First draft prepared by Dr. P. Sinhaseni Tantiyaswasdikul
Department of Pharmacology
Faculty of Pharmaceutical Sciences
Chulalongkorn University
Bangkok, Thailand.
IDENTITY
Chemical name:
IUPAC: 3-[3-(3-chloro-5-trifluoromethyl-2-pyridinyloxy)-4-chlorophenyl]-1-(2,6-difluorobenzoyl)-ureaCA: N-(3-(3-chloro-5-trifluoromethyl-2-pyridinyloxy)-4-chlorophenyl)-1-(2,6-difluorobenzoyl)-urea
Synonyms: Fluazuron
Structural formula:
Molecular formula: C20H10Cl2F5N3O3
Molecular weight: 506.21
OTHER INFORMATION ON IDENTITY AND PROPERTIES
Pure active ingredient:
Appearance: White to pink fine crystalline powder, physical state at 20°C - crystalline, colourless and odourless
Melting point: 219°C
Partition coefficient in n-octanol/water: log P = 5.1
Solubility:
|
Water at 20°C |
<0.02 mg/L |
|
Organic solvents at 20°C (w/v) |
|
|
Methanol |
0.24% |
|
Isopropanol |
0.09% |
|
n-Octanol |
0.07% |
|
Acetone |
5.5% |
|
Hexane |
3 mg/L |
|
Methylene Chloride |
2.0% |
|
Cyclohexanone |
10.5% |
|
N-Methyl-2-Pyrrolidone |
35% |
Stability to acids, bases:
|
|
Half-lives |
|
pH 3 at 25ºC: |
14 days |
|
pH 5 at 25ºC: |
7 days |
|
pH 7 at 25ºC: |
20 hours |
|
pH 9 at 25ºC: |
0.5 hours |
RESIDUES IN FOOD AND THEIR EVALUATION
CONDITIONS OF USE
General
Antiparasite, tick development inhibitor, insecticide, insect/acarine development inhibitor. Use in cattle is for the control of Boophilus microplus. The principle mode of action of fluazuron on the cattle-tick is by inhibition of chitin incorporation into tick cuticle. The inhibition is presumably against enzymes involved in the final stages of chitin synthesis (Kemp et al., 1990).
Dosage
The product is applied in two bands on each side of the spine between the shoulders and the rump by means of an applicator at the dose levels of 1.5 and 2.5 mg/kg b.w. In most situations the control can be achieved with a single treatment per season. When necessary, depending on the climatic region, an additional treatment is recommended after an interval of 3 to 6 months. The difference in dosing is due to the different sensitivity of the pest strains in different countries.
PHARMACOKINETICS AND METABOLISM
Pharmacokinetics
Rat
In rats, a daily dose of 0.5 mg/kg b.w. of [U-14C] Cl-Phenyl labelled fluazuron was administered by stomach tube for 7 consecutive days. At 24 hours after final dose, approximately 60% of the administered radioactivity were absorbed (Schulze-Aurich, 1992). The metabolic pathway of fluazuron is shown in Figure 1.
Radiolabelled fluazuron and metabolites were released by first order kinetics with a half life of 13 days in rats, orally administered 0.5 mg/kg b.w. for 7 consecutive days. A total of 60% of the administered dose was eliminated in the urine and faeces during one week of repeated exposure and a subsequent one-week withdrawal period.
Based on the faeces metabolite pattern, it is estimated that about two-thirds of the dose was metabolized and one-third was eliminated unchanged. The metabolism is mainly by cleavage of the benzoyl ureido bridge. Hydroxylation of the metabolite at the phenyl ring leads to metabolite which was eliminated mainly with the faeces. The metabolism in rats proceeds by cleavage of the urea moiety, followed by hydroxylation in position 6 of the phenyl ring leading to 3-[3-(3-chloro-5-trifluoromethyl-2-pyridinyloxy)-4-chloro-6-hydroxyphenyl]urea. The primarily formed cleavage product 2,6-difluorobenzoic acid is partly conjugated with glycine to 2,6-difluorohippuric acid. The primary route of elimination was through the faeces as shown in Table 1.
Table 1. Excretion of Radioactivity in Rats (% of Total Dose) During Days 0-7 and Days 8-14
|
|
Days 0-7 |
Days 8-14 |
||
|
Male |
Female |
Male |
Female |
|
|
Urine |
1.6 |
2.1 |
1.1 |
1.5 |
|
Faeces |
37.2 |
38.1 |
21.5 |
20.8 |
|
Total |
38.8 |
40.2 |
22.6 |
22.3 |
Figure 1. Proposed Metabolic Pathway of Fluazuron in Rats
Cattle
Oral application of 2.0 mg/kg b.w. of fluazuron gives rise to more rapid absorption and maintains higher level of fluazuron in the bloodstream of cattle than a dermal treatment at the same dose level (Bull and Strong, 1994). The compound distributed to the tissues such as muscle, kidney, liver, lung and brain but deposited preferentially in the fat. When the radiolabelled fluazuron was administered subcutaneously to cattles at 1.5 mg/kg b.w., the mean maximum plasma level of total radioactivity was reached in 48 hours post dose. The radioactivity was absorbed slowly from the site of injection. Half life of the radioactivity in the blood was around 78 days (Cameron et al., 1992).
Fluazuron was applied to various species of cattle by single or repeated administration of pour-on in two strips along the backline from the shoulder to the loins. There were relatively consistent range of ratio for residues in plasma and fat as shown in Table 2. When subcutaneous injection was administered to male cattle at 1.5 mg/kg b.w., elimination of unchanged fluazuron occurred via bile and faeces (23%), whereas metabolized products were excreted via urine (1%). More than 96% of the radioactive compounds present in the faeces were extractable. The major fraction (62-81%) of the radioactivity present in the extract, was identified as unchanged compound.
Table 2. Levels of Fluazuron in Blood Plasma and Fat of Cattle Following a Single or Repeated Administration of Pour-on Formulations
|
Species of Cattle and Their Body Weights (kg) |
Method of Application |
No. of Cattle |
Application Rate per Treatment (mg a.i. per kg bw) |
Residue (Mean ± SD) |
Sampling Time (days) |
Reference |
|
|
Plasma (m g/L) |
Fat (mg/kg) |
||||||
|
Hereford Weaner heifers, b.w. 150-200 kg |
Pour-on, two strips along the backline, one single treatment |
4 (plasma) |
1.5 |
9 ± 4 |
1.2 |
84 d |
Thomas et al., 1992 |
|
Hereford x Braham heifers, b.w. 271-277 kg |
Pour-on, two treatments 16 weeks apart |
4 |
1.5 |
12 ± 5 |
2.5 ± 0.9 |
42 (after first treatment) |
Swindale et al., 1993a |
|
Braham Steers, b.w. 280 kg |
Pour-on, two treatments 24 weeks apart |
4 |
1.5 |
13 ± 5 |
1.4 ± 0.4 |
42 (after first treatment) |
Swindale et al., 1993b |
|
Friesian, Guernsey dairy heifers, b.w. 200 kg |
Pour-on, one single treatment |
2 (selected out of 49 treated) |
1.25 |
6 ± 2 |
1.2 |
42 |
Swindale et al., 1993d |
|
Hereford, Hereford x Santa Gertrudis, Hereford x Braham heifers, b.w. 217 kg |
Pour-on, one single treatment |
3 (selected out of 59 treated) |
1.25 |
<2 ± 0.5 |
0.73 ± 0.14 |
42 |
Swindale et al., 1993c |
The parent compound and/or its metabolites had a high affinity for fat. There were persistent depot of the compound at the injection site.
There is a transfer and accumulation of fluazuron in calves suckling cows which have been treated with fluazuron pour-on (Strong and Swindale, 1993).
Metabolism in Food Animals
Radiolabelled fluazuron was given as a single subcutaneous injection to cattle at 1.5 mg/kg b.w. The extent of metabolism in cattle was found to be lower than in rats. The TLC radiograms from cattle showed less radioactive spots than those from rats. In all tissues, and at all time points, unchanged fluazuron was the only metabolite, accounting for more than 90% of the total residues (Schulze-Aurich, 1992a). The nature of metabolites eliminated with urine, faeces and bile were more polar than the parent compound. Following single topical administration of radiolabelled fluazuron pour-on preparation, unchanged fluazuron was almost the only radioactive compound detected. In the faeces, the parent compound accounted for 92% of the radioactivity of the investigated samples.
TISSUE RESIDUE DEPLETION STUDIES
Radiolabelled Residue Depletion Studies
Twelve steers were treated with a single s.c. dose of 14C-fluazuron at a dose level of 1.5 mg/kg b.w. Three animals were sacrificed at each of the sampling times of 2 days, and 2, 6 and 16 weeks post-dosing. Fluazuron residue levels in fat were consistently about 10 times higher than those in liver and kidney. Fat contains the highest residue levels at all times. The distribution of the total residues (mg/kg) in edible tissues for all of the treatment groups are shown in Table 3 (Cameron et al., 1992).
Table 3. Ranges of the Total Residues Expressed as Fluazuron Equivalents (mg/kg) in Steers Treated with a Single Subcutaneous Dose of 1.5 mg of 14C-Fluazuron per kg of Body Weight
|
Withdrawal time |
Muscle (mg/kg) |
Liver(mg/kg) |
Kidney (mg/kg) |
Fat(mg/kg) |
|
2 days |
0.094-0.210 |
0.640-0.903 |
0.269-0.585 |
0.37-6.89 |
|
2 weeks |
0.027-0.121 |
0.238-0.353 |
0.098-0.214 |
1.43-4.63 |
|
6 weeks |
0.032-0.082 |
0.230-0.326 |
0.114-0.206 |
1.76-3.20 |
|
16 weeks |
0.010-0.035 |
0.090-0.140 |
0.071-0.171 |
0.51-1.17 |
Other Residue Depletion Studies (with Unlabelled Drug)
Table 4. Residue Depletion Studies in Cattle Using Unlabelled Fluazuron as Pour-on Formulation
|
Tissue |
Dose (mg/kg bw) |
Sampling time* |
Reference |
|
M, L, K, SF, KF |
2.0, single treatment |
4, 6, 8, and 16 weeks |
Strong and Bull, 1992a |
|
M, L, K, SF, KF |
2.0, two treatments 9 weeks apart |
6, 8, and 16 weeks |
Strong and Bull, 1992b |
|
SF |
2.0 or 4.0, three treatments at intervals of 12 weeks |
6 weeks after each treatment |
Strong and Bull, 1993 |
|
F |
1.5, two treatments 16 weeks apart |
6 weeks after 1st treatment** |
Swindale et al., 1993a |
|
F |
1.5, two treatments 24 weeks apart |
6 weeks |
Swindale et al., 1993b |
|
SF |
1.5 or 2.5, single treatment |
6 and 12 weeks |
Thomas et al., 1992 |
|
F |
1.25, single treatment |
6 weeks |
Swindale et al., 1993c |
|
F |
1.25, single treatment |
6 weeks |
Swindale et al., 1993d |
|
F |
2.0 or 4.0, three treatments at intervals of 12 weeks, first treatment to cows carrying calves to be born 6 weeks later. During the 2nd and 3rd years of treatment the calves received the same treatment as their respective mothers had received the previous year. |
6 weeks post each treatment |
Bull, 1995a |
|
M, L, K, SF, KF, OF |
2.5, single treatment |
32 weeks (calves), after treatment of mothers |
Strong and Swindale, 1993 |
|
M, L, K, SF, KF |
3.0, single treatment |
4, 6, 8 and 16 weeks |
Strong and Bull, 1992c |
|
M, L. K, SF, KF |
3.0, two treatments 9 weeks apart |
6, 8 and 16 weeks |
Strong and Bull, 1992d |
|
SF |
2.0, single treatment pour-on and orally |
25 and 52 weeks |
Bull and Strong, 1994 |
* After last treatment, if not otherwise indicated;
** After 2nd treatment blood drawn only; M = Muscle, L = Liver; K = Kidney; F = Fat; SF = Subcutaneous Fat; KF = Kidney Fat; OF = Omental Fat
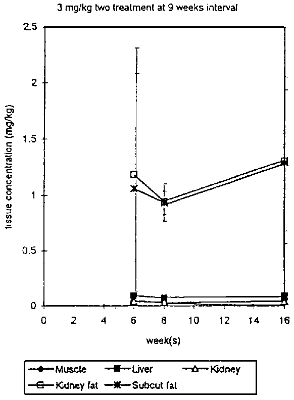
Results of four pour-on formulation studies in which fluazuron was applied in two strips along the backline from the shoulder to the rump using a calibrated plastic syringe, are summarized in Figures 2 and 3, and Table 5 (Strong and Bull, 1992a; 1992b; 1992c; 1992d). Residues in these studies were determined using an HPLC-UV method with a LOD of 0.02 mg/kg for muscle, liver and kidney, and 0.01 mg/kg for fat. These studies are consistent with previous studies showing that fluazuron does not accumulate in tissues. However, the residue levels rise with increasing doses.
Table 5. Residues of Fluazuron (mg/kg) in Muscle, Liver, Kidney, and Fat of Cattle Following Pour-on Dosing at 2 or 3 mg/kg of Body Weight
|
Dose (mg/kg bw) |
No of Animals |
Sampling time |
Muscle (mg/kg) |
Liver (mg/kg) |
Kidney (mg/kg) |
Fat (kidney) (mg/kg) |
Fat (subcut) (mg/kg) |
|
2, single treatment
|
3 |
4 weeks |
0.07 ± 0.01 |
0.10 ± 0.03 |
0.07 ± 0.02 |
2.1 ± 0.1 |
2.4 ± 0.2 |
|
6 weeks |
0.04 ± 0.01 |
0.08 ± 0.03 |
<0.02 |
0.9 ± 0.3 |
0.9 ± 0.2 |
||
|
8 weeks |
0.03 |
0.04 ± 0.01 |
<0.03 |
0.8 ± 0.3 |
0.9 ± 0.3 |
||
|
16 weeks |
<0.03 |
0.02 ± 0.01 |
<0.02 |
0.4 ± 0.08 |
0.5 ± 0.1 |
||
|
2, two treatments 9 weeks apart |
3 |
6 weeks* |
0.04 ± 0.02 |
0.09 ± 0.04 |
<0.04 |
1.10 ± 0.60 |
1.10 ± 0.61 |
|
8 weeks* |
<0.03 |
0.07 ± 0.03 |
<0.03 |
0.83 ± 0.49 |
0.89 ± 0.54 |
||
|
16 weeks* |
0.05 ± 0.02 |
0.1010.06 |
<0.02 |
0.90 ± 0.23 |
0.97 ± 0.27 |
||
|
3, single treatment |
3 |
4 weeks |
0.08 ± 0.02 |
0.12 ± 0.02 |
0.05 ± 0.01 |
2.4 ± 0.1 |
2.4 ± 0.1 |
|
6 weeks |
0.06 ± 0.03 |
0.14 ± 0.04 |
0.07 ± 0.03 |
2.2 ± 0.95 |
2.3 ± 0.95 |
||
|
8 weeks |
0.04 ± 0.02 |
0.06 ± 0.02 |
0.04 ± 0.02 |
1.2 ± 0.15 |
1.3 ± 0.2 |
||
|
16 weeks |
<0.02 |
0.03 |
<0.02 |
0.6 ± 0.07 |
0.6 ± 0.07 |
||
|
3, two treatments 9 weeks apart |
3 |
6 weeks* |
<0.04 |
0.09 ± 0.10 |
0.04 ± 0.03 |
1.18 ± 1.15 |
1.06 ± 1.0 |
|
8 weeks* |
0.03 |
0.07 ± 0.02 |
0.03 |
0.94 ± 0.10 |
0.93 ± 0.14 |
||
|
16 weeks* |
0.06 ± 0.03 |
0.09 ± 0.05 |
<0.04 |
1.31 ± 0.72 |
1.29 ± 0.87 |
* After 2nd treatment
Figure 2. Tissue Residues in Cattle Receiving Pour-On Formulation Given at a Rate of 2 or 3 mg a.i./kg bw by a Single or Double Application 9 Weeks Apart
Figure 3. Tissue Residues in Muscle, Liver and Kidney of Cattle Receiving Pour-On Formulation Given at a Rate of 2 or 3 mg a.i./kg bw by a Single or Double Application 9 Weeks Apart
Strong and Bull (1993) applied three treatments each at intervals of 12 weeks applying two strips along the backline from the shoulder to the rump. Six weeks after each treatment, fat samples were collected from each of the six animals. The mean fat levels 6 weeks after each treatment were 1.8, 1.8 and 1.6 mg/kg, respectively in the 2 mg/kg dose-group and 3.0, 2.4 and 2.1 mg/kg, respectively, in the 4 mg/kg dose-group. This study did not suggest accumulation following the dosing regimen.
Cows with calves in utero at the time of the first treatment were treated three times with a pour-on formulation at 12 weekly intervals at dose rates of either 2 or 4 mg a.i./kg (Bull, 1995a). The calves, born 6 weeks after the first treatment, had subcutaneous fat biopsy samples taken 6 weeks after their respective cows received their second and third treatments. In the second and third year of treatments, the calves received direct treatments with the pour-on formulation at the same rates and treatment intervals as their mothers had received the previous year. Again biopsy samples of fat were collected 6 weeks after each treatment. Peak concentrations of fluazuron in the fat occurred in the spring of each year of treatment. At the end of the three years of three treatments per year no accumulation of residues of fluazuron occurred in the fat of the cattle. At the treatment rates of 2 and 4 mg a.i./kg the initial maximum residues in the fat of 12 weeks old calves were 4.2 and 6.8 mg/kg, respectively, and after three years of applications, cattle (now approximately 2.5 years old), the maximum levels were 1.6 and 2.3 mg/kg, respectively.
Bound Residues/Bioavailability
The majority of the radiolabeled residues were extractable with mild solvents. In cattle, in all tissues at all time points, unchanged fluazuron accounted for more than 90% of the residues.
METHODS OF ANALYSIS FOR RESIDUES IN TISSUES
Four methods were described which allow for the determination and quantification of residues of parent fluazuron in bovine muscle, liver, kidney, and fat. One method that was presented (Bull, 1995b; Shume, 1990) involves cattle tissues being extracted with acetonitrile. From an aliquot of filtered extract the analyte is partitioned into methylene chloride in the presence of acidified sodium chloride solution. The organic phase is evaporated to dryness and the residue dissolved in a mixture of hexane/acetone. The solution is cleaned up by chromatography on deactivated basic alumina. The analyte is eluted with a mixture of hexane/acetone and the elute evaporated to dryness. The residue is dissolved in the mobile phase and quantitated by reverse phase High Performance Liquid Chromatography (HPLC) using UV-detection at 260 nm. The overall recovery of the method was 95 ± 5%. Levels of quantification of this method were 0.01 mg/kg for fat and 0.02 mg/kg for muscle, liver and kidney.
In another method (Lanter, 1990a; 199 la), animal tissues were extracted with acetonitrile. From an aliquot of the centrifuged extract, the analyte is partitioned into a mixture of n-hexane/diethyl ether in presence of saturated sodium chloride solution and hydrochloric acid. The organic phase is evaporated to dryness and the residue dissolved in n-hexane. The solution is cleaned up by solid phase extraction on a Bond ElutR cyanopropyl cartridge. The analyte is eluted with a mixture of n-hexane/diethyl ether and the eluate evaporated to dryness. The residue is quantitated by HPLC using UV-detection at 270 nm and column switching technique. The overall mean recovery was 92 ± 7% (n = 27). Levels of quantification of this method were 0.01 mg/kg for fat and 0.02 mg/kg for muscle, liver and kidney, respectively (Ciba-Geigy, 1990a).
APPRAISAL
Fluazuron had not been previously evaluated by the Committee. Fluazuron is an insect growth regulator that belongs to the chemical class of benzoylphenyl urea derivatives that inhibits chitin synthesis. It is indicated for the use on beef cattle for the control of the tick Boophilus microplus. Fluazuron is applied as a pour on at the recommended dose of 1.5 and 2.5 mg/kg b.w. in Australia and in Latin American countries, respectively. The difference in dosing is due to the different sensitivity of the Boophilus microplus strains in these two regions. A second treatment is frequently recommended after an interval of 3 to 6 months. However, current labeling of the commercial product permits a maximum of three treatments per year.
Table 6 shows the distribution of residues of fluazuron in the edible tissues of cattle in the studies performed by Cameron et al, 1992 and Schulze-Aurich, J., 1992a.
Table 6. Mean Total Residues as Fluazuron Equivalents (mg/kg) as Determined by LSC and Mean Residues of Fluazuron (mg/kg) as Determined by TLC in Tissues of Cattle (3 Animals per Time Point) Following a Single Subcutaneous Injection of 14C-Fluazuron at Dose Level of 1.5 mg/kg of Body weight
|
Withdrawal Time |
Tissue |
Total Residues (TR) as Fluazuron Equivalents (mg/kg) |
Residues of Fluazuron (FL) (mg/kg) |
Ratio FL/TR(%) |
|
2 days |
Muscle |
0.148 |
0.138 |
93 |
|
Liver |
0.800 |
0.701 |
90 |
|
|
Kidney |
0.479 |
0.438 |
92 |
|
|
Fat |
4.580 |
4.527 |
99 |
|
|
2 weeks |
Muscle |
0.072 |
0.066 |
92 |
|
Liver |
0.278 |
0.223 |
80 |
|
|
Kidney |
0.141 |
0.131 |
93 |
|
|
Fat |
2.660 |
2.604 |
98 |
|
|
6 weeks |
Muscle |
0.064 |
0.062 |
97 |
|
Liver |
0.283 |
0.249 |
94 |
|
|
Kidney |
0.164 |
0.147 |
90 |
|
|
Fat |
2.670 |
2.596 |
97 |
|
|
16 weeks |
Muscle |
0.027 |
0.024 |
90 |
|
Liver |
0.116 |
0.093 |
80 |
|
|
Kidney |
0.121 |
0.109 |
90 |
|
|
Fat |
0.970 |
0.945 |
97 |
The residue levels in fat were consistently about 10 times those in liver and kidney. Maximum residue levels were reached in all tissues at 2 days after drug withdrawal. Fat contained the highest amounts of residues at all sampling times. The residue levels in fat samples from the site of administration of the pour-on formulation were no higher than in fat samples taken from other sites.
Five residue depletion studies in cattle treated with a pour-on formulation of fluazuron were considered. In the first and second studies, fluazuron was administered once, at a dose of 2 and 3 mg/kg of body weight, respectively. In the remaining studies, the drug was administered as follows: 2 mg/kg of body weight repeated after 9 weeks; 3 mg/kg of body weight, repeated after 9 weeks; 2 or 4 mg/kg of body weight, repeated after 12 and 24 weeks. All these studies confirmed that the highest levels of residues occurred in fat. Residue levels were similar from 6 to 16 weeks after treatment. Table 7 shows the distribution of residues in tissues of cattle given two doses of 3 mg/kg of body weight at an interval of 9 weeks. This dosing regimen exceeds that recommended for therapeutic use. The results of this study are consistent with those of previous residue depletion studies using multiple-dose regimens, in which there was no evidence of bioaccumulation of the drug, but residue levels were shown to increase in a dose-dependent manner.
Table 7. Residue Levels of Fluazuron (mg/kg) in Tissues of Cattle Given Two Pour-on Applications of Fluazuron at 3 mg per kg of Body Weight 9 Weeks Apart*
|
Withdrawal Time (weeks) |
Muscle (mg/kg) |
Liver (mg/kg) |
Kidney (mg/kg) |
Fat (mg/kg) |
|
6 |
<0.02-0.08 |
0.02-0.20 |
0.02-0.07 |
0.37-2.50 |
|
8 |
0.03-0.03 |
0.05-0.08 |
0.03-0.03 |
0.84-1.10 |
|
16 |
0.04-0.10 |
0.05-0.14 |
<0.02-0.06 |
0.60-2.26 |
*Three animals per time point
Data on the depletion of fluazuron residues in fat from studies in cattle indicate that the residue concentrations increase significantly as the body-fat content decreases. Therefore, these studies suggest that the MRiLs for fat should be higher than those derived solely on the basis of traditional residue depletion studies.
Fluazuron residues can be measured by HPLC with UV-detection. The method has been used for the analysis of residues in tissues of animals following treatment with fluazuron as well as in tissues fortified with the drug. The method has limits of quantification of 0.02 mg/kg in muscle, liver and kidney and 0.01 mg/kg in fat. The recoveries in muscle, liver, kidney and fat were 107 ± 7, 94 ± 9, 102 ± 8, and 94 ± 5%, respectively.
Maximum Residue Limits
In recommending MRLs, the Committee took into account the following factors:
- An ADI of 0-40 m g per kg of body weight was established. This would result in a maximum daily intake of 2400 m g for a 60-kg person.- The marker residue is the parent drug.
- The parent drug accounts for at least 80% of the total residues in all tissues.
- Fat and liver or kidney are recommended as the appropriate target tissues.
- Suitable analytical methods are available for monitoring the proposed MRLs.
On the basis of the maximum observed residues in cattle treated with fluazuron in accordance with good practice in the use of veterinary drugs, the Committee recommended MRLs in cattle of 200 m g/kg for muscle, 500 m g/kg for liver and kidney and 7000 m g/kg for fat, expressed as parent drug. From these values the theoretical maximum daily intake of fluazuron residues is 606 m g (Table 8).
Table 8. Theoretical Maximum Daily Intake of Fluazuron Residues
|
Tissue |
Recommended MRL (m g/kg)* |
Estimate of Total Residues (m g/kg)** |
Theoretical Daily Intake (m g fluazuron equivalents)*** |
|
Muscle |
200 |
250 |
75 |
|
Liver |
500 |
625 |
62.5 |
|
Kidney |
500 |
625 |
31.25 |
|
Fat |
7000 |
8750 |
437.5 |
|
Total |
|
|
606 |
*Expressed as parent drug;
**The marker residue accounted for at least 80% of the total residues in muscle, liver, kidney and fat;
***Based on a daily intake of 300 g of muscle, 100 g of liver, and 50 g each of kidney and fat.
REFERENCES
Bull, M.S. (1995a). Residues of fluazuron in the fat of cattle regularly treated at a rate of either 8 or 16 mL/100 kg (2 & 4 mg a.i./kg) with ACATAK Pour-on over a period of 3 years. Unpublished report No. 95/7/1492. Ciba-Geigy Limited, Kemps Creek, Australia. Submitted to JECFA by Ciba-Geigy Limited, Basle, Switzerland.
Bull, M.S. (1995b). Validation of analytical procedure 215C. Unpublished report. Ciba-Geigy Limited, Kemps Creek, Australia. Submitted to JECFA by Ciba-Geigy Limited, Basle, Switzerland.
Bull, M.S. and Strong, M.B. (1994). Absorption and dissipation profiles for fluazuron in cattle following two routes of administration. Unpublished report No. 94/11/1472. Ciba-Geigy Limited, Kemps Creek, Australia. Submitted to JECFA by Ciba-Geigy Limited, Basle, Switzerland.
Cameron, B.D., Somers, K. and Speirs, G.C. (1992). The Distribution and Excretion of [U-14C]Cl-Phenyl CGA 157419 after Subcutaneous Injection to Cattle. Unpublished report No. 141232. Inveresk Research International Limited, Tranent, Scotland. Submitted to JECFA by Ciba-Geigy Limited, Basle, Switzerland.
Ciba-Geigy. (1990a). Determination of Residues of Parent Compound by High Performance Liquid Chromatography (HPLC) REM 145-01. Submitted to JECFA by Ciba-Geigy Limited, Basle, Switzerland.
Ciba-Geigy. (1990b). Determination of Residues of Parent Compound by High Performance Liquid Chromatography (HPLC) REM 145-02. Submitted to JECFA by Ciba-Geigy Limited, Basle, Switzerland.
Ciba-Geigy. (1991). Validation of Method REM 145-02 for the Determination of CGA 157419 (ACATIK) in Cattle Blood. Analysis Report 219/90. Submitted to JECFA by Ciba-Geigy Limited, Basle, Switzerland.
Dunshire, J.P. (1996). The Absorption, Distribution, Excretion, and Residue Depletion of [Chlor-phenyl-(U)-14C]-CGA 157419 in Ruminant Cattle Following Topical Administration. A report submitted to JECFA by Ciba-Geigy Limited, Basle, Switzerland.
Johnson, S., Johnson, A.M. and Prout, M.S. (1996). [Chlor-phenyl-(U)-14C]-CGA 157419: Nature of Metabolites in Excreta and Tissues in Ruminant Cattle Following Single Topical Administration. A report submitted to JECFA by Ciba-Geigy Limited, Basle, Switzerland.
Kemp, D.H., Hughes, S., Binnington, K.C., Bird, P. and Nolan, J. (1990). Mode of action of CGA 157419 on the cattle-tick Boophilus microplus. VII Inter-national Congress of Parasitology, Paris 20-24 August 1990. In: Bull. Soc. Franc. Parasitol, 8, Suppl. 2, p. 1048.
Lanter, F. (1990a). CGA 157419: Determination of residues of parent compound by HPLC in muscle, liver, kidney, blood and fat. Unpublished report No. REM 145.01. Ciba-Geigy Limited, Basle, Switzerland. Submitted to JECFA by Ciba-Geigy Limited, Basle, Switzerland.
Lanter, F. (1990b). CGA 157419: Determination of residues of parent compound by HPLC in blood. Unpublished report No. REM 145.02. Ciba-Geigy Limited, Basle, Switzerland. Submitted to JECFA by Ciba-Geigy Limited, Basle, Switzerland.
Lanter, F. (1991a) Validation of method REM 145.01 for the determination of CGA 157419 (ACATIK) in cattle tissue and fat. Unpublished report No. 218/90. Ciba-Geigy Limited, Basle, Switzerland. Submitted to JECFA by Ciba-Geigy Limited, Basle, Switzerland.
Lanter, F. (1991b) Validation of method REM 145.02 for the determination of CGA 157419 (ACATIK) in cattle blood. Unpublished report No. 219/90. Ciba-Geigy Limited, Basle, Switzerland. Submitted to JECFA by Ciba-Geigy Limited, Basle, Switzerland.
Retakaran, A., Granett, J. and Ennis, T. (1985). Insect Growth Regulator. In: Comprehensive insect physiology, biochemistry and pharmacology. Ed. G.A. Kerkut and L.I. Gilbert. Vol. 12 Ch. 15. pp. 529-601. Pergamon Press, Oxford.
Schulze-Aurich, J. (1992). Absorption, distribution, excretion, and depletion of residues and metabolic pathways of [(U)-14C] Cl-phenyl CGA 157419 in rat. An unpublished report No. 8/92 from Ciba-Geigy Limited, Basle, Switzerland. Submitted to JECFA by Ciba-Geigy Limited, Basle, Switzerland.
Schulze-Aurich, J. (1992a). The nature of the metabolites in tissues and excreta of male cattle after single subcutaneous administration of (U-14C)Cl-Phenyl CGA 157419. Unpublished report No. 9/92. Ciba-Geigy Limited, Basle, Switzerland. Submitted to JECFA by Ciba-Geigy Limited, Basle, Switzerland.
Shume, G.R. (1989). R&D Analytical Procedure No. 216D. Determination of CGA 157419 in cattle plasma using an ether as the extracting solvent. Unpublished report. Ciba-Geigy Limited, Kemps Creek, Australia. Submitted to JECFA by Ciba-Geigy Limited, Basle, Switzerland.
Shume, G.R. (1990). R&D Analytical Procedure No. 215C. Determination of CGA 157419 residues in cattle fat, muscle, kidney and liver by HPLC. Unpublished report No. 94/11/1472. Ciba-Geigy Limited, Kemps Creek, Australia. Submitted to JECFA by Ciba-Geigy Limited, Basle, Switzerland.
Strong, M.B. and Bull M.S. (1992a). Residues of fluazuron (CGA 157419) in beef cattle tissues following a single treatment with ACATAK Pour-on at a dose rate of 2.0 mg/kg. Unpublished report No. 92/12/1376. Ciba-Geigy Limited, Kemps Creek, Australia. Submitted to JECFA by Ciba-Geigy Limited, Basle, Switzerland.
Strong, M.B. and Bull M.S. (1992b). Residues of fluazuron (CGA 157419) in beef cattle tissues following two treatments with ACATAK Pour-on at a dose rate of 2.0 mg/kg. Unpublished report No. 92/12/1377. Ciba-Geigy Limited, Kemps Creek, Australia. Submitted to JECFA by Ciba-Geigy Limited, Basle, Switzerland.
Strong, M.B. and Bull M.S. (1992c). Residues of fluazuron (CGA 157419) in beef cattle tissues following a single treatment with ACATAK Pour-on at a dose rate of 3.0 mg/kg. Unpublished report No. 92/12/1381. Ciba-Geigy Limited, Kemps Creek, Australia. Submitted to JECFA by Ciba-Geigy Limited, Basle, Switzerland.
Strong, M.B. and Bull M.S. (1992d). Residues of fluazuron (CGA 157419) in beef cattle tissues following two treatments with ACATAK Pour-on at a dose rate of 3.0 mg/kg. Unpublished report No. 92/12/1382. Ciba-Geigy Limited, Kemps Creek, Australia. Submitted to JECFA by Ciba-Geigy Limited, Basle, Switzerland.
Strong, M.B. and Bull M.S. (1993). Studies to examine the potential accumulation of fluazuron residues in the fat of steers receiving multiple applications with ACATAK Pour-on. Unpublished report No. 93/5/1409. Ciba-Geigy Limited, Kemps Creek, Australia. Submitted to JECFA by Ciba-Geigy Limited, Basle, Switzerland.
Strong, M.B. and Swindale, M.S. (1993). Studies on the transfer of fluazuron from cows, treated with ACATAK by pour-on application, to their suckling calves. Unpublished report No. 93/4/1404. Ciba-Geigy Limited, Kemps Creek, Australia. Submitted to JECFA by Ciba-Geigy Limited, Basle, Switzerland.
Swindale, M.S., Bull, M.S. and Hess, E.A. (1993a). Control of multiresistant cattle ticks (Boophilus microplus) with ACATAK Pour-on in Central Queensland. Unpublished report No. 93/3/1384. Ciba-Geigy Limited, Kemps Creek, Australia. Submitted to JECFA by Ciba-Geigy Limited, Basle, Switzerland.
Swindale, M.S., Sibson, G., Bull, M.S. and Hess, E.A. (1993b). Control of cattle ticks in wet tropical Queensland with ACATAK Pour-on. Unpublished report No. 93/3/1397. Ciba-Geigy Limited, Kemps Creek, Australia. Submitted to JECFA by Ciba-Geigy Limited, Basle, Switzerland.
Swindale, M.S., Bull, M.S. and Hess, E.A. (1993c). Field trial with ACATAK Pour-on applied at a dose rate of 1.25 mg/kg to control Boophilus microplus in South East Queensland. Unpublished report No. 93/3/1389. Ciba-Geigy Limited, Kemps Creek, Australia. Submitted to JECFA by Ciba-Geigy Limited, Basle, Switzerland.
Swindale, M.S., Bull, M.S. and Hess, E.A. (1993d). Field trial with ACATAK Pour-on applied at a dose rate of 1.25 mg/kg to control Boophilus microplus in Central Queensland. Unpublished report No. 93/3/1390. Ciba-Geigy Limited, Kemps Creek, Australia. Submitted to JECFA by Ciba-Geigy Limited, Basle, Switzerland.
Thomas, P.L., Swindale, M.S. and Hess, E.A. (1992). Persistency of the acaricidal effect of fluazuron, applied as a pour-on formulation at 1.5 and 2.5 mg/kg, against Boophilus microplus. Unpublished report No. 92/3/1350. Ciba-Geigy Limited, Kemps Creek, Australia. Submitted to JECFA by Ciba-Geigy Limited, Basle, Switzerland.