Se observa a menudo que mientras más embarcaciones participen en una pesquería menos captura habrá por embarcación. Esto no es sorprendente cuando se considera que el stock de peces es un recurso limitado que tienen que compartir todas las embarcaciones. En el Capítulo 9 se tratará acerca de la teoría de pesca que hay tras este modelo.
Los datos que se presentan más abajo, en la hoja de ejercicio, se derivan de la pesquería del camarón en Pakistán (Van Zalinge y Sparre, 1986).
Tareas:
1) Dibuje el diagrama de dispersión.
2) Calcule el intercepto y la pendiente (use la hoja de trabajo).
3) Dibuje la línea de regresión en el diagrama de dispersión.
4) Calcule los límites del 95% confianza de a y b.
Hoja de trabajo 2.4
|
año |
i |
número de embarcaciones x (i) |
x(i)2 |
captura por embarcación por año y(i) |
y(i)2 |
x(i) * y(i) |
|
1971 |
1 |
456 |
|
43.5 |
|
19836.0 |
|
1972 |
2 |
536 |
|
44.6 |
|
23905.6 |
|
1973 |
3 |
554 |
|
38.4 |
|
21273.6 |
|
1974 |
4 |
675 |
|
23.8 |
|
16065.0 |
|
1975 |
5 |
702 |
|
25.2 |
|
17690.4 |
|
1976 |
6 |
730 |
532900 |
30.5 |
930.25 |
|
|
1977 |
7 |
750 |
562500 |
27.4 |
750.76 |
|
|
1978 |
8 |
918 |
842724 |
21.1 |
445.21 |
|
|
1979 |
9 |
928 |
861184 |
26.1 |
681.21 |
|
|
1980 |
10 |
897 |
804609 |
28.9 |
835.21 |
|
|
Total |
|
7146 |
|
309.5 |
|
211099.5 |
|
|
|
|
|
|
|
|
|
|
|
|
|
|
| |
|
|
|
|
|
|
| |
|
|
|
|
|
|
|
|
|
|
|
|
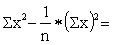
sx = |
| ||
|
|
|
|
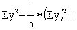
sy = |
| ||
|
|
|
|
|
| ||
|
|
|
|
|
| ||
|
Varianza de b: | ||||||
|
|
|
|
sb = |
| ||
|
Varianza de a: | ||||||
|
|
|
|
sa = |
| ||
|
Distribución de Student: tn-2 = |
|
|
|
| ||
|
Límites de confianza: |
|
|
|
| ||
|
|
|
|
|
| ||
|
|
|
|
|
| ||