(A l'étape 5 de la Procédure du Codex)
Table des matiéres
INTRODUCTION
La normalisation est un mécanisme visant à assurer des produits de qualité. Les normes alimentaires fixent des régles à respecter pour que les produits alimentaires soient sûrs et propres à la consommation, de façon à protéger la santé des consommateurs.
Dans la sphère commerciale, les normes peuvent servir de base à des accords commerciaux. Les normes favorisent l'instauration de pratiques équitables en matière d'échanges de marchandises, supprimant ainsi les obstacles au commerce. Les normes internationales sont nécessaires et favorables aux échanges.
Les pays devraient être pleinement conscients du rôle joué par les normes alimentaires dans la protection de la santé des consommateurs, ainsi que dans le domaine commercial. Les normes alimentaires internationales du Programme mixte FAO/OMS sur les normes alimentaires sont à nos yeux absolument nécessaires pour protéger la santé des consommateurs et assurer des pratiques équitables en matiére de commerce des denrées alimentaires.
Les Directives ci-après serviront de référence lors de la création de nouveaux Services centraux de liaison avec le Codex ou de nouveaux Comités nationaux du Codex. Au cas où il existerait déjà une organisation assurant des liaisons efficaces entre l'industrie et les consommateurs, l'introduction d'une nouvelle organisation peut n'être pas nécessaire. Toutefois, le gouvernement pourra désigner une telle organisation comme Comité national du Codex.
SERVICES CENTRAUX DE LIAISON AVEC LE CODEX
Description
Le Service central de liaison avec le Codex a pour fonction essentielle de coordonner toutes les activités du Codex dans un pays members. Il est le destinataire initial des documents, publications et autres communications du Codex, gére une bibliothèque de normes, codes d'usages et directives du Codex accompagnés des documents annexes et, le cas échéant, lance des activités visant à faire connaître les buts, objectifs et travaux de la Commission du Codex Alimentarius et de ses organes subsidiaires.
Le Service central de liaison avec le Codex travaille en étroite collaboration avec le Comité national du Codex, qui est chargé d'examiner les questions techniques et de donner des conseils aux gouvernements. Lorsqu'il n'existe pas encore de Comité national du Codex, le Service central de liaison avec le Codex assure la liaison avec l'industrie agro-alimentaire, les consommateurs, les négociants et toutes les autres personnes ou organisations concernées, ainsi qu'avec les divers ministères compétents, afin que le gouvernement dispose d'un éventail approprié de conseils politiques et techniques sur lesquels fonder ses décisions concernant des questions liées aux travaux de la Commission du Codex Alimentarius.
Dans le domaine des communications, le Service central de liaison fait le lien entre le Secrétariat du Codex et les pays members, les divers ministères compétents de chaque pays membre, les groupes du secteur privé comme l'industrie agro-alimentaire et les organisations de consommateurs, la communauté scientifique et les particuliers s'intéressant plus spécialement à certaines questions ou possédant des qualifications scientifiques. Dans les pays où les politiques nationales autorisent des contacts directs avec des fonctionnaires d'autres pays, le Service central de liaison avec le Codex assure l'échange d'informations et la coordination d'activités avec d'autres pays members du Codex, notamment dans une même région géographique où il est souvent nécessaire d'échanger des informations ou de coordonner des réponses réponses régionales aux questions soulevées par le Codex.
Le Service central de liaison avec le Codex distribue les documents, publications et autres données du Codex aux entreprises, aux organisations d'industriels, aux bibliothèques et aux personnes ou institutions s'occupant d'enseignement, ainsi qu'aux divers ministéres gouvernementaux intéressés. Le Service central de liaison avec le Codex est le coordonnateur de toutes les réponses aux questionnaires ou autres demandes d'informations du Codex. Enfin, le Service central de liaison avec le Codex joue un rôle d'intermédiaire dans le processus consultatif entre gouvernements membres, consommateurs et organes compétents.
Nécessité
Celle-ci est double. D'abord, les pays membres eux-mêmes ressentent la nécessité d'un centre de liaison et de coordination pour les activités du Codex. Dans la plupart d'entre eux, plusieurs ministéres s'intéressent ou participent directement aux systémes de production, de distribution et de contrôle des denrées alimentaires. Normalement, tous ces ministéres souhaitent être impliqués dans le processus de prise de décisions qui risque d'avoir un impact sur leurs domaines de responsabilités. De même, le secteur de l'agro-alimentaire comprend habituellement un nombre important de producteurs indépendants dont les intérêts peuvent être affectés par les décisions du Codex.
Le Secrétariat du Codex à Rome a également besoin d'un point de contact précis et permanent par lequel faire passer toutes les communications du Codex. Ces communications peuvent être adressées expressément au gouvernement du pays membre ou peuvent revêtir la forme de documents ou de publications à distribuer, de questionnaires à faire remplir, etc. Sans même parler des quelques pays membres dont les conventions interdisent les communications directes entre les organisations internationales et les organes internes du gouvernement, il serait économiquement impossible, même si cela était faisable sur le plan technique, pour le Secrétariat du Codex de tenir à jour la liste des noms et adresses de tous les groupes et particuliers du secteur public ou privé de tous les pays membres intéressés et de leur envoyer directement de Rome, par la poste, tous les documents, lettres circulaires et publications.
Tout comme les gouvernements et le secteur agro-industriel, de même les consommateurs, qui sont les bénéficiaires en dernier ressort du systéme de production, de réglementation et de contrôle des denrées alimentaires sont directement intéressés par les travaux du Codex. Compte tenu de l'intérêt qu'ont tous ces groupes à participer au débat et à être consultés sur les positions politiques et techniques nationales à prendre lors des réunions du Codex, la coordination et la gestion des processus consultatifs s'imposent comme une nécessité. Lorsqu'un Comité national du Codex n'a pas encore été désigné à cette fin, c'est au Service central de liaison avec le Codex qu'il revient de faire en sorte que ces consultations aient lieu et que des avis fondés, équitables et équilibrés soient donnés aux gouvernements.
Même lorsqu'un Comité national du Codex a été désigné, le Service central de liaison avec le Codex a un rôle à jouer dans l'organisation des réunions, la distribution des documents, l'enregistrement des débats, le lancement d'activités de suivi et la communication des résultats au Secrétariat du Codex à Rome.
Situation
Dans la mesure où ce sont les gouvernements des pays qui sont membres de la Commission du Codex Alimentarius et qui prennent en dernier ressort les décisions concernant les politiques, les réglements et les contrôles en matiére de denrées alimentaires, la coordination des activités du Codex dans un pays revient, en toute logique, au gouvernement. En outre, le secteur gouvernemental est en général le mieux placé et le mieux équipé pour assurer les fonctions de Service central de liaison avec le Codex.
Le choix du Ministère où placer le Service central de liaison avec le Codex peut être déterminant pour le succès de l'opération. L'expérience montre que vu l'importance d'une bonne compréhension technique des problémes étudiés il est hautement souhaitable que le Service central de liaison soit situé dans le ministère qui est chargé de déterminer la politique gouvernementale en matière de normes alimentaires et de contrôle des aliments. Si ces fonctions sont réparties entre plusieurs ministères, le Service central de liaison peut être situé dans l'un ou l'autre d'entre eux, mais de préférence dans celui qui assume l'essentiel des responsabilités en matière d'élaboration et d'application des règlements et des contrôles concernant les denrées alimentaires. Toutefois, d'autres facteurs tels que la disponibilité de ressources, la répartition des responsabilités entre les ministéres, la nature de l'industrie alimentaire nationale et le systéme de contrôle des aliments peuvent tous jouer un rôle dans le choix de l'emplacement du Service central de liaison avec le Codex.
Où qu'il soit placé, le Service central de liaison doit absolument disposer des ressources financiéres, humaines, physiques et autres nécessaires pour s'acquitter de ses fonctions. La consultation et la coopération doivent être la régle entre les ministéres concernés, faute de quoi, le succés des activités du Service central de liaison avec le Codex serait sérieusement compromis. Par conséquent, il est souhaitable que la décision concernant la situation du Service central de liaison, les pouvoirs qui lui seront confiés et son champ d'action soit prise au niveau ministériel. Même si cela ne résout pas tous les problémes de concurrence entre ministéres, cela permettra d'assurer le maximum de coopération possible.
Matériel et autres exigences
Une fois déterminé l'emplacement du Service central de liaison avec le Codex, il convient de notifier à toutes les personnes concernées sa création et de le doter des ressources humaines, financiéres, physiques et autres nécessaires.
La premiére chose à faire est sans doute d'informer le Secrétariat du Codex à Rome du nom et de l'adresse du Service central de liaison. Dés réception de ces renseignements, le Secrétariat du Codex pourra ainsi faire passer toutes ses communications par le Service central de liaison. Il n'est pas nécessaire d'attendre qu'une personne soit nommée à ce poste pour informer le Secrétariat du titre du poste, ainsi que de l'adresse exacte. Le Secrétariat du Codex transmettra cette information à d'autres membres afin de faciliter les communications directes entre pays.
En même temps,pour s'assurer que toutes les personnes et organisations concernées du pays sont au courant de la création du Service central de liaison, il est souhaitable de lui faire une vaste publicité, tant dans la presse que par lettre envoyée à un maximum d'organisations d'industriels, de consommateurs et autres, ainsi que de particuliers intéressés. Des organisations récentes et des particuliers peuvent être encouragés par le biais des médias à faire connaître leurs intérêts particuliers au Service central de liaison, ce qui permettra d'établir des listes de contact détaillées.
En ce qui concerne les installations matérielles, un certain nombre d'articles sont nécessaires pour permettre au Service central de liaison d'assumer correctement ses fonctions. Il s'agit notamment des équipements et services suivants:
dispositifs de réception du courrier afin que les documents et autres communications provenant du Secrétariat du Codex et d'ailleurs parviennent au Service central de liaison en bon état et dans les meilleurs délais;
téléphone, télécopie (si possible) et autres systèmes de communication appropriés;
étagères ou autres systèmes de rangement adéquats pour stocker les nombreux documents du Codex recus pour distribution, gérer une bibliothèque d'ouvrages de référence, classer des dossiers, etc.;
bureaux, tables et matériel de bureau pour la reproduction, le tri, la collation et la compilation de documents en vue de leur distribution;
dispositifs permettant de diffuser rapidement et/ou de distribuer les documents, publications et autres données du Codex aux ministères et autorités publiques concernés ainsi qu'aux organisations d'industriels, de consommateurs scientifiques et autres, bibliothèques techniques et entreprises et particuliers intéressés;
personnel de bureau, traducteurs (le cas échéant) et personnel secrétariat pour assurer les tâches administratives, rédiger la correspondance, envoyer les documents, coordonner les réponses aux questionnaires, organiser les réunions et consultations, traduire les documents, dactylographier et assumer les nombreuses autres tâches qui ne manqueront pas de se présenter;
systèmes de fichiers appropriés permettant de tenir à jour des listes d'adresses et de questions auxquelles s'intéressent plus particulièrement certains industriels, représentants de consommateurs ou particuliers;
financement suffisant pour permettre au Service central de liaison de remplir ses fonctions de manière efficace et rentable.
COMITE NATIONAL DU CODEX
Outre le renforcement du Service central de liaison avec le Codex, on a jugé extrêmement important de créer un Comité national du Codex pour compléter les activités menées par le Service central de liaison et pour assurer la participation de tous les ministères/organismes, industriels et consommateurs concernés.
Nécessité et composition
La désignation d'un Comité national du Codex répond àla nécessité bien comprise d'appuyer les fonctions du Service central de liaison et de garantir que tous les ministéres, organisations non gouvernementales, groupes de consommateurs et industriels aient d'amples occasions de présenter leurs vues sur diverses questions du Codex, notamment celles relatives au contrôle des denrées alimentaires. Le mandat d'un tel Comité consisterait essentiellement à conseiller le gouvernement en ce qui concerne les incidences de diverses questions relatives à la normalisation et au contrôle des denrées alimentaires qui se posent actuellement et dont s'occupe la Commission du Codex Alimentarius. Un tel groupe consultatif rendrait également de grands services au gouvernement en contribuant à assurer des approvisionnements alimentaires sûrs aux consommateurs, tout en renforcant les possibilités de développement industriel et d'expansion du commerce international.
La présidence du Comité national du Codex devrait normalement être assumée par le ministère responsable au premier chef, des questions relatives aux normes alimentaires, qui abrite également le Service central de liaison. Le Comité devrait être composé de représentants des ministères concernés, de l'industrie alimentaire, du secteur commercial, des groupes de consommateurs et d'organisations scientifiques et autres. Le respect du principe de neutralité a été jugé indispensable pour prévenir les rivalités ou la concurrence entre ministères/agences gouvernementales participant directement aux activités du Codex.
Le mandat et la composition du Comité national du Codex devraient être déterminés avec précision. Le Président du Comité devrait être la personne la plus haute placée, le Secrétaire permanent par exemple, du Ministère responsable et le Directeur du Bureau du Comité national devrait servir de secrétaire. Le Comité devrait être composé de représentants de divers ministères et d'associations importantes, ainsi que de quelques experts présents à titre individuel, afin d'inclure toutes les parties concernées. Le Comité se réunit régulièrement une fois par mois.
Des sous-comités peuvent être créés, en fonction des travaux assignés par le gouvernement, pour étudier des questions spécifiques.
Chaque sous-comité est composé de représentants de l'industrie et des consommateurs et de techniciens ou de représentants des autorités chargés des contrôles, dans des proportions appropriées. Les membres du Bureau du Comité national servent de secrétaires aux sous-comités.
Membres
La personne la plus haut placée au ministère responsable assume la présidence.
Les ministéres intéressés: ce sont ceux de la santé, de l'agriculture et des pêches, du développement industriel, du commerce international, de la protection des consommateurs, des sciences et des technologies, des affaires étrangères et de la planification économique.
Organisations scientifiques et autres: les organismes de recherche - développement sur les denrées alimentaires peuvent habituellement apporter au Comité un ensemble d'informations scientifiques indépendantes qui peuvent être précieuses pour l'examen des questions relatives aux normes alimentaires et à des sujets connexes.
L'industrie agro-alimentaire: les représentants des divers intérêts sectoriels au sein de l'industrie alimentaire, tels que le secteur halieutique, le secteur des fruits et légumes transformés, le secteur laitier, etc.
Le secteur commercial: les importateurs et les exportateurs de denrées alimentaires sont concernés par toute modification des normes et d'autres exigences applicables aux denrées alimentaires faisant l'objet d'un commerce international.
Consommateurs: les consommateurs sont en dernier ressort les bénéficiaires ou les victimes, selon le cas, de tout changement apporté aux normes auxquelles les denrées alimentaires doivent être conformes. Indirectement, par le biais du mécanisme des prix du marché, ils paient aussi le prix de toute exigence supplémentaire imposée aux producteurs. Dans ces conditions, il n'est pas seulement raisonnable, mais essentiel que les consommateurs aient la possibilité de participer au processus de consultation. La participation de représentants des consommateurs au Comité national du Codex est un moyen de garantir que le point de vue des consommateurs soit pris en compte lors de l'examen de toute question relative aux normes alimentaires, à la sécurité des aliments et àla protection des consommateurs.
Membres individuels: il arrive fréquemment que des particuliers aient une connaissance trés précise de tel ou tel aspect de la transformation ou du contrôle des denrées alimentaires. ll s'agit souvent de personnes qui ont travaillé dans l'industrie agro-alimentaire ou dans des organismes de recherche. Le recrutement de telles personnes particulièrement qualifiées permet au Comité national du Codex de profiter d'une expertise unique et précieuse.
Fonctions
Désigner les sous-comités d'étudier ou d'examiner les questions techniques.
Coopérer avec le Programme mixte FAO/OMS sur les normes alimentaires et désigner des délégués pour assister aux réunions du Codex.
Etudier les documents du Codex, collecter et réviser toutes les informations pertinentes relatives aux technologies, à l'économie, à la santé et aux systèmes de contrôle, de façon à pouvoir justifier l'acceptation des normes Codex.
Proposer aux gouvernements une procédure d'acceptation des normes alimentaires internationales et aux organisations des moyens de donner suite á cette acceptation.
Coopérer avec d'autres organisations locales et étrangéres dont le travail porte sur les normes alimentaires.
Autres fonctions assignées par le gouvernement.
Sous-comités du Comité national du Codex
Le cas échéant, le Comité national du Codex peut désigner des sous-comités pour l'aider à étudier ou à examiner des question techniques. Les sous-comités ainsi créés peuvent travailler sur des questions traitées par les Comités du Codex. D'autres sous-comités ou groupes de travail sur des questions particulières peuvent être créés en fonction des intérêts du pays.
BUREAU DU COMITE NATIONAL DU CODEX
Le Bureau du Comité national du Codex est le Service central de liaison lui-même et le secrétariat du Comité national du Codex.
Le plan de travail est établi conformément aux grandes lignes de la politique du Codex. La tâche principale du Service central de liaison avec le Codex est la diffusion des documents du Codex auprès des agences gouvernementales et privées concernées à titre d'information et pour observations constructives.
Il arrive que l'information sur les normes et codes du Codex soit diffusée à l'occasionn de séminaires. Dans certains cas, les publications du Codex sont traduites dans la langue locale lorsque des recommandations doivent être formulées à l'intention des entreprises.
En ce qui concerne la formulation d'observations et l'acceptation par le pays des textes Codex, il convient de suivre la procédure nationale pour les travaux du Codex. Les observations du pays sur totue norme ou LMR sont fondées sur des données recueillies auprés des organismes concernés et examinées par le sous-comité pertinent du Comité national du Codex, pour être ensuite soumises au Comité pour examen et approbation en tant qu'observations nationales celles-ci sont ensuite communiquées au Codex pour information.
En ce qui concerne l'acceptation des normes Codex, les suggestions ou considérations sont soumises au gouvernement pour approbation et communication aux organismes concernés qui seront invités à prendre les mesures nécessaires. L'application des normes et des LMR Codex s'appuie sur les lois en vigueur ayant trait à la question traitée.
Le délégation assistant aux sessions du Codex est toujours composée de représentants de divers ministères et d'associations concernées, qui sont désignés par le Comité national du Codex et confirmés par le ministre responsable.
Les documents de séance, les résumés et la résolution du Comité national du Codex pour chaque point de l'ordre du jour sont communiqués aux délégués par le Bureau du Comité national du Codex. Après chaque réunion, le délégué doit soumettre un rapport au Comité national du Codex conformément à la résolution de ce dernier.
Bien souvent, les données nécessaires ne sont pas disponibles ou les données existantes sont insuffisantes pour l'examen de certains projets de normes ou de LMR. Des expériences et des projets de recherche seront mis en oeuvre en collaboration avec d'autres organisations locales, tant gouvernementales que privées, afin d'obtenir les données nécessaires à la formulation des observations nationales et à l'examen de l'acceptation des normes et LMR Codex.
Responsabilités
Servir de secrétariat au Comité national du Codex.
Servir de Service central de liaison du pays pour le Programme mixte FAO/OMS sur les normes alimentaires.
Collecter, acquérir et analyser des données en vue de l'élaboration de normes alimentaires internationales avec le Programme mixte FAO/OMS sur les normes alimentaires.
Suivre les activités liées à l'élaboration de normes alimentaires internationales et fournir des observations et des données afin que les normes alimentaires internationales élaborées soient acceptées par les fabricants locaux et ne fassent pas obstacle à l'exportation de produits alimentaires nationaux.
Effectuer le travail d'analyse et de recherche nécessaire pour résoudre tout probléme résultant de l'élaboration des normes alimentaires internationales.
Encourager l'industrie alimentaire locale à améliorer la surveillance de la qualité et de l'hygiène afin de se conformer aux normes internationales.
Servir de centre de diffusion de l'information sur les normes alimentaires et les lois sur les denrées alimentaires auprés des fabricants, des exportateurs et des organisations concernées.
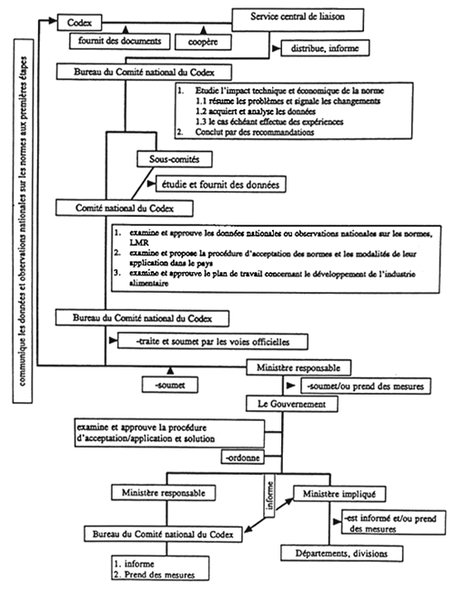
Organigramme

Structure organisationnelle
La structure organisationnelle du Bureau du Comité national du Codex peut être analogue à celle de la Commission du Codex Alimentarius.

METHODE DE TRAVAIL DU CODEX

MODALITES DE PARTICIPATION AUX REUNIONS DU CODEX

DIRECTIVES CONCERNANT LA DISTRIBUTION DES DOCUMENTS DU CODEX
1. Tous les documents aux organes autorisés tels que:
2. Toutes les publications à la Bibliothèque de référence
3. Documents, selon le sujet traité, aux:
4. Sur demande
AUTRES ACTIVITES
1. Diffusion de l'information
Les normes, les codes et les publications importantes du Codex devraient être traduits dans la langue locale et distribués à toutes les personnes, organisations et entreprises intéressées.
2. Ateliers et/ou séminaires
Le Comité national du Codex devrait organiser des ateliers et/ou séminaires pour promouvoir une meilleure compréhension des normes alimentaires et des questions de sécurité alimentaire à l'intention des industriels sur des sujets comme le contrôle de la qualité au stade de la transformation des aliments, l'hygiène personnelle, les bonnes pratiques de fabrication, la nécessité d'un emballage et d'un étiquetage corrects, afin de s'assurer que le “message Codex” parvient à une section aussi large que possible de la collectivité.
3. Publications
Les publications ont elles aussi un rôle à jouer dans l'éducation tant des responsables politiques que du public en général. Il existe de nombreuses publications du Codex, de la FAO et de l'OMS sur la sécurité des aliments et les normes alimentaires, mais trop souvent, elles restent ignorées tant de l'industrie alimentaire que des consommateurs. II peut être nécessaire de traduire certaines des publications les plus importantes dans la langue locale de façon que l'ensemble de la population puisse profiter des connaissances ainsi mises à sa disposition.
4. Coopération régionale
L'instauration de communications et d'une coopération permanentes avec d'autres pays membres au sein d'une région peut donner l'occasion d'activités conjointes visant à promouvoir les activités du Codex et à mettre en commun matériels et expérience. Dans ce contexte, s'il existe déjà une bonne coopération entre la plupart des pays membres d'une même région, on continuera à explorer tous les moyens de renforcer cette coopération et d'exercer une influence tant sur l'industrie alimentaire que sur les gouvernements, afin d'encourager le respect des principes de la Commission du Codex Alimentarius.
5. Assistance aux réunions
Nul n'ignore que la participation aux réunions du Codex peut être coûteuse et difficile à justifier compte tenu des priorités gouvernementales pour l'attribution des fonds sur des budgets limités. Ce problème est encore plus aigu dans les pays en développement. Toutefois, étant donné que l'industrie alimentaire et la communauté dans son ensemble profiteront de l'acceptation et de l'application des normes Codex, qui assureront des approvisionnements alimentaires plus sûrs et de meilleure qualité et faciliteront l'accès aux marchés d'exportation, les comités nationaux du Codex pourraient peut-être obtenir des industriels des fonds supplémentaires pour envoyer des représentants aux réunions du Codex.
Lorsqu'il n'est pas possible d'obtenir des fonds ni du gouvernement ni d'autres sources, les Comités nationaux devraient exercer toute leur influence pour s'assurer que des observations écrites sur les questions traitées sont envoyées au Secrétariat du Codex. Ces observations seront ensuite portées à l'attention de la réunion appropriée, de façon que l'opinion de tous les Etats Membres puisse être prise en compte.
6. Projets et expériences
Lorsque les données nécessaires à l'examen de certains projets de normes ou limites maximales font défaut, le gouvernement devrait allouer des fonds à la conduite d'expériences ou de projets de recherche en collaboration avec d'autres organisations locales, publiques ou privées, afin d'obtenir des données suffisantes.