Previous Page Table of Contents Next Page


Alginic acid

Prepared at the 49th JECFA (1997)
superseding specifications prepared at the 44th JECFA (1995),
published in FNP 52 Addendum 3 (1995)

SYNONYMS

INS No. 400

DEFINITION

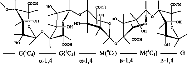
Alginic acid is a naturally occurring hydrophilic colloidal polysaccharide obtained from the various species of brown seaweed (Phaeophyceae). It is a linear copolymer consisting mainly of residues of b -1,4-linked D-mannuronic acid and a -1,4-linked L-glucuronic acid. These monomers are often arranged in homopolymeric blocks separated by regions approximating an alternating sequence of the two acid monomers.

C.A.S. number

9005-32-7

Chemical formula

(C6H8O6)n

Structural formula

Structural formula from Phillips, Wedlock and Williams: Gums and Stabilizers for the Food Industry 5 (1990) by permission of Oxford University Press.

The number and sequence of the Mannuronate and Glucuronate residues shown above vary in the naturally occurring alginate. The associated water molecules are not shown.

Formula weight

Structural unit:

176.13 (theoretical)

200 (actual average)

Macromolecule:

10,000 - 600,000 (typical average)

Assay

Yields, on the dried basis not less than 20.0% and not more than 23.0% of carbon dioxide (CO2), equivalent to not less than 91.0% and not more than 104.5% of alginic acid (C6H8O6)n.

DESCRIPTION

Occurs as white to yellowish brown filamentous, grainy, granular or powdered forms

FUNCTIONAL USES

Stabilizer, thickener, gelling agent, emulsifier

CHARACTERISTICS


IDENTIFICATION


Solubility

Insoluble in water and organic solvents; dissolves slowly in solutions of sodium carbonate, sodium hydroxide and trisodium phosphate

pH

2.0-3.5 (0.3 in 10 suspension)

Precipitate formation with calcium chloride


Passes test
See description under TESTS

Precipitate formation with ammonium sulfate


Passes test
See description under TESTS

Test for alginate

Passes test
See description under TESTS

PURITY


Loss on drying

Not more than 15% (105°, 4h)

Sulfated ash

Not more than 8% on the dried basis

Sodium hydroxide insoluble matter


Not more than 2% on the dried basis
See description under TESTS

Arsenic

Not more than 3 mg/kg (Method II)

Lead

Not more than 5 mg/kg
Prepare a sample as directed for organic compounds in the Limit Test, using 5 m g of lead ion (Pb) in the control

Microbiological criteria

Total plate count: Not more than 5,000 colonies per gram.

Initially prepare a 10-1 dilution by adding a 50 g sample to 450 ml of Butterfield's phosphate buffered dilution water and homogenizing in a high speed blender.

Yeasts and moulds: Not more than 500 colonies per gram

Coliforms: Negative by test

Salmonella: Negative by test

TESTS


IDENTIFICATION TESTS


Precipitate formation with calcium chloride


To a 0.5% solution of the sample in sodium hydroxide TS add one-fifth of its volume of a 2.5% solution of calcium chloride. A voluminous, gelatinous precipitate is formed. This test distinguishes alginic acid from gum arabic, sodium carboxymethyl cellulose, carrageenan, gelatin, gum ghatti, karaya gum, carob bean gum, methyl cellulose and tragacanth gum.

Precipitate formation with ammonium sulphate


To a 0.5% solution of the sample in sodium hydroxide TS add one-half of its volume of a saturated solution of ammonium sulfate. No precipitate is formed. This test distinguishes alginic acid from agar, sodium carboxymethyl cellulose, carrageenan, de-esterified pectin, gelatin, carob bean gum, methyl cellulose and starch.

Test for alginate

Dissolve as completely as possible 0.01 g of the sample by shaking with 0.15 ml of 0.1 N sodium hydroxide and add 1 ml of acid ferric sulfate TS. Within 5 min, a cherry-red colour develops that finally becomes deep purple.

PURITY TESTS


Sodium hydroxide insoluble matter


Weigh accurately about 1 g of the sample and dissolve in 100 ml of sodium hydroxide TS, centrifuge and decant. Wash the residue five times with water by mixing, centrifuging and decanting. Transfer the residue by means of water to a tared fine glass filter, dry for 1 h at 105°, cool and weigh. Calculate as percentage of the dry weight.

METHOD OF ASSAY

Proceed as directed under Carbon Dioxide Determination by Decarboxylation in the General Methods. Each ml of 0.25 N sodium hydroxide consumed is equivalent to 5.5 mg of carbon dioxide (CO2) or 25 mg of alginic acid (equivalent weight 200).


Previous Page Top of Page Next Page