Página precedente Indice Página siguiente


Ejercicio 7.2 Muestreo aleatorio estratificado versus muestreo aleatorio simple y muestreo proporcional

Este ejercicio ilustra la ganancia en precisión que se obtiene por la estratificación. Use la Tabla 7.2.2.

Tareas:

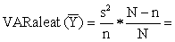
1) Estime la varianza del desembarque promedio para tres métodos diferentes de muestreo, cuando el tamaño total de la muestra es n = 20, utilizando las hojas de trabajo.

a) Muestreo aleatorio simple
b) Muestreo proporcional: una muestra de un 20% para cada estrato

Hoja de trabajo 7.2 para a) y b)

estrato j

s(j)

s(j)2

N(j)

1 grande






2 mediano






3 pequeño






Total:






definido por la Ec. 2.1.3.

a) Muestreo aleatorio simple

b) Muestreo proporcional

c) Muestreo estratificado óptimo

Hoja de trabajo 7.2 para c)

estrato

s(j) * N(j)

1 grande




2 mediano




3 pequeño




total:


1.00

n=20

2) Calcule las desviaciones estándar y compare las asignaciones por estrato.

aleatorio

proporcional

óptimo

asignación por estrato

1 grande




2 mediano




3 pequeño





Página precedente Inicìo de página Página siguiente