Ciudadela Los Esteros, Manzana 3A, Villa 45
Guayaquil, Guayas, Ecuador

ABSTRACT
This document describes the available information concerning shark fisheries in Ecuadorian waters. A brief general description of the main resources caught, the artesanal and industry fishery and gears used is given. The incidental shark catch is mentioned which comprises 13 families and 38 species. In the next section the main fisherie zones are indicated together with the associated species according the fisherie arts used and the artesanal and industrial systems, pointing out that in more cases the fisherie totals correspond to the incidental shark fisherie. The historical evolution of shark fisherie and the capture of this resource is also detailed pointing out the more important changes that have ocurred. In the last pages a detail on the national consuming levels and the shark export is included pointing out that the latest figures represented about US$ 34 209 000 between 1984 and 1995 comprising shark bodies, fins and other byproducts and detailing consuming countries of these exports. Reference is also made to the official organisms controling the fisherie in Ecuador, resuming the updated regulations concerning the shark resource. These data are attached to this document. In the last analysis a brief statistical fisherie revision concerning catch, processing and approach to the related data is given pointing out the existing limitations. Finally, some comments are presented on the lack of specific studies concerning to the shark resource and the need of an effort at regional level to assure the rational shark explotation and sustentability.
1. INTRODUCCION
La República del Ecuador se encuentra en la América del Sur y forma parte de los países que conforman la Región del Océano Pacífico Sur Oriental; esta conformada por cuatro regiones: Costa, Sierra, Oriente y la Insular o Galápagos (provincia de Galápagos) (Figuras 1 y 2).
El sector pesquero ecuatoriano está regulado por las instituciones siguientes: el Ministerio de Comercio Exterior, Industrialización y Pesca; la Subsecretaría de Recursos Pesqueros (SRP); la Dirección General de Pesca (DGP); y de la investigación pesquera el Instituto Nacional de Pesca (INP). En general, en el país existen dos tipos de flotas pesqueras: industrial y artesanal. La flota industrial esta compuesta por: barcos cerqueros sardineros (“bolicheros”), barcos atuneros, barcos arrastreros camaroneros, y, los barcos palangreros (extranjeros) que operan bajo la modalidad de contratos de asociación. La flota artesanal considerada como una flota de pequeña escala, está compuesta principalmente por embarcaciones de madera y embarcaciones de fibra de vidrio, aunque también existen los bongos, las balandras y pequeños barcos que hacen las veces de barcos nodrizas (estos barcos llevan a remolque entre tres y hasta 15 embarcaciones de fibra de vidrio).
Los recursos pesqueros disponibles, comprenden diferentes especies de peces pelágicos pequeños como el caso de la macarela, la sardina, la pinchagua; así como también peces pelágicos grandes como el dorado, el atún, los picudos; peces demersales como la corvina de roca, los pargos, las chernas, los muricos, la corvina plateada y afines; varias especies de tiburones, crustáceos y moluscos. El recurso tiburón siempre está presente en los desembarques de la pesca; pero su captura se realiza en forma incidental (con raras excepciones de pesca dirigida en la pesca artesanal); es decir, no está considerada como una especie objetivo, a pesar de que existe un mercado interno y de exportación.
Con el transcurrir de los años, hasta 1997 diferentes autoridades pesqueras han expedido una serie de Acuerdos, regulando la captura y comercialización del tiburón y sus subproductos.
Figura 1
Ubicación geográfica de la Republica del Ecuador y los principales puertos monitoreados del sector pesquero artesanal en la costa continental

Figura 2
Ubicación geográfica del archipielago de Colón o Galapagos, Provincia de Galapagos (Ecuador)

Los tiburones hasta mediados de la década de los ochenta se los consideró como un recurso relativamente abundante en aguas ecuatorianas. Son capturados principalmente junto a especies de peces pelágicos grandes como el dorado (Coryphaena hippurus), los picudos de la familia Isthiophoridae, los atunes del género Thunnus; y, el pez espada (Xiphias gladius). En cuanto a las capturas o a la estimación de sus desembarques realmente se cuenta con muy poca información. Posiblemente uno de los primeros trabajos publicados sobre los desembarques artesanales en la costa continental del Ecuador, es el de Herdson et al. (1985), en donde se hace referencia a los volúmenes de tiburones desembarcados en el año de 1982.
Luego, a partir de 1989, el Instituto Nacional de Pesca (INP) retomó el monitoreo en varias caletas pesqueras ubicadas a lo largo de la costa continental, actividad que se ha mantenido hasta la presente fecha (1998); adicionalmente, para el período 1992–1997 (primer trimestre) la Subsecretaría de Recursos Pesqueros (SRP) y el INP implantaron un Programa de Observadores, los que se encargan de registrar las capturas a bordo de los barcos palangreros foráneos que operan bajo contrato de asociación con empresas pesqueras nacionales; actualmente (agosto 1998) se ha reiniciado dicho programa.
Por otro lado, existe un mercado nacional del que se conoce muy poco, este mercado esta dado, tanto para la región de la costa como para la región interandina o sierra; además, también existe un mercado de exportación, donde por lo general las especies que mayormente se exportan son el Tiburón Zorro o Rabón (Alopias spp.) y el Tiburón Tinto (Isurus oxyrinchus).
La información con la que se contó para el presente trabajo, procede de varias fuentes, una proveniente de los datos oficiales proporcionados por la Dirección General de Pesca (DGP), y, de la SRP en cuanto a politicas y regulaciones. Otra, proveniente del INP en cuanto a estadísticas de los desembarques pesqueros artesanales, y de la flota industrial palangrera. El objetivo principal de este reporte es describir en forma general la actividad pesquera en el Ecuador, con relación al recurso tiburón.
2. EL RECURSO
2.1 La composición de especies en la pesca
En aguas ecuatorianas se han registrado 13 familias y 38 especies de tiburones, según se detalla en la Tabla 1. Sin embargo, las siguientes cinco familias de tiburones son las que más frecuentemente se registran en los desembarques: Alopiidae, Carcharhinidae, Lamnidae, Sphyrnidae y Triakidae (ver Tabla 2).
2.2 Distribución y zonas de pesca
Las especies más importantes dentro de las pesquerías ecuatorianas son las pertenecientes a las familias siguientes: Alopiidae, Carcharhinidae, Lamnidae, Sphyrnidae y Triakidae.
El rango de distribución zoogeográfica para los tiburones de la familia ALOPIIDAE es lo que se conoce como provincia Panameña (Chirichigno et al. 1982) área pesquera 77 (FAO) que abarca desde los 32°43'N hasta los 05°00'S; y, en la subárea pesquera 87A (FAO que va desde los 05°01'S hasta los 06°00'S. Su hábitat es pelágico oceánico costero.
La principal zona de pesca donde opera la flota artesanal está comprendida entre las 25 y 30 millas hasta las aproximadamente 80 y 90 millas mar afuera, contadas a partir de la línea de costa continental, sin embargo, el Tiburón zorro o Rabón (Alopias spp.) es capturado en las áreas cerca al talud continental hasta 10 brazas de profundidad. Por otro lado, la flota palangrera reporta capturas en los alrededores de las Islas Galápagos (noreste, sureste y este) (Rodríguez y Morán 1996).
| Familia | N.C. | N.L. | N.O.E. | N.O.I. |
|---|---|---|---|---|
| Alopiidae | Alopias superciliosus | Tiburón Zorro, rabudo, rabón, tiburón gris, tiburón amargo | Zorro ojón | Bigeye thresher |
| Alopias vulpinus | Tiburón Zorro | Zorro | Thresher shark | |
| Carcharhinidae | Carcharhinus albimarginatus | Tintorera | Tiburón punta blanca | Silvertip shark |
| Carcharhinus altimus | Tiburón, tollo | Tiburón baboso | Bignose shark | |
| Carcharhinus falciformes | Tiburón tollo | Tiburón jaquetón | Silky shark | |
| Carcharhinus galapagensis | Tiburón de Galá- pagos, tiburón, tiburón gris, tollo | Tiburón de Galá- pagos | Galápagos shark | |
| Carcharhinus leucas | Tiburón toro, tiburón ñato, tiburón gris, tollo, come perro | Tiburón sarda | Bull shark | |
| Carcharhinus limbatus | Tiburón con aletas negras, tiburón, tollo | Tiburón macuira | Blacktip shark | |
| Carcharhinus longimanus | Tiburón aleta blanca, tiburóon | Tiburón oceánico | Oceanic whitetip shark | |
| Carcharhinus obscurus | Tiburón oscuro, tiburón | Tiburón arenero | Dushy shark | |
| Carcharhinus porosus | Tiburón gris, tiburón, tollo, cazón | Tiburón poroso | Small tail shark | |
| Galeocerdo cuvieri | Tiburón tigre, tiburón gato, tintorera, gata | Tintorera | Tiger shark | |
| Nasolamia velox | Tiburón pico blanco, tiburón, tollo | Cazón pico blanco | White nose shark | |
| Negaprion brevirostris | Tiburón amarillo, tiburón | Tiburón galano | Lemon shark | |
| Prionace glauca | Tiburón azul, tinto | Tiburón azul | Blue shark | |
| Rhizoprionodon longurio | Tiburón hocicón, tiburón, tollo | Tollo hocicón | Pacific sharprose shark | |
| Triaenodon obesus | Tintorera de Galápagos | Cazón blanco de arrecife | Whitetip reef shark | |
| Cetorhinidae | Cetorhinus maximus | Tiburón | Peregrino | Basking shark |
| Echinorthinidae | Echinorhinus cookei | Tiburón espinoso | Tiburón negro espinoso | Prickly shark |
| Ginglymostomatidae | Ginglymostoma cirratum | Bañay, tiburón de arena, gullamano | Gata nodriza | Nurse shark |
| Heterodontidae | Heterodontus mexicanus | Tiburón gata | Dormilón mexicano | Mexican bullhead shark |
| Heterodontus quoyi | Tiburón gata de Galápagos | Dormilón de Galá-pagos | Galápagos bullhead shark | |
| Llamnidae | Carcharodon carcharias | Tiburón blanco | Jaquetón blanco | Great white shark |
| Isurus oxyrinchus | Tiburón tinto, tintorera, tinto | Marrajo dientuso | Shortfin mako | |
| Rhincodontidae | Rhincodon typus | Tiburón ballena | Tiburón ballena | Whale shark |
| Scyliorhinidae | Apristurus spongiceps | Tiburón | Pejegato marrón | Brown catshark |
| Sphyrnidae | Sphyrna corona | Cachona con cabeza de pala, tiburón martillo, cornuda | ||
| Sphyrna lewini | Cachona común, tiburón martillo, cachona, cachuda, cornuda | Cachona común, | Scalloped hammerhead | |
| Sphyrna media | Tiburón martillo, cachona, cornuda | Cornuda cuchara | Scoophead | |
| Sphyrna mokarran | Tiburón martillo, cachona, cornuda | Cornuda gigante | Great hammerhead | |
| Sphyrna tiburo | Cachona, cornuda tiburón martillo | Cornuda de corona | Bonnet head | |
| Sphyrna zygena | Tiburón martillo, cornuda, cachona, cachuda | Cornuda cruz | Smooth hammerhead | |
| Squalidae | Centroscyllium sp. | Tollo negro | Tollo negro | Black dogfish |
| Squatinidae | Squatina californica | Angelote, pez angel | Pez ángel del Pacifico | Pacific angel shark |
| Triakidae | Mustelus dorsalis | Tollo blanco, tollo, cazón de leche | Tollo blanco | Sharptooth smoothhound |
| Mustelus henlei | Tollo de leche, tollo, cazón de leche | Tollo de leche | Brown smoothhound | |
| Mustelus lunulatus | Tollo mamón, tollo cazón de leche, vieja | Tollo mamón | Sicklefin smoothhound | |
| Triakis acutipinna | Mamona, vieja | Tollo del Ecuador | Sharpfin houndsharla |
Abreviaciones:
N.C.: Nombre cientifico
N.L: Nombres locales
N.O.E.: Nombre oficial de FAO en español
N.O.I.: Nombre oficial de FAO en inglés
Fuentes: Bostock y Herdson (1985); Fisher et al. (1995); Grove et al. (1984); Martinez et al. (1997); Massay (1983); Solis
(1998); Villón et al. (1998).
| Familia | Nombre cientifico | Nombres locales | Region | Fuente |
|---|---|---|---|---|
| Alopiidae | Alopias superciliosus | Tiburón zorro, rabón, rabudo, | C, I | 1, 2, 3 |
| Alopias vulpinus | Tiburón zorro, razón, rabudo, | C, I | 1, 2, 4 | |
| Carcharhinidae | Carcharhinus leucas | Come perro, Tiburón zorro, Tiburón ñato | C | 2 |
| Carcharhinus porosus Carcharhinus spp. | Tiburón gris, tollo, Tiburón meón, tiburón punta negra | C C | 2 2, 3, 4 | |
| Galeocerdo cuvieri | Tiburón tigre, gata, tintorera, | C | 2 | |
| Prionace glauca | Tiburón azul, tiburón aguado | C, I | 1, 2, 3, 4 | |
| Lamnidae | Isurus oxyrinchus | Tiburón tinto | C | 2, 4 |
| Sphyrnidae | Sphyrna lewini | Tiburón martillo, cachona, cachuda | C, I | 1, 2, 3, 4 |
| Sphyrna tiburo | Tiburón martillo, cachona, cachuda | C, I | 1, 2, 3, 4 | |
| Triakidae | Mustelus spp. | Tollo, cazón de leche, mamora, vieja | C | 2, 3, 4 |
Abreviaciones:
C: Costa Continental
I: Región Insular (Provincia de Galápagos)
Fuentes:
1) Fundación Natura y Fondo Mundial para la Naturaleza (WWF) (1997 – 1998)
2) Martinez et al. (1997)
3) Solis (1998)
4) Villón et al.(1998)
Los tiburones de la familia Carcharhinidae se encuentran también en las áreas pesqueras 77-87 A, B, C (FAO). Su hábitat es pelágico costero, pelágico oceánico, bentónico de plataforma y estuarino de agua dulce. La pesca artesanal captura las especies de esta familia tanto en el área de la plataforma continental como a nivel pelágico costero-oceánico, hasta aproximadamente las 80 millas mar afuera; las áreas de pesca de estas especies reportadas por la flota palangrera son las mismas mencionadas anteriormente.
En cuanto a las especies de la familia Lamnidae, específicamente el Tiburón tinto (Isurus oxyrinchus) se encuentra en las áreas pesqueras 77–87 A, B, C (FAO). La flota pesquera artesanal lo captura en las mismas áreas de pesca de las familias de tiburones mencionadas anteriormente, pero principalmente entre cinco y 10 brazas de profundidad.
Las especies de tiburones de la familia Sphyrnidae, se encuentran en las áreas pesqueras 77–87 A, B, C (FAO), dependiendo de la especie. Su hábitat es de tipo pelágico, oceánico, bentónico de plataforma y esturino. La flota artesanal captura a estos especímenes en la superficie, como el fondo; con redes de enmalle de media agua, con redes de enmalle de fondo, y, con los trasmallos de fondo camaronero. Para el caso de la flota industrial palangrera, también se reportan capturas, por lo que su rango de distribución en la pesca es similar al de las familias de tiburones anteriormente mencionadas; también es capturado por la flota arrastrera camaronera como fauna de acompañamiento.
Las especies de la familia Triakidae del género Mustelus, su distribución zoogeográfica comprende las áreas pesqueras 77–87 A, B (FAO). Su hábitat es bentónico de plataforma; se los captura artesanalmente con redes de enmalle de fondo, con trasmallos camaroneros; a nivel de la flota industrial aparecen como fauna de acompañamiento de los barcos arrastreros camaroneros.
2.3 Especies asociadas
Los tiburones son parte de una captura multiespecífica, a continuación se mencionarán las otras especies que aparecen en estas capturas según el tipo de arte de pesca utilizado.
En la flota artesanal:
Espinel de superficie (fino y grueso): especies objetivo el Dorado (Coryphaena hippurus), los Picudos de la familia Isthiophoridae y el Pez Espada (Xiphias gladius), adicionalmente se capturan: el Atún Aleta Amarilla (Thunnus albacares), el Atún Ojo Grande (T. obesus), el Huayaipe (Seriola spp.), el Wahoo (Acanthocybium solandri), la Sierra (Scomberomorus sierra), el Miramelindo (Lepidocybium flavobrunneum), el Calamar Gigante (Dosidicus gigas) y ciertas especies de Rayas.
Red de enmalle de superficie o “trasmallo de superficie”, y, la Red de enmalle de media agua o “Trasmallo de media agua”: especies objetivo son el Atún aleta amarilla, el Atún ojo grande, otras especies de túnidos, y, los Picudos de la familia Isthiophoridae; adicionalmente, se capturan: el Dorado, el Pez espada, el Huayaipe, el Wahoo, la Sierra, el Miramelindo, y, el Calamar gigante.
Línea de mano de media agua - utilizada con el apoyo de luces (focos) - “Pesca a la luz”: especies objetivo son el Atún aleta amarilla, el Atún ojo grande; adicionalmente se captura: el Dorado; el Bonito (Euthynnus lineatus); los Picudos de los géneros Makaira, Tetrapturus, y, Istiophorus ; y, el Calamar gigante.
Línea de mano de fondo: especies objetivo son varias especies de peces demersales de alto valor comercial como, el Pargo (Lutjanus spp.); la Cherna (Mycteroperca xenarcha); el Colorado (Epinephelus acanthistius); el Murico (E. labriformits); el Huayaipe; la Perela (Paralabrax spp.); el Cabezudo (Caulolatilus affinis); la Picuda (S. ensis); y, adicionalmente se capturan: otras especies de Serranidos, el Pez Chancho (Balistes polylepis), varias especies de Anguilas, Morenas y Rayas.
Espinel de fondo: son especies objetivo la Corvina de Roca (Brotula clarkae); el Cabezudo; y adicionalmente se capturan una diversidad de especies de peces demersales de mediano y bajo valor comercial, estas últimas conocidas en su conjunto como “Menudo”, también varias especies de Anguilas, Morenas y Rayas.
Red de enmalle de fondo para peces: son especies objetivo el pargo, el Lenguado (Paralichthys spp.) capturado con una red específica conocida como red lenguadera, la Corvina Plateada (Cynoscion albus), el Robalo (Centropomus spp.); y adicionalmente se captura una diversidad de especies de peces de fondo de mediano y bajo valor comercial, como también Rayas.
Trasmallo de fondo “camaronero”: especie objetivo es el Camarón blanco o Langostino (Penaeus spp.); y adicionalmente se captura una variedad de multiespecies de peces demersales de mediano y bajo valor comercial, como también rayas.
En la flota palangrera (asociada):
Palangre de profundidad: especie objetivo el Atún Ojo Grande (Thunnus obesus), adicionalmente se captura: el Atún Aleta Amarilla (T. albacares), el Atún Albacora (T. alalunga), el Atún Barrilete (Katsuwonus pelamis), el Picudo Rayado (Tetrapturus audax), el Picudo Azul (Makaira mazara), el Picudo Negro (M. indica), el Pez Espada (Xiphias gladius), y el Pez Vela (Istiophorus platypterus), según Rodríguez y Morán (1996).
2.4 Discusión
Los desembarques de las diferentes especies de tiburones de las familias Alopiidae, Carcharhinidae, Lamnnidae, Sphyrnidae y Triakidae se realizan a través del sector artesanal. Al ser los tiburones una captura incidental o parte de una captura multiespecifica, el mayor esfuerzo pesquero proviene de la flota especializada en capturar especies de peces pelágicos grandes como: El Dorado, los Atunes de la familia Scombridae; los Picudos de la familia Istiophoridae y el Pez espada; y, de una pequeña pesquería artesanal “dirigida” (una excepción) hacia ciertas especies de tiburones de la familia Carcharhinidae y del Tiburón Tinto (Isurus oxyrinchus) de la familia lamnidae. Por lo tanto, los tiburones tienen una importancia socio-económica, ya que forman parte de la comercialización de los productos pesqueros tanto en el mercado nacional como internacional.
En cuanto a la flota palangrera que tiene como objetivo la captura del Atún ojo grande (Tunnus obesus), las especies acompañantes provenientes de la captura incidental son exportadas en un cien por ciento a Japón, con excepción de los Tiburones (Rodríguez y Morán 1996). Entonces, se puede asumir, que dicha flota solo aprovecha las aletas de los tiburones para exportación y que sus cuerpos son comercializados en el mercado interno, de acuerdo a lo que estipula el Acuerdo No. 097 de la Subsecretaría de Recursos Pesqueros sobre la Captura y Comercialización del Tiburón (ver Anexo 1).
3. LA PESCA
Con la finalidad de facilitar la comprensión del presente reporte, se lo subdividirá entre lo que sucede con el recurso tiburón dentro de la flota pesquera artesanal o de pequeña escala, y lo que sucede dentro de la flota industrial (flota palangrera asociada), que son las que principalmente desembarcan tiburones.
Flota artesanal: No existe una pesquería dirigida específicamente a extraer exclusivamente el recurso tiburón; sin embargo, es necesario mencionar, que excepcionalmente, existen algunos casos de pescadores artesanales que tienen como pesca objetivo al tiburón.
El recurso tiburón principalmente forma parte de los desembarques artesanales cuando la flota dirige su esfuerzo pesquero hacia la captura de peces pelágicos grandes, utilizando para el efecto, los siguientes artes de pesca: la Red de enmalle de “superficie” (“Trasmallo de superficie”) de una longitud aproximada de 173m × una altura de 8m, con un luz de malla de 140mm (de 5 a 7 paños); el Espinel de superficie (“Palangre de superficie”) o “Espinel doradero”, de una longitud de 10 040m con reinales de 5.80m donde se sujetan aproximadamente unos 500 anzuelos (#4–#5); y, la Linea de mano, formada por un cordel de PA #120 trenzado de 25 a 40m entrelazado por un sacavuelta a una extensión (3.5 – 5.5m) de PA monofilamento de 2.5mm de diámetro, en cuyo extremo libre va un anzuelo #36 – #40 “Chino” (sirve para pescar Atún Aleta Amarilla o Atún Ojo Grande - Albacoras - y el sistema se lo conoce como “pesca a la luz”, porque se emplean focos).
Por lo general, los desembarques de tiburones se realizan a lo largo de todo el año; sin embargo, es probable que en el caso de ciertas familias de tiburones, la mayor frecuencia de captura se dé hacia el segundo semestre de cada año.
Lo anterior se explicaría, por lo siguiente: (1) debido a que es en esa época, cuando con mayor frecuencia se utiliza la Red de enmalle de superficie; la que aparentemente dentro de las especies de peces pelágicos grandes es menos selectiva que el Espinel de superficie y la Linea de mano; (2) por condiciones oceanográficas, los arribamientos a las áreas de pesca se dan en esa época.
Entre diciembre y marzo de cada año, es la época que con mayor frecuencia la flota artesanal dirige su esfuerzo a la captura del dorado (utilizando el Espinel de superficie) donde “inciden-talmente” también se capturan tiburones.
Dentro de las excepciones o particularidades que han podido ser observadas (pescadores artesanales que tienen como pesca objetivo el recurso tiburón), éstas están concentradas en un reducido grupo de pescadores artesanales de la zona de Puerto Bolívar (provincia de El Oro), de la caleta pesquera de Santa Rosa (Provincia del Guayas), y en la caleta pesquera de Puerto López (provincia de Manabi); ellos realizan la pesca del tiburón utilizando alternativamente tres tipos de artes diferentes: una Red de enmalle de fondo (material PA #120 trenzado) de una longitud de 700–1000 brazas con una altura de 3 brazas, con un ojo de enmalle de 12" aproximadamente, la cual es dejada en el fondo por varias horas, para luego ser recogida; el segundo arte, consiste en un Espinel (Palangre) se superficie de 100 hasta 300 reinales (usan de flotadores pomas plásticas de un galón) separadas cada 10 brazas, cada reinal de 10 brazas, en su extremo libre tiene colocado un metro de alambre del cual va sujeto un anzuelo “Chino” - dirigen su esfuerzo a la captura del Tiburón tinto (Isurus oxyrinchus) -, el tercer arte consiste en un Espinel de fondo “tiburonero”, de una longitud de 3 580m con reinales de 3.72m, desde donde se sujetan 110 anzuelos (#3/0); siendo mantenido el arte en el fondo marino, aproximadamente durante 12 horas (utilizan como carnada pedazos de rayas y/o morenas, obtenidas de la pesca acompañante del camarón de los barcos arrastreros).
Cabe mencionar que estos pescadores tienen una zona de operación bastante amplia, ya que exploran el área comprendida entre Puerto Bolívar (al sur de la costa continental) y la zona norte de la provincia de Manabí.
Flota industrial: Dentro de la flota industrial que extrae tiburones, está la flota palangrera asociada, que tiene como especie objetivo el Atún ojo grande (Thunnus obesus); sin embargo, las capturas incidentales reportadas, en orden de importancia son el tiburón, el picudo, el pez espada, y, el dorado. La flota operativa entre los años de 1993 y 1997 fluctuó entre 20 y 31 embarcaciones; con un tonelaje de registro neto (TRN) entre 24 y 494; el arte que utilizan los barcos palangreros es el palangre, conocido en inglés como long-line, y, en Ecuador como “Espinel”.
El Palangre utilizado por la flota en mención puede llegar a medir hasta 46km de longitud y pescar entre las 20 y 25 brazas (35–50m) de profundidad según Herdson et al. (1985); sin embargo, Rodríguez y Morán (1996) señalan que dichos palangres pueden sobrepasar los 135km de longitud. Complementariamente se debe mencionar, que dentro de la flota industrial, la flota arrastrera camaronera también captura como fauna acompañante a los tiburones, principalmente de tamaños pequeños y medianos de las familias Carcharhinidae, Sphyrnidae y Triakidae (Martínez 1986).
3.1 Evolución de la pesca
Existe escasa información sobre la evolución histórica de la pesca del recurso tiburón; sin embargo, Herdson et al. (1985) estimó 1778t de tiburón desembarcadas artesanalmente en la costa continental en 1982. El INP estimó que entre 1989 y 1991 los desembarques de tiburones, en 8 puertos pesqueros monitoreados en la costa continental, alcanzaron las 8451t; así mismo, indica que entre 1993 y 1995 se desembarcaron en esos mismos puertos unas 12 190t de tiburones (Figura 3).
Figura 3
Estimación anual del desembarque artesanal total y de tiburones (INP 1989–1995)

Martínez et al. (1996), en un estudio realizado sobre los desembarques artesanales en la Caleta pesquera de Puerto López (Provincia de Manabi) durante 1996, estimó que el desembarque total de tiburones fue de 125t, dentro de las cuales la familia Alopiidae representó el 37%, la Carcharhinidae el 37%, la Sphyrnidae el 13%, la Triakidae el 11%, y, la Lamnidae el 2%.
En el caso de la flota industrial palangrera los registros sobre la captura de tiburones para el período comprendido entre 1989 y 1996, reportan un total de 4634t, lo que representa el 21% del total de las capturas para ese período (Figura 4).
Sin embargo, si se utilizan las cifras de exportación de aletas de tiburón (Figura 5) proporcionadas por la Dirección General de Pesca para el período 1974–1997, y asumimos que el rendimiento promedio de las aletas secas es de aproximadamente entre el 1 y 2% del peso vivo del tiburón, según Kreuzery Ahmed (1978) y Tamkawa (1971) citados por Bostock y Herdson (1985); se puede estimar que con base a la exportación de aletas durante el periodo en mención, la captura de tiburón por año estado comprendida entre 3000t (1975) y 9800t (1990); salvo los años 1978, 1996 y 1997 donde las cifras superaron las 10 000t (siendo el máximo 12 200t en 1996).
3.2 Características y evolución de la flota y esfuerzo pesquero
La flota artesanal posiblemente evolucionó desde el momento en que las embarcaciones especializadas en la captura de peces pelágicos grandes comenzaron a ser reemplazadas por las embarcaciones de fibra de vidrio, y se incorporaron los motores fuera de borda a gasolina hasta quedar establecido el motor de 75 HP de caballos de fuerza. Otro cambio importante es la conformación de las unidades productivas en las que se unen embarcaciones artesanales con barcos medianos que hacen las veces de “barcos nodrizas”.
Figura 4
Capturas de la flota palangrera, 1989–1996

Figura 5
Cifras de exportación de aletas de tiburón (1974–1997)

Por otro lado, con respecto a la pesca industrial, Rodríguez y Morán (1996) señalan en el caso de la flota palangrera asociada, los cambios más importantes han ocurrido sobre todo en la profundidad de pesca, ya que hasta mediados de los años 70 la pesca se realizaba con el sistema convencional entre 100 y 170m de profundidad y a partir de 1974 hubo un cambio sobre todo para pescar en aguas ecuatorianas, ya que según estudios hechos por Saito (1973 y 1975) y Suzuki et al. (1977) en los anzuelos más profundos había mayor captura de Atún ojo grande, por lo que se hicieron cambios al palangre y ahora los anzuelos trabajan entre 100 y 300m de profundidad.
3.3 Desarrollo y estado actual del destino de los procesos en la pesca
3.3.1 El proceso de cosecha
Como se mencionó anteriormente, el recurso tiburón no es una pesca objetivo; por tanto, estrictamente, no se podría hablar del desarrollo histórico de la pesquería en el Ecuador. Sin embargo, en términos generales se tratará sobre el desarrollo histórico de la pesca desarrollada por la flota artesanal y de la flota industrial palangrera, que son en definitiva las que capturan incidentalmente tiburones.
Flota pesquera artesanal: De la flota artesanal que también puede ser denominada como flota de pequeña escala, realmente no se conocen sus orígenes; sin embargo, aparentemente dentro de las décadas hasta antes de los años 70, se considera que era una pesca de subsistencia; estando conformada por embarcaciones de madera y sus áreas de pesca eran bien costeras (no superaban las 25 millas contadas a partir de la línea de costa).
A partir de 1979, comienza la introducción de nuevas embarcaciones y por tanto, la sustitución de la flota tradicionalmente de madera; y se comienzan a observar las primeras embarcaciones de fibra de vidrio, las que fueron progresivamente creciendo en número durante la década de los 80, hasta constituir en la actualidad un grupo importante, que estan logrando operar en un área mucho más amplia (aprox. hasta 120 millas contadas a partir de la línea costera).
Una de las primeras publicaciones disponibles sobre el sector pesquero es el “Segundo Censo Pesquero Nacional 1971, Volumen I, Pesca Artesanal”, en el que se señala que el total de embarca-ciones en la franja costera continental era de 4 872; entre 1994–1995 existían para esta misma franja costera 11.917 embarcaciones, según Revelo (1996). En base a estas últimas cifras, obviamente habría que determinar qué cantidad de estas embarcaciones ejercen el esfuerzo pesquero sobre los recursos de peces pelágicos grandes, dentro de los que se captura incidentalmente al recurso tiburón.
En el Anexo 2 se incluyen vistas fotográficas del desembarque de tiburones provenientes de las capturas artesanales de la costa continental.
Cabe mencionar, que a finales de la década de los 80 nace la modalidad del sistema de “barco madre”, es decir barcos de madera tipo balandra o tipo arrastreros camaroneros que remolcan entre tres y hasta 18 embarcaciones de fibra de vidrio hasta y desde las zonas de pesca; dichos barcos nodrizas prestan el apoyo logístico a estas embarcaciones menores y almacenan las capturas. El promedio de duración de estas salidas al mar es entre 8 y 10 días; utilizando el sistema de “pesca a la luz”, en el que se emplean líneas de mano de media agua para la captura del Atún Aleta Amarilla y el Atún Ojo Grande.
Flota pesquera industrial: Se hará referencia únicamente a la flota industrial palangrera, por ser ésta la que captura incidentalmente con mayor frecuencia al recurso tiburón.
Suda (1965) citado en Rodríguez y Morán (1996) señala que desde finales de 1956 la flota palangrera atunera ha realizado sus actividades de pesca en el Océano Pacífico Oriental Ecuatorial, y a partir de 1961 comienzan a actuar en aguas ecuatorianas al norte y este de las Islas Galápagos y frente a las costas ecuatorianas a nivel de la línea ecuatorial, donde encontraron importantes centros de abundancia de Atún ojo grande.
Sin embargo, solamente entre 1975 y 1977 se establecen los primeros convenios entre dicha flota extranjera y las compañías pesqueras ecuatorianas; es decir, esta flota permaneció en dichas áreas de pesca por más de diez años sin control alguno y se asocian a las empresas pesqueras nacionales a partir de la creación de la Ley de Pesca y Desarrollo Pesquero (1974), la misma que en uno de sus capítulos regula la actividad de la pesca industrial de naves de banderas extranjeras y les prohibe pescar dentro de un área de 40 millas náuticas contadas desde las líneas de coasta tanto en el territorio continental como en el insular, según el Acuerdo No. 12263 del Ministerio de Recursos Naturales y Energéticos del 10 de diciembre de 1974 (Anexo 3), publicado en el Registro Oficial No. 703 del 17 de diciembre de 1974.
La pesca ilícita del tuburón, es detectada desde mediados de la década de los ochenta [comentarios sobre este tema son señalados por Yeats - com.pers. 1997 - (Anexo 4) y Piú (1998)], sobre todo dentro de la Zona de la Reserva de Rescursos Marinos del Archipiélago de Galápagos (provincia de Galápagos).
Las autoridades pesqueras de la época en que se creó Zona de la Reserva de Recursos Marinos del Archipiélago de Galápagos expidieron por primera vez un Acuerdo Ministerial, prohibiendo la pesca tiburón en las zonas de pesquera artesanal, y en las zonas de amortiguamiento (entre las 2 y 5 millas náuticas) (ver Anexo 5).
3.4 Mercados
3.4.1 Introducción
La comercialización del tiburón se realiza tanto en el mercado nacional como internacional.
Mercado nacional: Se conoce poco del mercado nacional o mercado interno del tiburón; Bostock y Herdson (1985) señalan que no existen las cifras exactas de consumo, las que no excederían las 500t por año. El flujo del recurso tiburón para el mercado interno se establece de la siguiente manera: pescador, comprador de playa, transportista, mayorista, minorista y finalmente al consumidor. Los comerciantes minoristas en los mercados, las lonjas o trozos del Tiburón Zorro las comercializan como “Picudo”; y los filetes o lonjas de tiburones de las familias Sphyrnidae y Triakidae, los venden como “Corvina”.
En la Tabla 3 se señalan los precios referenciales de tiburón obtenidos en la playa de Puerto López para los años 1996, 1997 y primer semestre de 1998 (precios que el comerciante mayorista paga al pescador artesanal - el pescador no recibe ningún dinero extra por las aletas de tiburón -), estos precios son muy similares a los encontrados en otras caletas pesqueras ubicadas a lo largo de la línea de costa continental.
En la Table 4, se señalan los precios referenciales de tiburón del mercado nacional para los años 1996, 1997 u primer semestre de 1998, estos precios son proporcionados por la Asociación de Exportadores de Pesca Blanca (ASOEXPEBLA), la cual recomienda a sus asociados los precios (sucres/libra) que se deben pagar por las diferentes especies de tiburones en el mercado nacional y que a su vez pasan a formar parte de la exportación de tiburón fresco y congelado.
Los precios del juego de aletas de Tiburón (cuatro aletas) en la playa varían de acuerdo a la especie, así tenemos por ejemplo, para el Tiburón Zorro entre S/.200 000 y S/.500 000; para el Tiburón Comeperro entre S/.300 000 y S/.1 000 000; para el Tiburón martillo (mediano y pequeño) entre S/.4000 y S/.15 000 (1 $ = S/.5555 sucres).
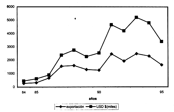
Mercado de exportación: De acuerdo a las estadísticas de la Dirección General de Pesca, para el período 1984–1995 (Figura 6), la exportación total de tiburones y subproductos, fluctuó entre 273t (1984) y 2483t (1993); siendo el total de exportaciones para este período de 17 775t lo que significó $ 34 209 000.
Los países de destino de las exportaciones de tiburón son los siguientes: Alemania, Australia, Bélgica, Brasil, Canadá, Colombia, Chescoeslovaquia, España, Francia, Holanda, Italia, Inglaterra, Japón, Portugal, Puerto Rico, Singapur y U.S.A. Los países destinatarios de los subproductos secos y/o salados (aletas, residuos de aletas o fibras de aletas, colas y pieles) son: Hong Kong, Japón Panamá, Singapur, Taiwan y U.S.A. En el caso de los congelados (aletas y cartiílagos) son: Japón y U.S.A. En resumen, el tiburón se comercializa en el mercado nacional en estado fresco para el consumo humano directo; en cambio en el mercado externo, se comercializa en estado fresco y/o congelado, así como a tracés de ciertos subproductos (alteas, cartílagos, colas y piel).
| Clase de tiburón | Forma del producto | Precio de playa (sucres/libra) | |||||||||||
|---|---|---|---|---|---|---|---|---|---|---|---|---|---|
| E | F | M | A | M | J | J | A | S | O | N | D | ||
| Zorro | H&G | 1000 | 1000 | 1000 | 1000 | 1000 | |||||||
| (Rabón) | 2000 | ||||||||||||
| Tollo | H&G | 1000 | 1000 | 1000 | 1000 | ||||||||
| Amargo o Meon | |||||||||||||
| Tollo | H&G | 1000 | 1000 | 1000 | 1000 | 1000 | 1000 | 1200 | 1200 | 1200 | |||
| 1500 | |||||||||||||
| Tinto | H&G | 1000 | 1000 | 1500 | 2000 | ||||||||
| 2000 | |||||||||||||
| Cachona | H&G | 1000 | 1000 | 2500 | 1200 | 1000 | |||||||
| Vieja | H&G | 8000* | 1000 | 900 | 1000 | ||||||||
| Tollo P. Negra | H&G | ||||||||||||
| Tipo de cambio promedio mensual (S/. por $) | 2923.78 | 2942.10 | 3002.57 | 3063.55 | 3103.57 | 3127.25 | 3167.25 | 3167.87 | 3251.09 | 3292.67 | 3362.00 | 3567.91 | |
1997
| Clase de tiburón | Forma del producto | Precio de playa (sucres/libra) | |||||||||||
|---|---|---|---|---|---|---|---|---|---|---|---|---|---|
| E | F | M | A | M | J | J | A | S | O | N | D | ||
| Zorro | H&G | 1125 | 833 | 1300 | 1800 | 1800 | 1600 | 2200 | 2000 | 2200 | 2000 | 2000 | 2000 |
| 1500 | 1600 | 2000 | 2750 | 2000 | 220 | 2400 | |||||||
| Comeperro | H&G | 2750 | |||||||||||
| Tollo | H&G | 600 | 636 | 1250 | |||||||||
| Amargo o Meon | 506 | 800 | 800 | 2000 | 2000 | 1200 | |||||||
| Tollo | H&G | 1000 | 1000 | 1000 | 1500 | 1200 | 1500 | 2000 | 1800 | 2000 | 1800 | 1800 | |
| 2000 | 2000 | 2000 | |||||||||||
| Aguado | H&G | 400 | 400 | ||||||||||
| Tinto | H&G | 1500 | 1500 | 1500 | 2000 | 2000 | 2000 | ||||||
| 2000 | 2000 | 2000 | 3000 | 2500 | |||||||||
| Cachona | H&G | 1200 | 1200 | 1500 | 1400 | 1000 | 1800 | 1500 | 2000 | 2000 | 2000 | 2000 | 2000 |
| 1300 | 2000 | 1500 | 2000 | 2000 | |||||||||
| Vieja | H&G | 660 | 2000 | 1000 | 1500 | ||||||||
| Tollo P. Negra | H&G | 2200 | 2000 | 2000 | |||||||||
| Tipo de cambio promedio mensual (S/.por $) | 3670 | 3786 | 3809 | 3830 | 3889 | 3950 | 4018 | 4085 | 4124 | 4203 | 4299 | 4394 | |
| Clase de tiburón | Forma del producto | Precio de playa (sucres/libra) | |||||
|---|---|---|---|---|---|---|---|
| E | F | M | A | M | J | ||
| Zorro | H&G | 2500 | 2500 | 1600 | |||
| Comeperro | H&G | ||||||
| Tollo | H&G | 800 | |||||
| Amargo o Meon | H&G | ||||||
| Tollo | H&G | 2000 | 2500 | 2500 | 2000 | ||
| 3000 | 3000 | 2500 | |||||
| Aguado | H&G | ||||||
| Tinto | H&G | 2500 | |||||
| 3000 | |||||||
| Cachona | H&G | 3000 | 3000 | 2000 | |||
| Vieja | H&G | ||||||
| Tollo P. Negra | H&G | 2150 | |||||
| Tipo de cambio promedio mensual (S/.por $) | 4494 | 4532 | 4671 | 4943 | 5207 | 5237 | |
H & G = Tronco sin cabeza, sin visceras y sin aletas
* sucres/unidad
Fuente: Martinez et al. (1986)
1996
| Clase de tiburón | Forma del producto | Precio del mercado nacional (sucres/libra) | ||||||||||||
|---|---|---|---|---|---|---|---|---|---|---|---|---|---|---|
| E | F | M | A | M | J | J | A | S | O | N | D | |||
| Zorro (Rabón) | H&G | 900 | 1500 | 1500 | 1500 | 1500 | ||||||||
| ( | 1900 | 1700 | 1700 | 1600 | ||||||||||
| Tinto | H&G | 1500 | 1500 | 1900 | 1800 | 2000 | 2000 | 1500 | 2000 | 1700 | 1500 | |||
| 2000 | 3300 | 3000 | 2300 | 2300 | 2500 | 2100 | 2300 | 1800 | ||||||
| Tipo de cambio promedio mensual (S/. por $) | 2923.78 | 2942.10 | 3002.57 | 3063.55 | 3103.57 | 3127.25 | 3167.25 | 32551.09 | 3292.67 | 3362.00 | 3567.91 | |||
1997
| Clase de tiburón | Forma del producto | Precio del mercado nacional (sucres/libra) | ||||||||||||
|---|---|---|---|---|---|---|---|---|---|---|---|---|---|---|
| E | F | M | A | M | J | J | A | S | O | N | D | |||
| Zorro | H&G | 1500 | 3000 | 2000 | 1500 | 1500 | 2500 | 3500 | 1800 | 1500 | 2300 | 3500 | ||
| (Rabon) | H&G | 3400 | 3700 | 3700 | 3700 | 3700 | 4000 | 4000 | 3000 | 3200 | ||||
| Tinto | H&G | 1800 | 1500 | 2400 | 2000 | 2000 | 2000 | 2000 | 2000 | 1800 | 1500 | 2000 | 2000 | |
| 3000 | 3500 | 3500 | 3500 | 3800 | 3000 | 3500 | 3500 | 3000 | ||||||
| Tipo de cambio prome- | 3670 | 3786 | 3809 | 3830 | 3889 | 3950 | 4018 | 4085 | 4124 | 4203 | 4299 | 4394 | ||
| dio mensual (s/.por $) | ||||||||||||||
| Clase de tiburón | Forma del producto | Precio del mercado nacional (sucres/libra) | ||||||
|---|---|---|---|---|---|---|---|---|
| E | F | M | A | M | J | |||
| Zorro | H&G | 2500 | 2400 | 3000 | 1000 | 2500 | 500 | |
| (Rabon) | 3500 | 2500 | 4000 | 3300 | 3000 | |||
| Tinto | H&G | 2500 | 2500 | 3500 | 3500 | 3000 | 3000 | |
| 3200 | 3500 | 4000 | 4000 | 4000 | 4000 | |||
| Tipo de cambio promedio mensual (S/.por $) | 4494 | 4532 | 4671 | 4943 | 5207 | 5237 | ||
H & G = Tronco sin cabeza, sin visceras y sin aletas
Fuente: Asociacón de Exportadores de Pesca Blanca (ASOEXPEBLA 1996)
Figura 6
Cifras (t) y valores ($ 000's) de la exportación de tiburones y subproductos

En el Ecuador no existen subsidios ni programas de apoyo económico para la pesca del tiburón. En el caso de las capturas industriales, no se tiene información sobre los ingresos complementarios debido a la captura incidental de tiburones. Progresivamente, los pobladores locales han aprendido a consumir tiburones, permitiendo el acceso a proteína de bajo costo a los pobladores de escasos recursos económicos.
4. ORGANISMOS DE CONTROL
Para el control de la pesca en el Ecuador, existe el Ministerio de Comercio Exterior, Industrialización y Pesca; la Subsecretaría de Recursos Pesqueros; la Dirección General de Pesca; las Subdirecciones Generales de Pesca; y, las Inspectorías de Pesca. Las regulaciones o controles pueden ser expedidas a través de Acuerdos, ya sea por parte del Ministerio de Comercio Exterior, Industrialización y Pesca o por parte de la Subsecretaría de Recursos Pesqueros, en apego a lo estipulado en la Ley de Pesca y Desarrollo Pesquero. Es decir, el cuerpo legal principal de la actividad pesquera en el país es la Ley de Pesca y Desarrollo Pesquero, creada el 30 de julio de 1974, la misma que tiene los siguientes considerandos:
“Que los recursos bioacuáticos existentes en el país deben ser explotados eficazmente en beneficio de los intereses nacionales;
Que es necesario incorporar en un solo cuerpo de leyes las disposiciones relacionadas con la actividad pesquera, centralizando su control en los organismos especializados así como regulando todas sus fases;
Que es obligación del Gobierno Nacional promover los programas tendientes a elevar el nivel nutricional de la población, especialmente de los grupos de limitados recursos económicos;
Que es obligación del Estado el desarrollo de la investigación a fin de obtener un conocimiento completo de la magnitud de los recursos pesqueros y de su correcto aprovechamiento; y,
Que es indispensable promover el desarrollo pesquero mediante sistemas financieros y estímulos adecuados.”
5. REGULACIONES SOBRE EL RECURSO TIBURON
A continuación se señalan los Acuerdos relacionados al recurso tiburón:
Acuerdo No. 12.263, del Ministro de Recursos Naturales y Energéticos, encargado sobre las Regulaciones a la Flota Industrial de Bandera Extranjera.
En su Artículo 1 señala: “Prohíbese la pesca industrial a las naves de bandera extranjera dentro de un área de 40 millas náuticas contadas desde las líneas de base que sirven para medir la anchura del mar territorial, tanto en lo referente al territorio continental como al insular.
Se exceptúan de esta prohibición a los buques pesqueros de bandera extranjera que operan mediante contrato de arrendamiento o asociación con empresas pesqueras establecidas en el país.”
En su Artículo 2 señala: “Prohíbese la concesión de matrículas y permisos de pesca para operar en aguas territoriales ecuatorianas a todo buque de bandera extranjera de más de 600 t de registro neto.”
Acuerdo No. 151 del Ministerio de Industria, Comercio, Integración y Pesca, sobre la Réserva de Pesca Artesanal y la Zona de Amortiguamiento dentro del Archipiélago de Galápagos (provincia de Galápagos) y prohibiciones varias.
En su Artículo 8 señala: “En las zonas de reserva pesquera artesanal y la zona de amortiguamiento establecido en este Acuerdo, queda prohibido la pesca del tiburón, asi como el transporte y comercialización para el Continente de las aletas de esta especie”.
Acuerdo No. 016, de la Subsecretaría de Recursos Pesqueros sobre Normas y Regulaciones sobre el ingreso de barcos pesqueros de bandera extranjera al país (ver Anexo 7).
En su Artículo 1 señala: “Las empresas pesqueras clasificadas que mantengan o deseen celebrar y/o renovar contratos de arrendamiento o asociación con armadores de buques pesqueros de bandera extranjera, deberán suscribir con el Instituto Nacional de Pesca un Convenio de Cooperación y Asistencia Técnica que será aprobado por su Junta Directiva, que tendrá por objeto contribuir al desarrollo científico y tecnológico del sector pesquero ecuatoriano, en base a investigaciones que permitan un mejor conocimiento del medio ambiente y de los organismos que lo habitan, a fin de evaluar el potencial de los recursos sujetos a explotación pesquera.”
Acuerdo No. 097 de la Subsecretaría de Recursos Pesqueros sobre Regulaciones para la Captura y Comercialización del Tiburón (ver Anexo 1).
En su Artículo 1 señala: “Quienes durante el ejercicio de la actividad pesquera capturen tiburones, deberán utilizar íntegramente su carne, ya sea comercializándola en los mercados internos o externos, o donándola a casas de asistencia social ecuatorianas. En consecuencia, se prohibe extraer las aletas de este recurso y devolver el cuerpo no aprovechado al mar.
Un reporte de las capturas de tiburón y del destino de su carne, deberá ser enviado, para efectos de control a la Dirección General de Pesca, tan pronto terminen las faenas de pesca.”
Acuerdo No. 036 de la Subsecretaría de Recursos Pesqueros sobre Regulaciones para la Comercialización de Aletas de Tiburón (ver Anexo 8).
En sus Artículos 1, literales a), d); como en sus artículos 2, 3 y 5 detallan en forma exclusiva cómo las personas naturales y/o jurídicas debidamente autorizadas con apego a lo dispuesto en la Ley de Pesca y Desarrollo Pesquero, pueden exportar aletas de tiburón.
6. ESTADISTICAS DE LA PESCA
6.1 Métodos usados para recoger los datos de la pesca y sus esfuerzos
El Instituto Nacional de Pesca a partir de 1989 estableció un sistema de seguimiento (monitoreo) del desembarque de la pesca artesanal en ocho puertos de la Costa Continental, siendo estos (de norte a sur): Esmeraldas, Manta, San Mateo, Sta. Rosa, Anconcito, Engabao, Playas y Puerto Bolívar. Estos puertos son visitados mensualmente durante todo el año (ocho días al mes) por el personal de la División de Recursos Pesqueros.
Se utilizan dos tipos de formularios: (1) registro diario de pesca, utilizado para colectar la información referente a los desembarques (volúmenes de pesca, especies, tipo de embarcación y tipo de arte de pesca; y, (2) costos de operación por salida de pesca, donde se registran los egresos e ingresos.
6.2 Evaluación del proceso de recolección de datos
Los datos sobre los desembarques artesanales de tiburones, solamente se refieren a ocho puertos, lo cual impide efectuar una estimación de los desembarques efectuados por la totalidad de la flota artesanal activa. Los impedimentos para ampliar la cobertura de la recolección de datos, son las limitaciones presupuestarias y la falta de personal calificado para recoger -en general- la información sobre los desembarques y dentro de ello, la referente a los tiburones.
En el caso de las capturas de la flota industrial palangrera, la situación ha sido similar, y solamente a partir de octubre de 1998 se dispondrá nuevamente de información precisa sobre las capturas de esta flota; permitiendo a corto plazo, tener acceso a información estadística confiable sobre la captura de tiburón, entre otros. Por otro lado, no existe información estadística confiable sobre la comercialización a nivel local, y no se prevé - a corto plazo - que se destinen fondos para superar este vacío de información.
6.3 Procesamiento de datos, archivo y accesibilidad
Con relación al seguimiento de los desembarques pesqueros artesanales, dentro de los cuales se registran los volúmenes de tiburones, la información es registrada inicialmente en formularios, luego codificada, para finalmente ser ingresada en la base de datos computacional del Instituto Nacional de Pesca. Semestralmente se emiten reportes generales sobre la composición de los desembarques en los ocho puertos visitados mensualmente; los reportes no son confidenciales y por lo tanto pueden ser consultados libremente.
En el caso de las capturas de la flota palangrera, no se producen reportes y en la actualidad se está programando la emisión de informes que estarían disponibles a partir, del segundo semestre de 1999; para el efecto la información será almacenada en una base de datos computacional que estará a cargo del Instituto Nacional de Pesca. Con respecto a las estadísticas de exportación, estas son manejadas a través del Banco Central del Ecuador y del sistema aduanero ecuatoriano, emitiéndose solamente reportes globales por rubros principales en los que no se discrimina hasta el nivel de especies de peces u otros recursos.
Una copia del Formulario Único de Exportación (FUE) es remitida a la Dirección General de Pesca, en la que consta el detalle de la exportación realizada; esta información es procesada manualmente, debido a que se carece de equipos de computo y personal; lo que ocasiona que las cifras estadísticas generales estén permanentemente atrasadas y por tanto no se encuentran disponibles oportunamente para consulta. En este caso, existen varias dificultades para mantener actualizados los registros de exportaciones.
7. ESTUDIO SOBRE LOS STOCKS
En el Ecuador no se realiza ningún tipo de estudio sobre los stocks del recurso tiburón, los esfuerzos se han concentrado únicamente a los peces pelágicos pequeños.
7.1 Sostenibilidad del recurso
Si bien es cierto que no existe ningún estudio nacional referente al stock del recurso tiburón; para el autor de este reporte ha sido notoria la disminución de los volúmenes de tiburones desembarcados artesanalmente durante los últimos cuatro años, en comparación con la presencia en estos mismos puertos en los desembarques registrados entre 1981 y 1986; esta simple apreciación da mucho que pensar, con respecto de lo que esté pasando en la actualidad con el recurso tiburón.
La falta de información sobre la composición de las capturas (por ejemplo: talla, madurez sexual), zonas de pesca e indicadores del esfuerzo pesquero, son limitantes que impiden efectuar mayores precisiones sobre la sostenibilidad de este recurso.
La captura de varias especies, tanto artesanal como industrialmente, dificulta aún más cualquier precisión al respecto. Por otro lado, siendo - en gran parte - recursos migratorios, surge la necesidad de integrar esfuerzos locales y regionales, para de esta forma llegar a evaluar su estado explotación e intentar determinar las medidas más adecuadas para asegurar su explotación racional y sostenible.
8. AGRADECIMIENTOS
El autor quiere dejar expresa constancia de agradecimiento a la Econ. Nancy Cely, Subsecretaría de Recursos Pesqueros del Ecuador por su valioso apoyo para la realización del presente trabájo, asi como también al Dr. Mario Cobo Cedeño, Director del Instituto Nacional de Pesca. Al Ing. Luis Torres Navarrete, Director General de Pesca por su apoyo y comentarios sobre el recurso tiburón; a la Econ. Yolanda Mora de la Unidad de Estudios Pesqueros de la Dirección General de Pesca por todo el apoyo brindado en la compilación de las estadísticas pesqueras de exportaciones. Al Tec. Alberto Garrido Sarmiento, Analista de Desarrollo Pesquero del Departamento de Administración Pesquera de la Subsecretaría de Recursos Pesqueros por su valioso apoyo con respecto a la compilación de Reglamentos y Acuerdos pesqueros relacionados con el tema en cuestión. A la Blga. Desiree Cruz, Subdirectora del Servicio del Parque Nacional de Galápagos (SPNG) y al Sr. Ben Yeats, Voluntario del SPNG por sus valiosos comentarios con relación a la temática de los tiburones en el Archipiélago de Colón o Galápagos (Provincia de Galápagos). A los Blgos. Fernando Aguilar y Pilar Solís, y al Msc. Iván Cedeño de la División de Biología y Evualuación de Recursos Pesqueros del Instituto Nacional de Pesca por la facilitación de las estadísticas de los desembarques artesanales y los comentarios respecto del recurso tiburón. A la Blga. Cecilia Marín de López de la División de Procesamiento de Datos del Instituto Nacional de Pesca por las cifras proporcionadas sobre la composición de la flota industrial palangrera (asociada), y, a la Srta. Paola Andrade Relacionista Pública de Fundación Natura por la información referente a las Islas Galápagos. Al Blgo. Luis Arriaga Ochoa, Coordinador Técnico del Programa de Pesca UE-VECEP, por sus valiosos comentarios y apoyo en las correcciones del presente reporte.
9. LITERATURA CITADA
Bostock, T. y Herdson D. 1985. La pesca y utilización del tiburón en el Ecuador. Bol. Cient. Técn., Inst. Nac. Pesca, Ecuador 8 (7): 21–38p.
Chirichigno, N.; Fisher, W.; Nawen C.E., 1982. INFOPESCA. Catálogo de especies marinas de interés económico actual o potencial para América Latina. Parte 2. Pacífico centro y suroriental. Rome, FAO/PNUD, SIC/82/2: 588 p.
Compagno, L.J.V. 1984. FAO species catalogue. Vol. 4. Sharks of the world. An annotated and illustrated catalogue of sharks species known to date. Part 1. Hexanchiformes to Lamniformes. FAO Fish. Synop., (125) Vol. 4, Pt. 1:249 p.
Compagno, L.J.V. 1984. FAO species catalogue. Vol. 4. Sharks of the world. An annotated and illustrated catalogue of sharks species known to date. Part 2. Carcharhiniformes. FAO Fish. Synop., (125) Vol. 4, Pt. 2: 251–655.
Coulter, J., Bostock T. y Mora Y. 1983. Diagnóstico del mercado interno para pescado y productos pesqueros. Informe Instituto Nacional de Pesca, Ecuador; 137+vi.
Fisher, W.; Krupp, F.; Schneider, W.; Sommer, C.; Carpenter, K.E.; Niem, V.H. (1995). Guía FAO para la identificación de especies para los fines de la pesca. Pacífico Centro-Oriental. Volumen II. Vertebrados-Parte 1. Roma, FAO. Vol. II: 647–1200 p.
Fondo Mundial para la Naturaleza (WWF). Fundación Natura 1998. Informe Galápagos 1997/1998, Ecuador: 79 p.
Grove, J., Massay S. y García S. 1984. Peces de las Islas Galápagos, Ecuador. Bol. Cient. Téc., Inst. Nac. Pesca, Ecuador, 7(2): 1–157.
Herdson, D.M., Rodríguez W.T. y Martínez J. 1985. Las pesquerías artesanales de la costa del Ecuador y sus capturas en el año 1982. The coastal artisanal fisheries of Ecuador and their catches in 1982. Bol. Cient. Técn. Inst. Nac. Pesca, Ecuador 8 (4): 1–50 p.
Martínez, J. 1986. Una nota sobre la importancia de la pesca acompañante del camarón en el Golfo de Guayaquil, Ecuador. Bol. Cient. Téc., Inst. Nac. Pesca, Ecuador, 9 (2): 26–31.
Martínez, J.; Cobeña, M.; Domínguez, C. 1997. Las pesquerías artesanales en Puerto López (Provincia de Manabí-Ecuador) durante 1996. Realizado por el Area de Pesca Artesanal del Programa de Cooperación Técnica para la Pesca, Unión Europea -VECEP ALA 92/43. Inf. Téc. PESCART 03/97, Ecuador: 40 p.
Massay, S., 1983. Revisión de la lista de los peces marinos del Ecuador. Bol. Cient. Técn. Inst. Nac. Pesca, Ecuador; 113 p.
Piú, M. 1998. Resumen de las acciones de patrullaje del Servicio Parque Nacional Galápagos para combatir las pesquerías ilegales (1996–1997). Inf. Galápagos 1997/1998. WWF-Fundación Natura, Ecuador: 17–19 p.
Revelo, W. 1996. Pesquerías Artesanales. Formulación de una estrategia para la Ordenación y Desarrollo de la Pesca en pequeña escala. Inf. Téc. FAO TCP/ECU/4552: 1–75p.
Rodríguez, C. y Morán G. 1996. Flota atunera palangrera asociada. Estadísticas de los desembarques de la pesquería ecuatoriana 1985–1995. Inst. Nac. Pesca-MICIP, Ecuador: 8–14.
Solís, P. 1998. Diagnóstico de la actividad pesquera artesanal en el Puerto de Santa Rosa, Provincia del Guayas. Bol. Cient. Téc., Inst. Nac. Pesca, Prog. Coop. Téc. Pesca UE-VECEP ALA 92/43, Ecuador 16(1): 1–53 p.
Villón, C.; Solís, P.; Peralta, M.; Peña, A.; Beltrán, X. 1998. Desembarques de la pesca artesanal en ocho puertos de la costa continental ecuatoriana durante el segundo semestre de 1997. Inf. Téc. Inst. Nac. Pesca. Prog. Coop. Téc. Pesca UE-VECEP ALA 92/43, Ecuador: 1–40 p.
Yeats, B. 1997 (pers. comm.). Servicio Parque Nacional Galápagos, Prov. de Galápagos-Ecuador.
ANEXO 1
Acuerdo No. 097 de la Subsecretaria de Recursos Pesqueros sobre regulaciones sobre la captura y comercializacion del tiburon
REPUBLICA DEL ECUADOR
MINISTERIO DE INDUSTRIAS COMERCIO INTEGRACION Y PESCA
SUSECRETARIA DE RECURSOS PESQUEROS
No. 097
EL SUBSECRETARIO DE RECURSOS PESQUEROS
CONSIDERANDO:
QUE los recursos bioacuáticos deben ser aprovechados racionalmente;
QUE el aprovechamiento de los recursos bioacuáticos debe contribuir al fortalecimiento de la economía y mejoramiento social de los ecuatorianos;
QUE el ejercicio de la actividad pesquera no debe provocar el desequilibrio del hábitat marino de las especies;
QUE el Consejo Nacional de Desarrollo Pesquero, en sesión realizada el 10 de junio de 1993, emitió informe favorable para la expedición de este Acuerdo;
En uso de las facultades que le confieren el Art. 3 letra b) del Acuerdo 14619 publicado en el Registro Oficial 725 de diciembre 5 de 1978 y el Art. 20 de la Ley de Pesca y Desarrollo Pesquero,
ACUERDA:
Art. 1. Quienes durante el ejercicio de la actividad pesquera capturen tiburones, deberán utilizar íntegramente su carne, ya sea comercializándola en los mercados interno o externo, o donándola a casas de asistencia social ecuatorianas. En consecuencia, se prohibe extraer las aletas de este recurso y devolver el cuerpo no aprovechado al mar.
Un reporte de las capturas de tiburón y del destino de su carne, deberá ser enviado, para efectos de control a la Dirección General de Pesca, tan pronto terminen las faenas de pesca.
Art. 2. Quienes infrinjan las disposiciones indicadas serán sancionados de conformidad con lo dispuesto en el Art. 79 de la Ley de Pesca y Desarrollo Pesquero, sin perjuicio de la suspensión temporal o definitiva de las actividades autorizadas.
Art. 3. Este Acuerdo regirá a partir de su publicación en el Registro Oficial.
Comuníquese y publíquese.
Dado en Guayaquil, 19 de julio de 1993
Gustavo González Cabal
Subsecretario de Recursos Pesqueros
ANEXO 2
Vistas lotograncas sobre el recurso tiburón en el Ecuador

Foto 1. Captura del Tiburón Martillo (Sphyrna sp.) a bordo de una embarcación artesanal (arte: red de enmalle de superficie o “trasmallo”). Puerto López (07/98).

Foto 2. Evisceramiento de tiburones a bordo de una embarcación artesanal, en la pesca del Dorado (Coryphaena hippurus). Altamar (03/97).

Foto 3. Un espécimen de Tiburón (Carcharhinus sp.) capturado en la pesquería del Dorado. Altamar (03/97).

Foto 4. Desembarque del Tiburón Comperro (Carcharhinus leucas) en Puerto López (09/96).

Foto 5. Desembarque del Tiburón Comeperro (Carcharhinus leucas) en Puerto López (09/96).

Foto 6. Desembarque y evisceración de tiburones.

Foto 7. Un Espécimen de Tiburón Tinto (Isurus oxyrinchus) proveniente de la pesca artesanal en Santa Rosa (07/98).

Foto 8. Desembarque del Tiburón Comeperro (Carcharhinus leucas) en Puerto López (09/96).

Foto 9. Evisceración y extracción de aletas (espécimenes del género Carcharhinus). Manta, playa de Tarqui (11/97).

Foto 10. Espécimenes de Tiburón Zorro (Alopias superciliosus) en Puerto López (08/98).

Foto 11. Evisceración y extracción de aletas (espécimenes del género Carcharhinus). Manta, playa de Tarqui (11/97).

Foto 12. Desembarque del Tiburón Comeperro (Carcharhinus leucas) en Puerto López (09/96).

Foto 13. Faenamiento de espécimenes de Tiburón Martill (Sphyrna spp.) en Puerto López (08/97).

Foto 14. Faenamiento de un espécimen de Tiburón Comeperro (Carcharhinus leucas) en Puerto López (08/96).

Foto 15. Faenamiento de espécimenes de Tiburón Tollo (Carcharhinus sp.) y de Tiburón Vieja o mamona (Mustelus sp.) en Puerto López (07/96).

Foto 16. Faenamiento de Tiburón Zorro o Rabón (Alopias superciliosus) en Puerto López (08/98).

Foto 17. Vista comparativa de la proporción del tamaño de un hígado del Tiburón Comeperro (Carcharhinus leucas) y una persona. Puerto López (08/96).

Foto 18. Una forma de transportación y conservación de troncos de tiburón, destinados a los mercados locales. Puerto López (08/97).

Foto 19. Proceso de lavado (artesanalmente) de ejemplares pequeños de tiburones.

Foto 20. Extracción de la mandíbula de un Tiburón Comeperro (Carcharhinus leucas), ocasionalmente los desbucha-dores aprovechan las mandíbulas de los tiburones. Puerto López (08/96).

Foto 21. Recolección de aletas de tiburón, procedentes de espécimenes capturados por la flota artesanal.

Foto 22. Una forma de transportación y conservación de troncos de tiburón, destinados a los mercados locales. Puerto López (08/97).

Foto 23. Troncos de Tiburón Zorro (Alopias spp.) capturados por la flota artesanal. Puerto López (06/98).

Foto 24. Espécimenes de Tiburón del género Carcharhinus, capturados por un barco cerquero. Puerto López (02/96).

Foto 25. Puesto de venta de Tiburón en el mercado de La Libertad (Península de Santa Elena) (10/86).
ANEXO 3
Acuerdo No. 12.263 del Ministro de Recursos Naturales y Energeticos, encargado, sobre las regulaciones a la flota industrial de bandera extranjera
REPUBLICA DEL ECUADOR
MINISTERIO DE RECURSOS NATURALES Y ENERGETICOS
ENCARGADO
No. 12.263
EL MINISTRO DE RECURSOS NATURAL
ES Y ENERGETICOS, ENCARGADO
CONSIDERANDO:
QUE es obligación del Estado propender al fomento y expansión del sector pesquero nacional adoptando las medidas administrativas más conduncentes para tal propósito;
QUE el aprovechamiento de los recursos pesqueros debe contribuir fundamentalmente al fortalecimiento de la economía nacional y al mejoramiento social de los ecuatorianos;
QUE compete también a este Ministerio adoptar las medidas para una racional explotación de los recursos bioacuáticos y su conservación;
QUE el Gobierno Nacional se halla empeñado en satisfacer la creciente demanda de alimentos del mercado interno;
QUE el Consejo Nacional de Desarrollo Pesquero ha emitido dictamen favorable al respecto; y,
En uso de las facultades que le confiere el Art. 20 de la vigente Ley de Pesca y Desarrollo Pesquero,
ACUERDA:
Art. 1. Prohíbese la pesca industrial a las naves de bandera extranjera dentro de un área de 40 millas náuticas conadas desde las lineas de base que sirven para medir la anchura del mar territorial, tanto en lo referente al territorio continental como al insular.
Se exceptúan de esta prohibición a los buques pesqueros de bandera extranjera que operan mediante contrato de arrendamiento o asociación con empresas pesqueras establecidas en el país.
Art. 2. Prohíbese la concesión de matrículas y permisos de pesca para operar en aguas territoriales ecuatorianas a todo buque de bandera extranjera de más de 600t de registro neto.
Art. 3. Este Acuerdo entrará en vigencia desde el 1 de enero de 1975.
Comuníquese.- Dado, en Quito, a 10 de diciembre de 1974.
Ethiel Rodríguez t., Capitán de Fragata E.M. Ministro de Recursos Naturales y Energéticos, Encargado. (RO 703: 17-dic-74).
ANEXO 4
Información sobre tiburones proporcionada por el Sr. Bean Yeats del Servicio Parque Nacional Galapagos (27 octubre 1997)
'La pesca de tiburones en Galápagos está estrictamente prohibida bajo las leyes de la Reserva Marina: ningún pescador esta autorizado a pescar tiburones. Sin embargo, la pesca ilegal de tiburones aún continua, principalmente fomentada por la demanda de los mercados asiáticos para aletas de tiburón. Tanto el sector de pesca artesanal como el industrial, bajo el disfraz de “captura accidental” incurre en este pesca ilegal.
Los tiburones son capturados por cierto número de embarcaciones locales usando palangre y redes. La práctica normal implica que los pescadores corten las valiosas aletas y boten el resto del animal, el cual aún puede estar vivo, al mar. Los tiburones también caen presa de los palangreros industriales y son indiscriminadamente capturados en las redes de los cerqueros atuneros, que pescan ilegalmente dentro de los limites de la Reserva Marina. Datos sobre pesquería de tiburón son limitados principalmente por la naturaleza ilegal y secretiva de esta actividad, la cual es muy difícil de monitorear. Más aún, no existen regulaciones con respecto al tamaño de la captura, edad y tamaño mínimos.
Las aletas de tiburón cogidas por los pescadores locales son frecuentemente exportadas al continente por avión o por barco. Como un depredador superior, el tiburón juega un rol vital en la compleja cadena alimenticia ayudando a mantener el equilibrio natural de las poblaciones marinas. Si los tiburones desaparecen de los mares, su hábitat puede cambiar profundamente. Es más, los tiburones son un importante atractivo turístico en Galápagos. Los visitantes pueden hacer buceo de superficie con tiburones en los distintos sitios turísticos.
Galápagos es también un destino internacionalmente reconocido para buceo de profundidad; los buzos tienen la oportunidad de nadar libremente con grandes cardúmenes de diferentes especies de tiburones, entre estas, los afamados “martillo”. El Parque Nacional Galápagos enfrenta el desafío de patrullar 70 000km2 de Reserva Marina. El Parque Nacional ha hecho capturas de aletas de tiburón en el aeropuerto de Baltra asi como en botes (ecuatorianos y extranjeros), que han estado pescando ilegalmente en aguas galapagueñas. Las aletas de tiburón se cuentan y miden, antes de ser incineradas. El Plan de Manejo de la Reserva Marina de Galápagos está actualmente en revisión, que implica un proceso participativo que incluye representantes de los sectores de pesca, turismo, y ciencia, conservación y educación. Con respecto al contexto de los tiburones se sigue manteniendo la política de la captura accidental, con el compromiso de faenar y comercializar todo el animal. El Plan también prevé el autocontrol para salvaguardar la integridad de los recursos naturales marinos galapagueños."
Preparado por Ben Yeats, voluntario del SPNG y traducido por Desiree Cruz, Subdirectora SPNG.
Parque Nacional Galápagos
PNG
ANEXO 5
Acuerdo no. 151 del Ministerio de Industrias, Comercio, Integración y Pesca sobre la reserva de pesca artesanal y la zona de amortiguamiento dentro del archipielago de Galápagos (provincia de Galápagos) y prohibiciones varias
REPUBLICA DEL ECUADOR
MINISTERIO DE INDUSTRIAS COMERCIO INTEGRACION Y PESCA
No.151
EL MINISTRO DE INDUSTRIAS, COMERCIO, INTEGRACION Y PESCA
CONSIDERANDO:
QUE las aguas interiores del Archipiélago de Galápagos, dentro de una línea de 15 millas, fueron declaradas reservas de recursos marinos, por decreto ejecutivo 18010A del 29 de abril de 1986, publicado en el Registro Official No. 434 de mayo 13 de 1986;
QUE existe interés científico y turístico a nivel mundial sobre las Islas Galápagos, por su fauna y flora natural únicas, lo que motivó la declaratoria de Patrimonio de la Humanidad, siendo responsabilidad del Estado velar por la conservación de estos recursos;
QUE en Galápagos vive una importante comunidad pesquera, que tradicionalmente ha aprovechado muy limitada y artesanalmente los recursos bioacuáticos, constituyendo un factor socioeconómico determinante para la existencia de su población, lo que hace necesario una racionalización de esta actividad para la coexistencia equilibrada del hombre y todo el ecosistema de las Islas Galápagos;
QUE se ha practicado actividades y métodos de explotación pesquera que podrían alterar irreversiblemente la ecología en general del Archipiélago perjudicando de este modo a los habitantes, turismo y a los intereses nacionales e internacionales; y,
En uso de la facultad que le otorga el artículo 13 de la Ley de Pesca y Desarrollo Pesquero,
ACUERDA:
Art. 1. Declárese Reserva de Pesca Artesanal a todas las zonas incluidas dentro de las dos millas náuticas de las orillas del Archipiélago de Galápagos.
Art. 2. Se establece un área de amortiguamiento en la zona comprendida entre las dos y cinco millas náuticas.
Art. 3. En la zona entre las cinco y quince millas náuticas, podrán pescar exclusivamente los barcos de bandera nacional y únicamente el atún.
Art. 4. Prohíbese la captura nocturna de langostas en todo el Archipiélago dentro de la reserva de pesca artesanal.
Art. 5. Autorizarse la pesca artesanal en la reserva declarada para este propósito únicamente con artes tradicionales: a) Pesca con cordel o empate a profundidad; b) Pesca de arrastre con cordeles y nylon (incluyendo la pesca deportiva); y, c) Pesca con chinchorro de playa, pelágicos, con medidas y atarrayas.
Art. 6. Prohíbese específícamente el uso de todo tipo de redes de nylon, monofilamento y del tipo agallero y de trasmallo.
Art. 7. Prohíbese, para pescar, el uso de harpones de chuzos de cualquier tipo, incluyendo la pesca deportiva y las actividades de buceos submarinos. Salvo en casos del artículo 31 de la Ley de Pesca y Desarrollo Pesquero.
Art. 8. En las zonas de reserva pesquera artesanal y en las zona de amortiguamiento establecido en este Acuerdo, queda prohibido la pesca de tiburón, así como el transporte comercialización para el Continente de las aletas de esta especie.
Art. 9. Facúltase a las autoridades, que a más de las multas respectivas, confiscar las artes de pesca no legales. La introducción de nuevas artes de pesca no se permitirá sin el dictamen favorable del Instituto Nacional de Pesca, basado en investigaciones y ensayos.
Art. 10. Estas disposiciones no interfieren con aquellas que puedan darse posteriormente en el Plan de Manejo de la Reserva de Recursos Marinos, particularmente no afectan a cualquier zonificación que puede establecerse posteriormente dentro del área de reserva de pesca costera y que involucraría la protección total de ciertos lugares.
Art. 11. De la ejecución del presente Acuerdo, que entrará en vigencia en todo el Territorio Nacional a partir de su publicación en el Registro Oficial, encárguese la Subdirección de Pesca con jurisdicción administrativa en la Provincia de Galápagos.
Comuníquese.- Dado en Quito, a 21 de abril de 1989
Juan José Pons Arízaga
Ministro de Industrias, Comercio, Integración y Pesca
ANEXO 6
Vistas fotográficas sobre las formas y tipos de presentación de tiburón para el mercado de exportación

Tiburón Zorro (Alopias superciliosus)

Tipo de procesamiento H&G (sin cabeza, sin visceras, sin rabo y con piel)

Tipo de procesamento para filetes (filetes con piel - peso aproximado 15lb/filete)
TIPOS DE EMPAQUE

1) H&G - Caja de cartón con paredes internas de láminas de polipropileno, envueltos en plástico Peso bruto aproximado 150lb (1–2 unidades/caja)

2) Filete - Caja de cartón con paredes internas de láminas de polipropileno, envolturas de plástico individual Peso bruto aproximado 125lb (8–12 unidades/caja)

Tiburón Tinto (Isurus oxyrinchus)

Tipo de procesamiento H&G (sin cabeza, sin visceras, sin rabo y con piel) Peso promedio 70lb

Tipo de procesamiento para filetes (filetes con piel - peso aproximado 10–15lb/filete)
ANEXO 7
Acuerdo No. 016 de la Subsecretaria de Recursos Pesqueros sobre Normas y Regulaciones sobre el ingreso de barcos pesqueros de bandera extranjera al país
REPUBLICA DEL ECUADOR
MINISTERIO DE INDUSTRIAS COMERCIO INTEGRACION Y PESCA
SUSECRETARIA DE RECURSOS PESQUEROS
No. 016
EL SUBSECRETARIO DE RECURSOS PESQUEROS
CONSIDERANDO:
QUE es deber del Estado impulsar la investigación científica y en especial la que permita conocer las existencias de recursos bioacuáticos de posible explotación, procurando diversificarla y orientarla a una racional utilización.
QUE es deber del Estado establecer las medidas de fomento necesarias para la expansión del sector pesquero, conforme a los principios de la política pesquera ecuatoriana.
QUE de conformidad con lo dispuesto en el articulo 29 de la Ley de Pesca y Desarrollo Pesquero, conforme a los planes y programas de desarrollo se podrá autorizar a las empresas calificadas, disponer en arrendamiento o asociación buques pesqueros de bandera extranjera de tipos que no se construyan en el país.
QUE es necesario regular las operaciones de los barcos de pesca arrendados y asociados.
QUE el Consejo Nacional de Desarrollo Pesquero, en sesión celebrada el 16 de octubre de 1992 dictaminó en forma favorable para la expedición de este Acuerdo.
En uso de las atribuciones que le confiere el acuerdo ministerial 14619 publicado en el R.O. 725 del 5 de diciembre de 1978 ratificado mediante D.397 publicado en el R.O. 98 del 4 de enero de 1985,
ACUERDA:
Art. 1. Las empresas pesqueras clasificadas que mantengan o deseen celebrar y/o renovar contratos de arrendamiento o asociación con armadores de buques pesqueros de bandera extranjera, deberán suscribir con el Instituto Nacional de Pesca un Convenio de Cooperación y Asistencia Técnica que será aprobado por su Junta Directiva, que tendrá por objeto contribuir al desarrollo científico y tecnológico del sector pesquero ecuatoriano, en base a investigaciones que permitan un mejor conocimiento del medio ambiente y de los organismos que lo habitan, a fin de evaluar el potencial de los recursos sujetos a explotación pesquera.
Art. 2. La Dirección General de Pesca podrá, de conformidad con lo establecido en el artículo 35 de la Ley de Pesca y Desarrollo Pesquero, autorizar la realización de faenas de pesca de barcos extranjeros ingresados al país bajo la modalidad de arrendamiento o asociación cuya nacionalización se encuentre en trámite siempre que celebren el Convenio de Cooperación y Asistencia Técnica con el Instituto Nacional de Pesca.
Art. 3. El Instituto Nacional de Pesca, a través de su Junta Directiva, queda facultado para establecer las bases y condiciones particulares de los Convenios de Cooperación y Asistencia Técnica a celebrarse, para lo cual distinguirá los casos considerados en los dos artículos anteriores, guardando principios de equidad.
Art. 4. La Dirección General de Pesca no otorgará permisos de pesca a los barcos arrendados o asociados si las empresas clasificadas con las que mantengan, celebren o renueven contratos de asociación o arrendamiento no hubieren suscrito el convenio de Cooperación y Asistencia Técnica con el Instituto Nacional de Pesca.
Art. 5. Sin perjuicio de los dispuesto en leyes especiales, el Instituto Nacional de Pesca entregará a las embarcaciones arrendadas o asociadas, una bitácora debidamente numerada y foliada que contendrá los espacios para consignar el nombre del armador y de la embarcación, número y fecha del acuerdo que autorizó la celebración del contrato de arrendamiento o asociación, fecha de suscripción del Convenio de Cooperación y Asistencia Técnica celebrado con el Instituto Nacional de Pesca, fecha y lugar del despacho y arribo, posición geográfica, profundidad de captura, número y duración de las operaciones pesqueras, artes de pesca utilizadas y resultados obtenidos tanto cuantitativa como cualitativamente.
Art. 6. Cada barco arrendado o asociado deberá llevar a bordo un observador seleccionado y contratado por el Instituto Nacional de Pesca. El observador tendrá libre acceso a todos los compartimentos del barco y recabará toda la información que requiera, debiendo verificar que los datos registrados en la bitácora reúnan los requisitos técnicos necesarios para el informe científico que deberá elaborar.
Art. 7. Las empresas pesqueras clasificadas deberán presentar a la Dirección General de Pesca un reporte semestral de las capturas y exportaciones provenientes de la operación de cada uno de los barcos arrendados o asociados de que dispongan.
Art. 8. El desembarque de la pesca capturada deberá efectuarse únicamente en puertos habilitados del país. A este efecto las naves deberán contar con dos balanzas por lo menos, para determinar el peso exacto del pescado capturado. Las balanzas deberán ser autorizadas y calibradas por el Instituto Nacional de Pesca.
Art. 9. El trasbordo de la totalidad de la pesca capturada que de conformidad con lo dispuesto en el artículo 8 del Reglamento a la Ley de Pesca y Desarrollo Pesquero, sea preservada mediante sistemas de congelación de los barcos pesqueros, y exportada en ese estado, podrá efectuarse únicamente previa autorización de la Dirección General de Pesca, exclusivamente en puertos habilitados del país y previo el cumplimiento de lo dispuesto en el artículo anterior. Todos los demás productos procedentes de otro tipo de embarcaciones pesqueras arrendadas o asociadas deberán ser procesados en las plantas del país.
Art. 10. Los barcos pesqueros arrendados o asociados no podrán efectuar sus faenas de captura dentro de las cuarenta millas contadas a partir de los frentes costeros continental e insular de las Islas Galápagos, contados desde sus correspondientes líneas base.
Art. 11. Los barcos arrendados o asociados no podrán utilizar en sus capturas artes de pesca consistentes en redes de arrastre y/o mallas a la deriva, ni las que se determinen posteriormente por los organismos competentes.
Art. 12. La tripulación del barco arrendado o asociado deberá estar compuesta al menos del 20 por ciento de personal nacional. Dentro de este porcentaje deberán incluirse al menos dos técnicos nacionales.
Art. 13. Los barcos extranjeros asociados o arrendados deberán pintar en cada banda del casco, proa o sobre la obra muerta, y en un lugar visible de la superestructura, los números del permiso de pesca otorgado por la Dirección General de Pesca, en las dimensiones que este organismo determine.
Art. 14. Las especies y volúmenes susceptibles de aprovechamiento por parte de los barcos pesqueros asociados o arrendados serán determinados por la Subsecretaría de Recursos Pesqueros, previo dictamen del I.N.P.
Art. 15. Las empresas pesqueras y los armadores de los buques pesqueros arrendados o asociados serán responsables individual y solidariamente, si asi lo estableciere la legislación ecuatoriana, del cumplimiento de las obligaciones civiles, laborales, tributarias, cambiarias y demás, originadas en las actividades realizadas bajo la modalidad de arrendamiento o asociación de barcos pesqueros extranjeros.
Art. 16. Las embarcaciones extranjeras que se encuentran bajo contrato de Asociación o Arrendamiento para obtener su respectivo zarpe al exterior en la Capitanía del Puerto, deberá presentar la Autorización o visto bueno de la Dirección General de Pesca.
Art. 17. Quienes infrinjan las disposiciones de este acuerdo, serán sancionados de conformidad con lo dispuesto en la Ley de Pesca y Desarrollo Pesquero y con la cancelación del permiso de Pesca.
Art. 18. Quedan derogadas las disposiciones de igual o menor jerarquía que se opongan a este acuerdo, y en especial, los acuerdos 096 y 146 publicados en los registros oficiales del 25 de junio y del 15 de septiembre de 1992, respectivamente.
Art. 19. El presente acuerdo entrará en vigencia a partir de su publicación en el Registro Oficial.
Comuniíquese y publíquese.
Dado en Guayaquil, 19 de octubre 1992
Gustavo González Cabal
Subsecretario de Recursos Pesqueros
ANEXO 8
Acuerdo No. 036 de la Subsecretaria de Recursos Pesqueros sobre regulaciones sobre la comercialización de aletas de tiburón
REPUBLICA DEL ECUADOR
MINISTERIO DE COMERCIO EXTERIOR, INDUSTRIALIZACION Y PESCA
SUSECRETARIA DE RECURSOS PESQUEROS
No. 036
LA SUBSECRETARIA DE RECURSOS PESQUEROS
CONSIDERANDO:
QUE la Ley de Pesca y Desarrollo Pesquero determina que los recursos bioacuáticos existentes en el mar territorial, en las aguas marítimas interiores, en los ríos, lagos o canales naturales y artificiales, son bienes nacionales cuyo racional aprovechamiento debe ser regulado y controlado por el Estado.
QUE las actividades de la pesca en cualquiera de sus fases, podrán ser prohibidas, limitadas o condicionadas mediante el dictamen del Consejo Nacional de Desarrollo Pesquero;
QUE el Consejo Nacional de Desarrollo Pesquero en sesión del 8 de julio de 1997, resolvió: regular la comercialización de los subproductos resultantes de la pesca industrial de tiburones en el mar jurisdiccional continental;
En uso de las facultades que le confiere la vigente Ley de Pesca y Desarrollo Pesquero,
ACUERDA:
Art. 1. Las personas naturales y/o jurídicas debidamente autorizadas con apego a lo dispuesto en la Ley de Pesca y Desarrollo Pesquero, que deseen exportar aletas de tiburón; sin perjuicio de lo establecido en la Ley de Facilitación de Exportaciones, deberán cumplir con las siguientes disposiciones:
Las aletas de tiburón será; exclusivamente de especímenes capturados incidentalmente.
Las embarcaciones artesanales, semi-industriales e industriales dedicadas a la captura de pesca blanca utilizando anzuelo, deberán llevar a bordo una bitácora de pesca que deberá contener en detalle datos relativos a las capturas (fecha, lugares, especies, pesos, volúmenes diarios, etc). Las anotaciones estarán a cargo del patrón de pesca el que las suscribirá diariamente.
Las empresas y/o personas naturales debidamente autorizadas que compren la pesca deben necesariamente elaborar las respectivas notas de compra-venta con notificación clara de los volúmenes y tipos de especies que se negocian. Dichas notas de venta deberán ser suscritas por el vendedor y el comprador, haciendo referencia al barco y al periodo de pesca que corresponde.
Las empresas, cooperativas y/o comerciantes que deseen comercializar aletas de tiburón procedente de pesca incidental deben mantener un registro (kardex) de las compras y ventas de pescado en la que se incluya tiburón y aletas, los que deben de estar a disposición permanente de las autoridades pesqueras para sus verificaciones.
Art. 2. Para la exportación de aletas de tiburón proveniente de pesca incidental en el mar continental se requiere en cada caso, autorización expresa de la Dirección General de Pesca. A este efecto el interesado deberá presentar la solicitud a dicha dependencia acompañando:
Art. 3. La exportación de aletas solamente la pueden realizar las personas naturales y/o jurídicas que estén debidamente autorizadas mediante Acuerdo del Ministerio de Comercio Exterior, Industrializa ción y Pesca (Subsecretaría de Recursos Pesqueros).
Art. 4. Las personas naturales y/o jurídicas que induzcan o traten de inducir a error bajo cualquier medio a las autoridades de pesca, serán sancionadas con la suspensión definitiva de sus autorizaciones para dedicarse a la actividad pesquera, sin perjuicio de las demás acciones legales a que hubieren lugar.
Art. 5. Las aletas de tiburón que se intenten exportar sin el'cumplimiento de las disposiciones antes señaladas, serán decomisadas e incineradas sin más fórmula de juicio.
El presente Acuerdo entrará en vigencia a partir de la fecha de suscripción, sin perjuicio de su publicación en el Registro Oficial.
Dado en Guayaquil, 14 julio de 1997
Ec. Nancy Cely Icaza
Subsecretaría de Recursos Pesqueros