Indice
-
Precedente - Siguiente![]()
El Cuadro 11 muestra los datos más importantes para la elección y diseño de los silos de seca-aireación, tomando como base el maíz. Se establecen los distintos tamaños de silos, sus capacidades y las alturas respectivas de grano. Para tres diferentes caudales unitarios de aire, se fijan los valores de caudales totales, presiones estáticas, potencias requeridas, y superficies necesarias de conductos para el aire.
El maíz caliente y húmedo ofrece una mayor resistencia al paso del aire que el maíz seco, lo que se ha tenido en cuenta al confeccionar el cuadro.
El área perforada de los conductos (ducíos) se calcula sobre la base que la velocidad del aire que entra a los granos se mantiene en 9 m por minuto, o menos. El área superficial de los conductos (ducíos) se calcula dividiendo el caudal total en m3/min por 9. En conductos (ducíos) circulares, solamente se considera el 80% de dicha área cuando los tubos apoyan sobre el suelo o una pared.
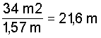
Ejemplo: para un silo de seca-aireación de 7,30 m de diámetro y lleno hasta 9 m de altura (382 m³ con un caudal unitario de 48 m3/h.m3, se necesitan:
382 m³ x 48 m3/h.m3 = 18336 m3/h = 307.5 m3/min

Para un tubo de 0,5 m de diámetro (1,57 m de circunferencia) corresponderá una longitud de:

Calculando el 80% de superficie aprovechada, se necesitarán 27 m de tubo perforado.
El mencionado silo requerirá una potencia de ventiladores de más de 38 CV que, aunque pudiera repartirse en dos o tres ventiladores, significa un alto consumo de energía.
Seria preferible un silo más ancho, por ejemplo de 10 m de diámetro, y llenando sólo hasta 6 m (unas 360 t), que solo necesitará la mitad de la potencia.
De acuerdo al Cuadro 11, este silo deberá tener 42,4 m2 de superficie perforada, 27 m de conductos de 0,50 m de diámetro, y un caudal de aire de 387,6 m3/min.
Obsérvese en el mismo cuadro que cuando la altura del grano se duplica, para mantener el mismo caudal unitario de aire, la potencia necesaria se multiplica por 10.
Las velocidades del aire en los conductos (ducíos) y tubos no deberán exceder los 450 m por minuto. Si se divide el caudal total de aire por 450, se obtiene la sección de conductos (ducíos) mas apropiada. Los cambios de dirección y las aberturas no debieran restringir el caudal de aire.
Desde hace unos años se ha desarrollado en Francia (país que está empleando mucho el sistema de seca-aireación, como ya se ha dicho) un tipo de silo especial que reemplaza a los silos de enfriamiento mencionados hasta ahora.
Estos silos, llamados "enfriadores continuos", como se ilustra en la Figura 81, están formados por una cámara superior que recibe el grano proveniente de la secadora y donde éste va descendiendo al tiempo que sufre el período de reposo. Luego llega a la zona de enfriamiento que tiene caballetes similares a los de una secadora, por lo que desciende el grano y recibe la corriente de aire en forma de contracorriente (de abajo hacia arriba).
Figura 81. Enfriador continuo (Doc. ITCF)
Los vapores de condensación (vahos) son eliminados a través de una chimenea lateral por medio de ventiladores de potencia adecuada.
Los granos ya fríos y secos, son descargados en la parte inferior por un sistema de extracción del tipo de secadora, u otro similar. La capacidad de este enfriador en toneladas/hora, debe ser por supuesto igual a la capacidad de la secadora.
La gran ventaja de este equipo radica en que hace totalmente continuo el proceso de seca-aireación, trabajando al mismo ritmo de la secadora de manera que el sistema se acelera en forma considerable, y puede ser automatizado en su totalidad.
En la seca-aireación clásica, el inconveniente radica en que, al emplear silos de enfriamiento de fondo cónico, en la descarga sale primero el grano de la parte superior, que está húmedo y caliente. Esto obliga a esperar a que todo el silo haya sido enfriado y secado para abrir la descarga. Los enfriadores mencionados tienen una descarga pareja, de forma tal que va saliendo el grano inferior, ya seco y frío, con lo que se consigue la simultaneidad con el rendimiento de la secadora.
Se necesita un solo enfriador por secadora de una capacidad similar a la misma. Ya que su tamaño y porte es parecido a una secadora, su costo puede ser igual o aún superior.
Sin embargo, los enfriadores de este tipo pueden ser usados también como silos de mantenimiento o prealmacenamiento de grano húmedo o como silos secadores con aire natural.
Las experiencias realizadas en Estados Unidos y Europa demuestran que el sistema de seca-aireación ocasiona una sensible economía en los consumos de energía, entendiendo como tales aquellos referidos a combustibles y electricidad.
Si nos referimos al consumo de combustible, es posible que en algunos casos aumente el gasto por hora, porque se han agrandado los quemadores o se ha agregado un quemador extra. Pero debido al aumento de la capacidad de secado, el consumo por tonelada o quintal, se reduce mucho en comparación con el secado convencional.
En Francia, el consumo de combustible por tonelada ha disminuido con secaaireación entre el 15% y el 37% y ésta es una de las principales razones por las cuales el sistema de seca-aireación se ha divulgado tanto en ese país. La escasez de petróleo está obligando a muchas naciones a modificar su política energética y a favorecer procedimientos que permitan economizar tales combustibles.
La combinación de seca-aireación con recirculación del aire en la secadora, para aprovechar la temperatura que lleva al pasar por los granos, permite reducir aún más el consumo de energía.
En Argentina, hasta hace unos años el costo del combustible para el secado igualaba aproximadamente el costo de la electricidad. Pero en estos momentos el costo de los primeros casi ha triplicado al de la electricidad y la incidencia del costo total de secado sobre los gastos de comercialización de un productor de maíz ha aumentado ahora mucho, condición que obliga a buscar soluciones para reducir tales perjuicios económicos. La economía que proporciona en este sentido la seca-aireación resulta significativa.
En otras partes de este trabajo ya se ha mencionado que con la seca-aireación se consigue una mejor calidad de grano. En la bibliografía se encuentran muchos trabajos en los que figuran datos comparativos con otros sistemas de secado.
En Canadá, en la Universidad de Guelph, Brown, R.B., Fulford, G.N., Daynard, T.B., Meiering, A.G. y Otten, L. (1979) demostraron que el maíz secado con secaaireación, analizado con un índice de remojo empleado en molienda húmeda, mostró valores superiores a 200, mejores que muestras provenientes del secado convencional.
Ensayos de Gustafson y Morey (1979) indicaron que la seca-aireación produjo un aumento de 1,2 kg en el peso hectolítrico del maíz en comparación con el secado convencional y una susceptibilidad a la rotura del grano sensiblemente menor (9,82% contra 18,30%), con temperaturas de aire de secado de 135°C.
Experiencias realizadas en la Estación Experimental Pergamino del INTA, por de Dios, C. y Puig. R.C. (1980) en la campaña 1979-1980 permitieron comparar secaaireación con el secado convencional en relación a la calidad de grano de maíz. Los resultados promedios obtenidos se observan en el Cuadro 12.
| Sistema | Granos cuarteados % | Peso hectolítrico g/hl | Poder germinativo % |
| Secado convencional | 61,89 | 74,86 | 28,75 |
| Seca-aireación | 13,03 | 76,11 | 49,11 |
Cuadro 12. Calidad del maíz en comparación con el sistema de secado
Como se puede observar, la seca-aireación redujo considerablemente el porcentaje de granos cuarteados (61,89 a 13,03%). Se estima que las partidas de grano tratadas con este sistema llegarán al final del proceso con un porcentaje de rotura mucho menor y por consiguiente, con pérdidas y mermas más restringidas.
El cuarteado o fisurado, las causas que lo originan, y los problemas que ocasiona, han sido descritos en el Capitulo 4.
La otra observación importante fue la ganancia en el peso hectolítrico, de 1,25 kg/hl. En una planta de acopio que procesa volúmenes considerables de maíz, esta diferencia representa un menor volumen acumulado, o sea un mejor aprovechamiento del espacio. Una planta que maneje 30 000 t anuales con secaaireación ocupará 658 m³ menos de espacio, o sea unos 12 camiones menos de flete anual. Por otra parte un mayor peso hectolítrico siempre es un indicio de mejor calidad de grano, desde el punto de vista industrial y comercial.
En cuanto al poder germinativo, también fue mayor en los granos provenientes de seca-aireación. Si bien esta diferencia no fue muy grande, es otro índice de la calidad superior de los granos.
El hecho de producir un grano más sano (con menos fisuras y por consiguiente poco expuesto a la rotura) significa que se tendrá una menor proporción de granos quebrados y de polvo de grano, con lo cual las mermas o pérdidas de mercadería quedan reducidas. Además la menor proporción de polvo representa menor contaminación del aire exterior y por lo tanto se reduce el peligro de explosiones.
Con seca-aireación también hay un menor riesgo de incendio en las secadoras, pues el método obliga a tener mayor control de la temperatura de salida de los granos y no se alcanzan las altas temperaturas de grano del método convencional.
Otra ventaja la constituye la posibilidad de terminar el proceso de secado cuando el maíz contiene de 14 a 14,5% de humedad, mientras que en los métodos convencionales el secado suele terminarse con 13-13,5%. Esta mayor humedad puede permitirse porque al estar el grano más sano, su seguridad en el almacenaje resulta superior. En el secado clásico debe secarse a 13-13,5% para compensar el revenido, que no existe prácticamente en seca-aireación.
Este punto de diferencia puede influir económicamente cuando se manejan grandes volúmenes de grano; ya que representa algo más del 1% de pérdida de peso. Por ejemplo, secar a 13% en vez de 14% representa una merma de paso de 1,15%.
Cuando se debe secar un maíz muy húmedo, por ejemplo con un contenido de humedad de alrededor del 30%, la buena práctica aconseja en el secado convencional, hacer por lo menos dos pasadas consecutivas por la secadora para evitar el deterioro del grano.
Con seca-aireación, es posible efectuar el secado a esas mismas humedades, con sólo una sola pasada por la secadora, lo que representa una significativa ganancia de tiempo. Solamente se necesitarán dos pasadas cuando el grano tenga humedades de 35% o más.
Del mismo modo resulta ventajoso cuando deben secarse maíces con diferentes porcentajes de humedad. En este caso, cuando se emplea el secado convencional, se producirá un sobresecado en los maíces que ingresaron con menor humedad. Usando seca-aireación el sobresecado será muy moderado, pues los granos son retirados con aproximadamente 16% de humedad, lo que evita una importante pérdida de peso.
Suelen emplearse algunas variantes de seca-aireación, como el secado combinado, el secado por retorno, el secado con dos secadoras, todos los cuales se encuentran explicados en el Capitulo VI.
Igualmente, cuando se trata del secado de diversos granos en el Capitulo IX se hace referencia a la aplicación de seca-aireación.
Son pocos los inconvenientes o desventajas que puede presentar la secaaireación. Uno de los que más se manifiestan se refiere a la necesidad de disponer de varios silos por secadora, equipados con sistemas reforzados de aireación. Se argumenta que no siempre se dispone de los mismos y su construcción requiere inversiones elevadas.
Estas razones pueden rebatirse pues el aumento de la capacidad de secado y el ahorro de energía compensan en poco tiempo los gastos ocasionados.
Otra objeción que suele presentarse es que al no pagarse bonificación por calidad, no se justifica el método por este aspecto. Esto es una realidad, ya mencionada anteriormente. Pero esta situación puede cambiarse en forma substancial si las autoridades modifican las normas y estatutos de comercialización actualmente vigentes. De todas formas, la buena calidad es primordial para la conservación de los granos y para muchas industrias que ya están pagando sobreprecios por un mejor producto.
También se dice que la seca-aireación no es adecuada cuando se trata de partidas relativamente pequeñas que deben ser secadas y despachadas a la brevedad. La duración del proceso de seca-aireación, desde que el grano entra a la secadora, hasta que sale del silo de enfriamiento, listo para el despacho, puede ser de unas 24 horas. Si una partida ingresa húmeda a la planta de acoplo y debe ser despachada en pocas horas, es evidente que sólo puede emplearse el secado convencional extra. En ciertas secadoras es posible convertirlas con alguna rapidez de seca-aireación al método convencional y viceversa, lo que permite hacer frente a situaciones como la mencionada.
Algunos usuarios manifiestan que aplicar seca-aireación requiere un manejo más complicado de la planta, que se debe contar con personal más competente para llevar un buen control de temperaturas y humedades, distribuir correctamente los silos y vigilar constantemente la operación del proceso. Es cierto que se impone una mayor atención en el manejo de una planta equipada con seca-aireación, pero el aprendizaje del personal no resulta difícil. No hay que olvidar que la operación de un centro de almacenamiento moderno se facilita mucho cuando se cuenta con un buen sistema de termometría y se lleva un adecuado registro de temperaturas y humedades del aire.
En el futuro es posible que todas estas operaciones se automaticen, pues ya existen dispositivos y sensores para estas tareas, como ya se ha detallado en otro capitulo.
También se expresa que en plantas equipadas con seca-aireación se produce más desgaste en algunas partes o piezas, como las correas de las norias que llevan maíz caliente, debido al exceso de humedad y calor a que están sometidas, por lo que su duración es menor.
AIANBA (1975). (ornadas de Secado y Almacenaje de Granos. Pergamino, Argentina.
AIANBA (1983). Reunión Técnica sobre Calidad de Trigo. Pergamino, Argentina.
BLIN, M (1979). Installation de séchage "multitemperatures" associé avec la dryeration. Perspectives Agricoles, Mars, N°24: 49. ITCF, France.
BROWN, R.B., FULFORD, G.N., DAYNARD, T.B., MEIERING, A.G. y OTTEN, L. (1979). Effect of drying method on grain coro guality. Cereal Chemistry, val. 56, N°6: 529.
de DIOS, C.A. y PUIG, R.C. (1980). Comparación de dos sistemas de secado de maíz. II Congreso Nacional de Maíz AIANBA, Pergamino, Argentina.
de DIOS, C.A. y PUIG, R.C. (1984). Estado actual del sistema de secaaireación de granos de maíz. III Congreso Nacional de Maíz, AIANBA, Pergamino, Argentina.
GUSTAFSON, R.J. y MOREY, R.V. (1979). Study of factors affecting quality changas during high-temperature drying. Transactions of the ASAE, Vol 22 N°4: 926.
LASSERAN, J.C. (1977). La dryeration ou refroidissement lent differé. Perspectives Agricoles, Juin-Juillet N°6: 59.
MARSANS, G. (1984). Secado y Acondicionamiento de Granos. Junta Nacional de Granos. Centro de Acopladores de Cereales de Bragado.
MC KENZIE, B.A., FOSTER, G.H., NOYES, R.T. y THOMSON, R.A. (s.f.) Dryeration. Better coro quality with high speed drying. Cooperative Extension Service, Purdue University, Lafayette, Indiana, U.S.A., AE-72. 20p.
MC KENZIE, B.A., FOSTER, G.H., y FOREST, P.E. (1980). Dryeration and bin cooling systems for grain. Cooperative Extension Service, Purdue University, Lafayette, Indiana, U.S.A., AE-107. 18 p.
NEVES, M.J.B., FORTES, M., MOREIRA, S.M.C. y PINHEIRO FILHO, J. (1983). Simulaçao físico-matemática do processo de seca-aeraçao. Revista Brasileira de Armazenamento, Vo] 8 N°1 e 2: 3. Viçosa, Brasil.
SABBACH, M.A., FOSTER, G.H., HAUGH, G.C. y PEART, R.M. (1972). Effect of tempering after drying on cooling shelled coro. Transactions of the ASAE, Vol 15, N°4: 763. St. Joseph, Michigan, U.S.A.