière organique et, par conséquent, réduction de l'érosion; amélioration de l'activité microbiologique du sol, qui se traduit en un «travail biologique du sol »; réduction de l'incidence des adventices, des ravageurs et des maladies; enfin, élimination de certaines adventices nuisibles des pâturages lors du labour pour mettre en place les cultures annuelles.

Pour entretenir la productivité à long terme des sols, il est nécessaire d'établir des systèmes de production qui en entretiennent ou même en améliorent la structure. Les herbages et la succession annuelle culture-herbage permet de sauvegarder la structure du sol, mesurée à la taille des agrégats, au niveau constaté dans le sol vierge (figure 9) et de bénéficier d'un accroissement, du double, du taux de charge (Ayarza, Vilela et Rauscher, 1993). Des études additionnelles seront nécessaires pour affiner ces informations au bénéfice des agriculteurs. Il est escompté que, avec la diversification des systèmes culturaux, les sols médiocrement fumés et acides actuellement sous pâturage extensif pourront être convertis à des systèmes plus intensifs et stables de production bovine.

FIGURE 9
Effet des systèmes culturaux sur la distribution par taille des agrégats dans un oxisol sableux jaune-rougeâtre (ferralsol) à Uberlândia, MG

v8941f10.GIF (16947 bytes)

Source: Ayarza, Vilela et Rauscher, 1993.

La diversité des climats, des types de sol, des reliefs et des tailles des exploitations, ainsi que les perspectives de commercialisation doivent être prises en compte lors du choix des systèmes culturaux les plus appropriés. Les successions et assolements diversifieront les activités et accroîtront la complexité de l'entreprise agricole.

CONCLUSIONS ET RECOMMANDATIONS

Une fois pleinement mis en valeur en utilisant les technologies disponibles, les Cerrados devraient avoir un potentiel annuel de production de 240 millions de tonnes de céréales, 8 millions de tonnes de viande bovine et 300 millions de m³ de bois (tableau 15). Ces estimations sont fondées sur des niveaux modestes de productivité (voir tableau 6) et ne prennent pas en compte le potentiel, qui se dessine pourtant, d'éventuelles superficies irriguées. Elles illustrent manifestement la transformation d'une zone d'agriculture marginale en grenier à vivres d'une nation, en l'espace d'un peu plus de vingt ans.

TABLEAU 15

Production pluviale annuelle potentielle des Cerrados, dans l'hypothèse d'une utilisation intégrale des terres arables sous techniques améliorées

Activité

Superficie (106 ha)

Productivité moyenne

Production (106 ha/an)

Céréales

80

2,5 t/haa

240 tonnes

Viande bovine

80

100 kg/hab

8 tonnes

Bois

10

30 m3/ha

300 m3

1 Les valeurs entre parenthèses sont les pourcentages correspondant au traitement donnant le meilleur rendement.
a Riz (1,2 tonne/ha, 15 pour cent); haricots (1 tonne/ha, 4 pour cent); maïs (4 tonnes /ha, 20 pour cent); soja (2,5 tonnes/ha, 35 pour cent); sorgho (4 tonnes/ha, 4 pour cent); blé (1,5 tonne/ha, 4 pour cent); autres (18 pour cent).
b 60 pour cent sur herbages améliorés, au taux de charge de 250 kg/ha, pour un âge à l'abattage de 2,5 ans.

La plupart des problèmes rencontrés, qui résultaient d'une exploitation approximative, ont été identifiés et résolus, bien que des recherches complémentaires doivent encore être consacrées à la conservation des ressources génétiques et des sols. Plusieurs espèces végétales indigènes peuvent avoir disparu au cours du processus de défrichage. La législation actuelle spécifie les procédures de défrichage pour assurer que les boisements sont sauvegardés le long des berges des cours d'eau, des lacs ou des réservoirs naturels ou artificiels, dans les bassins versants, en crête de collines et dans les montagnes, et à la frange des plateaux et des talus. Sur les propriétés actuellement mises en valeur, 20 pour cent des terres vierges doivent être laissées intactes. L'application de la législation protégeant les ressources génétiques devrait être prioritaire.
Il a été possible de rendre les Cerrados productifs principalement grâce aux expérimentations portant sur la fertilité du sol et l'adaptation des végétaux. Le chaulage et la fumure sont désormais des pratiques courantes, les taux correspondants permettant une production végétale économique ayant été établis par les chercheurs. Il conviendra d'accorder davantage d'attention au choix des génotypes en fonction de leur interaction avec l'environnement afin de dépasser les limitations locales à l'obtention des rendements économiques maximaux des cultures. Cela permettra d'accroître les profits de manière durable. Une plus grande intégration des travaux des chercheurs de spécialisations différentes est nécessaire pour déterminer quels sont les systèmes durables en résolvant les problèmes complexes liés à la tolérance à l'aluminium, à l'utilisation efficace des nutriments, à l'équilibre des minéraux, aux successions et associations de cultures et au recyclage des nutriments, ainsi qu'à la résistance aux maladies et aux ravageurs, et à la lutte intégrée contre ceux-ci. Un travail d'équipe sera nécessaire pour concevoir des systèmes culturaux susceptibles de produire les plus grands avantages économiques, compatibles avec une incidence minimale sur l'environnement.
La mise en valeur des Cerrados a commencé avec difficulté. Disposant de financements bon marché, les agriculteurs pouvaient risquer des erreurs financières. Par le biais de la fiscalité, la société dans son ensemble a assumé le fardeau, les ressources passant d'un secteur à un autre. Les producteurs de machines et d'outillage agricoles, de chaux et d'engrais, et tous ceux qui prennent part au commerce et au transport des produits agricoles ont engrangé de gros bénéfices, tandis que les agriculteurs assumaient les risques. De telles incitations ont pu être nécessaires pour stimuler le développement qui s'est produit. Les planificateurs de l'avenir devront relever le défi d'une amélioration de l'efficacité avec laquelle les fonds publics sont mis à contribution dans ces entreprises.
Initialement, le gouvernement a fourni des incitations considérables pour développer l'agriculture dans les zones vierges des Cerrados. De médiocres pratiques agricoles ont eu pour effet d'endommager gravement l'environnement. Toutefois, la situation économique nationale actuelle ne permet plus de soutenir artificiellement la production agricole. Avec la baisse du prix des produits, la réduction des aides gouvernementales et le coût majoré des intrants, il faudra aux agriculteurs davantage de connaissances et de compétences de gestion que dans le passé pour pouvoir vivre de leur activité. Dans une conjoncture économique défavorable, la tendance actuelle consiste à appliquer le principe universel de la réussite durable: il faut donc gérer au mieux des ressources limitées. On escompte que seuls les bons gestionnaires réellement déterminés à faire aboutir leurs entreprises agricoles se maintiendront.
Ce sont les gros agriculteurs qui ont tiré le mieux parti des résultats des recherches, grâce à leur niveau d'instruction élevé. Les petits agriculteurs en ont aussi bénéficié, mais plus lentement, grâce aux coopératives qui diffusent les informations, distribuent intrants et machines, et assurent la commercialisation pour le compte de leurs membres. Dans les zones nouvellement mises en valeur, la création de coopératives devrait compter parmi les priorités gouvernementales, afin que tous les agriculteurs puissent être associés au processus de développement.
La démarche la plus récente en ce qui concerne la mise en place de systèmes agricoles environ-nementalement équilibrés consiste à planifier de façon intégrée la mise en valeur des terres à l'échelon de microbassins ou de bassins hydrographiques. Dans ces systèmes, les agriculteurs coopèrent à l'utilisation des ressources naturelles communes. On distingue quatre grands bassins hydrographiques dans la région des Cerrados, à savoir Tocantins-Araguaia, Paraná-Plata, Amazone et São Francisco. Ces bassins sont complexes, mais devraient être la base de la planification de l'utilisation des terres (Resck, Pereira et Silva, 1991). Les zones allant du cours principal des fleuves jusqu'aux limites des bassins versants devraient être caractérisées en fonction des types de sol, du climat, du relief, de la végétation naturelle, de l'hydrologie et de la géologie. Ces facteurs détermineront alors les modèles culturaux qui peuvent contribuer avec succès aux systèmes agricoles.
On connaît d'ores et déjà suffisamment bien les facteurs susmentionnés en vue de la planification de l'utilisation des terres dans certains microbassins des Cerrados, et des projets pilotes ont été entrepris. On prévoit que les organismes de recherche, les services de vulgarisation des Etats, les coopératives et les communautés locales coopéreront à leur exécution. Les études qui seront faites pour ces projets détermineront systématiquement les modalités de mise en valeur qui permettront de préserver l'environnement et répondront en même temps aux besoins de populations régionales en croissance. On escompte que les politiques gouvernementales appropriées sauront donner la priorité à l'incitation à une planification intégrée, afin que les communautés adoptent rapidement des plans d'utilisation rationnelle de l'environnement. Le principal défi à relever est d'élaborer un système stable et environnementalement équilibré qui puisse servir de base aux générations futures, et parallèlement offrir des solutions aux planificateurs dans des milieux analogues, dans le monde entier.

BIBLIOGRAPHIE

Adamoli, J., Macedo, J. et Madeira Neto, J. 1985. Caracterização da região dos Cerrados. In W.J. Goedert (éd), Solos dos Cerrados: tecnologias e estratégias de manejo, p. 33-74. São Paulo, SP, Brésil, Nobel et EMBRAPA-CPAC.
Andrade, J.M.V., Dotto, S.R., Iorczeski, E.J. et Leite, J.C. 1991. Competição de cultivares e linhagens de trigo para a região dos Cerrados. In Relatório Técnico Anual do Centro de Pesquisa Agropecuária dos Cerrados, 1985-1987, p. 182-186. Planaltina, DF, Brésil, EMBRAPA-CPAC.
Araujo, N.B., Rushell, R., Eleuterio, A., Silva, N.C. et Santos, G. 1989. Rotação anual das culturas de milho e soja. Goiânia, Go., Brazil, EMGOPA-DDT (Boletim de Pesquisa 15). 12 pages.
Assad, E. et Castro, L.H.R. 1992. Análise frequencial da pluviometria para a Estação de Sete Lagoas, MG. In Relatório Técnico Anual do Centro de Pesquisa Agropecuária dos Cerrados 1985-1987, p. 26-30. Planaltina, DF, Brésil, EMBRAPA-CPAC.
Ayarza, M., Vilela, L. et Rauscher, F. 1993. Rotação de culturas e pastagens em um solo de Cerrados: estudo de caso. Congresso Brasileiro de Ciência do Solo, 1993. Goiânia, Go., Brésil.
Cardoso, A.N. 1992. Soil management and conservation in the soybean crop. In Proc. Simpósio Sobre a Cultura da Soja nos Cerrados, 1992. Uberaba, MG, Brésil, EMBRAPA-CNPS/CPAC.
Carvalho, A. 1983. Pesquisas sobre o melhoramento do cafeeiro. In E. Malavolta, T. Yamada and J.A. Guidolin, eds. Nutrição e adubação do cafeeiro, p. 11-20. Piracicaba, SP, Brésil, Instituto da Potassa e Fosfato: Instituto Internacional da Potassa.
Crocomo, C. et Spehar, C.R. 1981. Nova variedade de soja para os Cerrados. Planaltina, DF, Brésil, EMBRAPA-CPAC (Communicado Técnico 16). 5 pages
Dedecek, R.A. 1986. Erosão e práticas conservacionistas nos Cerrados. Planaltina, DF, Brésil, EMBRAPA-CPAC (Circular Técnica 22).
EMBRAPA. 1979. Relatório Técnico Anual. Brasília, DF, EMBRAPA-CPAC. 195 pages
EMBRAPA. 1980. Relatório Técnico Anual. Brasília, DF, EMBRAPA-CPAC. 170 pages
EMBRAPA. 1981. Relatório Técnico Anual. Brasília, DF, EMBRAPA-CPAC. 190 pages
EMBRAPA. 1982. Relatório Técnico Anual. Brasília, DF, EMBRAPA-CPAC. 163 pages
EMBRAPA. 1992. Relatório Técnico Anual, 1988-1991. Sete Lagoas, MG, Brésil, EMBRAPA-CNPMS. 247 pages
Fageria, N.K., Baligar, V.C. et Wright, R.J. 1989. The effects of aluminum on growth and uptake of Al and P by rice. Pesq. Agropec. Bras., 24: 677-682.
Ferri, M.G. 1977. Ecologia dos Cerrados. In M.G. Ferri (éd.), Simpósio sobre o Cerrado: bases para a utilização agropecuária, p. 15-36. Belo Horizonte, MG, Brésil, Université de São Paulo.
Folle, S.M., Franz, C.A.B., Taniwaki, K. etInamasua, R. 1992. Development of data acquisition systems for agricultural machines. In Proc. Seminar on Agricultural Research Progress in the Cerrado Region, p. 91-95. Planaltina, DF, Brésil, EMBRAPA-CPAC/EMPA/JICA.
Fontoura, J.U.G. 1981. No Estado do Mato Grosso do Sul. In S. Miyasaka and J.C. Medina, eds. A soja no Brasil, p. 40. Campinas, SP, Brésil, IAC.
Genú, P.J.C., Pinto, A.C.Q. et Ferreira, F.R. 1991. Estabelecimento da cultura de citros no região dos Cerrados. In Relatório Técnico Anual do Centro de Pesquisa Agropecuária dos Cerrados 1985-1987, p. 215-219. Planaltina, DF, Brésil, EMBRAPA-CPAC.
Grove, T.L., Ritchey, K.D. et Naderman Jr, G.C. 1980. Nitrogen fertilization of maize on an oxisol of the Cerrado of Brazil. Agron. J., 72: 261-265.
Guimarães, D.P. 1991. Comportamento de espécies florestais fixadoras de nitrogênio em solos de Cerrado de baixa fertilidade. In Relatório Técnico Anual do Centro de Pesquisa Agropecuária dos Cerrados 1985-1987, p. 223-225. Planaltina, DF, Brésil, EMBRAPA-CPAC.
Hinson, K. 1972. Jupiter + A new soybean cultivar for tropical latitudes. Gainesville, Université de Floride Floride, Etats-Unis, (Circular S-217). 12 pages.
Hinson, K. 1989. Use of a long juvenile trait in cultivar development. In Proc. World Soybean Research Conference IV, p. 983-987. Buenos Aires, AASOJA.
Hudson, N.W. 1975. Field engineering for agricultural development. Oxford, Royaume-Uni, Clarendon Press. 225 pages
Kiihl, R.A.S. et Garcia, A. 1989. The use of the long-juvenile trait in breeding soybean cultivars. In Proc. World Soybean Research Conference IV, p. 994-1000. Buenos Aires, AASOJA.
Lopes, A.S. 1974. A survey of the fertility status of soils under Cerrado vegetation in Brazil. Université de la Caroline du Nord, Raleigh, Caroline du Nord, Etats-Unis. 138 pages (Mémoire)
Lopes, H.O.S. et Pereira, E.A. 1992. Sal mineral com uréia para bovinos na época seca. Planaltina, DF, Brésil, EMBRAPA-CPAC (Communicado Técnico 37). 5 pages
Madeira Neto, J.S., Macedo, J. et Azevedo, L.G. 1982. Brazilian problem soils: distribution, characteristics and utilization. In Proc. International Symposium on Distribution, Characteristics and Utilization of Problem Soils, p. 1-20. Tsukuba, Japon, TARC-MAFF.
Martin, N.B., Santos, Z.A.P.S. et Assumpção, R. 1987. Análise econômica da utilização de adubação verde nas culturas de algodão em rotação com milho e amendoim na região de Ribeirão Preto, SP. Campinas, SP, Brésil. 32 pages (Polycopié)
Miyasaka, S., Guimarães, G., Kiihl, R.A.S., Lovadini, L.A.C. et Dematte, J.D. 1970. Variedades de soja indiferentes ao fotoperiodismo e tolerantes à baixas temperaturas. Bragantia, 29: 169-173.
Moura, V. 1991. Seleção de espécies e procedências de essências florestais nativas e exóticas no região dos Cerrados. In Relatório Técnico Anual do Centro de Pesquisa Agropecuária dos Cerrados 1985-1987, p. 226-229. Planaltina, DF, Brésil, EMBRAPA-CPAC.
Pereira, J., Burle, M.L. et Resck. D.V.S. 1992. Adubos verdes e sua utilização nos Cerrados. In Proc. Simpósio sobre o Manejo e Conservação do Solo no Cerrado, p. 140-154. Campinas, SP, Brésil, Fondation Cargill.
Peres, J.R.R., Vargas, M.A.T. et Suhet, A.R. 1984. Variabilidade na eficiência em fixar nitrogênio entre isolados de uma mesma estripe de Rhizobium japonicum. Rev. Bras. Ci. Solo, 8: 193-196.
Ramos, V.H.V., Pinto, A.C.Q., Genú, P.J.C. et Ogata, T. 1991. Estabelecimento da cultura da manguira nos Cerrados Brasileiros. In Relatório Técnico Anual do Centro de Pesquisa Agropecuária dos Cerrados 1985-1987, p. 207-211. Planaltina, DF, Brésil, EMBRAPA-CPAC.
Resck, D.V.S. et Pereira, J. 1979. Efeito da incorporação de restos culturais e adubo verde nas propriedades físicas de um latossolo vermelho amarelo, fase Cerrado. In Proc. Congresso Brasileiro de Ciência do Solo, 17. Manaus, AM, Brésil, SBCS. (Résumé)
Resck, D.V., Pereira, J. et Silva, J.E. 1991. Dinâmica da matéria orgânica na região dos Cerrados. Planaltina, DF, Brésil, EMBRAPA-CPAC (Documento 36). 22 pages
Ritchey, K.D., Silva, J.E. et Costa, A.U.F. 1982. Calcium deficiency in the clayey B horizon of savannah oxisols. Soil Sci., 133: 378-382.
Ritchey, K.D., Urben Filho, G. et Spehar, C.R. 1982. Manganese deficiency induced by excessive liming in a latossolo vermelho-escuro Cerrado soil. In Proc. National Soybean Research Seminar II, p. 541-544. Brasília, DF, et Londrina, PR, Brésil, EMBRAPA-CNPS.
Ritchey, K.D., Sousa, D.M.G., Lobato, E. et Correa, O. 1980. Calcium leaching to increase rooting depth in a Brazilian savannah oxisol. Agron. J., 72: 40-43.
Sampaio, J.B.R. 1991. Competição de cultivares e linhagens de café visando obter material tolerante à ferrugem. In Relatório Técnico Anual do Centro de Pesquisa Agropecuária dos Cerrados 1985-1987, p. 201. Planaltina, DF, Brésil, EMBRAPA-CPAC.
Sanchez, P.A. 1976. Properties and management of soils in the tropics. New York, Etats-Unis, Wiley. 618 pages
Silva, J.A., Silva, D.B., Junqueira, N.T.V. et Andrade, L.R.M. 1992. Coleta de sementes, produção de mudas e plantio de espécies frutíferas nativas dos cerrados: Informações exploratórias. Planaltina, DF, Brésil, EMBRAPA-CPAC. 23 pages
Sousa, D.M.G., Miranda, L.N. et Lobato, E. 1987. Interpretação de análise de terra e recomendação de adubos fosfatados para culturas anuais. Planaltina, DF, Brésil, EMBRAPA-CPAC (Comunicado Técnico 49). 7 pages
Souza, P.I.M. et Goedert, W.J. 1989. Soybeans in the Brazilian Cerrados: soil fertility and management. In Proceedings of the World Soybean Research Conference IV, p. 2231-2244. Buenos Aires, AASOJA.
Spehar, C.R. 1989. The genetics of aluminum tolerance in soya beans, Glycine max (L.) Merrill. Université de Cambridge, Royaume-Uni. (Thèse)
Spehar, C.R. et Souza, P.I.M. 1993. Adapting the quinoa (Chenopodium quinoa Willd) to cultivation in the Brazilian highlands: preliminary results. Pesq. Agropec. Bras., 28.
Spehar, C.R., Monteiro, P.M.F.O. et Zuffo, N.L. 1992. Soybean breeding in central Brazil. In Proc. Simpósio Sobre a Cultura da Soja nos Cerrados, Uberaba, MG, Brésil, EMBRAPA-CNPS/CPAC.
Summerfield, R.J., Shanmugasundaram, S. & Roberts, E.H. 1985. Soybean adaptation to photo-thermal environments and implications for screening germplasm. In S. Shanmugasundaram and E.W. Sulzberger, eds. Soybean in tropical and subtropical cropping systems, p. 333-352. Tsukuba, Japon et Taïwan Province de Chine, AVRDC.
Vasconcelos, C.A., Marriel, I.E. et Pinto, N.F.J.A. 1989. Rotação de culturas e produtividade do milho em solo sob vegetação de Cerrado. Sete Lagoas, MG, Brésil, EMBRAPA-CNPMS (Comunicado Técnico 5). 5 pages
Vilela, L., Silva, J.E., Ritchey, K.D. et Sousa, D.M.G. 1985. Potássio. In W.J. Goedert, ed. Solos dos Cerrados: technologias e estratégias de manejo, p. 203-222. Planaltina, DF, EMBRAPA-CPAC et São Paulo, SP, Brésil, Nobel.
Vilela, L., Barcellos, A.O., Sanzonowicz, C. et Spain, J.M. 1991. Recuperação de pastagem de Brachiaria ruziziensis através do uso de grade aradora, nitrogênio e introdução de leguminosas. In Relatório T)_co Anual do Centro de Pesquisa Agropecuária dos Cerrados 1985-1987, p. 239-241. Planaltina, DF, Brésil, EMBRAPA-CPAC.

Previous PageTable Of ContentsNext Page