|
ISO common name: |
Chlorfenvinphos | |
|
Chemical name |
| |
|
|
IUPAC: |
2-chloro-1-(2,4-dichlorophenyl)vinyl diethyl phosphate |
|
|
CA: |
2-chloro-1-(2,4-dichlorophenyl)ethenyl diethyl phosphate |
|
CAS registry no: |
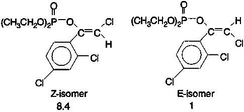
470-90-6 (formerly 2701-86-2) (Z)- + (E)- isomers; | |
|
18708-87-7 (Z)- isomer; | ||
|
18708-86-6 (E)- isomer | ||
|
CIPAC No: |
88 | |
|
Synonyms: |
"Birlane", "Supona", CL 58,085, SD 7859, GC 4072 | |
Structural formula:
|
Molecular formula: |
C12H14Cl3O4P |
|
Molecular weight: |
359.6 |
Physical and chemical properties
Pure active ingredient
No information was submitted.
Technical material
Purity:
Typical specification based on the analysis of 12 manufacturing batches in 1994 was 90-91.4% (total (E)- + (Z)-).
The purity of the technical material with which the physical and chemical properties listed below were determined was 93.1% (83.3% (Z)- isomer, 9.8% (E)- isomer) or 94.5% (84.2% (Z)- isomer, 10.3% (£)- isomer).
|
Colour: |
amber |
|
Physical state: |
liquid at 25°C |
|
Odour: |
weak inherent smell |
|
Melting point: |
below -30°C |
|
Boiling Point: |
above 280°C |
|
Relative Density |
1.351 |
|
Surface tension of aqueous solutions |
90% sat 51.8 mN/m |
|
|
80% sat 53.0 mN/m |
|
Vapour Pressure at 25°C: |
(Z)- isomer 0.37 x 10-3 Pa |
|
|
(E)- isomer 5.4 x 10"5 Pa |
|
Flash Point: |
No flash point was observed up to a temperature of 285°C. |
|
Auto-flammability: |
542.6°C ± 1.1°C (mean of 5 assays) |
|
Hydrolysis: |
Half-life in hours for the (Z)- isomer 6300 (pH 4), 6500 (pH 7) and 2100 (pH 9); (E)- isomer 6600 (pH 4), 4900 (pH 7) and 1700 (pH 9). |
|
Photolysis: |
Half-life for phototransformation in water at 21°C and a nominal pH of 7 was 482 hours (Calmels, 1992; Robson 1992, 1993, 1994) |
Data on the solubility of chlorfenvinphos in water, fat and organic solvents and the octanol-water partition coefficient were also supplied but were not supported by full study reports (Anon, 1996c)
Formulations
Chlorfenvinphos is formulated as GR, WP and EC products.