First draft prepared by
Dr. J. D. MacNeil
Agriculture & Agri-Food Canada
Health of Animals Laboratory
Saskatoon, Canada
IDENTITY
Chemical name:
Tilmicosin (IUPAC name): (10E, 12E)-(3R,4S,5S,6R,8R,14R,15R)-14-(6-deoxy-2,3-di-O-methyl-b-d-allo-hexopyranosyoxymethyl)-5-(3,6-dideoxy-3-dimethylamino-b-d-gluco-hexapyranosyloxy)-6-[2-(cis-3,5-dimethyl-piperidino)ethyl]-3-hydroxy-4,8,12-trimethyl-9-oxoheptadeca-10,12-dien-15-olideChemical Abstracts Services Name: tylosin, 4A-O-de(2,6-dideoxy-3-C-methyl-alpha-L-ribo-hexopyranosyl)-20-deoxy-20-(3,5-dimethyl-1-piperidinyl)-(20(cis: trans))
C.A.S. number: 108050-54-0
Synonyms: 20-Deoxy-20-(3,5-dimethylpiperidin-1-yl)-desmycosin
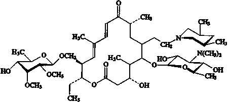
Structural formula
Molecular formula: C46H80N2O13
Molecular weight: 869.15
OTHER INFORMATION ON IDENTITY AND PROPERTIES
Pure active ingredient:
Melting point: Not determined
Solubility:
Freely soluble (1500 mg/L or greater) in organic solvents (hexane, acetone, acetonitrile, chloroform, dichloromethane, ethyl acetate, methanol, tetrahydrofuran); water solubility is temperature and pH dependent, but is 566 mg/mL at pH 7 and 25°C.
Purity:
Tilmicosin consists of 82-88% cis isomer and 12-18% trans isomer, as determined by liquid chromatographic assay.
RESIDUES IN FOOD AND THEIR EVALUATION
CONDITIONS OF USE
General
Tilmicosin is a macrolide antibiotic developed for veterinary use. It is recommended for treatment and prevention of pneumonia in cattle, sheep and pigs, associated with Pasteurella haemolytica, P. multocida, Actinobacillus pleuropneumoniae, mycoplasma species and other microorganisms found sensitive to this compound. Tilmicosin has not been previously reviewed by the Committee.
Dosage
Available formulations of tilmicosin include an injectable for use in cattle and sheep (Micotil 300) and premix formulations for swine (Pulmotil G40, G100 and G200). The recommended dose of the injectable formulation in both cattle and sheep is a single subcutaneous (SC) injection of 10 mg/kg BW. Recommended dose for swine in feed is 200-400 mg/kg of feed for 10 to 21 days, equivalent to 8-20 mg/kg BW per day.
METABOLISM
Pharmacokinetics
General
Rat
Thirty Fischer strain 344 rats (15 male, 15 female) each received an oral dose of 20 mg/kg BW 14C-tilmicosin on three successive days (Donoho, 1988). A separate group (10 males, 10 females) served as controls. Excreta were collected for 2 days prior to dosing, during the 3 days on which doses were administered and for 3 days following the last dose. Urine and faecal samples were pooled separately for the males and the females for each sampling day. All rats were sacrificed 3 days after the final dose was administered and livers from the treated rats were collected and pooled by sex. Livers from the non-treated rats were combined to provide a single control pool. Urine collected from rats 48 hours after treatment began contained residues equivalent to 10 mg/L tilmicosin, shown to be primarily parent compound by radiochromatography and by TLC autoradiography. Faeces contained approximately 35 mg/kg tilmicosin equivalents, found to be a metabolite designated as T-1, parent tilmicosin and a tilmicosin-related compound, designated as T-2. Rat livers, however, contained primarily parent tilmicosin and practically no T-2, indicating that this compound is not bioavailable to animals when given orally. T-2 was isolated from technical grade tilmicosin and a structure has been proposed, based on mass spectral and NMR data, based on a molecular formula of C84H143N3O26, and a molecular weight of 1609. T-1 was identified as N-desmethyl tilmicosin, corresponding to a loss of-CH2, apparently on the mycaminose sugar of tilmicosin. T-1 has a molecular weight of 854 and a composition of C45H78N2O13.
Twenty Fischer strain rats (10 male, 10 female) were given an oral dose by gavage of 50 mg/kg BW tilmicosin per day for 5 successive days (Donoho and Kennington, 1993). Urine and faeces were collected and pooled by sex. Faeces were found to contain a metabolite designated as T-4, previously identified in pig faeces (Donoho et al, 1992). The common identity of the metabolites isolated from the two experiments was confirmed by LC/MS/MS.
Cattle
No difference in absorption was observed in calves given a single dose of 10 mg/kg BW of tilmicosin by IM injection in the semitendinosus muscle or SC in the dorsolateral chest or lateral neck muscles (Thomson, 1989a), or in feedlot cattle which received a similar treatment (Thomson, 1989b). Peak mean tilmicosin levels were observed in 1-hour serum samples in the calves, but were close to peak for 12 hours post-dosing in the cattle, with Tmax for the recommended dorsolateral chest muscle site being 6 hours. In a study in which a single steer received one dose of 30 mg/kg BW of 14C-tilmicosin, recovery of radiolabelled material within the first 7 days was 16.0% in urine and 61.0% in faeces (Giera et al., 1986a). At slaughter 15 days post-treatment, 90.8% of the radiolabelled material had been eliminated in urine and faeces, while 3.8% remained in the injection site and smaller amounts in the liver and kidney (residues equivalent to 9 and 18 mg/kg, respectively). These results were confirmed in a second experiment in which a steer received a single dose of 20 mg/kg BW 14C-tilmicosin. It was shown that 22.7% of the radiolabelled material was eliminated in the urine and 63.5% in the faeces within 7 days of treatment (Giera et al., 1986b). At 21 days post treatment, 91.8 % of the radiolabelled material had been recovered in urine and faeces, while 0.3 % was found in the liver, kidney and injection site. The data from these studies suggest a slower absorption in mature feedlot cattle than in neonatal calves.
Further studies to characterize the recovered radiolabelled material indicated that the majority was parent compound (Giera and Peloso, 1986). As in the rat, the three primary substances found in the liver of cattle were parent compound, T-1 and T-2, but a minor metabolite designated T-3 was also found in cattle faeces (Donoho, 1988). This metabolite appeared to be formed by the replacement of -N(CH3)2 on the mycaminose sugar with -OH. It has also been shown that tilmicosin residues are distributed throughout the body of a steer following a single SC injection of 20 mg/kg BW, with highest persistent levels in the liver and the injection site at 21 days (5.5 and 5.2 mg/kg, respectively), but significant residues also occurring in the kidney (2.3 mg/kg) and lung (0.9 mg/kg) (Giera et al, 1986b).
Sheep
The absorption of tilmicosin in sheep was the subject of three reported studies. In the initial study, 3 groups, each consisting of 5 sheep weighing approximately 40 kg, received intravenous doses of tilmicosin at rates of 2.5, 5.0 and 7.5 mg/kg BW and were then observed for toxic responses (Cochrane and Thomson, 1990). Allowing a minimum 14 days between treatments, the same animals were also treated with SC injections in the dorsolateral chest of tilmicosin at 10, 30, 50 and 150 mg/kg BW, with the same group being used for the 10 and 150 mg/kg dose rates, observing a 14 day period between treatments. Injection sites were clinically detectable at dose rates of 30 mg/kg BW and higher, with the time period in which they were observable increasing with the dose rate. Pharmacokinetic parameters determined for the various treatment levels are given in Table 1.
Table 1. Pharmacokinetics (serum) of tilmicosin in sheep following a single SC injection in the dorsolateral chest
|
Variables |
Dose Rate (mg/kg BW) |
|||
|
10.0 |
30.0 |
100.0 |
150.0 |
|
|
Cmax (m g/mL) |
0.44 |
1.14 |
2.15 |
2.50 |
|
tmax (h) |
8 |
12 |
24 |
36 |
|
AUCa (m g/h/mL) |
10 |
35 |
120 |
185 |
In a second study, two groups of 6-month old sheep (28-50 kg BW, 24 animals per group) received doses of tilmicosin in the left dorsolateral chest wall at 10 and 20 mg/kg BW, respectively (Patel et al, 1991). Serum samples were collected from 4 animals from each treatment group prior to dosing and at intervals of 8, 24, 48, 72 and 96 hours post-dosing. Samples were analyzed using a liquid chromatographic assay with a limit of determination of 0.05 mg/L. Highest serum concentrations were observed in the 8-hour samples for both treatment groups (1.18 and 2.28 mg/L, respectively), with depletion in blood apparently following a 2-compartment model.
Finally, 14 lambs (7 male, 7 female, BW 16-23 kg), received a single SC injection of 14C-tilmicosin at a dose of 20 mg/kg BW, administered in the lateral thoracic wall (Hawkins et al, 1993). Collection of urine and faeces revealed excretion of 85.2% of the dose within 7 days, with 71.9% being in the faeces. Residues were distributed throughout tissues assayed in animals sacrificed at days 3 through 28, with highest levels found in liver and injection site skin at day 28. The residue appeared to be predominantly parent tilmicosin, with T-1 and T-2 also being found, similar to results observed in cattle. Based on assay of serum samples by liquid scintillation counting, Cmax was 1.42 mg/L at Tmax of 3.8 hrs. Analysis of these samples by liquid chromatography for parent tilmicosin gave a Cmax of 0.96 mg/L at Tmax of 4 hrs (Patel et al, 1992).
Swine
Due to toxic response to intravenous bolus dosing, the basic pharmacokinetic parameters for swine could not be determined using this experimental approach. In 10-week old pigs administered tilmicosin at 200 and 400 mg/kg in feed (approximately 11 and 21 mg/kg/day dose levels), serum and lung tissue samples were collected post-mortem for groups of 4 animals (2 male, 2 female) slaughtered at 2, 4, 7, 10 and 14 days after initiation of treatment (Thomson, T.D., Darby, J.M., Moran, J.W., and Tonkinson, L.V., 1993). Serum levels were low, below the limit of quantitation (0.1 mg/L) in 17 of 20 animals on the low dose feed. At the higher dose rate, tilmicosin concentrations in serum ranged from < 0.10 to 0.23 mg/L, with detectable levels in 17 of 20 animals. Residue concentrations in lung tissue increased between 2 and 4 days of treatment, but then remained relatively stable at both treatment levels. At the lower treatment rate, concentrations in lung tissue were in the range 1.1 to 1.4 mg/kg, while at the higher rate levels were approximately 2.2 mg/kg.
Three studies were reported in which the excretion of tilmicosin residues by orally dosed swine was investigated. In the initial study, 14C-tilmicosin, labelled in the piperidine ring, was administered in a single dose in feed fortified at 220 mg/kg, after which urine and faeces were collected during a 13-day withdrawal period (Giera and Thomson, 1986). Overall, 80% of the radiolabelled material was recovered in the faeces and 15% was in the urine. However, there was concern that results may have been affected by a contaminant, which accounted for 6% of the residue in urine. A second study, using a dose of 110 mg/kg in feed, provided recoveries of 75.6 % and 62.3 % in faeces collected from 2 hogs over 11 days following a single treatment, while recoveries in urine were 3.9% and 4.9%, respectively (Donoho and Thomson, 1988). More than 90% of the recovered radioactivity was found within 3 days of dosing. In a third study, 6 pigs were treated with feed containing 400 mg/kg 14C-tilmicosin for 5 days and urine and faeces from 2 pigs slaughtered at 14 days withdrawal were collected for analysis (Donoho et al, 1992). Recovery was 70.1 % of the original dose in faeces (64.5%) and urine (5.6%), with most of this occurring in the first 7 days following administration (62.2% of total dose). The residues were found to be primarily parent tilmicosin, with a small amount of metabolite T-1 in the urine and a metabolite designated as T-4 accounting for 10 % of the residues in faeces. T-4 was proposed to have a structure in which one carbon-carbon double bond was reduced and -SO3H was added to the macrolide ring, based on spectrometric analysis.
TISSUE RESIDUE DEPLETION STUDIES
Radiolabeled Residue Depletion Studies
Cattle
Five animals (4 steers, 1 bull, weights 157-202 kg) received a single dose of 20 mg/kg BW 14C-tilmicosin by SC injection in the dorsolateral rib area (Giera et al, 1986b). Total radioactive residues were determined in the primary edible tissues at withdrawal intervals of 3 (1 steer), 21 (2 steers) and 56 days (1 steer, 1 bull). Residues were similar in liver and kidney tissues at day 3 (36.0 and 39.2 mg/kg, respectively), but were higher in liver at the longer withdrawal periods. Highest concentrations of residue were found in the 3-day injection site (81.6 mg/kg), but residues in 21-day injection sites were similar to those found in the matched livers. At 56 days, residues in injection sites were lower than in the livers. Residues were at 2.0 mg/kg in muscle tissue at day 3, but were not detected at the longer withdrawal times. Results were consistent with those reported in a 15-day withdrawal study with a single steer, using a dose of 30 mg/kg BW 14C-tilmicosin, where total residues found were: injection site, 88.4 mg/kg; liver, 17.6 mg/kg; kidney, 8.9 mg/kg; muscle, 0.2 mg/kg (Giera et al, 1986a).
A further experiment was conducted using 12 cattle (each approx. 200 kg BW) which received a single SC injection of 14C-tilmicosin at a dose of 10 mg/kg BW over the rib cage (Donoho et al, 1988). The results, shown in Table 2, demonstrate a depletion pattern similar to that found in the earlier studies. Significant residues may remain at the injection site for 4-6 weeks post-injection. Residues in the liver and kidney are similar 3 days after treatment, but at longer withdrawal periods residues are more concentrated in the liver, reflecting the observed distribution of the drug residues found in faeces and urine. Residues found in muscle and fat tissue are significantly lower than those found in the organ tissues and injection sites.
Table 2. Residues of tilmicosin in tissues of cattle resulting from a single SC injection of 14C-tilmicosin at 10 mg/kg BW.
|
Withdrawal (days) |
14C-Tilmicosin Equivalents (mg/kg) |
|||||
|
n |
Liver |
Kidney |
Muscle |
Fat |
Inj. Site |
|
|
3 |
2 |
19.44 |
18.09 |
0.40 |
0.24 |
73.53 |
|
14 |
2 |
11.63 |
2.51 |
0.09 |
0.05 |
13.82 |
|
28 |
3 |
5.74 |
0.59 |
< 0.05 |
0.03 |
5.07 |
|
42 |
3 |
3.52 |
0.27 |
NDa |
< 0.04 |
0.94 |
|
56 |
2 |
2.72 |
---b |
---b |
---b |
0.33 |
a ND = not detected; b --- = not analyzed
Liver, muscle and injection site muscle from these animals was also analyzed for parent compound by HPLC, using a method with a reported LOQ for liver and muscle of 0.06 mg/kg and recoveries of 60-80 %. The results, reported in Table 3, showed that in liver, parent compound declined as a percentage of total residue from 37% at 3 days withdrawal to 7 % at 28 days. During the same period, about 50 % of the total residue at the injection site is parent compound.
Table 3. Residues of tilmicosin parent compound in tissues of cattle treated with a single SC injection equivalent to 10 mg/kg BW. Data were not corrected for recovery (recovery of 60 - 80% reported).
|
Withdrawal (days) |
Parent Tilmicosin Concentrations (mg/kg) |
||
|
Liver |
Muscle |
Injection Site |
|
|
3 |
7.11 |
0.18 |
42 |
|
14 |
1.99 |
< 0.05 |
8.3 |
|
28 |
0.38 |
---a |
2.6 |
|
42 |
< 0.10 |
---a |
---a |
|
56 |
< 0.06 |
---a |
---a |
a --- = not analyzed
Sheep
A study in which the absorption and metabolism of tilmicosin in sheep was investigated also reported the depletion of the drug following SC administration at a dose of 20 mg/kg BW (Hawkins et al, 1993). Fourteen ruminating lambs (7 male, 7 female, 16-23 kg BW) were assigned to a control group (2) or to the treated group (12). Animals were then slaughtered at intervals of 3, 7, 21 and 28 days post-injection, with the controls being slaughtered with the 7-day group. Residues of tilmicosin, measured as equivalents by radioactivity, were determined in the various edible tissues, as reported in Table 4. Depletion followed a pattern similar to that found in cattle, with most persistent residues found in liver and rapid depletion of residues in muscle and fat tissues collected. Total residues remained above 1 mg/kg in the injection site at 28 days post-treatment.
Table 4. Residues of total tilmicosin in tissues of sheep treated with a single SC injection of 14C-tilmicosin at a dosage of 20 mg/kg BW.
|
Withdrawal(days) |
Mean 14C-Tilmicosin Equivalents (mg/kg) |
||||
|
Liver |
Kidney |
Muscle |
Fat |
Inj. Site |
|
|
3 |
9.98 |
21.09 |
1.26 |
< 1.24 |
43.15 |
|
7 |
5.77 |
4.07 |
0.42 |
< 1.15 |
14.38 |
|
21 |
3.67 |
1.42 |
< 0.26 |
< 1.17 |
5.32 |
|
28 |
2.70 |
0.55 |
< 0.26 |
< 1.20 |
1.32 |
Tissues collected from the sheep in the above study were also analyzed for parent compound using a liquid chromatographic analysis with a limit of quantitation of 0.05 mg/kg (Patel et al, 1993). Samples were stored at -20°C and were analyzed within several months of collection. Reported results, as given in Table 5, were corrected for recovery using the recovery of tilmicosin from a fortified sample included in each analytical run. These results reflect the depletion pattern for the total residue, with most persistent residues of parent compound found in the liver and the injection site. They also suggest that the majority of the residues found in liver and the injection site 7 days or longer after treatment are not parent compound. The nature and activity of these residues is not fully known, but T-2 was found to form an increasingly significant portion of the total residue (25-29%) at the longer withdrawal times in liver.
Table 5. Residues of parent tilmicosin in tissues of sheep treated with a single SC injection of 14C-tilmicosin at a dosage of 20 mg/kg BW.
|
Withdrawal(days) |
Mean Residues Parent Tilmicosin (mg/kg) |
||||
|
Liver |
Kidney |
Muscle |
Fat |
Inj. Site |
|
|
3 |
2.44 |
12.41 |
0.48 |
0.07 |
20.35 |
|
7 |
0.73 |
1.29 |
0.19 |
< 0.05 |
7.06 |
|
21 |
0.31 |
0.47 |
NDa |
NDa |
2.50 |
|
28 |
0.16 |
0.06 |
NDa |
NDa |
0.12 |
a ND = not detected; analyzed by HPLC method with limit of quantitation of 0.05 mg/kg.
Swine
Three barrows (15.5-18.0 kg BW) were used in a preliminary study to determine the distribution of 14C-tilmicosin in swine (Giera and Thomson, 1986). Two animals received a single dose of 14C-tilmicosin in feed fortified at 220 mg/kg (approx. dose 5 mg/kg BW), while the third animal served as a control. The animals were slaughtered at 13 days post-treatment, at which time total residues, as determined by radioactivity, were: liver, 0.07 mg/kg; kidney, 0.08 mg/kg; muscle and fat, < 0.02 mg/kg. In a subsequent study, six pigs (3 male, 3 female, approx. 22 kg BW) received a diet containing 400 mg/kg 14C-tilmicosin for twice daily for 5 days (estimated dose 18 mg/kg BW/day). Two additional animals served as controls. Pairs of the treated animals were slaughtered at withdrawal times of 0, 7 and 14 days, and liver, kidney, muscle and fat were collected for analysis by total radioactivity and by HPLC. The results of these analyses, shown in Table 6, demonstrate a similar distribution to that observed in cattle and sheep, with highest persistent residues being found in the liver. Parent compound appears to be the most significant residue (It should be noted that the HPLC assay results are not recovery corrected. Recovery for the HPLC method used is reported to be in the 85-90% range).
A similar study was conducted in which nine 2-month-old pigs (3 barrows, 6 females, approx. 17 kg BW) received feed containing 600 mg/kg 14C-tilmicosin for 5 successive days, for an estimated dose 23 mg/kg BW/day (Donoho et al., 1991). Similar groups each consisting of 3 pigs were slaughtered at withdrawal times of 6 hrs (0 days), 14 and 28 days. An untreated pig was used as a control. Tissue samples collected at slaughter were analyzed by total radioactivity and by HPLC, as in the previous experiment (Table 6).
Other Residue Depletion Studies (with unlabelled drug)
Cattle
Twelve cattle (8 steers, 4 heifers, approx. 200 kg BW) each received a single SC injection of tilmicosin in the neck at a dose rate of 10 mg/kg BW (Peloso and Thomson, 1988). Groups consisting of two steers and 1 heifer were slaughtered at each of 14, 28, 35 and 42 days post-treatment and samples of edible tissues were collected for analysis by an HPLC method with an LOQ of 0.05 mg/kg. The data were not corrected for recovery, which was in the range of 80% or higher for all tissues and concentrations tested. The results, given in Table 7, demonstrate, as in other studies, that highest residues are found at the injection site and in liver tissue. While the results for residues of parent compound were generally higher at 14 and 28 days in the study using the same dose rate with 14C-tilmicosin in cattle of similar weight (see Table 3), the overall depletion patterns are similar.
Table 6. Total residues determined by radioactivity and residues of parent tilmicosin, determined by HPLC, in pigs which received a feed containing 400 or 600 mg/kg 14C-tilmicosin for 5 successive days.
|
Withdrawal Time (days) |
Dose Rate (mg/kg) |
Mean Tilmicosin Residue (mg/kg)a |
||||
|
|
Assay |
Liver |
Kidney |
Muscle |
Fat |
|
|
0 |
400 |
RA |
4.55 |
4.31 |
0.39 |
0.12 |
|
HPLC |
2.33 |
2.34 |
0.24 |
0.13 |
||
|
600 |
RA |
10.62 |
12.28 |
1.09 |
0.41 |
|
|
HPLC |
9.86 |
12.98 |
1.00 |
0.44 |
||
|
7 |
400 |
RA |
1.42 |
0.70 |
< 0.02 |
0.02 |
|
HPLC |
0.75 |
0.35 |
< 0.05 |
< 0.05 |
||
|
14 |
400 |
RA |
0.38 |
0.16 |
< 0.02 |
< 0.01 |
|
HPLC |
0.19 |
0.09 |
< 0.05 |
--- |
||
|
600 |
RA |
1.58 |
0.58 |
< 0.10 |
< 0.06 |
|
|
HPLC |
1.04 |
0.41 |
< 0.05 |
< 0.05 |
||
|
28 |
600 |
RA |
0.32 |
0.15 |
< 0.10 |
< 0.06 |
|
HPLC |
0.14 |
0.07 |
--- |
--- |
||
a For radioactivity assay, LOD's were 0.02 and 0.01 mg/kg for fat and muscle, respectively, in the 400 mg/kg treatment, and 0.10 and 0.06 in the 600 mg/kg treatment; LOD for fat and muscle by HPLC assay was 0.05 mg/kg; --- indicates sample not analyzed.
Table 7. Residues of tilmicosin parent compound in tissues of cattle treated with a single SC injection equivalent to 10 mg/kg BW.
|
Withdrawal(days) |
Mean Residues Parent Tilmicosin (mg/kg) |
||||
|
Liver |
Kidney |
Muscle |
Fat |
Inj. Site |
|
|
14 |
0.93 |
0.94 |
< 0.05 |
< 0.05 |
18.94 |
|
28 |
0.26 |
0.14 |
< 0.05 |
< 0.05 |
2.92 |
|
35 |
0.18 |
0.11 |
< 0.05 |
---a |
0.78 |
|
42 |
< 0.09 |
< 0.06 |
---a |
---a |
0.29 |
a --- = not analyzed.
Sheep
Twenty-eight sheep (Swaledale, 26.2-51.2 kg BW) were acclimatized for 1 week to assess health status prior to a single administration of 10 mg/kg BW tilmicosin by SC injection into the left dorsolateral chest wall (Patel et al, 1995). The sheep, which had been divided prior to injection, into groups of 4 animals (2 male, 2 female) were sacrificed at 14, 21, 28, 35, 42 and 49 days post-dosing. A group of 4 control sheep was also slaughtered at day 14. Samples collected at slaughter included the whole liver, both kidneys, thigh muscle (500 g), renal fat (200 g) and the injection site. The latter was collected by removing a 15 cm diameter area (or greater) around the point of injection to provide 500 g of edible tissue. Samples were stored at -20°C until assayed, within several months of collection, using a liquid chromatographic assay with a limit of quantification of 0.05 mg/kg. Results, reported in Table 8, were corrected for recovery using fortified samples included in each analytical run.
Table 8. Residues of parent tilmicosin in tissues from sheep administered a single SC dose at 10 mg/kg BW.
|
Withdrawal (days) |
Mean Parent Tilmicosin Concentration (mg/kg) |
||||
|
Liver |
Kidney |
Muscle |
Fat |
Inj. Site |
|
|
14 |
0.11 |
0.16 |
NDa |
< 0.05b |
1.53 |
|
21 |
0.07 |
0.07 |
ND |
< 0.05 |
0.14 |
|
28 |
< 0.05 |
< 0.05 |
ND |
ND |
0.08 |
|
35 |
< 0.05 |
< 0.05 |
ND |
ND |
< 0.05 |
|
42 |
< 0.05 |
< 0.05 |
ND |
ND |
ND |
|
49 |
< 0.05 |
< 0.05 |
ND |
ND |
< 0.05 |
a ND = not detected.
b < 0.05 indicates some or all samples in group were below LOQ of 0.05 mg/kg; each such group may include samples which were ND.
Swine
Thirty finisher swine (15 male, 15 female, approx. 60 kg BW at start of experiment) were fed a diet containing 400 mg/kg tilmicosin for 21 days (Readnour and Darby, 1993). Groups, equally divided by sex, were slaughtered at withdrawal times of 0, 7, 14 and 21 days (0 days = 6 hrs). Samples of liver, kidney, muscle, fat and skin were collected from each animal and analyzed using an HPLC method with a limit of quantitation of 0.02 mg/kg. Untreated control animals were killed about 1 hr before slaughter of the zero withdrawal group. The assay results, shown in Table 9, demonstrated as in previous studies that highest persistent residues are found in the liver. Results reported were not corrected for recovery, but the method specifies a minimum recovery of 70%, which was monitored by inclusion of a fortified sample in each analytical run.
Table 9. Residues of parent tilmicosin in tissues of swine following administration at 400 mg/kg in feed for 21 days (equivalent to approximately 20 mg/kg BW/day).
|
Withdrawal (days) |
n |
Mean Tilmicosin Residues (mg/kg) |
||||
|
Liver |
Kidney |
Muscle |
Fat |
Skin |
||
|
0 |
12 |
4.16 |
4.14 |
0.32 |
0.09 |
0.08 |
|
7 |
6 |
0.71 |
0.34 |
< 0.02 |
< 0.02 |
0.12 |
|
14 |
6 |
0.19 |
0.08 |
< 0.02 |
< 0.02 |
0.05 |
|
21 |
6 |
0.06 |
0.06 |
---a |
---a |
< 0.02 |
a --- = not analyzed
Milk
Milk was analyzed from 4 ewes which each received a single injection of 10 mg/kg BW tilmicosin in the dorsolateral chest (Patel et al, 1992). On the day of treatment, milk was collected 8 hours following injection, while subsequent collections were at regular morning and afternoon milkings. Milk collected at each milking on days 1 and 2 was treated as separate samples, while milk from the two milkings of each animal was combined on subsequent sampling dates. Samples were homogenized and stored at -20°C until analyzed, using the Delvotest P and an HPLC assay. Control milk was obtained from untreated animals. All milk samples collected were positive using the Delvotest from days 0 through 6. One sample gave a full inhibition result on day 7, while the other 3 showed partial inhibition. Slight inhibition was seen in samples collected on days 8 and 9 and in two samples on day 12. However, HPLC analysis of the samples giving slight or partial inhibition revealed levels of tilmicosin that were below the claimed LOD of the Delvotest assay kits, 0.15 mg/L. All other samples collected daily through day 28 were negative. Results of the Delvotest and HPLC assays are shown in Table 10.
Table 10. Residues of parent tilmicosin in sheep's milk following a single SC administration at 10 mg/kg BW, as determined by HPLC and Delvotest Assays.
|
Time Post-Treatment |
Delvotest Positive a |
Mean Tilmicosin Residue (mg/L)b |
|
8 h |
4/4 |
10.25 |
|
23 h |
4/4 |
9.56 |
|
30 h |
4/4 |
7.86 |
|
47 h |
4/4 |
2.82 |
|
54 h |
4/4 |
1.97 |
|
3d |
4/4 |
1.16 |
|
4 d |
4/4 |
0.49 |
|
5 d |
4/4 |
0.27 |
|
6 d |
4/4 |
0.13 |
|
7 d |
1/4 |
0.12 |
|
8 d |
0/4 |
0.11 |
|
9 d |
0/4 |
0.09 |
|
10 d |
0/4 |
0.06 |
|
14 d |
0/4 |
< 0.05 |
|
21 d |
0/4 |
< 0.05 |
a Samples classed as positive gave full inhibition.
b LOQ = 0.05 mg/L.
One study has been reported in which six dairy cows each received a single SC injection of 10 mg/kg BW tilmicosin (Helton-Groce et al., 1993). Milk was then collected at the afternoon milking on the day of treatment and at each afternoon milking after that, with duplicate composite sample analyzed for each cow's milk, until residues were below the detection limit of 0.025 mg/L of the LC method of analysis. Residues ranged from 8.5 to 17.0 mg/L in the day 1 samples to 0.23-0.49 mg/L at day 7 and were < 0.05 mg/L in milk from 4 of 6 animals at day 18. Residues of 0.03 mg/L persisted in the milk of one animal to day 31, and in another to day 28. Milk samples were also tested using the B. stearothermophilus test, which gave positive tests up to 21 days following treatment. Due to the persistence of residues, tilmicosin has not been recommended for the treatment of lactating dairy cattle.
METHODS OF ANALYSIS FOR RESIDUES IN TISSUES AND MILK
Screening Tests for Tissue and Urine
No results obtained using commercially available test kits to screen for tilmicosin residues in tissues were reported in the file provided by the sponsor. The Delvotest P was applied on milk samples collected in one study, described above (Patel et al, 1992). Experience in national monitoring programs suggests that some of the commonly used screening tests, such as the Swab Test on Premises (STOP), which is based on the inhibition of the growth of Bacillus subtilis, will detect residues of tilmicosin in organ tissues at levels of regulatory interest. Some commercially available tests designed for the detection of other macrolide antibiotics may also prove suitable for the detection of tilmicosin residues. However, no published reports are currently available to demonstrate this possibility.
Microbiological Assays
A microbiological plate assay for the determination of tilmicosin in bovine blood serum using Micrococcus luteus, ATCC 9341, as the indicator organism has recently been reported (Coleman et al, 1995). The method, which has an LOD of 0.05 mg/L and an LOQ of 0.08 mg/L, has not been reported as applied to tissue samples.
Chemical Methods
Several methods using liquid chromatography were submitted by the sponsor. These include methods for the analysis of serum, liver, kidney, lung, muscle, fat and injection site tissues from sheep (Patel et al, 1993) and sheep's milk (Patel et al, 1992). Analytical methods using HPLC for the assay of cattle tissues, including liver, kidney, muscle (Donoho et al, 1988) and fat (Peloso and Thomson, 1988) have also been described. Similar methods have been applied to swine tissues, including liver, kidney, muscle and skin/fat (Donoho et al, 1991; Readnour and Darby, 1993). Typically, residues are extracted from tissue with methanol, partitioned with chloroform and carbon tetrachloride and analyzed by reverse phase liquid chromatography with UV-detection at 280 nm and LOD in the 0.005 to 0.01 mg/kg range. Sample stability was also investigated as part of these studies. Fortified tissue samples were stored for 2-3 months at -20°C in the studies on methods for cattle and swine tissues, then analyzed as part of the method validation. Results were generally within 10-15 % of recovery values for freshly fortified tissues, indicating that analyte loss during storage prior to analysis did not appear to be a major concern. No data were provided on the stability of incurred residues.
An HPLC method for the simultaneous determination of the macrolide antibiotics tylosin and tilmicosin has also been reported (Chan et al, 1994). Following extraction with acetonitrile and buffer, samples are passed through a C-18 solid phase extraction cartridge. Tilmicosin is eluted from the cartridge with 0.1 M ammonium acetate in methanol and analyzed by reversed phase HPLC with UV-detection at 287 nm. The limit of detection in bovine and porcine muscle and kidney is reported as 0.01 mg/kg.
APPRAISAL
Tilmicosin is available as an injectable formulation, administered subcutaneously in cattle and sheep, and as a medicating ingredient for swine feeds. Reports of studies provided by the sponsor were well-detailed and most met GLP standards. Absorption of the injectable formulation is good in cattle and sheep, with maximum concentrations in blood observed in 6-12 hours after treatment at the recommended dose of 10 mg/kg BW. Elimination in rats, cattle, sheep and swine follows a similar pathway, with the majority of the residues eliminated in the faeces, but significant residues are also eliminated in the urine. Radiolabel studies indicate that approximately 90% of a dose is eliminated within 14-21 days following treatment. Residues are distributed primarily in the liver and kidneys, with much lower residues found in normal muscle tissue and fat. Significant residues may remain at injection sites for some time following treatment, with 2.94 mg/kg found in cattle after 28 days withdrawal in one study (see Table 7) and 1.53 mg/kg found at 14 days in sheep (Table 8). Studies in all species reported (rats, cattle, sheep, swine) identify parent compound as the major residue found and also indicate that residues are most persistent in liver, followed by kidney. Based on these results, parent tilmicosin is recommended as the marker residue, liver is recommended as the target tissue for monitoring programs, but kidney is an acceptable alternative. As the major tissue in trade, however, it is recognized that muscle tissue may be more readily available for international monitoring. Based on the depletion data reviewed, it would appear that the most likely source of detectable residues in a muscle sample might be from an injection site. Due to the persistence of residues in milk, tilmicosin is not recommended for treatment of lactating dairy cattle.
While the methods submitted by the sponsor provided acceptable sensitivity, they would be regarded as unsuitable by many regulatory laboratories because of their requirement for the use of carbon tetrachloride and/or chloroform. In addition to the safety concerns for laboratory personnel who may be occupationally exposed to these solvents, disposal costs are high and availability may in future be limited due to environmental concerns. A method that does not require these solvents has been published and appears suitable for use in a regulatory monitoring program, but results are only available for kidney and muscle tissue. The reported LOD for the method is 0.01 mg/kg for parent tilmicosin.
Maximum Residue Limits
In reaching its decision on the MRLs for tilmicosin, the Committee took into account the following:
- an ADI of 0-40 m g/kg of body weight was established, equivalent to a maximum daily intake of 2400 m g for a 60 kg person;- the total residues, other than parent compound, were not fully characterized in the depletion studies and therefore must be considered;
- liver is the appropriate target tissue;
- the primary tissue in international trade is muscle tissue;
- the absence of a radiolabel residue study in lactating sheep;
- the appropriate marker residue in all tissues is the parent compound;
- suitable analytical methods are available for the marker residue;
- available data indicate that the following percentages should be applied to relate marker residue to total residue in the following tissues:
- cattle and sheep liver, 5 %;
- cattle kidney, 25%;
- sheep's kidney, 10%;
- swine liver and kidney, 50%;
- muscle and fat (cattle, sheep, swine), 50%.
- milk (sheep), 50%, based on distribution in fat and muscle.
Based on these considerations, the Committee recommended the following permanent MRL's, expressed as the parent drug:
|
Cattle and sheep: |
liver |
1000 m g/kg |
|
kidney |
300 m g/kg |
|
|
muscle |
100 m g/kg |
|
|
fat |
100 m g/kg |
|
|
Swine: |
liver |
1500 m g/kg |
|
kidney |
1000 m g/kg |
|
|
muscle |
100 m g/kg |
|
|
fat |
100 m g/kg |
A temporary MRL of 50 m g/L was recommended for milk from sheep.
Based on the above MRL's which combined with the conversion factors for sheep to give the highest total residue and the standard food basket, the following theoretical maximum daily intake is calculated:
|
- for liver |
1000 m g/kg x 0.10 kg/0.05 = |
2000 m g |
|
- for kidney |
300 m g/kg x 0.05 kg/0.10 = |
150 m g |
|
- for muscle |
100 m g/kg x 0.30 kg/0.50 = |
60 m g |
|
- for fat |
100 m g/kg x 0.05 kg/0.50 = |
10 m g |
|
- for sheep milk |
50 m g/L x 1.5 L/0.50 = |
150 m g |
|
Total |
2370 m g | |
The Committee wishes to draw attention to the possibility that a potential exists for residues in excess of MRLs for muscle tissue to exist in injection sites at withdrawal times necessary to be in compliance with the above MRLs.
REFERENCES
Chan, W., Gerhardt, G.C., and Salisbury, C.D.C., (1994). Determination of tylosin and tilmicosin residues in animal tissues by reversed-phase liquid chromatography. J. AOAC Int. 77: 331-333.
Cochrane, R.L., and Thomson, T.D., (1990). Toxicology and pharmacology of tilmicosin following administration of subcutaneous and intravenous injections to sheep. Research Report T5C768908, Sponsor Submitted.
Coleman, M.R., Peloso, J.S., and Moran, J.W., (1995). Microbiological plate assay for determination of tilmicosin in bovine serum. J. AOAC Int. 78: 659-662.
Donoho, A.L., (1988). Comparative metabolism of 14C-tilmicosin in cattle and rats. Research Report ABC-0395, Sponsor Submitted.
Donoho, A.L., and Thomson, T.D., (1988). 14C-Tilmicosin balance-excretion study in swine. Research Report ABC-0409, Sponsor Submitted.
Donoho, A.L., Peloso, J.S., and Thomson, T.D., (1988). 14C-Tilmicosin tissue residue study in cattle. Research Report ABC-0383, Sponsor Submitted.
Donoho, A.L., Cochrane, R.L., and Helton, S.L., (1991). 14C-Tilmicosin tissue residue decline study in swine dosed orally at a level of 600 ppm in feed. Research Report T5C759101, Sponsor Submitted.
Donoho, A.L., Helton, S.L., Darby, J.M., Sweeney, D.J., Occolowitz, J.L., and Dorman, D.E., (1992). Tilmicosin metabolism study in tissues and excreta of pigs fed 400 ppm 14C-tilmicosin. Research Report T5C759201, Sponsor Submitted.
Donoho, A.L., and Kennington, A.S., (1993). Tilmicosin metabolite study with rat excreta. Research Report T5C759302, Sponsor Submitted.
Giera, D.D., Herberg, M.S, and Thomson, T.D., (1986a). 14C EL-870 balance excretion and tissue residue in a steer. Research Report ABC-0299, Sponsor Submitted.
Giera, D.D., Herberg, M.S, Klink, P.R., and Thomson, T.D., (1986b). 14C EL-870 tissue residue decline study and balance excretion study in cattle. Research Report ABC-0340, Sponsor Submitted.
Giera, D.D., and Peloso, J.S., (1986). Characterization of radioactive residues in cattle tissues following therapeutic dose of 14C EL-870. Research Report ABC-0353, Sponsor Submitted.
Giera, D.D., and Thomson, T.D., (1986). Preliminary 14C EL-870 balance excretion and tissue residue in swine. Research Report ABC-0305, Sponsor Submitted.
Hawkins, D.R., Elsom, L.F., Dighton, M.H., Kaur, A., and Cameron, D.M., (1993). The metabolism and residues of 14C-tilmicosin following subcutaneous administration to sheep. Research Report HRC/LLY 36/930447, Sponsor Submitted.
Helton-Groce, S.L., Thomson, T.D., and Readnour, R.S., (1993). A study of tilmicosin residues in milk following subcutaneous administration to lactating dairy cows. Can. Vet. J. 34: 619-621.
Patel, R.K.P., Parker, R., Simmons, H.A., Hassanali, H.T., Brown, A.J., and Bucknall, A.J., (1991). Tilmicosin: pharmacokinetics in sheep. Research Report CVLS5/91/A, Sponsor Submitted.
Patel, R.K.P., Parker, R.M., Walker, A.M., McLaren, I.M., Bucknall, A.J., and Hopkins, I.G., (1992). Tilmicosin: milk depletion study in sheep. Research Report CVLS3/92, Sponsor Submitted.
Patel, R.K.P., Parker, R., Walker, A.M., Bucknall, A.J., and Hopkins, I.G., (1993). Tilmicosin: metabolism and residues of 14C-tilmicosin following subcutaneous administration in sheep: HPLC analysis of plasma and tissues for the parent compound. Research Report CVLS4/92, Sponsor Submitted.
Patel, R.K.P., Parker, R.M., Phillips, J.B., Walker, A.M., Coombes, R., and Lockyer, J.F., (1995). Tilmicosin: residues in sheep after its subcutaneous administration. Research Report CVLS/23/95, Sponsor Submitted.
Peloso, J.S., and Thomson, T.D., (1988). Tilmicosin tissue residue decline study in cattle. Research Report AAC8701, Sponsor Submitted.
Readnour, R.S., and Darby, J.M., (1993). Tilmicosin tissue residue decline study in swine. Research Report T5C619301, Sponsor Submitted.
Thomson, T.D., (1989a). Serum tilmicosin profiles following a single 10 mg/kg administration of the proposed tilmicosin bovine parenteral formulation in neonatal calves in several anatomical sites. Research Report T5C768804, Sponsor Submitted.
Thomson, T.D., (1989b). Serum tilmicosin profiles following a single 10 mg/kg administration of the proposed tilmicosin bovine parenteral formulation in feedlot-type cattle in several anatomical sites. Research Report T5C768805, Sponsor Submitted.
Thomson, T.D., Darby, J.M., Moran, J.W., Tonkinson, L.V., (1993). Serum and lung tilmicosin concentration in swine following dosing with tilmicosin fortified feed. Research Report T5CAX9302, Sponsor Submitted.