Evaporation of fumigants

Contents - Previous - Next

BOILING POINT

The boiling point of different chemical compounds generally rises with the increase of molecular weights. This generalization is borne out by the data for the fumigants shown in Figure 1, where molecular weights are plotted against boiling points. The relationship stated above holds very well, except for methyl bromide, and it demonstrates that important compounds, such as carbon tetrachloride or ethylene dibromide, will evaporate very slowly under practical fumigation conditions. If the highest possible concentrations are required at the beginning of the fumigation with such compounds, more rapid volatilzation will have to be effected in some way.

Figure 1 shows that, from the physical standpoint, fumigants may be divided into two main groups according to whether they boil above or below room or moderate outdoor temperatures (20°C to 25°C). The low boiling point fumigants, such as methyl bromide, may be referred to as gaseous -type fumigants. These are kept in cylinders or cans designed to withstand the pressure exerted by the gas at the highest indoor or outdoor temperatures likely to be encountered.

The second main group of fumigants contains those with high boiling points; these are usually described as liquid-type or solid-type according to the form in which they are shipped and handled. In some kinds of work, such as grain and soil fumigation, the slow evaporation of certain liquids is an advantage because the initial flow leads to a better distribution of the gas subsequently volatilzed. In other applications, where personnel have to distribute the fumigants, slow evaporation of the liquids or solids makes them safer to handle.

Included in the general term solid-type fumigants are certain materials which are not fumigants themselves, but which react to form fumigants after application. Examples are calcium cyanide powder, which reacts with atmospheric moisture to yield hydrogen cyanide (HCN), and formulations of aluminium and magnesium phosphides which also react with moisture to produce phosphine (hydrogen phosphide).

There are also some fumigants in the form of crystals and flakes that sublime to give off fumigant vapours. Examples are paradichlorobenzene and naphthalene.

MAXIMUM CONCENTRATIONS

The maximum weight of a chemical that can exist as a gas in a given space is dependent on the molecular weight of that chemical. This fact, implicit in the well-known hypothesis of Avogadro, has an important practical application. It is useless attempting to volatilize in an empty chamber more fumigant than can exist in the vapour form. Table 2 shows the maximum amounts of a number of fumigants that can be vaporized in a given space. It will be noted that the fumigants with low boiling points, such as methyl bromide or ethylene oxide, may be released in large amounts compared with high boiling point compounds, such as naphthalene and paradichlorobenzene. The data in Table 2, while useful for comparative purposes, apply only to empty spaces. Sorption of the fumigant by the material treated in a given space will permit greater amounts to be volatilized. Nevertheless, the figures given will still apply to the amount which can exist as vapour in the free air space surrounding the fumigated material.

TABLE 1. - ESSENTIAL PROPERTIES OF FUMIGANTS IN COMMON USE FOR INSECT CONTROL

Name and formula Molecular weight Boiling point* (at 760 mm pressure) °C Solubility in water* g/100 ml Flammability* (by volume in air) Percent
Acrylonitrile CH2 : CH.CN 53.06 77.0 7.5 at 25°C 3-17
Carbon disulphide CS2 76.13 46.3 0.22 at 22°C 1.25-44
Carbon tetrachloride CCl4 153.84 77.0 0.08 at 20°C Nonflammable
Chloropicrin CCl3.NO2 164.39 112.0 Insoluble at20°C Nonflammable
Dichlorvos (DDVP) CCl2=CHO.Po.(OCH3)2 221 120°C/14mm Slight Nonflammable
Ethylene dibromide CH2Br.CH2Br 187.88 131.0 0.43 at 30°C Nonflammable
Ethylene dichloride CH2Cl.CH2Cl 98.97 83.0 **0.87 at 20°C 6-16
Ethylene oxide CH2.O.CH2 44.05 10.7 Very soluble at 20°C 3-80
Ethyl formate H.COO C2H5 74.05 **54.0 **11.8 at 25°C 2.7 - 13.5
Hydrogen cyanide HCN 27.03 26.0 Very soluble at 20°C 6-41
Methyl bromide CH3Br 94.95 3.6 1.3 at 25°C Nonflammable
Methyl formate H.COO CH3 60.03 **31.0 **30.4 5.9 - 20
Paradichlorobenzene C2H4Cl2 147.01 173.0 0.008 at 25°C (Flash point***
Phosphine PH3 34.04 **-87.4 **Very slightly soluble 1.79
Sulphuryl fluoride SO2F2 102.6 -55.2 Slight Nonflammable
Trichloroethylene CHCl : CCl2 131.4 86.7 **Insoluble Nonflammable

* Unless other reference given, boiling point and solubility data are from Martin (1961) and flammably limits from Coward and Jones (1952).
** From Handbook of chemistry and physics, 38th edition 1956/57, Chemical Rubber Publishing Co., Cleveland, Ohio, U.S.A.
***3 Sax (1951).

Commodities treated and remarks

Tobacco and plant products; also spot treatment. Injures growing plants, fresh fruit and vegetables. Marketed with carbon tetrachloride.

Grain. Usually as ingredient of nonflammable mixtures.

Only weakly insecticidal. Used chiefly in mixture with flammable compounds in grain fumigation to reduce fire hazard and aid distribution.

Grains and plant products. Injurious to living plants, fruit and vegetables. Highly irritating lachrymator. Bactericidal and fungicidal.

Insects in open space of structures. Does not penetrate commodities.

General fumigant. Particularly useful for certain fruit; may injure growing plants.

Seeds and grains. Usually mixed with carbon tetrachloride.

Grains, cereals and certain plant products. Toxic at practical concentrations to many bacteria, fungi and viruses. Strongly phytotoxic and affects seed germination.

Application to individual packages of dried fruit.

General fumigant, but may be phytotoxic. Safe on seeds but not recommended for fresh fruit and vegetables.

General fumigant. May be used with caution for nursery stock, growing plants, some fruit and seeds of low moisture content.

Usually mixed with CO2. Formerly used for grain, now mainly for stored furs.

Control borers in peach trees and soil insects. Applied as crystals. May affect seed germination.

Grain and processed food fumigant; gas generated from aluminium or magnesium phosphide.

Control of dry-wood termites in structures.

Nonflammable ingredient of grain fumigants. Sometimes used alone.

FIGURE 1. - Relationship between molecular weight and boiling point of some fumigants.

TABLE 2. - MAXIMUM WEIGHTS OF VARIOUS FUMIGANTS WHICH CAN EXIST IN VAPOUR FORM IN AN EMPTY FUMIGATION SPACE AT DIFFERENT TEMPERATURES1

Fumigant

Maximum weight, in grammes/cubic metre2 at indicated temperatures

  0°C 5°C 10°C 15°C 20°C 25°C 30°C 35°C
  (32°F) (41°F) (50°F) (59°F) (68°F) (77°F) (86°F) (95°F)
Acrylonitrile 102.6 129.8 164.4 206.3 252.9 319.1 397.8 482.4
Carbon disulphide 568.1 701.1 843.7 1010.9 1297.2 1430.8 1740.9 2 096.3
Carbon tetrachloride . 288.5 363.0 460.9 572.6 730.9 916.8 1145.4 1 398.5
Chloropicrin 57.8 79.5 108.7 139.5 179.5 220.6 277.8 358.7
Dichlorvos (DDVP) 0.02 0.03 0.05 0.08 0.13 0.21 0.32 0.48
Ethylene dibromide 38.5 54.1 63.7 83.5 112.8 141.2 173.6 214.7
Ethylene dichloride 133.4 173.7 223.7 282.0 350.1 430.3 537.1 668.2
Ethylene oxide 1331.5 1606.6 1854.5 1862.4 1830.4 1800.0 1771.2 1 740.8
Hydrogen cyanide 418.7 532.0 643.4 751.3 900.4 1072.2 1084.7 1 067.7
Methyl bromide 3839.3 4152.8 4079.4 4008.6 3940.2 3874.1 3810.1 3 748.3
Naphthalene 0.15 0.22 0.33 0.43 0.56 0.69 0.95 1.40
Paradichlorobenzene 0.69 1.61 2.49 3.18 5.14 7.89 11.64 17.56
Phosphine 1514.4 1487.2 1460.9 1435.5 1411.0 1387.4 1364.5 1 342.3
Sulphuryl fluoride 4546.0 4464.2 4385.3 4309.2 4235.7 4164.6 4095.9 4 029.4
Carbon dioxide 1959.8 1924.6 1890.6 1857.8 1826.1 1795.4 1765.8 1737.1

1Values calculed from formulas derived by Roark and Nelson (1929).-2Equivalent to milligrames per litre,or ounces(avoirdupois)per 1000 cubic feet.

LATENT HEAT OF VAPORIZATION

Unless it is sustained by warming from an outside source, the temperature of an evaporating liquid constantly drops owing to the fall in energy caused by the escape of molecules with greater than average energy. Thus, evaporation takes place at the expense of the total heat energy of the liquid. The number of calories lost in the formation of one gramme of vapour is called the latent heat of vaporization of the liquid. Some fumigants have higher latent heats than others.

Both HEN and ethylene oxide, with latent heats of 210 and 139 respectively, absorb considerably more heat in passing from liquid to than do methyl bromide and ethylene dibromide, with latent heats of 61 and 46 respectively.

The factor of latent heat is of important practical significance. The high pressure fumigants, such as HCN, ethylene oxide and methyl bromide, are usually kept under pressure in suitable cylinders or cans. On release into the atmosphere, volatilization takes place rapidly and, unless the lost heat is restored, the temperature of the fumigant may fall below the boiling point and gas may cease to be evolved. Also, as the liquid changing to gas is led through metal pipes and tubes, or rubber tubing, the fall in temperature may freeze the fumigant in the lines and prevent its further passage. In many applications, to be described elsewhere in this manual, it is advisable to apply heat to the fumigant as it passes from the container into the fumigation space.

Fumigants that are liquids at normal temperatures and are volatilized from evaporating pans or vaporizing nozzles may require a source of heat, such as a hot plate, in order that full concentrations may be achieved rapidly.

Diffusion and penetration

As stated above, fumigants are used because they can form insecticidal concentrations: (a) within open structures or (b) inside commodities and in cracks and crevices into which other insecticides penetrate with difficulty or not at all. Hence, it is necessary to study the factors that influence the diffusion of gases in every part of a fumigation system. This study includes the behaviour of fumigants both in empty spaces and also in structures loaded with materials into which the gas is required to penetrate.

LAW OF DIFFUSION

Graham's law of diffusion of gases states that the velocity of diffusion of a gas is inversely proportional to the square root of its density.

Also, the densities of gases are proportional to their molecular weights. Therefore, a heavier gas, such as ethylene dibromide, will diffuse more slowly throughout an open space than a lighter one such as ethylene oxide. While this basic law is of importance, especially for empty space fumigations, the movement of gases in contact with any internal surface of the structure or within any contained materials is greatly modified by the factor of sorption discussed below.

The rate of diffusion is also directly related to temperature, so that a given gas will diffuse more quickly in hot air than in cold air.

SPECIFIC GRAVITY AND DISTRIBUTION

Many of the commonly used fumigants are heavier than air. A notable exception is hydrogen cyanide. If a gas heavier than air is introduced into a chamber filled with air and it is not agitated by fans or other means, it will sink to the bottom and form a layer below the air. The rate of mixing between the two layers may be very slow. For example, in a fumigation of the empty hold of a ship with the heavy gas methyl bromide where the fumigator had neglected to place a circulating fan, a sharp demarcation was observed between the lower half with the gas, where all of the insects were killed, and the upper part, where complete survival occurred (Monro et al, 1952).

In good fumigation practice, settling or stratification will not be encountered if adequate provision is made to disperse the gas properly from the very beginning of the treatment. Even distribution can be ensured by employing singly or in suitable combination: multiple gas inlets, fans or blowers and/or circulation by means of ducts and pipes. Contrary to popular belief, once a gas or number of gases heavier than air have been thoroughly mixed with the air in a space, settling out or stratification of the heavier components takes place very slowly; so slowly, in fact, that once a proper mixture with air has been secured, the problem of stratification of a heavierthan-air fumigant is of no practical importance for the exposure periods commonly used in fumigation work.

MECHANICAL AIDS TO DIFFUSION

It has already been suggested that distribution and penetration can be aided and hastened by the use of blowers and fans. Such propellers may work free in the structure or through a system of circulating ducts. These devices may also add greatly to the efficiency of the fumigation process by hastening the volatilization of high boiling point liquids from evaporating pans and by preventing stratification of heavy gases. Also, a factor known as the Turtle effect* has proved useful in the fumigation of certain materials susceptible to injury. It was shown that rapid stirring by a centrifugal fan in a fumigation chamber at atmospheric pressure greatly hastened the attainment of uniform concentrations of methyl bromide in all parts of a load of early potatoes, so that the consignment was not overdosed at the outside of the packages or under dosed at the centre (Lubatti and Bunday, 1958). In a four-hour exposure period, rapid stirring for one hour at the beginning of the treatment was, to all intents and purposes, as effective as continuous stirring for the whole time.

Circulating devices suitable for particular purposes will be discussed in more detail in the section of this manual dealing with specific practices.

SORPTION

A very important factor affecting the action of fumigants is the phenomenon known as sorption. It is not possible in this manual to give a complete explanation of sorption, because the interaction of all forces involved is complex. Fortunately, for the purpose of understanding fumigation practice, it is possible to give a general account of the important factors concerned.

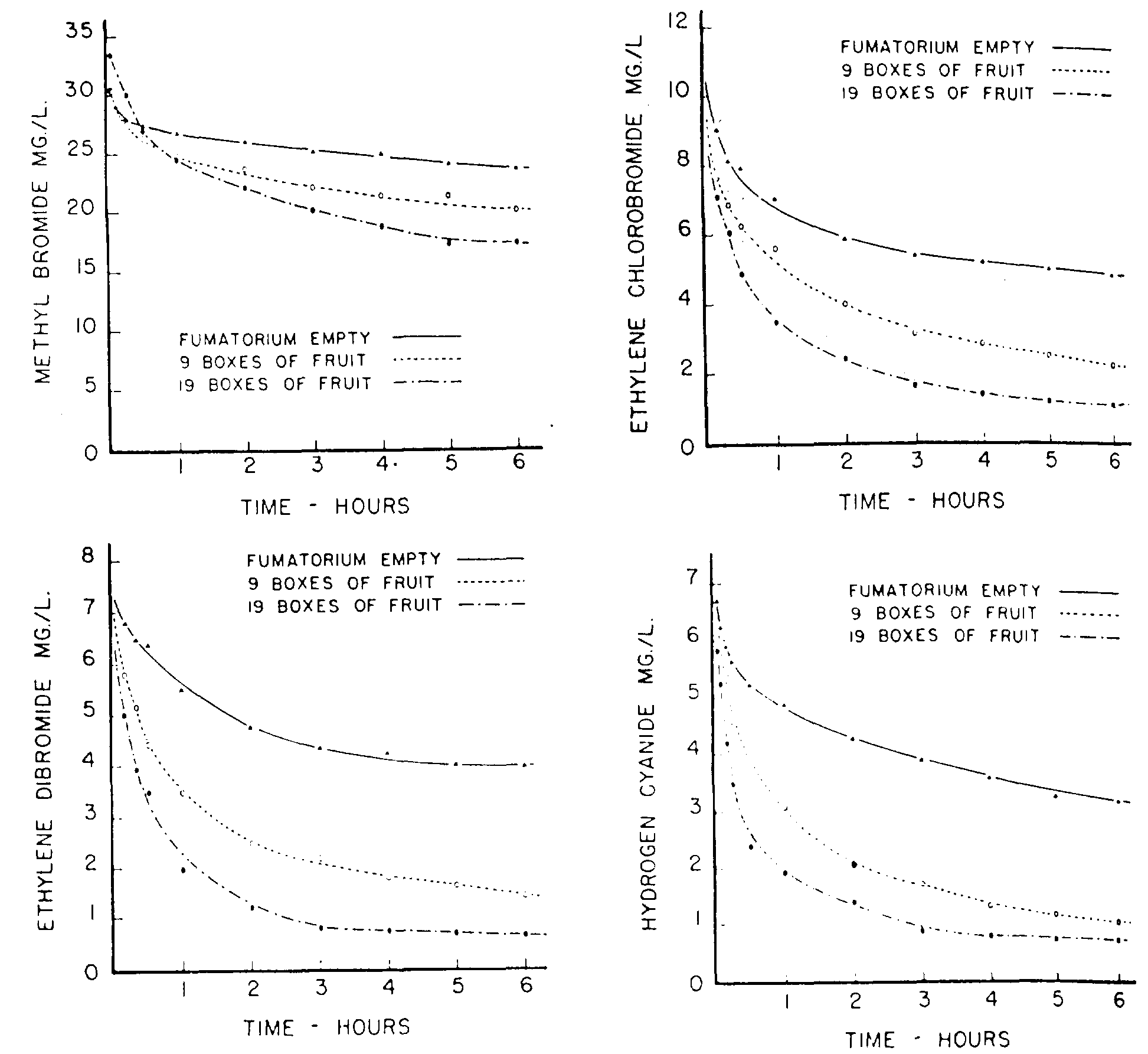
In the relationship of gases to solids, sorption is the term used to describe the total uptake of gas resulting from the attraction and retention of the molecules by any solid material present in the system. Such action removes some of the molecules of the gas from the free space so that they are no longer able to diffuse freely throughout the system or to penetrate further into the interstices of the material. In fumigation practices, collision with air molecules tends to slow down gaseous diffusion through the material and sorption takes place gradually. Thus, there is a progressive rather than immediate lowering of the concentrations of the gas in the free space. This gradual fall in concentration is illustrated in the graphs in Figure 2. The curves for each of the four compounds clearly show the differences in degree of sorption of the fumigants by the same load in the chamber. Throughout the exposure period of six hours, the fall in concentration of methyl bromide was proportionately less compared with that for the three other fumigants, both in the empty chamber and with the two loads of oranges. This was due to the fact that the internal surface of the chambers and the boxes of oranges both sorbed less of the methyl bromide than of the other gases in proportion to the applied dosage. Sorption under a given set of conditions determines the dosage to be applied, because the amount of fumigant used must be sufficient both to satisfy the total sorption during treatment and also to leave enough free gas to kill the pest organisms.

The general term sorption covers the phenomena of adsorption and absorption. These two are reversible because the forces involved, often referred to as van der Waal's forces, are weak. On the other hand, a stronger bonding called chemisorption usually results in chemical reaction between the gas and the material and is irreversible under ordinary circumstances (Berck, 1964).

Phvsical Sorption

From the point of view of practical fumigation, adsorption and absorption, being both physical in nature and reversible, may be discussed in this manual under the heading of physical sorption. However, it is necessary to make some distinction between them at the outset because the forces involved may be less with adsorption than with absorption.

FIGURE 2. - Relationship between load (boxes of oranges) and concentration of fumigant in gas phase in a 3-cubic-metre chamber at atmospheric pressure and 21°C (Sinclair and Lindgren, 1958).

Stated briefly, adsorption is said to occur when molecules of a gas remain attached to the surface of a material. Because some absorbents, such as charcoal or bone meal, are highly porous bodies with large internal surfaces, adsorption may also occur inside a given body.

Absorption occurs when the gas enters the solid or liquid phase and is held by capillary forces that govern the properties of solutions. For instance, a gas may be absorbed in the aqueous phase of grain or in the lipid phase of nuts, cheese or other fatty foods (Berck, 1964).

Physical sorption, considered generally, is an extremely important Factor affecting the successful outcome of fumigations. Apart from specific reactions between certain gases and commodities, it may be stated as a general rule that those fumigants with higher boiling points tend to be more highly sorbed than the more volatile compounds. This is illustrated in the graphs in Figure 2; with this particular load there is greater sorption of ethylene dibromide (boiling point 131°C) and of hydrogen cyanide (boiling point 26°C) than of methyl bromide (boiling point 3.6°C). (The considerable difference in the sorption of hydrogen cyanide and methyl bromide is due to factors other than boiling point or molecular weight.)

Physical sorption varies inversely as the temperature, and is thus greater at lower temperatures. This fact has important practical applications. It is one of the reasons why dosages have to be progressively increased as the temperature of fumigation is lowered (Figure 3).

Sorption may also be influenced by the moisture content of the commodity being fumigated. This was demonstrated by Lindgren and Vincent (1962) in the fumigation of a number of foodstuffs with methyl bromide; at higher moisture contents more fumigant was sorbed. This effect may be important with fumigants which are soluble in water to any significant degree.

The specific physical reaction between a given gas and a given commodity cannot be accurately predicted from known laws and generalizations. Usually, a certain fumigant must be tested with each material concerned before a recommendation for treatment can be drawn up.

Desorption

When a treatment is completed and the system is ventilated to remove the fumigant from the space and the material, the fumigant slowly diffuses from the material. This process is called Resorption and is the reverse of physical sorption. With the common fumigants and the commodities usually treated, residual vapours are completely dissipated within reasonable periods, although the length of time varies considerably according to the gas used and the material treated. Because of the inverse effect of temperature, dissipation of the fumigant usually takes place more slowly when the material is cold and may be hastened by warming the space and its contents.

FIGURE 3. - Effect of temperature on sorption of fumigant by identical loads (weights) of peaches. The same dosage of 48 g per m of methyl bromide was applied in each treatment. (Dumas and Monro, 1966)

Humidity also facilitates desorption of fumigants; at high humidity, wheat fumigated with ethylene dibromide was found to desorb 80 percent more of the fumigant than at very low humidity (Dumas and Bond, 1979). As humidities can change appreciably with changing temperature, the rate of desorption may be dependent on the combined effect of both factors.

Removal of desorbing gas can be speeded up by employing fans and blowers to force fresh air through the material. Natural ventilation may be hastened by taking the goods out of doors where advantage can be taken of wind, thermal air currents and the warming effect of sunlight.

Some of the residual fumigant, usually small in quantity, may not be desorbed because of chemical reaction with the material.

CHEMICAL REACTION

If chemical reaction takes place between the gas and the material, new compounds are formed. This reaction is usually characterized by specificity and irreversibility. If the reaction is irreversible, permanent residues are formed. Examples are the reaction between hydrogen cyanide (HCN) and the reducing sugars in dried fruits with the formation of cyanohydrins (Page and Blackith, 1956) or the appearance of inorganic bromide compounds after treatment of some foodstuffs with methyl bromide (McLaine and Monro, 1937).

Because this type of reaction is essentially chemical it may be expected that its intensity varies directly with the temperature. This assumption has been confirmed by observation. Dumas (1973) has reported proportionately less fixed bromide residues in fruits as the temperature of fumigation was reduced from 25 to 4°C. Lindgren et al (1962) found an increase in the bromide content of wheat as the temperature during fumigation rose from 10 to 32°C.


Contents - Previous - Next