Previous Page Table of Contents Next Page


Privatization of forest sector research in Europe

An analysis of the potential of private sector funding in forestry research in Europe.

E. Hellström, M. Palo and B. Solberg

Eeva Hellström is with the Finnish Forest Association, Helsinki.
Math Palo is with the Finnish Forest Research Institute, Helsinki.
Birger Solberg is with the Norwegian Forest Research Institute, As Norway.
Note: This article is an abbreviated version of the paper by the same authors entitled Privatization of forest sector research: theory and European empirical findings, forthcoming as an IUFRO Occasional Paper

The need to reduce public expenditures has brought about the question of privatization of research in many countries. Research can be privatized in at least three principal ways: first, the funding structure of a research organization may be privatized by increasing the share of (private) contract research. This is a strategy often adopted in order to increase the efficiency of public research organizations. Second, the ownership structure of a research organization may be privatized. The third form of privatization of research is the increase of private involvement in decision-making in science policy and in the government of research organizations.

Among the most relevant questions regarding privatization efforts in forestry research are: How does the private sector react to cuts in public research funding? Is there reason to expect private funding to compensate for reduced public funding? When research is privatized, to what degree do research priorities shift towards the interests of the private bodies involved in decision-making and capable of funding forestry research? How do different forms of privatization affect research activities?

The purpose of this article is to address some of these questions by:

· reviewing theories related to investment and public/private involvement in forest sector research;

· testing the theoretical criteria on public/private involvement in forest sector research with empirical findings; and assessing the applicability of privatization policies in forest sector research.

The theoretical framework and the empirical findings presented in this article are largely based on two research projects conducted at the European Forest Institute in 1994. In the first (Hellström and Palo, 1994; 1995a; 1995b; Hellström and Palo in FAO, 1995), the roles of public and private forest sector research in Europe were charted. In the second (Hellström, 1995), national case studies on the effects of changing funding patterns and policies on research activities were conducted in Finland and Norway as an initiative for further comparative studies in Europe.

Theoretical framework

Increased innovation as motivation for privatization

Privatization of research is often motivated by a scarcity of public funds available for research and the need to increase the productivity of research through improved interaction between the producers and the users of research results.

The basis for both arguments lies in an attempt to create innovation. This may take the form of novel products or services, novel methods, processes, systems or devices.

The model of a national innovation system (Fig. 1) can be used as a basis for understanding the arguments presented above. In the model, public R&D, education, training and extension are viewed jointly with similar private activities and with interactions between producers and consumers as a system leading to innovations and increased welfare. Two factors especially affect the number of innovations: learning by doing and the input that goes into the search for innovations.

In today's situation, where there is a need for substantial savings in public expenditure, the privatization of research funding in order to maintain the present level of inputs in the search for innovations, or to even increase it, is seen as a potentially attractive alternative in many research fields. However, before this argument is accepted, the roles of public and private funding should be considered in the framework of economic theory and empirical findings.

Research funding and economic theory

Research as a financial investment. Research and development projects are investment projects both from a private business point of view as well as from a national economic point of view. Their return has been studied less than conventional investments in goods and services, but over the past decades analytical literature around them has grown (see Dasgupta and Stiglitz, 1980b, for an early overview).

Criteria for the funding of forest sector research from the private business point of view can be examined in the regular framework of supply (S) and demand (D) functions (e.g. Hyde, 1986; Hyde, Newmann and Seldon, 1992). Research breakthroughs cause a decrease in production costs, or a downward shift in the supply function. As a result, greater quantities can be sold with lower prices.

In order for the private sector to have incentive to invest in R&D, the gains have to cover the research and development expenses, as well as giving a sufficient rate of return. The rate of return is dependent on how the supply and demand curves are transformed as a consequence of innovation. This is largely affected by the structure of the market and the conditions of competition.

Whether or not producers are willing to invest in research depends not only on profitability but also on the expected period of payoff of the investment. The time scale is a crucial aspect in research funding in two respects. First, in any research, a period of time is needed before the research investment can produce financial gains. The time aspect is also important in respect of how long it takes for the research breakthrough to deteriorate (Hyde, Newmann and Seldon, 1992).

The relation of a research investment to uncertainty and risk is twofold. First, the uncertainty of the future, which is a disincentive for other financial investment, may be the basic driving force behind research investment. In fact one important motivation for research is to produce information that reduces the uncertainties related to other financial investments by estimating the risks involved. Second, risk is also a component of research investment per se.

Incentives for public research funding. During the first part of this century, Schumpeter (1942) introduced clearly the idea that new products and new processes were the main source of dynamism in economic development. The Organisation for Economic Cooperation and Development (OECD), along with other international organizations and a number of national governments, adopted the increase of public R&D as an explicit strategy in the promotion of economic growth. This paradigm was particularly strong during the 1960s and 1970s.

Public research can increase competition by improving the knowledge base of buyers and sellers. It also breaks down barriers of entrance to the markets owing to lowered prices, increased output and increased productivity (Runge, 1983). In addition, because small- and medium-sized enterprises generally spend little on research, publicly funded research may be vital for the existence of many small businesses within forestry and forest industry.

Research results are also considered to be worth public support because of their strong positive external effects. In particular, the increase of environmental awareness in most countries is bound to be reflected in the funding of forestry research because the forest environment is clearly a public good.

FIGURE 1: A model of a national innovation system (Source: Modified from KTM (1993)

Distributive impacts of public policy can be aimed at strengthening the economy by increased competition, with democracy and with ethic criteria. Distributive impacts of forestry research include the allocation of research benefits and costs both among factors of production and between producers and consumers (Hyde, 1984).

Public funding of forestry research is also justified on the grounds of sustainability, particularly in fields of research where research projects are of long duration. In a survey of 45 forestry research institutions in developed countries, Bengston and Gregersen (1986) found stability of funding from year to year to be nearly as important for the research performance of the organization as the actual level of funding.

Criteria: public versus private funding. Based on research in the United States (Hyde, Newmann and Seldon, 1992), it has been found that public investment in R&D is necessary:

· where research requires large initial investments, where a long lag in investment-productivity is expected and where these results are highly uncertain;

· where the industry demand is highly inelastic or the supply is elastic, and research benefits are rapidly and largely transferred to competitive higher-level producers and final consumers; and even

· where demand may be more elastic or supply more inelastic, many firms may share the positive aggregate production gains provided by research. Therefore, the individual firm's gains are insufficient to cover the full research costs, even though each firm must invest these full costs independently in order to obtain any part of the industry's total gain.

In the United States, the first case is more representative of industries other than forestry (e.g. space and defence); the second case holds for the sawmill and wood pulp industries; and the third case is true of both the sawmill industry and forestry, and it may even describe the softwood plywood industry. However, these United States experiences are only partially transferable to other developed countries with differing resource and market situations and differing policy incentives.

Three hypotheses of private research funding within the forest industries are formed for European conditions. First, the demand function of the sawmill industry is relatively inelastic while the supply function is relatively elastic. Research benefits are rapidly and largely transferred to competitive higher-level producers and to final consumers. Accordingly, little private research is expected to be conducted within this industry. Second, in the woodwork and furniture industries, producer gains may often be positive. However, in most countries, the small market shares of individual enterprises within these industries suggest that innovative enterprises may be unable to claim a large proportion of the gain from their innovations. In such cases the pooling of research expenditures and sharing of research results may be the rational way to invest in research and development. Third, in the pulp and paper industry, the demand function is more elastic than in the sawmill industry. Therefore, gains from research inputs can be expected to be larger. The pulp and paper industry is also more concentrated and capital-intensive than the diverse wood industries and can even provide for larger initial research investments. Thus, considerable private research investments can be expected to be found in the pulp and paper industries.

In addition to forest industry, there are some highly profitable research investments within traditional forestry as well. If property markets functioned perfectly, research gains from biological forestry research would increase the value of the property immediately and thus create immediate potential returns. Since this is not the case in most countries, private investors may be unwilling to invest in long-term research projects, despite the economic efficiency of the investment.

Nevertheless, perhaps the most important obstacle for privately funded traditional forestry research is the scattered pattern and small scale of forest holdings in many countries, which results in the same kind of problems as those in the case of sawmill and other wood industries presented above.

Yet, it is not probable that the existing patterns of funding of forestry research in all cases will follow the rationale presented above. Instead, many ideological, political, cultural, institutional and, in small countries, al so personal factors may affect decisions on research funding. In addition to attitudes towards science in general, different political ideologies and forces may tend to privilege particular fields of research and development. Accordingly, the problem of research funding is dependent on theory and is a function of perceptions and power.

Empirical findings

The European pattern

The purpose of the European study (Hellström and Palo, 1994; 1995a; Hellström and Palo in FAO, 1995) was to formulate criteria for a rational division of private and public forestry research and to test these criteria with a survey of forestry research organizations in Europe. The material for the study was collected from international directories of forestry research organizations (FAO, 1986; 1993; Agricultural Research Centres, 1988) as well as forest and science policy-related literature. Additional information was collected through interviews of representatives of selected European countries. All together the material covers 29 European countries, 205 research organizations and a total of 7879 researchers.

The concept of forest sector research comprised both traditional forestry research and forest products research. The structure of forestry research can vary according to the degree of basic and applied research as well as development work. In these aspects and others, the material available for the study determined to a great extent the scope of forestry research included in the study. For example, research in many forestry-related fields such as environmental aspects of forestry, wildlife, agroforestry, land use and forest products were, for practical reasons, included in the study only when it was conducted at research establishments with a permanent input in forest sector research.

The material contained three main deficiencies. First, R&D conducted within individual enterprises were also, owing to missing data, excluded from the study. Therefore, it is probable that private research and development efforts are underestimated in countries with significant forest industries.

Second, the study focuses on the sectors of performance (type of institute) rather than on the source of funds. Third, the number of research staff is used as an indicator of financial resources.

Difficulties arise particularly from the definition of researcher, which may have varied among the countries, and from the fact that not all researchers do full-time research work (e.g. university staff who also have educational duties). However, the number of researchers as a measure of national R&D efforts has the advantage of not being complicated by changes in currency values internationally and over time.

Forestry research as forest policy and science policy

Forestry research has a dual role in public policy. It may be considered both as a part of science policy and as a part of forest policy. In the European OECD countries, forestry represents 0.32 percent of the total graduate staff in R&D. Forestry research has the most important role in science policy in countries with smaller economies and a high level of forest cover (e.g. Finland, Sweden, Austria, Portugal and Norway). On the other hand, countries with fewer forest resources (e.g. Denmark, Ireland, the Netherlands, Iceland and Greece) place more emphasis on forestry research compared with other research fields than the major economies with significant forest resources (e.g. Germany, France and Italy) (Hellström and Palo, 1994; 1995a: Hellström and Palo in FAO, 1995).

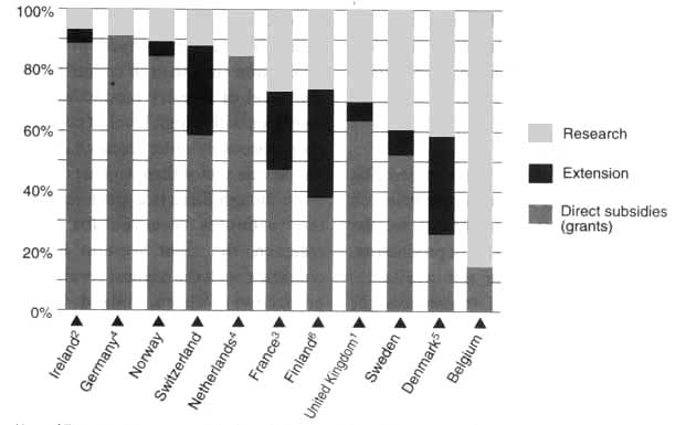
The role of forestry research in public forest policy also varies greatly within different European countries. Grayson (1993) has evaluated the role of public research expenditure on behalf of private forestry in several Western European countries (Fig. 2). Belgium, for example, allocates nearly six times as much to research in favour of private forestry as it does in forestry grants.

However, the high share of research may be to some extent an overestimation, because funds for extension are not taken into account. Other rather research-oriented countries are the United Kingdom, France, Denmark, Sweden and Finland, which allocate 25 to 40 percent of their public support to private forestry for research. Ireland. Germany and Norway, on the other hand, place less emphasis on research as a form of public forest policy than other countries. In these countries, research represents less than 10 percent of the total public support to private forestry.

Public versus private research. In Europe as an average, 40 percent of forestry research is conducted at universities, 49 percent at public research organizations and 9 percent at private research organizations. The type of institute was not known for 2 percent of researchers, but the organizations marked as unknown are most likely to have been public research organizations. If Western European countries are considered alone, the share of forestry research conducted at private institutions is 15 percent.

European countries can be divided into five main groups according to the existence and dominance of various sectors of performance in forestry research (Fig. 3). The first group comprises Eastern European countries, where forestry research has traditionally been conducted at universities and national research institutes only. The second group consists of those Western European countries where no researchers in forestry are employed by the private sector (Greece and Ireland).

FIGURE 2: The structure of public expenditure In support of private forestry in some Western European countries, 1990-1994

Notes: 1Excluding costs on tropical forestry. 2Including EC-funded projects. 3Excluding arboriculture. 4Excluding extension. 5Excluding shelterbelts, hunting and landscape research. 6Support for private forestry includes only funds from the Ministry of Agriculture and Forestry.

Sources: Data for Finland are from the Ministry of Agriculture and Forestry and Hellström (1995). Data from other countries are from Grayson (1993). Figures for Finland are from 1994, for Ireland from 1991 and for other countries from 1990

FIGURE 3: Share of researchers in forestry by type of institution In European countries, 1983-1992

Note: International Research Institutes are not included in the figure
Sources: FAO (1986, 1993), Agricultural Research Centres (1988): Hellström and Palo (1994, 1995a, 1995b).

In addition to limited forest resources, these countries tend to have a small proportion of privately owned forests (17 percent in Greece and 22 percent in Ireland). The third group comprises the three European countries with the smallest forest resources (Cyprus, Iceland and Israel). In each of these countries forestry research is conducted only in a single public research organization with very few research staff (three to four graduates). The fourth group consists of a variety of countries with a rather small private sector in forestry research. The group is rather heterogeneous, consisting of both major and minor economies and of countries with small and large forest resources. The five countries of the fifth group (Sweden, Norway, Finland, Portugal and Austria) all have substantial forest resources, and the private sector employed over 20 percent or the total forestry research staff in the period 1983-1992.

Research intensity

The two most common ways to describe research intensity is to compare research and development expenditures on the value added, or to the value of production. Here, such data were not available. Instead, the number of researchers per unit of production (m3 of felling) is used as a crude indicator of research intensity (Fig. 4).

FIGURE 4: Number of researchers in the forest sector per unit of production In European countries, 1983-1992 (Sources: FAO (1986, 1993); Agricultural Research Centres (1988); UN-ECE/FAO (1992); Hellström and Palo (1994, 1995a, 1995b)

In countries with a high level of wood production (m3 of felling), fewer researchers are employed per unit of production (m3) than in countries with a low level of forestry production. In the countries with a high level of production, proportionately more research is done in the private sector than in other countries. Even though there is a great variation in the resources reserved for forestry research, the eight Western European countries with the highest level of wood production (Sweden, Finland, Germany, France, Spain, Austria, Norway and Portugal) have about the same number of researchers per unit of production, which is in fact the lowest of all the European countries. This equality is a most interesting finding. The Eastern European countries with the most significant wood production (Poland, former Czechoslovakia and Romania) have more researchers per unit of production than the Western European countries with a corresponding level of production. Several factors can be found to explain the high intensity of forestry research compared with units of production in other Western European countries. For example, many of the countries mentioned have a strong prior colonial tradition, which even today is reflected in their interest in research concerning tropical areas. In some countries, the environmental function of forests may be more dominant than in others.

Furthermore, forest resources may have a special value in countries where they are scarce, and the definition of "researcher" may also vary. For example, some countries may include technicians and other supporting staff in their figures, whereas others do not.

Case studies: Finland and Norway

The purpose of the comparative study between Finland and Norway (Hellström, 1995) was to:

· describe changes in funding of research in the forest sectors of Finland and Norway during the period 1983-1993;

· analyse the influence of both economic and institutional factors on the funding structure; and

· analyse the effects of different funding patterns on the activities of the research organizations.

FIGURE 5: Shares of sources of funding for research In forestry, wood technology and pulp and paper technology in Finland and Norway, 1991-1993 (Source: Hellström (1995))

FIGURE 6: Research intensity (research expenditure as a share of GDP) in the forest sectors of Finland and Norway, 1991-1993 (Source: Hellström (1995))

Finland and Norway were chosen as case study countries for an in-depth investigation because the study offered a possibility to compare the effects of varying science policies on research that is otherwise conducted in rather similar circumstances.

The study involved ten research organizations in Finland and seven in Norway. Multiple sources of evidence were used. First, such factors as the pattern of funding, the client structure, the type of research projects, the organization as well as the dependency of the organization on other organizations were charted. This information was mostly drawn from annual reports and other publications. Second, information about the effect of economic and institutional factors that were likely to affect the level and pattern of funding as well as information about the effect of changing funding levels and patterns on research activities were collected through focused interviews of specialists in the organizations studied. Third, figures from national statistics on R&D were used to ascertain the research input of individual industrial enterprises.

Public versus private research

In both Finland and Norway, research conducted at universities represents only a minor share of research in the forest sector (5 percent in Finland and 4 percent in Norway). The major difference between these two countries is that, in Finland, a higher proportion of research in the forest sector (50 percent) is conducted in individual firms than in Norway (35 percent). On the other hand, in Norway relatively more research in the forest sector is conducted in research institutes (36 percent in public and 26 percent in private research institutes) than in Finland (28 percent in public and 17 percent in private research institutes). A further important difference is that the principal research institute for wood technology is public in Finland - the Forest Products Laboratory of the Technical Research Centre of Finland (VTT) - and private in Norway - the Norwegian Institute of Wood Technology (NTI).

Despite some structural differences in the organization of forest sector research in Finland and Norway, the funding structures of the various research fields are surprisingly similar (Fig. 5). In both countries, most funding for forestry research comes directly from the state budget. Owing to different accounting systems of research expenditure, all public research grants are included in the respective category in Finland whereas, in Norway, public research grants other than those of the Research Council of Norway (NFR) are included in the category of "other funding". Thus, the only significant difference in the funding structures of forestry research for these two countries is that industrial membership fees are also used for financing forestry research in Finland (Metsäteho). In Norway, the forest industry is not involved in funding forestry research on a regular basis. This is because very little logging in Norway is conducted by the forest industry, which also owns relatively little forest area.

In wood technology, the share of public funding is roughly the same in both countries despite the very different organizational pattern of research in this field. The difference between these two countries is that in Finland, basic funding comes mostly from the government budget while, in Norway, it comes from NFR. A further distinction is that, in Norway, membership fees are also collected from the industry. Moreover, the funding structure of research in pulp and paper technology is very similar within the two countries.

Research intensity

Research intensity in forestry and wood technology, measured by using the share of research expenditure of the GDP as an attribute, is rather similar in both Norway and Finland. However, in the figures concerning forestry, the intensity of research is significantly overestimated in both countries because non-market products such as biodiversity, carbon balance recreation, are not included with production figures (Fig. 6).

Research intensity in pulp and paper technology is significantly higher in Finland than in Norway. One possible explanation for this is that the Finnish forest industry is to a large degree also involved in machine development.

Science policies and research activities

Forestry research in both Finland and Norway faced a period of significant growth during the 1980s. In the early 1990s, on the other hand, the total level of research funding decreased in Finland and stagnated in Norway. However, differences between single institutes are considerable. Generally, tighter funding results in two different kinds of policy: attempts to increase the efficiency of the use of funds and attempts to increase the level of funding from external sources. Even though both policies have been applied in both countries, it seems that the focus in Finland has been more on the first strategy while in Norway it has been on the second.

The research policies of both countries have raised pressure to increase private funding. In Finland, this pressure is mainly caused by decreasing public funding, and in Norway by the policy of increased user orientation. However, in the interviews reported in Hellström (1995), research leaders in both countries were pessimistic about being able to increase the share of private funding in forestry research significantly. Research fields affected most by the various changes in financing in both countries are those using long-term field experiments.

Discussion

Theory and empirical findings

The empirical findings of the studies presented in the previous section have generally been consistent with the economic criteria for a rational division of public and private funding of forest sector research presented at the beginning of the article. However, data for the studies were collected on an institute-wide basis, and not according to individual fields of research, which to some degree restricts the scope of conclusions on the basis of these studies.

According to support from the European survey of public and private forestry research (Hellström and Palo, 1994; 1995a; 1995b; Hellström and Palo in FAO, 1995), the following conditions were considered to be the most relevant for private funding of forestry research:

· a high rate of return of research investment;
· a short delay and low risk of R&D investment (e.g. forest products research, harvesting);
· a concentrated, capital-intensive forest industry (e.g. Scandinavia);
· large private forest holdings (e.g. Portugal); and
· strong forest owner unions (e.g. Denmark).

Despite a clear need and the existence of private forestry research organizations in some well-defined research areas, there remains a wide range of aspects that favour public funding of most forestry research:

· missing markets for research results;
· imperfect juridical infrastructure (e.g. patent system, property markets);
· positive external effects in the form of innovations;
· forest environment as a public good;
· positive distributive effects in favour of rural areas;
· stabilization of an economy in recession; and
· sustainability of R&D funding scientific standards.

These criteria are discussed below in relation to experiences in some research fields. For most biological forestry research, the conditions of short delay until payoff and low risk of investment are not fulfilled. Yet, investments in forest management intensification techniques, such as fertilization and drainage, can produce gains within a shorter time span than most other biological research. Another important factor affecting the existence of the private sector within biological forestry research is the forest ownership pattern. Generally, forest owners cannot be expected to finance biological forestry research, except in the case of very large forest holdings, such as those within the forest industry in Portugal, or in the case of strong forest owner unions (e.g. Denmark). In fact, public funding dominates most areas of forestry research, which is also supported by the fact that many areas of forestry research produce high social gains.

In the case of engineering-related harvesting and transport, the delay until payoff is short, and the private sector can be expected to be involved with research funding. However, much depends on the employment structure in harvesting and forestry work in a specific country. In several European countries, private funding of harvesting-related research does not seem to have a regular basis, but is focused on contract research on individual projects. Cubbage (1989) reports a similar situation in the United States where, in spite of the economic efficiency of research in harvesting, there is a paucity of funding and research scientists. On the other hand, in Denmark harvesting is mostly conducted by owners of small forest holdings, who also finance an institute conducting research in harvesting through a strong forest owners' union. Furthermore, in Finland and Sweden, where a large share of forest work is conducted by the forest industry, it is the industry that is largely involved with research in harvesting methods. On the other hand, in Norway, most forest work is conducted by the numerous private forest owners, so the private company sector does not have the same incentive to invest in forestry research as in Finland and Sweden.

A particularly interesting finding in the comparison of research funding in Finland and Norway is the fact that, despite some differences in the organizational structure of forest sector research, the funding structures of forestry, wood technology and pulp and paper technology are very much alike in both countries. This suggests that economic criteria, such as those presented above, strongly guide the funding structures of forest sector research despite variations in organizational structures.

This can be illustrated by an example of wood technology research. In Finland, such research is conducted at the Forest Products Laboratory of the Technical Research Centre of Finland (VTT) - a public institute that enjoys substantial public involvement in research funding.

The Norwegian wood industry, on the other hand, has a joint research institute: the Norwegian Institute of Wood Technology (NTI). As public support for this institute has decreased it has become increasingly dependent on funding from the fragmented wood industry which has not been able to provide a sufficient level of funding for basic research. Thus it seems that, regardless of the ownership structure of research institutes within wood technology, regular public support is necessary owing to the fragmentation of the industry. Another main reason for the continued need for public funding compared with the pulp and paper sector is the relatively inelastic demand of sawnwood which considerably restricts the producers' gain from innovations and gives most of it to the users of sawnwood.

On the other hand, private involvement in research funding in pulp and paper technology is dominant in both Finland and Norway, partly owing to the concentrated and capital-intensive pulp and paper industry in these countries, and to the relatively elastic demand for pulp and, particularly, paper products.

Recommendations

Privatization of the funding of forestry research has often been motivated by the scarcity of public funding and the need to increase the productivity of research. However, both economic theory and our empirical findings give strong support for the continuing dominance of public funding for most forestry research. We have not found support from theory or practice that decreased public funding of most forestry research would be compensated by increased private funding in the respective fields of research. In addition, if public funding of forestry research is cut, it means that research orientation will be to an increasing degree controlled by the markets, which for forestry research are very narrow. Inevitably such privatization would shift research priorities towards the interests of private bodies capable of funding forestry research.

Furthermore, there are several ways to increase the productivity of research without privatization of R&D funding. Increasing interaction between public and private R&D institutions as well as education, training and extension services is one cost-efficient way of promoting the search for innovations. In addition, increased competition for research funds may activate the science community, if introduced at a reasonable scale. Research outputs can also be increased by changing the emphasis of funding decisions from an ex ante assessment of potential achievements to an ex post assessment of previous achievements. Increases in research productivity can also be obtained through delegation of decision-making power in the use of existing funds from the top administrative level to smaller research units. Such delegation makes the use of funds more efficient while also motivating the research staff.

Research on the effects that privatization of the ownership structure of forestry research organizations has on their research activities were rather limited in this study. However, an example from Norway, where in 1988 the research arm of the Directorate for Nature Management and the Programme for Applied Ecological Research funded by the Ministry of Environment were merged into a private research foundation, the Norwegian Institute for Nature Research (NINA), suggests that semi-privatization may have positive effects on research activities, particularly in the form of increased flexibility.

The aim of privatization of decision making in forestry research is mainly to improve the linkages between the producers and users of research results, in order to promote the learning process necessary to produce innovations. The science policy of the Norwegian Research Council (NFR) aiming at increased user orientation can be seen as an example of this third form of privatization. In the new policy, the degree to which the use of public funds is made within the private sector has been increased. However, NFR's privatization strategy also includes the first form of privatization by increasing private funding of research and development. Overall, the policy seems to have been successful in improving the interaction between the producers and users of research results.

However, as a consequence of the new policy some research institutes have faced a situation where adequate funding is no longer available for a sufficient level of basic research to maintain scientific competence. A further problem in user-steered research is that less priority is given to the quality of research. A third problem is that research capacity has not increased and the freedom of research may have decreased.

Privatization of research has a negative connotation for many scientists, as it is often feared to lead to decreased freedom and objectivity of research. Without underestimating these problems that have come forth in the empirical evidence, it should be emphasized that there are many forms of privatization with varying effects on research activities, not all of which could be presented in this paper. Research leaders should therefore carefully consider the various forms of privatization and the motivations for such action in order for the sustainability needs of forestry research to be satisfied. A sustainable level of research funding is necessary not only for a stable amount of research, but also for the maintenance of scientific quality and neutrality and for maintaining and increasing the value of previous investments in long-term research projects.

In the opinion of the authors, pressures for decreased public funding could be confronted with active debate on behalf of sustained or even increased public funding of forestry research. The criteria for public and private funding presented previously could form an important basis for such argumentation.

Even in countries such as Finland and Norway, which have significant forest resources, research intensity in the forest sector is only slightly above the European average, and in wood technology even significantly below the average. Yet, because the high value of non-wood benefits of forestry is not considered in the figures cited for research intensity, these figures significantly overestimate the real situation. The research intensities in Finland and Norway are slightly lower than in most other major wood-producing Western European countries. These facts leave considerable scope for increasing research funding in both forestry and wood technology in several European countries, particularly in Finland and Norway.

Owing to the reduction of grants for forestry in some Western countries during recent years, the relative role of forestry research in public forest policy has increased. In fact, R&D in forestry could be increasingly regarded as one of several instruments of forest policy. In many cases, investments in R&D might produce larger gains for forestry than poorly designed subsidies. Again, the criteria set for private and public funding of forestry research could be considered as the primary criteria for balancing investment in R&D with investments in other instruments of forest policy. In fact, increased public investments in forest sector research and development could be considered the most effective policy means to promote economic growth and development.

Bibliography

Agricultural Research Centres. 1988. A world directory of organizations and programmes, ninth edition. Vols 1 and 2. London, Longman. 1065 pp.

Alestalo, M. 1991. Science and the politico-economic system. Social change, transformation of political structures, and the social value of science. Helsinki, Publications of the Academy of Finland 2/91.96 pp.

Bengston, D. N. & Gregersen, H. M. 1986. An assessment of factors affecting forestry research capacity in IUFRO member institutions. In Proc. XVIII IUFRO World Congress, September 1986, Ljubljana. S4.05-05 Valuation of Forestry Research.

Boyd, R. G. & Hyde, W. F. 1989. Forestry sector intervention. The impacts of public regulation on social welfare. Ames, IA, USA, Iowa State University Press. 295 pp.

Cubbage, F. W. 1989. Timber harvesting. In P. V. Ellefson, ed. Forest resource economics and policy research. Strategic directions for the future, p. 193-208. San Francisco and London, Westview Press.

Dasgupta, P. 1990. The economics of parallel research. In F. Hahn, ed. The economics of missing markets, information and games. London, Clarendon Press.

Dasgupta, P. & Maskin, E. 1987. The simple economics of research portfolios. Econ. J., 97: 581-595.

Dasgupta, P. & Stiglitz, J. E. 1980a. Industrial structure and the nature of innovative activity. Econ. J., 90: 266-293.

Dasgupta, P. & Stiglitz, J. E. 1980b. Uncertainty, industrial structure and the speed of R&D. Bell J. Econ., 11: 1-28.

FAO. 1986. World compendium of forestry and forest products research institutions. FAO Forestry Paper No. 71, Rome, 613 pp.

FAO. 1993. Directory of forestry research organizations. FAO Forestry Paper No. 109, Rome.

FAO. 1995. The role of the private sector in forestry research, p. 5-71, Rome.

Freeman, C. 1988. Innovation. In J. Eatwell. M. Milgate & P. Newmand, eds. The new Palmgrave. A dictionary of economics. Vol. 2, p. 858-860. London, Macmillan Press.

Grayson, A. J. 1993. Private forestry policy in Western Europe. CAB International. Exeter UK, Short Run Press. 329 pp.

Hellström, E. 1995. Patterns and policies of research funding in the forest sector. A comparative study' between Finland and Norway. European Forest Institute Research Report No. 4. Joensuu, Finland European Forest Institute.

Hellström, E. & Palo, M. 1994. Forestry research in Europe: the roles of public and private funding. In Proc. IUFRO subject group S6.06 Symposium on the Management of Forest Research, September 1994, Cape Town, South Africa, Vol. 1, p. 14-34.

Hellström E. & Palo, M. 1995a. Theoretical framework of research funding. In FAO, ed. The role of the private sector in forestry research. Rome.

Hellström, E. & Palo, M. 1995b. Public and private forestry research in Europe. J. For. Econ., 3: 16.

Hyde, W. F. 1984. Some preliminary experiences in forestry research evaluation in the United States. In Proc. IUFRO World Conference, August 1984, Thessaloniki, Greece, Vol. 1, p. 187-200.

Hyde, W. F. 1986. Gains from public forestry research: methods and case studies in biological forestry and forest utilization. In Proc. XVIII IUFRO World Congress, September 1986, Ljubljana. S4.05-05 Valuation of Forestry Research.

Hyde, W. F., Newmann, D. H. & Seldon, B. J. 1992. The economic benefits of forestry research. Ames, IA, Iowa State University Press. 249 pp.

Katz, M. & Shapiro, C. 1987. R&D rivalry with licensing or imitation. Am. Econ. Rev., 77: 402-420.

KTM. 1993. Kansallinen teollisuusstrategia (A national strategy for the industry). Helsinki. Finland Ministry of Trade and Industry. (in Finnish)

Palo, M. 1994. From deforestation into sustainable forestry: a transition based on markets and policies. Scand For. Econ., 35: 391 -397.

Runge, C. F. 1983. Balancing public and private sector forestry research: rationale and plan of study. In W.F. Hyde ed. Economic evaluation of investments in forestry research, p. 68-85. Fairfield Conn., USA, Acorn Press.

Schumpeter, J. A. 1942. Capitalism, socialism and democracy. New York, Harper.

UN-ECE/FAO. 1992. The forest resources of the temperate zones. Main findings of the UN-ECE/FAO 1990 forest resource assessment. Rome. 32 pp.


Previous Page Top of Page Next Page