The wide variety of ecological niches and fish species in floodplain systems has prompted the development of fisheries with a highly diverse range of fishing gears. Up to twenty different types of fishing gears may be used at any given site. Most of the gears fall into a small number of common categories, but, within the broad pattern, there are significant differences in the dominance of each type and the ways they are fished.
Nearly all floodplain fishing gears are artisanal, small-scale and relatively labour-intensive. Due to the environmental constraints of abundant weed and irregular depths, large, industrial-scale fishing gears such as towed trawls or purse seines simply could not be used effectively. Floodplain fish communities are thus protected to some extent by their environment, though some artisanal gears are still dangerously effective.
Part 1 briefly discussed the seasonal cycles of fishing, and emphasised the need for managers to protect blackfish stocks against excessive dry season exploitation, and whitefish stocks against capture during their spawning migrations. This section discusses the four different categories of fishing gears used in Asian floodplain fisheries - barriers, chasing gears, set-and-wait gears and hoovering gears - and describes several examples of each type. The effectiveness and seasonality of each gear type is discussed, showing their relative threats to the sustainability of the fishery. The seasonality of gear use also influences the potential ‘technical interactions’ between different gears and the impacts of different management measures (see Section 5.2). Finally, variations in the seasonal effectiveness of gears are shown to be strong, and highly dependent on local ecological and social conditions. This dependence emphasises the need for local understanding and involvement in the management of floodplain fisheries.
Floodplain fisheries are exploited by a succession of different gear types as the flood season progresses. In general, static, filtering barrier gears are used when flood waters are rising or falling and fish are migrating around the water body for purposes of feeding or breeding. During the high and low water seasons, passive set-and-wait gears are used to catch fish moving around the floodplain, while more active chasing and hoovering gears are used to catch relatively immobile fish, such as those stranded in dry season pools. These four basic categories of floodplain river gear types have the following characteristics:
Set-and-wait fishing gears include gill nets, long lines and individual fish traps. These are usually used in open waters such as lakes where they are not entangled by weed or disturbed by strong flows. Such gears generally take a small catch per unit of effort but require relatively little effort, and can be used over a long season or even continue to be effective throughout the whole year.
Chasing gears such as drag nets, push nets, and spears are mainly used in the flood season, and involve more active pursuit of the fish by fishers, preventing their involvement in other part-time activities. They are a relatively inefficient fishing method at this time, due to the wide dispersal of the fish in the open floodplain waters.
Barrier gears are used on fish migration routes, particularly where water flows off the floodplain into the rivers or permanent pools of the dry season. Fish are trapped along such routes in some type of fyke chamber which is easy to enter but then difficult to escape from. Such fykes may be fished in various ways: several small box traps may be placed along a channel for example, or long fences may be used to direct fish into one central holding chamber. Large catches can be taken from these gears, usually during the ebb season, and often with minimal effort after the barrier has been built.
Hoovering gears are used in the dry season to extract or ‘hoover’ those fish stranded in dry season waterbodies. At this time of year, fishing waters may either be seine-netted in one or more wide sweeps, or even completely pumped dry so that the fish can be collected by hand. The efficiency of such methods can be even further enhanced to maximise catches. For example, ‘drain-in ponds’ may be dug in regular patterns to facilitate easy removal of stranded fish, or refuge/brushpile traps may be used to concentrate fish stocks before seine netting or dewatering operations. Such dry season gears are the most specific to these seasonal floodplain fisheries.
The various different fishing gears used at the R5953 project sites are described briefly in Table 4.1 and Table 4.2. Most of the different gear categories are used in some form in both of the fisheries, but often in very different ways. As indicated in Table 4.1 and, some categories of fishing gear can either be fished actively as a chasing gear (i.e. requiring the full attendance of the fisher) or passively (unattended) as a set-and-wait gear. The following sections describe the factors which determine gear use in different floodplain systems, and then give further details on the mesh sizes and gears used at the study sites; further information on fishing gears may be found in Welcomme, 1985 and general gear textbooks such as Brandt, 1984.
The types of gears used in a given inland fishery depend on (1) hydro-morphological conditions (2) traditional use patterns, and (3) access limitations on the numbers of fishers. The hydrology and morphology of riverine waterbodies determine which fishing gears are likely to be effective. Certain types of gears are restricted in high water flows, or in deep or wide waterbodies. Barrier gears for example require some water flows to be effective (to stimulate fish movements), but can not be constructed in the wider, deeper, downstream reaches of rivers. Fishing gears such as barrier traps are also usually expensive, at least compared to hooks, gill nets or individual traps etc. These large scale gears may only be cost-effective where fishers are able to limit the access of other competing fishing gears.
The relative importance of different fishing gears was compared across different waterbody types in both projects R4791 and R5953. In the first project, all fish stocks were found to be exploited by a wide range of fishing gears including seine nets, gill nets, individual fish traps, barrier traps, hooks and other less familiar approaches, but in very different proportions. At the most riverine Indonesian River Lempuing site, exploitation was notable for the extensive use of barrier traps (Figure 3.11), set across the river channels to catch fish as they migrate around the floodplain and river system. In the lake-dominated Thale Noi study site in Thailand, gill nets took more than 50% of the total catch, being most effective in the calm waters of the lake environment. In the dry seasons, fish in Bangladesh and Thailand were caught by de-watering isolated ponds with diesel pumps. In Indonesia, however, such fish were caught by seining enclosed ponds or river sections up to 1km in length with nets and sections of bamboo fences (Figure 3.11). Such gears may be less effective than the de-watering used in Bangladesh and Thailand, but are the traditional gears at this site.
In the ‘Fisheries Dynamics’ R5953 project, the Indonesian fishers, who hold exclusive rights to fish in their waterbodies (see Section 5.1.3) were seen to use more efficient, less competitive gears than in the more open-access Bangladesh site. On the River Lempuing, fishers mainly used effective full barrier traps (set right across the rivers), and individual, unattended set-and-wait gears. Only 25% of the total catches were taken by active fishing using the dry season hoovering seine gears (Table 4.3). In comparison to this relatively relaxed and efficient exploitation in Indonesia, the Bangladeshi PIRDP fishermen only took 43% of their catches from unattended barrier gears and set and wait gears. The majority of the PIRDP catch was taken by fishermen actively competing with each other using less efficient partial barriers (clap nets, lift nets etc) and chasing gears such as cast nets, drag nets, push nets, and attended gill nets and hooks (Table 4.3).
The mesh sizes used in fishing gears determine their selectivity towards small sizes of fish, and hence have a profound effect on the overall levels of exploitation of fish stocks. On the positive side, the use of small meshed gears increases the number of small fish species which are accessible to the fishery: on the negative side, they also take the small fry of other larger fish species. While a fishery with small meshed gears may be sustained by the smaller fish species, there is an associated danger that the larger fish will become overexploited and decline (see Figure B in Part 1). This feature of multi-species fish stocks is illustrated here by data from the R4791 project.
Table 4.1 Descriptions of the fishing gears used at the Bangladesh PIRDP study site, with their positions fished and mesh sizes (after MRAG, 1997)
| Classes of fishing gears, local names and descriptions | Position1 | Mesh2(mm) | |||
|---|---|---|---|---|---|
| Barrier Gears | Static Filtering Nets (full channel barriers) | ||||
| Suti jal | Large bag net, suspended in high flows, eg near sluices | Sluice gates | 3 – 7 | ||
| Ucha bandh | Small bag net, suspended in channels in floodplain | F | 2 – 7 | ||
| Bandh veshal | Bamboo/net barrier with two lift nets at river margins | S | 5 – 10 | ||
| Lift Nets and Other Static Interceptory Nets (not full channel barriers) | |||||
| Shangla jal | Bivalve-shaped clap net, bottom fished from boat | M (deep part) | 25 – 35 | ||
| Urani | Flat net, suspended above swirling waters below sluices | Sluice gates | 1 – 10 | ||
| Veshal jal | Large triangular lift net, mounted on pivot (with barriers) | All areas | 5 – 10 | ||
| Dharma jal | Small square lift net, with/without pivot | C, S, M | 5 – 10 | ||
| Saver jal | Funnel shaped carp hatchling fyke net | M (shallows) | 1 | ||
| Bandh jal | Net fyke with bag nets suspended at intervals | M | 25 – 40 | ||
| Chasing Gears (active /attended) | Active Seine Nets (used in open waters) | ||||
| Kachal jal | Large, common seine net, fished by 1–2 boats | F, B, S, M | 1 – 5 | ||
| Katha jal | Small seine with poles on end, fished by children | F | 2 – 7 | ||
| Dora jal | Large seine with poles on ends, fished by adults | B, C, F | 10 – 30 | ||
| Chabi jal | Encircling seine, fished with polo traps | M (shallows) | 25 – 40 | ||
| Drag/Push nets | |||||
| Moi jal | Small drag net, fished from boat or shore | B, C, S, M | 4 – 7 | ||
| Ucha jal | Small triangular net, fished by children | B, F | 2 – 4 | ||
| Cast Nets | |||||
| Jhaki/kheo jal | Fished in open water/brushpiles from canoes/bank | All areas | 5–10 | ||
| Portable Traps (all constructed of split bamboo and synthetic twine) | |||||
| Polo | Basket trap, rammed down into mud, emptied by hand | B, C, F, M | 15 × 60 | ||
| Hooks (mostly baited with worms, fish, or small frogs) | hook gape | ||||
| Tona borshi | Rod and line, single hook, attended | All areas | 3 – 12 | ||
| Ziala daun | Long-line, 3–10 hooks, live baited, surface, attended | B, F, S, M | 5 – 12 | ||
| Gill Nets | |||||
| Bogi jal | Drifting monofilament, floating, attended from boat | M | 20 – 40 | ||
| Shandi jal | Drifting multifilament, bottom-set, attended from boat | M | 35 – 75 | ||
| Spears | |||||
| Foxa/tetra | Cluster of 7–20 fine metal rods attached to bamboo pole | Sluice gates | |||
| Konch/juti | Split bamboo pole, with 7–20 points tipped with metal | B, F, S | |||
| Akra | Metal gaff, fished from boat in soft mud | C, S | |||
| Set-and-Wait Gears (passive / not attended) | Portable Traps (all constructed of split bamboo and synthetic twine) | ||||
| Labani | Box shaped passive trap, fished in fences | F, B | 4 × 40 | ||
| Doair | Round shaped, fished with bamboo sheet fykes | S, M | 10 × 120 | ||
| Hooks (mostly baited with worms, fish, or small frogs) | hook gape | ||||
| Borsha borshi | Hook and line, single hook with float, unattended | Rice fields | 2 – 5 | ||
| Sita borshi | Rod and line, single hook, live baited, surface, unattended | B, S, C, M | 5 – 12 | ||
| Mati daun | Long-lines, 20–600 hooks, bottom fished, unattended | B, S | 3 – 7 | ||
| Gill Nets | |||||
| Fashi jal | Fixed multifilament, parachute thread, unattended | B, S | 6 – 50 | ||
| Current jal | Fixed monofilament nylon thread, unattended | B, S, F | 30 – 50 | ||
| Fish Attracting Devices (FADs) | |||||
| Katha | Brushpiles surrounded by large ber jal seine nets | B, S, M | 111 | ||
| Boat Katha | Sunken boat brushpile, surrounded by seine nets | C, B, F | |||
| Hogra | Triangular frame with brushpile inside | C, B, S, M | |||
| Hoovering Gears | Dewatering | ||||
| Kua | Large depressions emptied by diesel pump in dry season | B, S, C, F | |||
| Hatano | Individual man fishing by hand with/without dewatering | All areas | |||
1 B = beel, C = canal, F = Floodplain, M = Main River, S = Secondary River
2 Where only one dimension or a range is given, it represents one edge of a single mesh of net.
Table 4.2 Descriptions of the fishing gears used at the Indonesian River Lempuing study site, with their positions fished and mesh sizes (after MRAG, 1997)
| Classes of fishing gears, local names and descriptions | Position1 | Mesh2(mm) | |||
|---|---|---|---|---|---|
| Barrier Gears | Static Filtering Barriers/Fykes | ||||
| Suspended nets: | |||||
| Kilung | Wide shallow barriers with net flumes to strand fish | lebak > river | 9 | ||
| Tuguk | Stationary trawl net, mounted in wooden penetak frame in strong flows | main river | 7 | ||
| Bamboo barriers (made of split bamboo tied into panels or ‘empang’): | |||||
| Empang | Large fykes, with trap chambers (lulung) | lebak > river | 10 × 200 | ||
| Corong | Stationary flumes, mounted in wooden penetak frame in strong flows (often associated with tuguk) | main river | 25 × 200 | ||
| Chasing Gears (attended) | Scoop Nets | ||||
| Cerok | Large scoop net, fished with poison to stun fish (illegal) | main river | ? | ||
| Sekap | Small scoop net, used in dry season | lebak | ? | ||
| Hooks | |||||
| Pancing | Rod and line, fished by hand, for small fish (usually bait) | lebak/lebung | 7 | ||
| Set-and-Wait Gears (passive / not attended) | Portable Traps (mostly surface fished without bait in fish migration routes) | ||||
| Pengilar rotan | Rattan fish trap, ~60×40×35cm | lebak/lebung | 32 × 40 | ||
| Bengkirai bilah | Bamboo fish trap, ~60×40×20cm | lebak/lebung | 24 × 100 | ||
| Bengkirai kawat | Chicken wire fish trap, ~50×40×30cm | lebak/lebung | 22 × 22 | ||
| Lapun | Wire predator trap, ~80×50×40cm | river margins | 80 | ||
| Menteban | Bamboo baited trapdoor trap, ~60×30×30cm | river deeps | 60 | ||
| Seruo | Bamboo, bullet-shaped ‘baitfish trap’, ~30×15cm | lebak/lebung | 12 | ||
| Bubu | Bamboo, large cylindrical predator trap | river margins | 20 – 25 | ||
| Karaman | Bamboo, rice-bran baited trap | ? | ? | ||
| Hooks (bait usually whole small fish, initially alive) | hook gape | ||||
| Rawai | Long lines of ~100 hooks, fished demersally | main river | 10 – 12 | ||
| Tajur cogak | Single hook, fished from rod in bank, on water surface | river margins | 10 – 12 | ||
| Tajur luyuk | Single hook, fished from floating stick, among weeds | river margins | 10 – 12 | ||
| Gill Nets | |||||
| Jaring | Fished in open water or channels, usually demersally | all areas | 19 – 40 | ||
| Roket | Short, scattered in rice paddy shallows | rice paddies | 19 – 40 | ||
| Hoovering Gears | Active Seine Nets/Barriers (Fish drives in enclosed waters) | ||||
| Ngesek | Fish driven by empang barriers, without FADs3 | lebung pools | 10 × 100 | ||
| Ngesek pinggiran | Kerakat seine-netting of uprooted water hyacinth beds | river margins | 9 – 13 | ||
| Ngubek lubuk | Cast netting of empang-enclosed fish in lubuk deep pools, with sunken trees as FADs | river deeps | 10 × 100 | ||
| Ngesar | Fish driven by noise and kerakat seines, without FADs | along river | 9 – 13 | ||
| Cast Nets | |||||
| Jala | Fished from canoes, at end of NK/NL fish drives | all areas | 17 | ||
| Dewatering | |||||
| ? | Catching fish by hand in muddy shallows | lebak/lebung | |||
1 lebak = savanna floodplain; lebung = floodplain lake; > indicates a boundary position and the main direction of fish movement during capture.
2 Where only one dimension or a range is given, it represents one edge of a single mesh of net.
3 FAD = Fish Attracting Device.
Mesh sizes were found to be highly variable both between the sites and between the different gears. The smallest meshed of all the gear types were invariably found in the Bangladesh Hail Haor site, where the minimum mesh sizes of most types of nets and traps were around 3.5mm along one edge of a square (Figure 3.11). This corresponds to a ‘stretched’ mesh of around a quarter of an inch. Such gears are capable of retaining virtually all fish over around 2–3cm in length. In contrast, barrier and seine meshes at the other two sites were around three times as large at a minimum of 9–10mm. Hook gapes follow a similar pattern with large ~ 10mm hooks used at all sites, but ones as small as 3mm used exclusively in Hail Haor. Meshes are particularly variable for the portable traps from the 3mm slits in Hail Haor dori traps to mostly 25mm2 net meshes in Thale Noi fish traps and 32×40mm rectangles in Sumatran rattan traps. Of all the gears, only gill nets were fished with comparable mesh sizes, commonly 1.5" to 2" stretched meshes, at all three sites, probably because any smaller gill nets would be impossibly laborious to haul. Larger 40mm/3" gill nets were still used both in Thale Noi and the Lempuing, but not in Bangladesh.
Table 4.3 Estimated relative catches from different gear categories from the Bangladesh PIRDP and Indonesian River Lempuing sites (after MRAG, 1997)
| Fishing Approach | Fishing Gear Class | Bangladesh PIRDP Catch | Indonesia River Lempuing Catch |
|---|---|---|---|
| Passive (unattended) gears | Full Barrier Gears | 11% | 49% |
| Set-and-Wait Gears | 32% | 26% | |
| Active (attended) gears | Partial Barrier Gears | 10% | 0% |
| Chasing Gears | 26% | 1% | |
| Dry Season Hoovering | 21% | 25% |
Reflecting both the mesh sizes and the much higher fishing rates in Bangladesh, fish catches at the PIRDP site were comprised of many more small fish (Figure 3.11) with even the largest species often being caught as fry of only 2–3cm in length.
The following sections describe the types of gears found at the study sites, within each of the four categories of barriers, chasing, set-and-wait and hoovering gears
Static filtering barriers / fykes (full river width)
Full-width static barriers or fykes are used to intercept migratory fish on both the River Lempuing and the secondary rivers of the PIRDP. At both of these sites, the rivers have suitable widths (up to around 30–50m) and depths (up to around 4–6m) for the use of full barrier traps. Traditionally, the Lempuing was fished by small bamboo empang fyke traps or larger kilung flume nets (see Table 4.2), positioned between the river and the floodplain to capture fish as they attempted to emigrate from the drying plain. Since 1982, massive penetak barriers have also been built from large tree trunks, spanning the whole width of the river, and enabling the capture of fish migrating within the main river channel itself. From these penetaks, two different types of filtering devices are suspended. Tuguk trawls and corong flumes are fished at the bottom and surface of the water column respectively. Such traps enable the capture of both upstream and downstream migrating fish (see Section 4.2). The latter fish may attempt to pass upstream through the sides of the trap, but many are swept back in to it by the strong currents. In the Lempuing, all barriers are built with great care to minimise the escape of migrant fish. The species caught by such gears in the Lempuing are dominated by riverine whitefish such as Mystus nemurus, Lais spp and Macrobrachium rosenbergii prawns (MRAG, 1994; 1997).
Such extensive barrier traps have not been observed in Bangladesh, probably partly due to the lack of suitable materials (tree trunks etc) required for their construction. Instead, smaller, lighter partial barrier traps are mostly used, suspended over bamboo frames (see next sub-section). The large full-width bandh veshal (Table 4.1) is fished like an Indonesian penetak across the full river width, but its flimsy construction limits its use in the strong flows experienced at some times of the year (when most fish are migrating).
Lift nets and other partial barriers
In addition to the static, full-width barriers, Bangladeshi fishers also use various types of active barrier trap, such as clap nets and lift nets (Table 4.1). Large lift nets constructed of bamboo with nets up to 10m or more across are fished in river channels from boats in Bangladesh. They generally catch small fish and shrimps (MRAG, 1994) drifting down with the current, being lifted around every 10 minutes by a single operator. Two-man lift nets, taki jal, are also used in Hail Haor in which a wide rectangle of net is suspended across the current while two fishermen hold the front corners to feel for fish bumping into the net. Such gears must be permanently attended by their fishers, but may be more easily evaded by fish since they rarely span the full width of a channel or are regularly lifted during hauling.
With chasing gears, fishers participate actively in the operation of the gear, preventing their part-time involvement in other activities such as agricultural labouring. Chasing gears are intensively used in the highly competitive Bangladesh fisheries, but are far less common in Indonesia (Table 4.1, Table 4.2 and Table 4.3).
Active seine nets/barriers
In Bangladesh, seining is both a high-water and a low-water activity. In the flood, teams of up to 10 boats fish seine nets on the open floodplain, often using paddles and drums to drive fish into the waiting nets, even through concentrated weed beds. The weed itself is even sometimes used as a free panga ‘net’ when several men roll a large circle of vegetation slowly inwards to enclose a catch of small floodplain fish. Such open water seining during the flood usually catches small, low value fish species and small shrimps, and indicates the high demand for fish in Bangladesh.
At the Lempuing site, seine fishing is rarely used in the flood season, but is instead used far more effectively in the dry season (see Section 4.1.7 on ‘hoovering’ gears).
Drag / push nets
The small push nets used by many individual Bangladeshi fishers (including children) at virtually all times of the year, accounted for a substantial 14% of the total catch of Hail Haor (MRAG, 1994). Though push nets are limited to prawns and the smallest fishes, they also take the fry of potentially larger fish such as snakeheads, which use the shallow waters as a nursery habitat. Larger fish are clearly able to evade capture by this gear, and push nets were not used in either the Lempuing or in Thale Noi.
Cast nets
Cast nets require considerable expertise to handle effectively and are usually favoured by the most professional fishermen. They may either be employed in river channels or other areas where fish congregate naturally, or more commonly as a secondary gear, after the fish have been concentrated by some other gear into a small area (see Section 4.1.7). With the exception of this secondary use, cast nets are relatively unimportant in the project fisheries contributing only 1% to the catches in Hail Haor for example (MRAG, 1997).
Portable traps
Individual, portable traps are usually used as set-and-wait gears (see Section 4.1.6). In the PIRDP, however, fishers also use active polo traps, which are rammed down into the muddy bottom to enclose fish in shallow waters, enabling them to be collected by hand.
Hooks and lines
Hooks, may either be fished actively, with or without fishing rods, or set as long lines or other passive set-and-wait gears. In Hail Haor, they took the second largest catch with 23% of the total weight landed (MRAG, 1994). Various baits are employed with earthworms fished demersally and small fish and frogs suspended at or close to the surface for pelagic predators. On the Lempuing, hooks are used both on long lines, particularly set along the river channel, and also commonly as individual hooks fished by hand or suspended from bamboo rods stuck in the bank or suspended among weeds. Both long lines and single hooks are also used in Thale Noi, though long lines are the dominant gear fished in the open water of the lake, with freshwater crabs the preferred bait.
As may be expected, all such hook-based approaches catch mainly predatory fish, although some omnivores may be taken on small baits such as worm sections. In both the Lempuing and Thale Noi, the large snakeheads are almost the only common captures (MRAG, 1994) as mainly large baits are used. In Bangladesh, such snakeheads and the large bual catfish Wallago attu are caught, but many other smaller species are also taken on smaller baits including medium sized preditors such as featherbacks, catfish and other even smaller fish.
Spears
Spears are a relatively unimportant gear category used in these fisheries. Among the R4791 project sites, they were only used in Hail Haor, where they took only 1% of the total catches. They are used at night, with attracting lights, and most commonly take large snakeheads, though major carps can also be caught (MRAG, 1994).
Set-and-wait or passive fishing gears are set, sometimes with bait, and then retrieved after a delay of a few hours, often overnight. These gears include small, portable traps, hooks and gill nets, often fished by individual fishers. They also include the large katha brushpile traps, fished over periods of several days or weeks by groups of fishers in Bangladesh.
Portable traps
In the Lempuing system, portable traps are heavily used on the floodplain to catch blackfish such as snakeheads and gouramis, taking 34% of total catches (MRAG, 1994). Different types of traps are carefully placed to catch different species, and structures made of rattan, bamboo and chicken wire are all common (Table 4.2). Some of these traps are placed in small channels or rivers in fish migration routes, facing the direction that the fish are moving. Others are fished with bait to attract fish into their chambers, sometimes using trapdoor mechanisms to retain fish (menteban). Portable traps are often very well adapted to their target species, taking virtually no by-catch species.
Gill nets
Gill nets were used in large numbers at all the project sites, particularly in Thale Noi, where they accounted for more than half of the total catches (MRAG, 1994). Gill nets are most effective in open water areas such as the Thale Noi lake, where they can be fished without becoming choked with weed or entangled by currents. They are a relatively modern gear, particularly the virtually invisible and highly effective monofilament type which is associated with heavily exploited fisheries, and becoming increasingly common worldwide (Welcome, 1985). Since small fish can swim through gill nets, while large fish can not penetrate the meshes enough to be gilled or entangled, gill nets are selective towards a limited size range of fish. They are, however, able to catch the greatest number of different fish species (MRAG, 1994, 1997) taking virtually any species of a size retained by the mesh chosen.
Katha brushpile traps (fish attracting devices)
Brushpile traps are used to attract and congregate fish which remain in the rivers and ponds of the dry season. In Bangladesh, katha brushpiles are built of submerged trees and branches and floating water hyacinths. Virtually the whole length of the main river channel in Hail Haor is filled with such brushpiles as the dry season approaches. When water flows are slow enough, these brushpiles are surrounded by a wall of net, the brush is removed, and the enclosed fish are caught, firstly by cast nets and finally by the pursing of the net. These activities are slow and labour intensive, taking up to 10 days, depending on the size of the katha, but the catches are usually comprised of the most valuable major carps, often taken in large numbers.
Hoovering gears attempt to remove all the fish from a dry season waterbody in one single operation, and are thus particularly dangerous for the long term survival of the fishery. They include the use of fish drives and other seine netting approaches, and dewatering using diesel pumps.
Fish drives and other active seining gears
At the River Lempuing site, water flows are too strong to build brushpiles in the main river flow, but natural beds of water hyacinth on the shallow river margins are enclosed and fished by the ngesek pinggiran and brushpiles are used to congregate fish in deep, slow-flowing pools of the river for the traditional ngubek lubuk (Table 4.2). More importantly, whole areas are simply swept by teams of fishermen using combinations of kerakat seine nets and bamboo empang fences. This can only occur when water levels have fallen low enough for the nets to be moved across the area without fish escaping underneath. The ‘ngesek’ method is usually done first in the shallowest lebung pools of the floodplain. The greatest catches however, may be taken by the ‘ngesar’, in which 1km stretches of the main river channel are netted off and seined as single units. For this procedure to be successful, especially low water and slow flows are required for up to 10 consecutive days, both to enable all the exits to be sealed off and for the net to be moved against the current. Thus, while the practice can yield spectacular catches, success is totally dependent on the flood regime: in the Lubuk Lampam auction unit (Section 5.1.2), river levels were too high or too variable for the ngesar in some recent years (see next section). The capture efficiency of these gears is unknown, but is likely to depend on how skillfully the gears are moved. Ngeseks may also be performed at the same site up to 3 times in one dry season, particularly when fresh rains temporarily reflood the pool, bringing in new fish from outside.
Seining is also sometimes used in Bangladesh as an alternative to pump dewatering. Removal experiments undertaken by project R5953 in Bangladesh (see MRAG, 1997; Halls, 1998) indicated that the efficiency of seining may be considerably lower than that of dewatering, presumably due to the ability of fish to pass underneath the net.
Cast netting
Cast nets are often used during the Lempuing ngeseks within the kerakat seine net and bamboo fences, before they are finally edged to shore to catch the enclosed fish. The use of cast nets at this stage guarantees that some fish are caught, before the final movement of the net, when enclosed fish may be most able to escape.
Dewatering
‘Dry’ fishing or dewatering involves the drainage of a body of water so that fish are stranded in the exposed muddy substrate and can be removed by hand or rakes. Dewatering is used in Bangladesh both in the flood and the dry seasons, but elsewhere only in the dry season. Flood season dewatering is usually accomplished by manual labour possibly in conjunction with the irrigation of adjacent rice paddies for planting. Like high water seine fishing, however, it generally catches only small fish in this shallow nursery area.
Dry season dewatering is more ambitious with diesel pumps being used to drain large areas of water, as much as 3ha. Enclosure of the water with embankments, and the actual pumping can take many days and a considerable investment in fuel costs. As for the katha traps though, the rewards may be great, with particularly high catches of the large, valuable snakehead and catfish species. The method is thus an important dry season approach in which the large blackfish are caught to complement the whitefish taken in the riverine brushpile traps. (MRAG, 1994).
In Thailand, the method is further enhanced by the use of refuge trap ponds which are excavated by landowners in the dry season, and subsequently harvested after the flood. The number of ponds dug for this purpose is reported to be increasing, and mechanical excavators have been used for the last 4–5 years, possibly representing a significant increase in fishing ‘effort’. Moreover, due to the siltation of recent years there are now thought to be few natural depressions remaining in the phru Khuan Kreng floodplain, so that far more of the fish which choose to spend the dry season in floodplain depressions, will now find themselves in ponds dug specifically for their capture (MRAG, 1994). Individual landowners have been reported to dig and fish as many as 30 such refuge traps.
Like the active seining also done mainly in the dry season, the success of dewatering is highly dependent on a stable period of reasonably low water levels. Beyond this similarity, the relative efficiencies of the two methods, and the proportions of fish which evade capture are difficult to gauge. Fish can certainly escape under or around the moving ngesek seines in the Lempuing and some fish may be able to get out of the Bangladeshi kathas when the brush is removed from the net. It is also likely that many of the burrowing fishes such as snakeheads and catfish can survive dewatering, particularly in the wide, shallow sites drained in Bangladesh. The Thai refuge traps and the similar ‘kua’ pits dug elsewhere in Bangladesh are more likely to be efficient due to their smaller areas, at least in those years when they can be fished. Even if they are not completely effective, they still provide the main danger to floodplain blackfish stocks due to their use just before the spawning season, when stocks are already reduced to low numbers.
The many different fishing gears described in the last section are not all used throughout the year, but more often in short periods when they are most effective. This section describes the seasonality of fishing and the effectiveness of different gear types.
These issues are important for floodplain fishery managers for two reasons. Firstly, certain highly efficient gear types - particularly barriers for whitefish and hoovers for blackfish - may need to be restricted if they begin to threaten the long-term survival of the fishery. Secondly the seasonality of fishing operations determines the ‘technical interactions’ between gears and the potential outcomes of alternative seasonal management actions on each gear type (see Section 5.2.1).
In broad terms, the seasonality of a floodplain fishery is dependent on the environmental cycles of flooding and drying. The detailed seasonal patterns are dependent on water hydrology and morphology, often to a very local level. This section describes the broad seasonality of fishing operations at the different study sites; the following sub-section shows the dependence of fishing effectiveness or catchability on local conditions, and its variation over the year.
The seasonalities of the three R4791 fisheries displayed notable differences, in line with their flood seasons and ecological characteristics. In Indonesia, the main catches of the barrier traps were taken when fish were migrating in the ebb and flood seasons, while the seining (hoovering) methods were used during the drought. Only a few fish are taken by fish traps during high water (Figure 4.1). In the lake-dominated Thailand study site, in contrast, the greatest catches of the gill net fishermen were taken in the flood season when fish were actively foraging for food. In Bangladesh, different methods were used in each season, such as hooks in the flood and seines and dewatering in the drought: many fish, however, were caught at all times, and a fairly constant total catch was taken throughout the year (Figure 4.1).
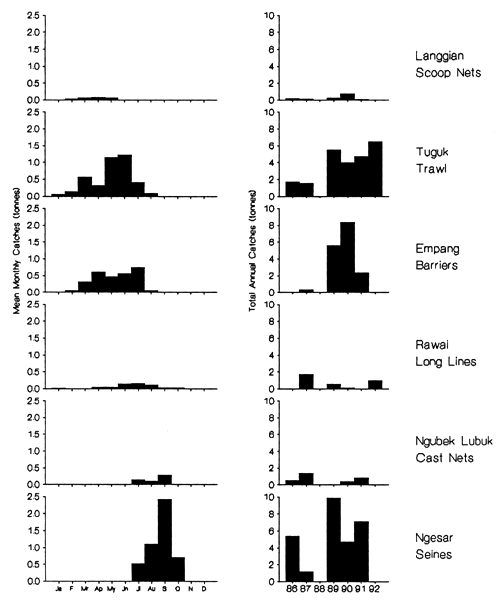
Examining the River Lempuing catches in more detail, catches in the river sub-unit (not including the adjacent floodplain habitats) were found to vary significantly across the year and also between years (Figure 4.2). In this river, fishing first becomes effective in the high waters of January or February, when prawns are taken by scoop nets at night. With fish migrating with the falling waters, the river tuguks and empangs become effective between March and July. Rawai long lines are then fished in the lower waters when fish settle in the river for the dry season. Finally, the ngubek lubuk cast nets are used in the deep holes in the river and whole sections are fished with the ngesar seines at the driest time of the year.
The main river catches, then, are taken by the tuguks and empangs, with the falling waters, and then later by the final ngesars. The tuguk catches are relatively stable in different years, but both the empangs and the ngesars are more variable in their success. The poor catches of 1987 from both gears are blamed by the fishermen on the successful ngesars of the two preceding years (Figure 4.2), suggesting that local fishers are aware of their potential to overexploit their resources. Since that time, however, catches have recovered to improved levels. The good catches of all the main gears in 1989 reflect the long dry season in that year (Figure 2.4). The ngesar, however, could not be fished in 1992 due to the high water levels which prevailed in the dry season that year.
While floodplain fisheries show a general pattern of gear use over the year, the detailed pattern in a given locality is due to the responses of fish to local hydrological conditions. This dependence restricts the use of generalised management tools, and calls strongly for a local involvement in management planning. The wide variation in local catch patterns is illustrated in this section using catch data sampled in 1995 from different barrier traps during project R5953 on the River Lempuing in Indonesia (MRAG, 1997). In 1995, the River Lempuing drawdown began in May, but was interrupted in mid-season by a large flood between late June and early July. The dry season then continued until the end of September, before a reasonably steady flood over October and November (see water height line in Figure 4.3).

Figure 4.1 Between site comparisons of the seasonality of water levels and fish catches from selected, important gear types (from Hoggarth and Kirkwood, 1996).
Seasonality of floodplain / lake barrier traps
Catches in the kilung barrier traps stretched across the channels between the lake waterbodies and the River Lempuing were highly seasonal. In Danau Besar lake, the largest lake in the Lempuing lake district, and furthest from the main river channel (see Figure 2.3), large catches were only taken in the kilung when waters were rising, not when they were falling. Such catch pulses were observed in three separate times of the year, in March, June/July and November (Figure 4.3, top-left graph). In contrast, the largest kilung catches in Lebung Sulit lake, smaller and closer to the main river, showed the more expected catch seasonality during both the early and late drawdown periods.
These differences are interpreted to reflect the different depths of the two lakes. Lebung Sulit is relatively shallow and dries out completely during the dry season, while Danau Besar always retains some water. Fish therefore must emigrate from Lebung Sulit as the dry season approaches while those in the larger Danau Besar may remain in this waterbody over the whole the dry season. The catches in Danau Besar during flood events were presumed to indicate the attraction of lake-resident fish for incoming fresh water from the river. The large size of the catches in November from Danau Besar demonstrate that many fish are able to survive the dry season in this deep waterbody.

Figure 4.2 Average monthly catches (left) and total annual catches (right) in years 1986–92, from the six main river gears at the Lubuk Lampam auction unit on the River Lempuing (1988 catch data not available by gears; from Hoggarth and Utomo, 1994).
Seasonality of riverine barrier traps
Similar differences were also seen between different locations on the main Lempuing River channel. Longitudinal fish migrations along the Lempuing river were shown by large catches in the riverine tuguk and corong barriers especially during the first half of the drawdown between April and May (Figure 4.3, right side graphs). Significant catches were also observed during the June/July early reflooding at the upstream sites, but less so at the downstream savanna river sites. After this time, very few fish were caught in the riverine barriers during the second drawdown period, and over the dry season. In the subsequent early flood season, longitudinal migrants were again caught in riverine barriers though in smaller numbers, reflecting the catches taken over the dry season. The catches taken during this flood season confirm the ability of these barrier gears to catch whitefish on their spawning migrations.
The seasonality of fish catches shown above is partly due to numbers and weights of fish available (which increases over the flood season) and also to the efforts made by fishers. It is also largely due to changes in the effectiveness or ‘catchability’ of gears. Catchability varies both due to the movements of fish, as shown for barrier traps above, and to the ability of gears to catch those fish present. This ability is generally at its lowest in the high water season when fish can easily avoid fishing gears, and at its highest when fish become stranded in dry season waterbodies. As an extreme illustration, the catchability of dewatering may vary from zero in the flood (since no waterbodies could be pumped dry) up to almost 100% in the dry season when virtually all the fish present in a waterbody may be captured.
![]() | ![]() |
![]() | ![]() |
Figure 4.3 Subsampled daily fish catches (up to six days of data per month) of kilung floodplain/lake barrier traps and tuguk/corong riverine barrier traps during 1995 at different locations in the River Lempuing, Indonesia. Lake Danau Besar is larger and further from the main river than Lake Lebung Sulit; the forest river region is upstream of the savanna river region. (after MRAG, 1997).
An indication of the seasonality of fishes'overall catchability to all types of fishing gears was determined for Bangladesh key fish species by project R5953, from the relative percentages of tagged fish released in each month, which were subsequently recaptured in either the same or the next month (see Halls et al, in press (b) for further details).
All the tagged species were found to be highly vulnerable to capture between February and April (especially in March, Figure 4.4), when fish are most concentrated in the dry season pools, lakes and river sections (Figure 2.8). All three of the species tagged in significant numbers in November. (A. testudineus, C. striatus and W. attu) also showed extremely high recapture rates at this later time of year, when water levels are falling. Compared to these two main capture seasons, the relatively non-migratory C. striatus and P. sophore blackfish were rarely recaptured during the flood season, May to October, while the highly migratory C. catla and G. giuris whitefish remained relatively highly catchable over this season (Figure 4.4).
These data confirm that barrier and hoovering gears used in the drawdown and dry season respectively are the most effective types of gears in these fisheries. The ability of these gears to produce large catches for relatively little effort produces high demand for access to good fishing sites (channels for barriers, dry season waterbodies for hoovers), as shown in the next section. The effective control of such gears - allowing some cost-effective use, but preventing the total collapse of the stocks - provides the key to floodplain fisheries management.
![]() | ![]() |
![]() | ![]() |
![]() | ![]() |
Figure 4.4 Percentages of tagged fish of each key species, released in each month, and subsequently recaptured in either the same or the next calendar month at the Bangladesh PIRDP study site. Figures above bars indicate the total numbers of tagged fish released (from Halls et al, in press (b)).