Previous PageTable Of ContentsNext Page

Grassland-based livestock production in temperate zones

J.R. Conner, W.T. Hamilton, D.P. Sheehy, J.W. Stuth and U.P. Kreuter

The authors may be contacted at: Grazingland Management Systems Inc., 3512 Spring Lane, Bryan, Texas 77802, USA.

PRODUCTION ANIMALE � BASE D'HERBAGES DANS LES ZONES TEMP�R�ES

Dans les zones temp�r�es, les syst�mes de production animale � base d'herbages ont exist� et prosp�r� gr�ce aux ressources en terre marginalement dot�es de sols et/ou de climats convenant �galement � d'autres usages. Ces syst�mes permettaient des modes de vie extr�mement vari�s mais durables, caract�ris�s par de faibles densit�s d'animaux et d'�tres humains. Ces derni�res d�cennies, toutefois, ils ont fait l'objet d'une croissance sans pr�c�dent des populations humaines et animales, qui a exerc� une pression accrue sur les ressources herbag�res. Cette pression s'est traduite par une d�gradation des sols et de la v�g�tation provoqu�e par le surp�turage. Dans l'ouest de l'Am�rique du Nord, et plus r�cemment en Chine, on a assist� � une importante tendance vers la reconversion en syst�mes d'agriculture mixte pluviale. Des herbages productifs ont �t� ainsi soumis � une �rosion importante. D'anciennes zones de cultures, aujourd'hui beaucoup moins stables et productives, sont � nouveau utilis�es comme p�turages. Dans les pays plus d�velopp�s, on assiste � une demande croissante pour une utilisation diff�rente des ressources en herbage, avec des cons�quences plus lourdes sur la durabilit� des composantes �cologiques des herbages, ce qui n'augmentera ni la biodiversit� ni la durabilit� des herbages.

PRODUCCI�N PECUARIA BASADA EN LOS PASTIZALES DE LAS ZONAS DE CLIMA TEMPLADO

Los sistemas de producci�n pecuaria basada en los pastizales de las zonas de clima templado han existido y prosperado porque los recursos de tierras estaban dotados marginalmente de suelos y climas tambi�n id�neos para otros usos. En ellos hab�a un tipo de vida muy variable, pero sostenible, caracterizado por una densidad baja de poblaci�n ganadera y humana. En los �ltimos decenios, sin embargo, se han reducido enormemente debido a que la poblaci�n humana y animal ha registrado un crecimiento sin precedentes y ejercido una presi�n cada vez mayor en el recurso de pastizales. Esta presi�n ha provocado una degradaci�n del suelo y la vegetaci�n, causada por el sobrepastoreo. En la parte occidental de Am�rica del Norte, y m�s recientemente en China, se ha producido una tendencia significativa hacia la transformaci�n en un sistema de secano mixto. Como consecuencia de esto, una parte considerable de los pastizales otrora productivos han sufrido una erosi�n grave. Algunas zonas antes cultivadas se est�n utilizando de nuevo para pasto, pero ahora son mucho menos estables y productivas. En los pa�ses m�s desarrollados hay una demanda creciente de utilizaci�n de los recursos de pastizales con otros fines, con mayores repercusiones en la sostenibilidad de las caracter�sticas ecol�gicas de dichos pastizales que no dan lugar a su mayor diversidad y sostenibilidad.

Temperate zone grassland-based livestock production systems1 are more accurately defined as systems in which livestock contribute more than 10 percent to total farm output in value, more than 10 percent of the dry-matter feed is produced on the farm, with an annual average stocking rate of less than 10 livestock units (LU = 1 head of cattle or buffalo characteristic of industrialized countries) per hectare of agricultural land and one or more months in each year with mean temperatures below 5�C (S�re in FAO, 1994). Grazed forage from native pastures is the predominant source of livestock feed.

This form of livestock production is most prevalent in Asia: in China and Mongolia together, it involves 60 percent of the agricultural land and 74 percent of the human population. There are also significant temperate grasslands in southern Argentina, the western United States, Canada, Turkey and southeastern Australia. Considerable portions of the total pasture land in New Zealand and Chile also come under this category. Agricultural lands of this type consist predominantly of pasture and are relatively sparsely populated (3.9 ha per caput).
Although these temperate grasslands represent 13 percent of the world's pasture land, they only account for 2.5 percent of cattle and 9.3 percent of sheep and goat herds. Most of the cattle produced in this way are found in the United States, Argentina and China (73 percent), while 64 percent of sheep and goats are found in New Zealand and China. Mongolia, New Zealand, the United States and Australia have the largest portion of temperate grassland per caput, while Mongolia, the United States, China and Australia have the lowest stocking rates (LU/ha) (Fig. 1). Countries with a high proportion of derived pasture in these systems (Portugal, the United Kingdom, New Zealand, Switzerland) have the highest stocking rates. Cattle account for 54 percent of the total feed demand in temperate grasslands and the only countries where feed demand of sheep and goats exceeds that of cattle are New Zealand, Greece, Spain, China and the Islamic Republic of Iran.

 

W8600t03.GIF (21804 bytes)

1
Stocking rate, pasture per caput and livestock units per caput, by country in the temperate grassland zone
Taux de charge, p�turage et unit�s de b�tail par personne et par pays dans la zone herbag�re temp�r�e
Densidad de pastoreo, pasto por persona y unidades pecuarias por persona en los pa�ses de las zonas de clima templado

Most of the derived, intensively managed pasture is in New Zealand. Supplementary feeding during winter, primarily with hay, is common practice in much of the United States and Canada and is also becoming more common in China (Photo 1). Weight loss during winter remains a significant factor in animal production efficiency.

 

W8600t04.JPG (68843 bytes)

1
Winter supplementation of sheep and cattle in the northern temperate grasslands of the United States
Apport compl�mentaire en hiver pour les ovins et les bovins dans les herbages des zones temp�r�es du nord des Etats-Unis
Alimentaci�n complementaria de invierno de los ovinos y vacunos en los pastizales de las zonas templadas septentrionales de los Estados Unidos
Photo/foto: J.R. Conner

Overall, cattle numbers in temperate grassland systems have shown a slight increase during the past decade. Significant increases have occurred only in China and Mongolia as a result of policies to promote herd expansion. This expansion is offset by a reduced per caput beef consumption in the United States and Canada. However, sheep stocks have declined significantly over the past decade, mostly because of the large reductions that have occurred in New Zealand and the United States, while goat populations have increased modestly. The exception is China, where there has been a significant increase owing to the emphasis placed on cashmere production.

BIOLOGICAL AND NATURAL RESOURCE ASPECTS OF LIVESTOCK-ENVIRONMENT INTERACTION

Grazing on temperate grasslands is influenced by the dynamic, hierarchical interaction of weather, soils, water, plants, animals and people. Grazing affects the environ-ment through trampling, soil compaction, defecation, consumption of vegetative biomass, alteration of nutrient cycles and the production of by-products such as methane gas. These impacts have been depicted as negatively affecting soils and vegetation, fish and aquatic life, wildlife, recreational experiences and the general environment. This appears to be the public's main perspective of livestock grazing on the grasslands of western North America and is becoming the focus of a growing debate in Mongolia, China and New Zealand. In reality, the impact of grazing by livestock and other large herbivores on temperate grassland ecosystems, while documented, is complex and not fully understood.

The primary factor determining whether herbivore grazing has a negative, positive or neutral impact on ecological stability is the stocking rate. Spatial and temporal distributions of grazing pressure are also major concerns. The distribution of large herbivores depends on many interacting factors, including terrain features, vegetation, climate, availability of water, animal behaviour and man-agement practices (Stuth, 1991). While it is undeniable that overstocking and high grazing intensity can induce degradation of areas where animals converge, such as riparian land and meadow pastures, this degradation is more a reflection of inadequate management strategies than the result of the presence of animals or the act of grazing itself.
The extensive grazing management strategy used in traditional pastoral livestock production in temperate
zones, and which is still relevant to Mongolia, focuses on adapting this production to the environmental dictates by adopting seasonal grazing patterns. Livestock use the various annual crop forages to restore body condition depleted during the winter and spring (Sheehy, 1993; Bazargur, Shiirevadja and Chinbat, 1993; Purev, 1990). In western North America, semi-extensive grazing management strategies aim to increase productivity and offtake potential by using harvested feed to offset environmental and distribution constraints. Both approaches have, in most instances, resulted in sustainable production systems. However, in Inner Mongolia conversion of the most productive rangeland to cropland has been accompanied by large increases in the number of livestock (Sheehy, 1992). Abandonment of extensive grazing management strategies for socio-economic and political reasons has led to concentration of livestock near villages. Land conversion, together with the high numbers and poor distribution of livestock, has increasingly affected long-term ecological stability of grassland ecosystems in the region. Evaluation of the environmental impact of current grazing management strategies in Inner Mongolia indicates that grassland ecosystems over a wide area are being degraded through soil loss from wind and water erosion, thereby causing a decline in both grassland and livestock productivity (Sheehy, 1993) (Photo 2).

 

W8600t05.JPG (41269 bytes)

2
Overgrazed rangeland by sheep in the steppes of Inner Mongolia
Parcours surp�tur�s par des ovins dans les steppes de la Mongolie-Int�rieure
Pastizal sometido a pastoreo excesivo de ovinos en las estepas de Mongolia Interior
Photo/foto: J.R. Conner

The great temperate grassland areas of the world have evolved with grazing animals as an integral part of the ecological forces which formed them. Yet, in contrast to native herbivores whose numbers or patterns of grazing may vary widely, concentrations of domestic animals can be artificially maintained at consistently high levels. This may result in radical changes to the diversity of species and in significant soil erosion, and such changes are not reversible within time frames relevant to management (Archer, 1994).
However, there is no evidence to show that the substitution of wild ungulates with properly managed domestic livestock has had detrimental ecological impacts (Lauenroth et al., 1991) (Photo 3). There is an obvious and profound difference between the proper and the abusive exploitation of rangeland vegetation: it is important to differentiate between the act of grazing, which is an evolutionary component of grassland ecosystems, and overgrazing or overutilization of the range.

 

W8600t06.JPG (24181 bytes)

3
Properly stocked rangelands grazed by cattle in Inner Mongolia
Parcours � taux de charge ad�quat p�tur�s par des bovins en Mongolie-Int�rieure
Pastizales con una densidad adecuada de ganado vacuno en Mongolia Interior
Photo/foto: J.R. Conner

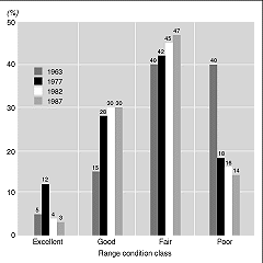
According to some reports, rangelands in western North America are in better ecological condition today than at any other time in this century, even though they are still degraded compared with their natural potential vegetation (US General Accounting Office, 1988). There was a significant shift in the condition of non-federal rangelands from poor to fair and from fair to good between 1963 and 1987 (USDA Forest Service, 1989) (Fig. 2.). Rangelands administered by the Bureau of Land Management generally followed the same trend as non-federal lands with 50 percent of poor rangeland being converted to a good condition between 1936 and 1984. Although caution must be used in interpreting these data on both non-federal and federal lands, it is generally accepted that range conditions in the United States reached a low point in the 1930s and have improved over the past 50 years (USDA Forest Service, 1989).

 

W8600t09.GIF (7264 bytes)

2
Percentage of United States private rangelands by class of ecological condition (selected years)
Pourcetage des parcours priv�s aux Etats-Unis par cat�gorie de conditions �cologiques (pour des ann�es donn�es)
Porcentaje de pastizales privados de los Estados Unidos por tipos de situaciones ecol�gicas (en a�os seleccionados)

Statistics reporting the conditions of United States rangelands since 1936 have generally shown a strong trend of improvement and have indicated that this trend is largely the result of the application of the principles of quantitative ecology (Dyksterhuis, 1949). However, critics contend that progress on the range has fallen far short of the stated goals, with wildlife and watersheds still suffering and area declining substantially because of the continued overgrazing (Weurthner, 1992). Both opinions are probably correct.
Livestock can also be used to "precondition" range for wildlife species. The diversity of plant types (woody, forbs and grasses) can be manipulated by strategic grazing to provide greater or lesser amounts of food, nesting cover, cover screen and other habitat attributes in temperate zones. The importance of such management to the development and maintenance of wildlife habitat is difficult to overstate in many temperate regions where private lands exist and where income from hunting leases is becoming increasingly more influential.
Two indicators of livestock-environment interactions that are noticeably absent in the temperate grassland system areas but prevalent in other ecozone-production systems are pesticide residues, either in animal products or in water, and contributions to increased levels of greenhouse gases. Primarily owing to the relatively low animal density and the cool and dry climate, pesticides are used sparingly in the temperate grasslands, thus providing little chance for residue accumulation. Similarly, while livestock contribute significantly to the global methane cycle, this is most pronounced in areas of intensive livestock production outside the temperate grasslands. Over the last 150 years, livestock increases in the temperate grasslands have largely been offset by concurrent decreases in wild ruminants, for example the bison in North America.

SOCIO-CULTURAL ASPECTS OF LIVESTOCK-ENVIRONMENT INTERACTIONS

Many emerging livestock-environment problems are intertwined with economic, social and cultural issues which, in turn, interact with biological, ecological and physical forces affecting the environmental stability of grazing lands. Environmental issues cannot be addressed in isolation of the socio-political and economic factors that drive the human decision process and ultimately affect the land.

Replacement of large wild herbivores with domesticated species offered humans a mechanism by which to populate regions of the world where survival would otherwise have been nearly impossible. The evolution of societies from a subsistence level to a market economy, derived from the sale of animal products, has allowed the creation of value-added animal products and other enterprises that support the livestock industry (Photo 4). Increased social affluence in the grazed ecosystems of the developed countries, has created sufficient wealth for other non-livestock-related enterprises to emerge and promoted the production of non-agricultural goods and services. In transhumance cultures, such as those in Mongolia, grazing has afforded a mechanism to minimize the risk of social and political upheaval.

 

W8600t07.JPG (28068 bytes)

4
A Mongolian herder with sheep during the winter in the Asian steppes
Berger mongol avec ovins pendant l'hiver dans les steppes asiatiques
Pastor mongol con sus ovejas durante el invierno en las estepas asi�ticas
Photo/foto: J.R. Conner

Many of the world's temperate grasslands are resilient to grazing pressure and climatic variation, i.e. their ecological stability is such that long-term productivity can be sustained despite variable weather and continuous grazing pressures (within carrying capacity). Stable livestock-based cultures and economies have experienced the least negative environmental impacts of the major grazed ecosystems of the world, especially in the central prairies of the United States and Canada as well as in the Asian steppes of Mongolia.
In the more developed regions of the temperate grassland agro-ecological system, environmental stability has been attained by the creation of stable marketing and transport infrastructures to allow the removal and sale of surplus animals, improved education of landholders in resource management, a rapid expansion of knowledge relative to proper grazing management, accelerated communication systems, commitment by governments to address overgrazing issues and the emergence of a strong land conservation ethic.
Derived temperate pastures such as those in New Zealand and southern Australia have facilitated the growth of strong livestock industries in regions where such development would normally be marginal. These systems have given rise to advanced technologies for managing the intensive grazing ecosystem, on a sustained basis, with a minimal negative environmental impact.
Over the past 50 years, grazing-based enterprises in the more developed countries have experienced a decline in terms of land area and consequent intensification of inputs. As unit pasture area has been reduced, through the subdivision of family holdings to offspring and/or increased cross-fencing for management of intensive rotational grazing systems, the carrying capacity of the land has been increased by more efficient use of the forage resource (Photo 5). The development and availability of improved animal health products, genetics and breeding techniques, feedstuffs and additives, man-agement planning techniques and plant and animal monitoring systems have facilitated this progress without significant ecological degradation.

 

W8600t08.JPG (23985 bytes)

5
Derived pastures allowing intensification of grazing lands in New Zealand
P�turages d�riv�s permettant l'intensification des p�turages en Nouvelle-Z�lande
Pastos derivados que permiten la intensificaci�n del pastoreo en las tierras de Nueva Zelandia
Photo/foto: J.R. Conner

Some of the environmental problems associated with livestock grazing have arisen because institutional and non-agricultural interest groups have imposed rules and laws that limit livestock grazing. This is exacerbated by increasing public ignorance of the impact of grazing, a fact which has resulted in social and economic conditions that marginalize many grazing-based landholdings. It may primarily be attributed to the movement of urban people into traditional rural regions.
States have often assumed control over land, based on the assumption that individuals or communities are incapable of equitably allocating and sustainably using resources. However, once a state has control, that power is frequently usurped by influential special interest groups (Anderson and Leal, 1991). Thus, state-run resources, such as rangelands and forest areas, are often managed according to the goals of the most persuasive interest groups.
Government control over resource use and allocation has been far reaching and has frequently included land redistribution. In one of the largest grassland areas of the world, in northern China and Mongolia, ideologically driven state intervention in land tenure and agricultural production has disrupted traditional, extensive, pastoral production of cattle and sheep (Simpson and Li, 1995). It was, however, commonly observed that privately owned animals performed better than those under state or collective ownership (Simpson and Li, 1995). In Mongolia, grazing land associated with the former state farm system is among the most degraded grazing land in the country (Sheehy and Conner, 1993) (Photo 6).

 

W8600t10.JPG (24634 bytes)

6
Cropland converted from rangeland on a former state farm in Mongolia
Parcours mongols convertis en terres cultivables dans une ancienne exploitation agricole d'Etat
Pastizal mongol transformado en tierra de cultivo en una antigua finca estatal
Photo/foto: J.R. Conner

In North America efforts by federal government agencies to manage public land and to influence their private use have led to conflicts between environmental and livestock interest groups. Environmentalists often claim that significant portions of federal and state land that are currently being used to graze livestock under permit exhibit ecosystem disruption and loss of biodiversity, particularly in riparian areas (Gillis, 1991; Fleischner, 1994) (Photo 7). Consequently, environmental groups energetically lobby for the restriction or removal of livestock from public ranges. Many ranchers view any prohibition on grazing as an attack on their traditional resource base and assert that, since the turn of the century, livestock grazing on public lands has been judicious and that ecological conditions have generally improved.

 

W8600t11.JPG (26411 bytes)

7
In the United States, public riparian and upland rangelands in the temperate grassland zone are primary focal points for environmental conflicts
Aux Etats-Unis, les parcours publics situ�s au bord des cours d'eau et en altitude dans la zone temp�r�e d'herbages sont les principaux foyers de conflits �cologiques
Los pastizales ribere�os y de tierras altas p�blicos de la zona de clima templado son los principales centros de conflictos de car�cter ecol�gico en los Estados Unidos
Photo/foto: J.R. Conner

POLICY AND RESEARCH RECOMMENDATIONS

Land tenure

The division of formerly state-owned land between private or communal landholders is frequently complicated by a lack of land management and entrepreneurial skills. While there may be no recent experience in decision-making and land stewardship, there may be historical knowledge of effective tenure systems that existed before the land was expropriated. Reversion to such systems may initially be the most appropriate course of action.

Legislation affecting land use, tenure and access should be based on i) historical patterns and inclinations in the community; ii) the inclusion of community members in decision-making; iii) providing rights to exclude non-members; and iv) mechanisms to prevent fragmentation of land into untenable units. It would be erroneous to insist on private property rights that force people into an accumulative economy based on individual competition rather than community cooperation.

Public land use conflicts

Livestock producers are reluctant to give up their rights of access to public land, while many environmentalists wish to reserve such land for wildlife and recreational use. Both wish to externalize at least some of the costs of resource use by allowing taxpayers to pay the costs of federal land administration.

In order to provide landowners with incentives to conserve a broad spectrum of natural resources, markets for these resources must be allowed to develop. One way to facilitate this is to make public land available for purchase. Livestock producers and private conservation organizations that are interested in preserving habitats would then be able to acquire the land at the highest bid and manage it for whatever use is desired.
Under such a scenario, landowners would acquire and manage the land without externalizing user costs to the general public. Administrative costs paid by taxpayers would therefore be reduced and, without intervention by state agencies directed by influential interest groups, the current conflict between livestock producers and environmentalists would diminish.

Grazing management

Grazing management will continue to be a priority for future livestock production. Much of the research conducted to date has focused on ecological and environmental processes at the patch or plant community scale. The four principle factors governing grazing management, i.e. timing, distribution, kinds or class of livestock and stocking rate, will need to relate to the environmental impacts that are emerging off-site (Walker, 1995). There is a need to develop a greater understanding of threshold conditions on a landscape basis which indicate site degradation and formation of "erosion cells", woody plant encroachment or invasion, compositional shifts and altered hydrology at the appropriate scale.

Vegetation manipulation and landscape restoration

Landscapes that exhibit excessive loss of soil and nutrients and that cannot be rejuvenated through improved grazing management alone must be restored by applying a combination of land terrain modifications and the introduction of adapted species to stabilize the system. There is a need for low-cost, socially integratable restoration technologies which alter landscape level processes and allow grazed ecosystems to stabilize.

Weed infestations in some rangeland areas present critical problems to landowners or land management agencies. The reality of livestock and forage losses and the consequent negative economic factors caused by alien and domestic weed infestations on rangelands point to the need for projects and programmes that elucidate the role of man-agement systems.

Range nutrition

Matching livestock's nutritional requirements with the optimum season for gaining these from the grazing land is an important element of livestock production systems. For example, overgrazing coupled with limited supplemental feeding may be caused in part by low reproduction rates of breeding animals. This is because low reproductive rates may influence an increase in mature breeding females to produce the same number of marketable offspring. These "extra" animals greatly increase the grazing pressure on the forage resources. Moreover, in these low-yielding systems the mortality of the offspring is high and the selling weights are usually low, compounding the problem of low reproductive performance. Programmes that involve livestock grazing should include studies of range animal nutrition and provide for nutritional mediation where justified.

Marketing strategies

Modifications to livestock production systems that may have a positive impact on rangeland ecosystems must be "marketable". That is, the product(s) of the new system must generate revenue that offsets or exceeds the costs of implementation. There must be an infrastructure that can support the movement, processing and marketing of animals. Therefore, projects or programmes that evaluate livestock production systems and their impact on the environment must consider the existing constraints that may influence change.

Information technology and infrastructure

Given the consistently low rate of technology transfer and/or adoption in livestock production systems worldwide, new mechanisms are required to link decision-makers and those affected by their decisions with a complex knowledge base and widely dispersed expertise. The United States, Australia, Canada and New Zealand are rapidly moving towards establishing national systems of land monitoring and spatial/biological/social databases and linking the knowledge between a vast number of agencies via the Internet. When linked with powerful decision support systems, a whole new method of technology transfer emerges. The challenge for lesser developed countries with temperate grasslands is to revitalize existing extension programmes with greater interinstitutional coordination while communications infrastructures and transport systems are brought on line.

1 The term to describe these systems is abbreviated in this paper to "temperate grasslands".

Bibliography

Anderson, T. & Leal, D.R. 1991. Free market environmentalism. San Francisco, CA, USA, Pacific Research Institute for Public Policy.
Archer, S. 1994. Woody plant encroachment into southwestern grasslands and savannas: rates, patterns and proximate causes. In M. Vavra, W.A. Laycock & R.D. Pieper, eds. Ecological Implications of Livestock Herbivory in the West. Soc. Range Manage., p. 13-68. Denver, CO, USA. 297 pp.
Bazargur, D., Shiirevadja, C. & Chinbat, B. 1993. Territorial organization of Mongolian pastoral livestock husbandry in the transition to a market economy. PALD Research Rep. No. 1. Institute of Development Studies, Sussex University, UK. 14 pp.
Dyksterhuis, E.J. 1949. Condition and management of rangeland based on quantitative ecology. J. Range Manage., 2: 104-115.
FAO. 1994. Characterisation and quantification of livestock production systems. By C. S�re. Rome. 38 pp.
Fleischner, T.L. 1994. Ecological costs of livestock grazing in western North America. Conserv. Biol., 8(3): 629-644.
Gillis, A. 1991. Should cows chew cheatgrass on commonlands? BioScience, 41(10): 668-675.
Lauenroth, W.K., Milchunas, D.G., Dodd, J.L., Hart, R.H., Heitschmidt, R.K. & Rittenhouse, L.R. 1991. Effects of grazing on ecosystems of the Great Plains. In M. Vavra, W.A. Laycock & R.D. Pieper, eds. Ecological Implications of Livestock Herbivory in the West. Soc. Range Manage., p. 69-100. Denver, CO, USA. 297 pp.
Purev, B. 1990. Traditional pastoral livestock management in Mongolia. In FAO, ed. Proc. Int. Workshop on Pastoralism and Socio-Economic Development, p. 42-60. Rome, FAO. 97 pp.
Sheehy, D.P. 1992. A perspective on desertification in North China. Ambio, 21: 303-307.
Sheehy, D.P. 1993. Response of meadow steppe (Aneurolepidium chinense) and shrub steppe (Atraphaxis manshurica) communities in East-Central Inner Mongolia to high intensity grazing by livestock. Paper presented at NSF Conf. Grassland Ecol. Mongolian Steppe, Racine, WI, USA. 29 pp.
Sheehy, D.P. & Conner, J.R. 1993. Mongolia: national grazingland management program. National Grazingland Management Consultancy report for the World Bank. Washington, DC. 56 pp.
Simpson, J.R. & Ou Li. 1995. Feasibility analysis for development of northern China's beef industry and grazing lands. J. Range Manage.
Stuth, J.W. 1991. Foraging behavior. In R.K Heitschmidt & J.W. Stuth, eds. Grazing management: an ecological perspective, p. 65-84. Portland, OR, USA, Timber Press. 259 pp.
USDA Forest Service. 1989. An analysis of the forage situation in the U.S. 1989-2040. A technical document supporting the 1989 RPA assessment. Washington, DC, USDA.
US General Accounting Office. 1988. Rangeland management: more emphasis needed on declining and overstocked grazing allotments, p. 10, 25. Washington, DC, GAO.
Walker, J.W. 1995. Grazing management and research now and in the next millennium. F. Range Manage, 48: 350-357.
Weurthner, G. 1992. Some ecological costs of livestock. Wild Earth, 2(1): 10.

Previous PageTable Of ContentsNext Page