Hoja de trabajo 7.2
|
estrato |
s(j) |
s(j)2 |
N(j) |
|
|
|
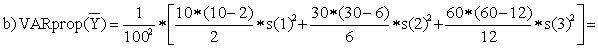
1 grande |
28.906 |
835.57 |
10 |
25413 |
423 |
|
2 mediano |
8.569 |
73.43 |
30 |
9091 |
457 |
|
3 pequeño |
2.809 |
7.89 |
60 |
1524 |
252 |
|
Total: |
|
|
100 |
36028 |
1132 |

c) Muestreo estratificado óptimo:
|
estrato j |
s(j) * N(j) |
|
|
|
1 grande |
289.06 |
0.40 |
8 |
|
2 mediano |
257.07 |
0.36 |
7 |
|
3 pequeño |
168.55 |
0.24 |
5 |
|
Total: |
714.68 |
1.00 |
n = 20 |
|
|
aleatorio |
proporcional |
óptimo |
|
|
3.06 |
2.10 |
1.20 |
|
Asignación |
|
|
|
|
estrato 1 (grande) |
? |
2 |
8 |
|
estrato 2 (mediano) |
? |
6 |
7 |
|
estrato 3 (pequeño) |
? |
12 |
5 |