The case study consists of three major parts: (a) study inventory, (b) harvesting performance study, and (c) harvesting impact assessment. A wood recovery analysis is included in the harvesting performance study. The harvesting impact assessment includes an evaluation of the road and skidtrail network, a harvesting damage survey, and a simple soil disturbance evaluation.
The study was carried out in annual coupe VMA95, which consists of 15,550 ha of broad-leaved forest. This forest is part of a 150,000 ha concession of the forest industry enterprise SOCOBOIS. Out of annual coupe VMA95, a 150 ha study area was selected. The study area consists of three adjacent harvest compartments H108, H109, and H110 (Figure 5-1 Layout). These compartments are located close to the main haul road.

For the harvesting impact assessment an additional zoning of the study area was necessary. Three zones were selected with all three clearly delimited by natural terrain features such as creeks or valleys and by the main road. Zone boundaries are at the centre of water courses. The establishment of these limited zones allows clear attribution of harvesting impacts to harvesting performance data. The total area of Zones A, B, and C is 59.5 hectares excluding the main road. All of the area is forested (Figure 5-2).

Figure 5-2: Study area layout and selected Zones A, B, C
The study inventory is required for the assessment of harvesting impacts. The inventory was carried out on a total sample area of 20 ha. Ten rectangular strips (Figure 5-3, Strip A-K) of 1,000 x 20 m each were established from south to north by compass. The demarcation of strips was achieved by clearing corridors of shrubs and setting stakes every 50 m. The width of the strips was then measured every 50 m in order to obtain the true inventory area. All trees equal to or greater than 10 cm dbh were recorded, Okoumé separately from all others. The results were grouped in 10 cm classes. The diameter was determined by measuring the girth at breast height; where buttresses occurred, the girth was taken 20 cm above the buttress.

Since the main road crosses the study area, only 9 of the 10 strips were actually forested. The actually stocked and inventoried area is 17.7 hectares.
Volumes
Volume equations were not available for the forests in the study region. In order to obtain an indicator for the standing volume of Okoumé, an equation found in the literature was used. The total stem volume (including bark) equation that has been developed for Okoumé in Gabon1 is:
![]()
Inventory of harvestable trees
In the study area all harvestable trees, that is trees equal to or greater than 80 cm dbh, were located and marked on a sketch map. Felling directions were also recorded.
Wood production
The number of felled trees and the harvested volume in Zones A, B, and C were recorded. The reported volume (under bark) is net after crosscutting. The volume harvested in the three zones is needed for the efficiency assessment of skidtrails and roads.
Wood recovery
A large part of the wood value lost in wood production occurs in the felling, topping and crosscutting operations. This loss is from breakage, unused stumps, and top end cut-offs. In order to estimate wood losses during harvesting, 96 Okoumé logs from 93 trees were traced through all processing steps from the stump to the landing.
The bulk of the loss occurs during felling. Usually the chainsaw operator fells the tree at breast height in order to reduce the area to be cut. A considerable portion of the buttress is left in the ground. In addition to the stump loss, parts of the upper stem may be removed together with the crown for quality reasons. Figure 5-4 illustrates stump (VS1) and top end (VT1) volume losses during felling. The resulting log (Figure 5-4, detail C) is skidded to the landing.
At the landing a second crosscutting of the log takes place. The remaining buttress (VS2) and defects at the top end of the log (VT2) are removed. The resulting log is loaded and transported to the mill (Figure 5-4, detail D).
The calculation of the wood recovery is subdivided into the recovery at the felling operation (r1) and the total recovery (r2) after the second crosscutting. Both recoveries refer to the stem volume of the standing tree (V0).
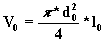
The stem volume of the standing tree, which was taken as 100%, was calculated from the ground (including stump) to the first branch (Figure 5-4, Detail A). Only Okoumé trees were considered since this is the major species used. Many methods for calculating volumes and recovery rates exist. This variation must be considered when comparing recovery data.
The formula used for the calculation of the stem volume (V0) is:
![]()
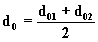
The stem volume includes the volume of the stump. Since an exact measurement of the stump diameter is nearly impossible, a cylindrical continuation of the stem from breast height downwards to the ground was assumed. Only the average stem taper, which was obtained from logs, was taken into account. Thus the total stem volume is slightly underestimated. The diameters actually measured are the small and large end diameters of the log after crosscutting at the landing (d21, d22). All other diameters are derived from these by applying log taper and length. The measured lengths are: the stem length (l0), the height of the stump (lS1), the remaining buttress (lS2), and the log lengths (l1 and l2).
The mean diameter d0 of the standing tree used in the formula above for the calculation of V0 was obtained from measuring the large and small end diameter of the logs. The minimum diameter was usually taken on both ends since in the peeling process only the cylindrical portion of the log can be used for the production of veneer. All diameters given are under bark.
![]()
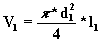
The first wood recovery rate is calculated for the log volume after felling and topping (Figure 5-4, Detail C). V1 is the stem volume reduced by the stump volume and other stem cut-offs. During topping, the crown is removed and frequently parts of the upper stem, which can be of relatively poor quality or shape. The recovery (r1 ) after felling and topping is:
![]()
The volume V1 after felling and topping is calculated as follows (see Figure 5-4):
![]()
![]()
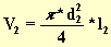
The second wood recovery rate is computed for the net log volume after crosscutting takes place at the landing. V2 is the log volume after all remaining buttresses are removed and some centimetres are cut-off at the small end of the log to remove stones and defects. The log is then transported to the mill. The recovery rate (r2) after felling, skidding, and crosscutting is:
![]()

Figure 5-4: Measurements used for recovery calculations
The volume V2 after crosscutting at the landing is calculated as follows:
![]()
![]()
Figure 5-4 illustrates the stem and log volumes used for calculating wood recoveries on different harvesting levels. Detail A shows the standing tree, B the tree after felling, C the log after removing the crown (topping) and D the log after removing the remaining buttresses and crosscutting the top end.
The log taper was computed for all 96 logs. The log taper is expressed in terms of diameter decrease per meter of log length (cm/m).
Felling time
The objective of the felling time study was to characterise the current felling efficiency and to derive recommendations for improvement of felling organisation and technique.
The felling cycle for 60 trees was measured by subdividing the task into the following work elements:
· productive worktime
· reconnaissance
· felling preparation
· felling
· topping
· supportive worktime
· maintenance work
Rest time was not included. The survey was carried out by cumulative timing. The length of each work element was measured by noting the beginning time and the end time. Later the time difference between the two times was computed. The advantage of this method is its easy application and reduced error frequency. Times are easily recorded without stopping and starting the watch. A problem of the time survey was that several work elements were carried out at the same time, e.g., preparatory work for the next tree was carried out by the helper or the guide while the operator was still cutting a tree. The number of observations for each work element varies and is given in Table 6-9. The complete set of work elements was observed at 40 of the 60 trees. The felling work element was observed for all 60 trees.
Skidtrails, roads, and landings
The objectives of the road and skidtrail survey are to provide information on the proportion of forest area used for infrastructure, to derive characteristic relationships between required infrastructure and wood production, and to describe the efficiency of the road network. Since all road construction was not finished by July 1995, planned road data had to be used for the assessment. The total planned length and the average clearing width (taken from existing roads) were recorded separately for primary and secondary roads.
Skidtrails were surveyed in Zones A, B, and C; the study areas selected for the impact assessment. The average width, the maximum gradient, and the length of skidtrails were measured. Skidding distances were determined for all three zones.
The total area used for landings is calculated by using planning data. An average landing size of 80 x 100 m was assumed.
Damages
Damages to the residual stand attributed to harvesting operations occur along skidtrails and on felling sites. They can be subdivided into bark damage, crown damage, and uprooting. It is assumed that partly uprooted trees do not fully recover and their commercial value is substantially reduced. For the assessment, they are considered to be out of production. Bark and crown damages may lead to decay and insect attacks. A bark damage was recorded when sapwood was visible. It is assumed that crown damage will considerably reduce the vitality of the tree. A tree was recorded as crown damaged if significant crown breakage could be observed. Because the assessment could be done only from the ground, a more detailed classification of crown damage was not possible.
Skidding damages
The dbh was recorded for damaged trees on both sides of skidtrails. If Okoumé trees (future crop trees) were damaged, this was noted. Along skidtrails only bark damage and uprooted trees occur, thus the assessment was limited to those two damage types.
Felling damages
On felling sites all three types of damages occur. The number of damaged trees was noted together with the type of damage and the dbh. Damaged Okoumé trees were recorded separately.
Felling site size
During field work several attempts were made to measure the size of felling gaps that were created during the fall of the trees. It turned out that the borders of the gaps could not be determined with the accuracy necessary to justify the relatively time consuming and dangerous work of measuring gaps. Furthermore, the shape of the gaps was extremely irregular. However, it was observed that virtually all trees within a felling gap were damaged. This observation was used to compute the approximate size of each felling gap. The number and size of damaged trees were recorded in the felling damage assessment.
For the calculation of the gap size based on the number of damaged trees the assumption was made that the trees on the felling site were standing at a density equal to those on the study inventory plots. The approximate size of each gap could then be computed by dividing the number of damaged trees by the average tree density obtained during the harvesting inventory.
![]()
The average tree density used in this calculation was 455 trees (_ 10 cm dbh) per hectare
Soil disturbance
Soil disturbance occurs on felling sites, skidtrails, landings, and roads. It was assessed by visual evaluation of the surface condition. Two soil disturbance classes were established:
· Class I no or slightly exposed mineral soil
· Class II mineral soil partly or fully exposed, in combination with gullying
Soil compaction was not estimated. It can be assumed that on felling sites only very little soil compaction occurs, while it is serious on skidtrails and landings depending on the machine type and the frequency of tractor movement.
1 Projet de Développement Forestier du Gabon; in: "L'Okoumé", published by Centre Technique Forestier Tropical 1990