Before considering management by control of fishing effort/capacity, we can first look at the relationship between catch rate and abundance analytically before proposing regression models to estimate the actual parameters to be used in fisheries management.
Consider the catch
, taken
by a small element
of fishing effort, from stock density
(N/A), where N = population size, A = area, and q' = elemental catchability coefficient. The basic relationship of
these parameters suggested by Gullied and others is given as a ratio:
...1 ![]()
i.e., ![]()
For short intervals
,
or
...2
From 1=2:
or
The expression in the bracket above is termed the "fishing intensity"1. If population area is constant, and mortality is expressed per constant time interval, conventionally we tend to absorb
into the constant q' and write "F = qf" i.e. fishing mortality is taken to be proportional to standardised fishing effort, if the catchability coefficient q remains constant. It is usual to estimate q by regression of annual fishing mortality on annual effort.
In attempting to convert nominal effort units (resulting from the raw statistics of the fishery) into standardized units of effort, what should be the properties of these units? The fishing effort measures should be additive and proportional to the exponential fishing mortality rate exerted on the population in question.
We know that variations in q may be difficult to measure, and it might be helpful to classify them as follows, bearing in mind that bias due to non-proportionality of fishing effort and mortality is more serious (because harder to detect and quantify) than simple variation or pure error.
1. Short-term Variations
Obviously, the efficiency of a gear may vary seasonally and diurnally with weather conditions and fish behaviour (e.g. migration). It is usual to assume that, unless there is a marked change in seasonal distribution of effort from year to year, no major bias will be introduced by this kind of factor.
2. Distance-dependent Variations
If the nominal effort unit is days at sea and the fleet comes from different ports at different distances from the grounds a shift in point of landing may mean a bias in effective effort. This sort of factor can, however, be corrected for by some supplementary statistics. The need for correction is greatest if the ships stay at sea longer when the stock abundance falls. This can lead to a serious underestimate of the decline in stock size.
3. Density-dependent Variations
This most dangerous, and difficult to detect, source of bias may include such factors as gear competition, where units of gear interact to decrease the efficiency of a unit of effort, and cooperation of gear units where transmission of information (e.g. by radio-telephone) makes the whole fleet more effective in staying on the fish. These effects are only detectable by comparison of the nominal unit of effort with an independent estimate of mortality (e.g. obtained from the age composition of the catch).
4. Gear Saturation
Some gear are not strictly additive in their effect. Gear saturation refers to the situation which can occur partly through a fishing operation when the probability of capture of more individuals is restricted by the number of individuals already captured. This leads to a real decrease in catchability with population density or with time that the gear is in operation. This, of course, if uncompensated for, leads to effort being less effective at high density (under-exploited stocks) than when the population size is reduced and, hence, under-estimated stock declines when judging from catch per nominal effort unit figures alone.
Some Examples
(a) For fish traps, gillnets, longlines
A decrease in q with soak time has been documented. If effort is measured in terms of units of gear x soak time, a density-dependent bias can be introduced which over-estimates effective effort if soak time is increased from one year to the next. Similarly, expressing effort as units of gear x number of sets may under-estimate effective effort as density declines, if the duration of sets increases inversely with density. This problem can be overcome if a breakdown of effort units by soak time allows a calibration of all units in terms of a standard soak time. The relationship between soak time and catch for this type of gear has been described by:
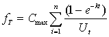
Catch after t days soak: Ct = ft.Ut = Cmax . (1-e-kt) _ (Gullied, 1955; Munro, 1974) (where Cmax is the effective maximum catch by the gear, k is a measure of rate of capture, and Ut is the catch per soak time t).
After fitting this equation, the total effort (fT) can be calculated for a known proportion of different soak times of i e 1, 2...n days by:

(b) Changes in hook spacing may affect the catchability coefficient for longline or set gear if this leads to more or less competition between individual baits for the same fish and if effort is measured in terms of number of hooks fished (Skud, 1972).
5. Effects of Technological Change
These include:
(a) introduction of bigger and more efficient vessels and gear;
(b) increases in. boat or gear size and vessel speed/power;
(c) improvements in ancillary gear (e.g. sonar, better navigational aids, radio, telephone, spotter aircraft, etc.).
Any or all of these in combination may have an effect on q, and thus require adjustment to the nominal effort units if progressive changes have occurred. To some extent, we may calibrate between different vessels or types of gear fishing power for individual vessels, or vessel classes (see later); however, improvements in fishing efficiency for a given vessel or vessel class may also occur and may be more difficult to detect.
6. Learning Factors
Individual skippers may vary significantly in their performance even within the same class of vessel and so affect their individual q values. For a large fleet, one can perhaps assume that skill is normally distributed and invariant from year to year. One can then sum effort units for a given vessel class directly. However, if a sample fleet is being used to measure CPUE, it is necessary to:
(a) pick sample vessels randomly from the fleet;
(b) if a vessel is lost from the fleet, substitute a second with as close as possible the same fishing power as the first.
At the commencement of a new fishery, fishermen are learning to find the best grounds and methods of fishing and becoming more skilful at handling the gear so that their effective effort will increase more than is evident from the sum of nominal effort units alone. This type of effect is hard to detect from just catch-and-effort data alone, although some indication of the rate of learning may be obtained by comparing catch rates of new versus experienced fishermen for a series of years. We might for, example, assume that the (decreasing?) differential between new and experienced skippers represents the rate of learning that applies to all vessels at the start of the fishery.
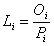
A more objective approach would be to compare catch rates with stratified random surveys if these are available on an annual basis, then fit the model proposed by Brown et al. (1976). These authors assumed that the combined effect of learning is reflected in the catch-and-effort statistics, even if it was not clearly separated from other causes of variation in the catch. The approach adopted was to assume that learning is a monotonically increasing function of catch per unit effort with time.
A multiplicative learning factor was postulated for a given fleet as:
![]()
![]()
where Oi is the observed catch per unit effort, and Pi the catch per unit of effort if no
learning had occurred. Pi was obtained from:
![]()
where Bi-1 and Bi are independent estimates of abundance of the species in the i-1th and ith year of the fishery (obtained for example, from a stratified random trawl survey with standard gear)
Therefore, starting in year 1 with P1 = O1, at any future year i,
![]()
An arbitrary definition was assumed for year 1 in the fishery, as the year when 20 percent of the total catch in the fishery consisted of the species under consideration. Learning was considered to have ceased when Li+1<Li. This occurred 4 to 5 years after fishing began, and an exponential curve was fitted to a fleet's data for the first 3 years in the fishery, using:
![]()
where i = 1, 2, 3 years after onset of the fishery for that particular species
a = a constant
ei = residual error, where 1n (ei) has a N(O, o2) distribution
Pooled data were used to fit the relationship. For the N.W. Atlantic industrial fleets, a value of a = 0.735 was obtained by least squares, roughly equivalent to a doubling of Li in each of the first few years (or in other words, a doubling of the effectiveness of the unit effort during the learning period). This is perhaps less relevant for most Mediterranean fisheries where the fishing grounds have been exploited for a long time.
Effort units for the first few years were made comparable with those for the third and later years where Ui is the predicted catch per unit effort in year i:
|
|
from which the effort can be calculated in corrected units from:
![]()
One may note that this approach assumes an exponential rise in q, whereas an asymptotic negative relationship seems more compatible with general experience. Another approach is to compare effort trends with cohort analysis to allow non-linearity in the regression of F on fishing effort to be picked up and compensated for in correcting nominal effort units. There may, in fact, be slow rises in q for all vessels after the first few years due to the impact of minor technological changes on fishing power of members of the fleet (estimated at roughly 5% per year for modern trawler fleets after the first few years).
We have already discussed some of the adjustments which should be made, if possible, to render the effort units additive. We may note, however, that the form of the fitted relationship between catch and effort can be varied by using one or other methods of fitting asymetrical curves to catch and effort data, and these types of fit may accommodate to some extent for any uncompensated trends in q.
In theory, at least, a general increase in precision of effort units is possible in the following sequence:
(1) Number of boats
(2) Number of trips
(3) Days at sea
(4) Days on ground
(5) Number of tows, number of sets
(6) Number of tows x area or time towed.
The need for increased precision of effort statistics required in the sequence (1) to (6) should be examined, however, in the light of the increasing cost of statistics collection. The possible need for a trade-off between collection of general data types (2) to (4) for all vessels and the desirability of having at least some more detailed information [(4) to (6)] for a smaller sample fleet of vessels chosen at random should be evaluated.
There may be more serious practical and theoretical reasons why for some gears a slightly different approach to effort definition may be needed, for example:
Effort definition in purse seine fisheries is more complex than for 'area-swept' types of gear. Purse seiners only attempt to set on schools, since catch per set is likely to be largely dependent on school (which is likely to be rather constant) and on the size of a school (itself not invariably related to population size). Hence, catch/days fished will not be a particularly good measure of overall population density for schooling fish (see Ulltang, 1976|). Number of sets alone is unlikely to be an adequate measure of effort, since it will be directly proportional to overall landings for a given probability of catch per set on already located schools. The measure of effort that is most meaningful will include both search time as well as actual fishing time.
Ulltang (1976) found for a purse seine fishery on herring that F is proportional to N-b where N is population on size and b is a constant. For a value of b -1 , this means that catch and catch-per unit-effort are independent of stock size, and, therefore, no relationship between CPUE and stock size can be readily demonstrated2. This type of phenomenon can be detected by plotting the effort unit (Ulltang used number of boats x days with catch as his effort unit), against fishing mortality as determined by cohort analysis and looking for a relationship.
Defined as the catch taken from a given density of fish by one unit of effort of a given vessel or vessel class. Analytically, it can be considered to have two components:
(i) area or volume swept per unit effort (a);
(ii) proportion of fish in (a) taken by the gear (p).
If the distribution of fish is random, catch = (p.a/A) = N, i.e. absolute fishing power (a.p) for a vessel is essentially the same as q. In practice, we do not use the absolute value a.p but use a measure of fishing power which for vessels or vessel classes B to Z, is relative to the fishing power of vessel or vessel class A, defined as unity. In the simplest case of a fleet of uniform vessels, fishing power considerations are generally ignored, and small variations in a.p from boat to boat treated as random variation. In this (rather atypical!) case, fishing power determinations will be less relevant.
As noted, the standard vessel class A is usually chosen as the most common, long-standing vessel type in the fleet. This should preferably be the class of vessel with minimum variation in fishing power between individual units, and the class where the major scope for technological improvement in fishing power has already been established. (The proportion of the catch taken by the standard vessel class should not be negligible, but it need not be the class taking the largest part of the catch).
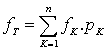
In order to establish the fishing power of other vessels relative to this standard, CPUE is compared for each class, to class A in the same time/area strata, e.g.
CPUEB = 0.88 . CPUEA (i.e. pA = 1.0 , pB = .88)
where the constant 0.88 has been determined by the slope of the regression through the origin. To sum up annual effort by K = 1, 2 ...n classes of vessels of different p 's, we can then use:

An alternate approach has been determined empirically for trawl fisheries, namely that p is proportional to Horse Power (HP) or to tonnage. Under these assumptions, we can therefore add total effort using:
|
| |
|
| |
For seines, this approach yields, by analogy, ton-trips (vessel tonnage x number of trips), or more accurately, trip-ton-miles (that is, the number of miles searched per trip x gross tonnage x number of trips).
A further approach which has considerable promise is based on the observation that HP (and, hence, fishing power) is directly related to fuel consumption, which may be expected to integrate both effort and fishing power over tonnage classes into one single directly measurable unit.
If effort and catch data for a stock are available for a series of unit areas, how do we estimate mean abundance? A simple expression weighting catch per unit efforts by the effort expanded in each subarea can be written:

Since
![]()
If q is constant, this leads to a population size estimate (weighted by area) of:
![]()
Effort is not applied randomly, and it may be that in a multispecies fishery the effort is aimed at one species but causes mortality (due to by-catch) in others, i.e. we may wish to look at the impact of effort on these other species also. Rothschild and Robson (1972) proposed the following index to measure the degree to which effort is concentrated onto a given stock:
![]()
where:
a =
catch over all unit areas;
b =
CPUE over all unit areas;
c =
effort over all unit areas, and
and
are the variances of CPUE and effort respectively over all unit areas.
This essentially takes the form of a correlation coefficient and has the properties shown in Figure 1.
(a)If effort (points) is concentrated onto high density (shaded) areas then 0<IR<1: |
|
(b) If effort is randomly distributed with respect to the distribution of fish: then IR = 0: |
|
(c) If effort is negatively distributed with respect to density (as could, for example, happen for a by-catch species),then: -1<IR<0: |
|
Fig. 1. Effect of concentration and dispersal of fishing effort onto high density areas as illustrated by a simple catch and effort index (IR)
What is the effect of a unit of effort expanded in the three cases shown in Figure 1? One unit of effort has the greatest effect in the order a>b>c, and since
:
Q(IR>0) > q(IR 0) > q(IR<0);
i.e q is proportional to IR
It is recognized that a series of local fisheries with similar species compositions but separate fishing intensities may be considered to represent `treatments' which measure the effects of different levels of fishing intensity on the catch rates they produce. Munro (1979) was the first to recognize that such estimates taken in the same year can be compared with an equilibrium production model, and he used this for studying tropical multispecies fisheries where local fisheries on the same ecosystem allow one to study the effects of local variations in fishing intensity in a comparable way to a study of sequential estimates of fishing effort and catch rate as used in conventional production modelling. Caddy and Garcia (1982) generalized this approach to situations where several years of data had accumulated for a series of localities, allowing one to write:
Yij/fij = A - B.(fij/Aij)
for the Schaefer model, or substitute the logarithm of (Yij/fij) on the LHS of this expression for the logarithmic model. In both cases, (Yij/fij) are annual mean catch rates for j = 1,2,3,...m years, and i = 1,2,3,...n recognizable and ecologically similar fishing grounds, with surface areas A1, A2....An km2 for which catch and effort statistics can be collected separately.
Separate yield curves could of course be created for each grounds, but this would require considerable historical effort to allow conventional production models to be used. If there are reasonable arguments, however, to consider the basic fisheries productivity per area of grounds to be similar, it is presumed that catch rates on different grounds for a similar measure of fishing intensity are comparable.
Several different approaches have been attempted toward the problem of partitioning fishing effort in a mixed species fishery. Perhaps the simplest is to set some arbitrary bench marks in terms of which the effort can be proportioned; for example, Brown et al. (1975) assumed that if less than 20 percent of the catch were a given species, it could be considered a by-catch and no effort allocated to it, while if more than 80 percent were a given species it was considered a directed species and all the effort allocated to it. Between 20 and 80 percent, the directed effort was assumed to be a direct proportion of the species composition in the catch. The disadvantages of this approach are obvious: it presumes that the proportion of effort expanded on species A (and hence its fishing mortality rate) is solely a function of its proportion in the catch. In fact, if the two species are perfectly mixed (and one is just rarer than the other), they will both be subject to the same fishing mortality (if their q's are the same). Some way of resolving the effects of relative species abundance and fishing intensity by species is needed. A number of approaches are given below, with the caution that, to date, the problem does not appear to have been conclusively solved.
(1) For multispecies fisheries, one could calculate IR for either area or (theoretically) time strata, and use the result to weight measures of effort by defining:
Effort on species 1: f1 = fT x IR1; where f t = total effort and IR1 = value of index for species 1.
(2) A rather similar approach using partial correlation coefficients was used by Chang (1974), and similarly has some advantages over the usual arbitrary criterion used to decide whether a trip is aimed at a given species i or not; i.e., if for any unit of effort:
![]()
- the unit of effort is accepted; if not, it is rejected.
(3) An approach which may have some general
application in obtaining an overall index of abundance in a mixed species fishery is that of Chikuni (1976).
He noted that within the smallest statistical unit available (e.g. unit area, month, vessel class) a linear
relationship exists for species that on occasions form a significant proportion of the catch between CPUE and
their proportion by weight in the catch. The slopes of these linear relationships for different vessel classes
are related to the difference in fishing power. Evidently, in this type of fishery, an overall change in the
degree to which a major species dominates the catch from year to year will affect the validity of CPUE as index
of abundance. In comparing CPUE's for a given species between adjacent years, he therefore selects a mean CPUE
corresponding to a fixed percentage of species i in the whole catch for each year (say 75%). At this level, an
overall index of effort could then be calculated from:
![]()
where CPUE (75% level) is the CPUEi corresponding to 75% of the total catch made up of i.
Chikuni notes that his method is not very effective for species forming only a small proportion of the catch.
(4) The only fully satisfactory method is to use other sources of data (cohort analysis by species or trawl acoustic surveys) to obtain estimates of true mortality rate, or true relative abundance of each major component, and then use these data to correct the overall fishing effort. In the case of cohort analysis, this is achieved by plotting total effort against fishing mortality rate: the goodness of fit will be an indication of the impact of the effort unit on the stock in question, and the slope of the line will then be a measure of q.
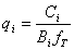
In the case where independent biomass estimates are available, a direct first estimate of fishing mortality for species i can be obtained from:
Fi=Ci/Bi
Where Ci and Bi are the annual catch and mean biomass of species i throughout the year, or this can be transformed to give estimates of species catchability from:
![]()
![]()
where
is a total annual fishing effort
The approach proposed by Biseau (1998) is a similar one in some respects to that last describes, requiring a degree of classification and judgement in categorising metiers and their landing statistics. A useful classification is nonetheless suggested which can be established by looking at the cumulative proportion of species landed per trip over previous seasons. He suggests the following categories:
(a) `Target' species: The largest part of the catch of a target species comes from trips where they make up 10-50% of the trip, with few trips showing very low or very high proportions
(b) Target `mass' species: Schooling species where if caught, they make up 70% or more of the landings, while only a small proportion come from trips where they are a small percentage.
(c) By-catch species: Almost all of the landings of these species make up only a small proportion of the catches.
Another categorization he suggests (that could be independent of (a) to (c) above) is in terms of distribution pattern:
(d) Spatially-located species: A high percent of time on these trips is spent in a localised area where these (high value) species may be a small, but important part of the catch.
(e) Evenly-distributed species: These species are fished by vessels close to everywhere, with a low percent (2-10%) of trips not containing any, but never a very high percentage.
Such a classification scheme helps to focus attention on categories (a) and (b) in defining effort levels exerted. Although a degree of subjectivity is involved (which means that thresholds might differ for the same species between gear types and areas), it does allow a relatively simple categorization which provides indices of CPUE by the key species. These could be used either to measure stock abundance or to provide a better index of effort exerted than by simply dividing number of trips or days fished into total catch.
A more sophisticated approach involving the joint analysis of effort and catch rates, which also incorporates calibration and summation of fishing effort by different gear, could be provided through the General Linear Model approach (e.g. Brown et al., 1995; Kimura, D.J., 1981). The paper by Gavaris (1980) was the first to extend the approach of Robson (1966) to fishing power calibration, and come up with a practical approach using a multiplicative model for combining the effects of different types of fishing vessels on the resource. This could be a useful framework for an effort control approach for Mediterranean fisheries, or at least a point to start from, should more elaborate approaches be required.
Since 1980, the General Linear Model approach has served to provide standardized indices of abundance for use in more sophisticated approaches such as ADAPT, where age structure and survey biomass are known. It could be used in its simplest form for situations where a series of inshore ports and their semi-exclusive grounds are the key units for a fishery aimed at demersal resources along a long narrow continental shelf. The shelf itself (Fig 2, part B) is envisaged to be divided into resource management areas that correspond to the local fishing ports in question located on its periphery. Non-local fishing effort could also be specified if it occurs but imposes an extra data collecting burden which is not always tackled at the local level.
Each local port may have 2-4 vessel/ gear combinations fishing the resource in question within each resource management area. Overall catch rates for each resource management area fished by the ensemble of ports may be found independently; probably from surveys, given that age composition data for landings are unlikely to be available.
The schema suggested therefore is of an assemblage of i ports, each with its constituent fleets of Nij vessels belonging to j different gear/vessel categories. These exploit fishing grounds whose extension meets one or other geographical criteria mentioned in the companion paper on zoogeographical categories in this volume. These grounds can be referred to as `Unit Exploitation Areas', however defined. Evidently this scheme allows the composite production approach to be generalised either to local ports and their local grounds, or data for individual `Unit exploitation areas' can be summed to deal with areas as large as GFCM sub-divisions.
It is assumed that, in order to define the effort exerted by (say) two categories of vessels from two or more ports onto the same stock, we need to compare the catch rates from the same population by vessel categories 1 and 2. These are defined to be in the ratio of the relative fishing power P1,2 of one vessel/port category relative to another, such that:
U1 = U2 . P1,2
Gavaris (1980) extended this approach to consider an ensemble of `categories' that affect the overall catch rate resulting from the activities in question. A general expression for these models is to define the catch rate U in terms of a standard catch rate UR:
![]()
Here the symbol
implies multiply values for (Pij.Xij) for all combinations of i and j, and where Pij is the relative power of category type j within category type i , and Xij is unity when category j occurs, and zero otherwise.
A simple example for three vessel types distributed over four ports is given in the following table:
VESSEL/GEAR TYPE: |
PORT J=1 |
PORT J =2 |
PORT J = 3 |
PORT J = 4 |
1 |
12 |
3 |
11 |
23 |
2 |
2 |
121 |
22 |
|
3 |
1 |
23 |
2 |
This approach could include presence or absence of other equipment that affects fishing power (e.g. sounders, satellite navigation equipment, etc).
One approach could be as follows:
(a) find Fopt (however defined) from stock assessment - e.g. the F corresponding to an agreed Target Reference Point.
(b) Find the level of fishing effort in standard units this corresponds to.
(c) Define the level of effort for a series of i vessel/gear categories each containing Ni vessels this corresponds to, by finding values of q(i) that allow a solution of the equality:
![]()
Brown et.al. (1995) also distinguish `targeted' trips on hake from their log book data set, and work largely with these, which was perhaps easier in South Africa than in the Mediterranean case, since almost 100% of trips in 1987-89 were targeted on this species, however outliers were eliminated before the analysis. The equation:
![]()
Where:
- cpue is the catch in kg/tow,
-
is a constant added
to the cpue to allow for the occurrence of zero values,
- (
.year)
is the year factor
-
are the parameters
associated with the factors attached to them, and
is assumed normally distributed.
In this case, two categories of vessels were defined, where prop. indicates fixed or variable propeller and "nos" stands for presence or absence of a kort nozzle, vessel length is a continuous variable, but depth, season, target, prop and nos are discrete (boolean) variables.
The basic assumption in generalized linear modelling was followed, namely that the residuals are
normally distributed and several runs with different values of
were carried out to see which yielded results that
are closest to this criterion before picking this value.
Evidently this approach, despite its sophistication may prove problematical if too many categories of vessels and error terms are required by a large multi-gear and multi-species data set, but may be preferred in those fisheries (e.g. for small pelagics) where gear and species are limited. The final function for catch rate obtained can be then used to estimate standard effort units exerted in the fishery.
1 Evidently, this leads to a functional definition of q as "the fishing mortality generated by 1 unit of fishing intensity".
2 Ulltang notes that only if b = 0 will be usually assumed proportionality between catch-per-unit effort and stock size occur, while if 0<b<1, some increase in CPUE will occur with increasing stock size.