Insect growth regulators

Contents - Previous - Next

By R.L. Semple

Principles

Physiological changes are associated with metamorphosis. This is the change from the larval or immature stage to the adult or imago and maybe totally different in appearance and habits, which are regulated by ecdysones that initiate moulting, and juvenile hormones that regulate growth and development of immature stages and sometimes oogenesis in the adult. The pioneering work done by the Italian entomologist Berless, the famous work of Sir Vincent B. Wigglessworth with the bloodsucking reduviid bug, Calliphora spp., and Fukuda working with the larvae of the commercial silkworm Bombyx mori, helped to elucidate the mechanisms of insect hormones on growth and development.

Professor Carroll M. Williams (1956) was probably the first to recognize the potential of applying insect hormones in pest control, and in 1967 hailed them as "third-generation pesticides, the first generation is exemplified by arsenate of lead; the second by DDT. Now insect hormones promise to provide insecticides that are not only more specific but also proof against the evolution of resistance." These compounds have been commonly termed juvenile hormone (J.H.) mimics or analogues and may act to inhibit, retard or even accelerate developmental process. WiIIiams and Amos (1974) referred to them as "insect developmental regulators", while now they are more readily termed "insect growth regulators (IGRs)."

Because of the discontinuous growth pattern imposed on insects by the rigidity of their exoskeleton, moulting, or the process of secreting a new larger cuticle and shedding their old one, must occur to accommodate the increase in size. This process is common to all arthropods. It generally takes place a number of times during the larval and nymphal stages, and in holometabolous insects, once more when the adult emerges from the pupa. The number of instars (stages between successive moults) is usually greatest in the more primitive insects, such that members of the order Thysanura continuously moult throughout their lives, while in the more advanced endopteryzotes (such as members of the higher Diptera, i.e., muscid flies) may have typically five instars; three larval, one pupal and finally the adult.

The insect cuticle

The cuticle covers the entire external surface of insects and continues into the fore and hind guts, covering the ducts of the dermal glands and the entire tracheal system. It possesses a multilayered structure which provides a one-way barrier for water loss and protection against many external conditions.

The epidermis (or hypodermic) secretes the cuticle during ecdysis, and is supported on a thin sheet of connective tissue called the basement membrane. The cuticle itself is sub-divided into a thin, outer non-chitinous epicuticle and an inner, thicker chitinous procuticle.

The outer epicuticle is 2 to 3 microns thick, comprising four separate layers; an outer cement layer followed by a wax layer impermeable to water but allowing rapid entry of lipophilic insecticides, a layer of polyhenols and protein under which is finally the cuticulin layer containing polymerized lipoprotein.

The procuticle contains protein (arthropodin) and chitin (a polysaccharide in which the unit sugar is Nacetylglucosamine, arranged in an outer exocuticle and an inner layer of similar nature and thickness (approximately 10 microns) but less densely tanned called the endocuticle.

Polymerization of the chitin and protein into a stable copolymer or glycoprotein, by linking a large number of molecules to form long chains, produces an immersely strong, resilient but chemically inert compound, giving the insect cuticle its characteristec strength.

Sometimes layers of a unique rubber-like protein called resilin alternate with layers of chitin. It is particularly abundant in areas of elastic cuticle such as the flexible intersegmental membranes, and in the thorax forming hinges and elastic ligaments for the articulation of wings and aiding energy conversion during flight. It is a long, freely rotating polypeptide chain without free amino-acid end groups and relatively low tyrosine residues held together by infrequent stable bonds caused by a small number of cross-linkages. This gives the structure plasticity and elasticity of movement.

Integument changes at moulting

The beginning of the moult is the detachment of the epidermis from the cuticle, a process called apolysis. The rearranged epidermis secretes a thin lipoprotein layer which is the precursor of the final cuticulin layer of the new epicuticle. At this time, a moulting fluid is pumped into the exuvial space containing digestive enzymes which breakdown protein to amino acids, and chitin to individual sugar molecules of the old endocuticle. The epicuticle previously formed is permeable to molecules in solution, since the products from the old cuticle are recycled back into the epidermis for the formation of new cuticle or passes into the haemolymph and stored in the fat body.

The epidermis secretes the new cuticle by small cytoplasmic papillae which eventually form the pore canals through which the protective outer layers are secreted. The new pharate instar is protected to a certain extent by the cuticle of the previous instar, but is still aware of external conditions since in many cases, the sensory setae of the old cuticle maintain contact through the moulting fluid and new cuticle to the original sensory cells.

After the moulting fluid has dissolved the inner layers of the previous cuticle, it is resorbed by the epidermis and replaced by air. Wax layers are secreted over the new cuticle rendering it impermeable, and through contraction of abdominal muscles and increasing blood pressure in the thorax, the remaining old cuticle splits at the weakest point, usually the mid-dorsal line. This process is known as ecdysis; the Insect emerges leaving the cast-off skin or exuviae behind; while swallowing air and stretching its much folded and creased new cuticle until it assumes its final shape and size. The inner layers are secreted, while additional layers of endocuticle are added throughout the duration of the instar.

Fig. 1. Structure of cuticular proteins (diagrammatic): A, Resilin; B, Sclerotin. From Insects of Australia, CSIR.

 

Hardening and darkening

The cuticle of a newly emerged insect is often soft and colourless, and is converted into the horny exoskeleton by the reaction of the polypeptide chains with quinones under the action of specific enzymes.

This process, referred to as sclorotization, where the tanning quinones react with the free amino groups of the protein of the epicuticle and outer procuticular layers, causing extensive crossbonding and dehydration.

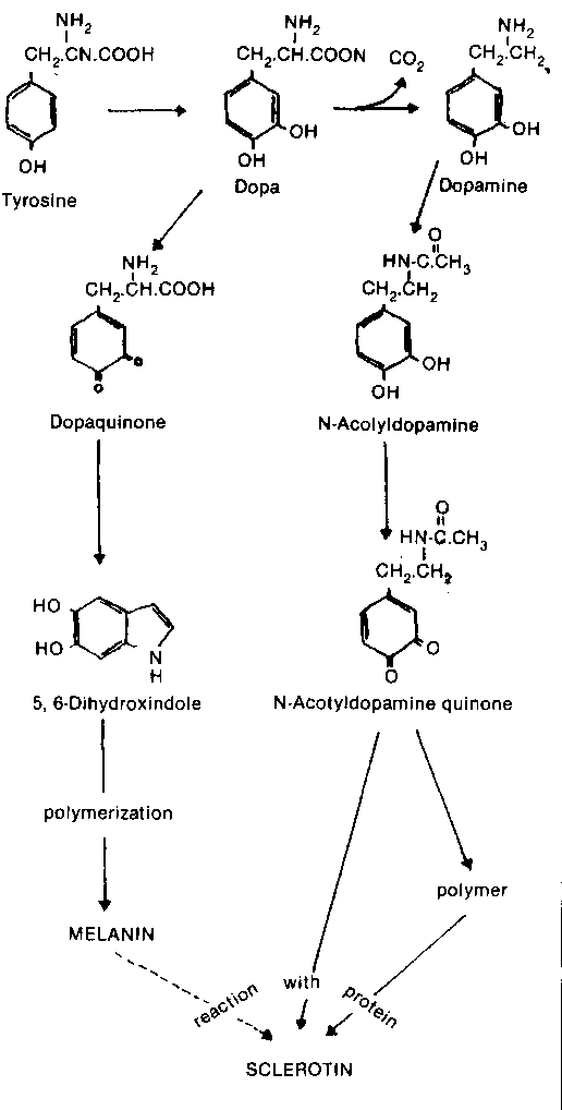
The quinones are derived from the amino acid tyrosine which accumulate in the haemolymph before ecdysis, and migrate into the cuticle during the hardening process. The intermediary in this reaction is the diphenol N-acetyldopamine, which is derived from tyrosine. In the presence of the oxidative enzyme phenolase, the quinone is 'ultimately formed which tend to condense with one another and fill the spaces between protein chains or form the polymerized indole pigment melanin. The cross-linked, pigmented protein of the exocuticle or sclerotin, produced by the action Of quinones, is responsible for the common brown or black colouration of the insect integument. Many other integumentary colours are formed from interference by the interaction of light through thin films separated by a material of different refractive index or fine striations on the cuticular surface, and by the accumulation of other pigments in the blood or epidermal cells below a fairly transparent cuticle.

Hormonal balance

Cuticle synthesis and moulting are controlled by three groups of growth regulators - the brain hormones, the ecdysones and the juvenile hormones. Under normal concentrations, these growth regulatiors also control other developmental processes in insects including sexual maturation, colour differentiation and reproduction.

Fig. 2. Reaction pathways in the formation of sclerotin. From Insects of Australia, CSIRO, various authors.

Briefly, the mechanism and interaction of these hormones in metamorphosis are as follows:

The brain hormone, the prothoracicotrophic hormone (PTTH), is secreted by neurosecretory cells of the brain and released by the corpora cardiaca (CC). It activates the prothoracic glands (PTG) which stimulates the insect to moult. The kind of replacement cuticle secreted by the epidermal cells at each moult or ecdysis, is regulated by a third group of hormones, the juvenile hormones (JH) which are secreted by the corpora allata (CA), a paired organ situated in the head. In the presence of JH larvae moult into larvae. However, when the JH titre in the haemolymph is reduced or absent, larvae or nymphs of hemimetabolous insects such as grasshoppers, metamorphose into adults, while larvae of holometabolous insects such as butterflies moult into pupae and then into adults.

Moulting is controlled by regulating the release of the brain hormone; maturation and metamorphosis are regulated by controlling the release of juvenile hormone (Fig. 1).

Insects use alpha ecdysone, beta ecdysone and perhaps others as moulting hormones. Work by Krishnakumaran and Schniederman (1968) have proved that ecdysones appear to be moulting hormones for all arthropods in general.

Moriyama et al. (1971) also suggests that beta ecdysone is the active material and that alpha ecdysone is rapidly synthesized into this form by tissues such as the fat body.

It must be emphasized that the misnamed steroid ecdysone initiates apolysis in the moult cycle (and puparium formation in flies culminating in tanning of the old larval cuticle) and not ecdysis. The moult cycle consists of the following chain of events; apolysis - moulting fluid production initiation of cuticle formation - moulting fluid activation - exocuticle secretion - ecdysis tanning - endocuticle deposition (Lock, 1964).

Fig. 3. Changes in the endocrine activity of the corpora allata of the cecropia silkmoth during the third, fourth, and fifth larval stages and during metamorphosis. Activity was assayed by transplanting corpora allata from cecropia at each stage into test polyphemus pupae. The break in the time scale represents storage of the donor pupae at 6°C for 10-20 weeks to break diapause; the cross-hatched zones represent larval molting. From Williams (1961).

 

The final stages of moulting are regulated by ecdysial brain hormones released from the C.C., and identified in the pupal ecdysis of some insects as the eclosion hormone (Truman and Riddiford, 1970). A second hormone released from me Perivisceral organs (P.V.O.) called bursicon, regulates the postecdysial hardening and darkening of the new cuticle (See Fig. 4). The deposition of endocuticle during the course of the instar appears to be controlled by another brain factor (Locke. 1970).

The other fact to consider, as pointed out by Schneiderman (1971), juvenile hormones (JH) and moulting hormones (MH) do not act antagonistically, but rather act in harmony with one another in their effects on morphogenesis (N.B.: not a synergistic effect).

In the endopterygotes, when the larvae hatch from the egg, they already contain the blueprint for the ultimate adult form by a small group of cells or imaginal discs. These do not begin to develop until the pupla stage where the larvae structures are broken down and replaced by new adult structures developing from the imaginal discs (in more advanced forms).

Willis (1974) emphasizes that the inhibitive action of cuticle synthesis in imaginal discs is not related to antagonism between ecdysone or juvenile hormone, but that J.H. favours the formation of pupal cuticle and inhibits the formation of adult cuticle.

Chemistry of juvenile hormones

Attempts to obtain active juvenile hormone by extraction of Corpora allata failed, until an unpurified extract was obtained from the abdomens of the adult males of Hyalaphora cecropia (= Platysamia cecropia), a Saturnid silkmoth (Williams, 1956). Purified extracts were not isolated until 1967 by Roller et a/. and by Meyer et al. in 1968. which differed only slightly from the farnesol derivative obtained by Bowers et al. (1965) (Fig. 5A).

The first compound identified as possessing juvenile hormone activity was isolated from faeces of the yellow mealworm, Tenebrio molitor by Schmialek in 1961. This was the sesquiter terpenoid alcohol farnesol, but was not as active as some of the synthetic derivatives (the terpenes farnesyl methyl ether and farnesyl diethylamine) which were similar in potency to the isolates from Cecropia.

Other mimetic substances displaying juvenile hormone activity were straight chain aliphatic ethers such as dodecyl methyl ether and dodecyl ethyl ether, which possessed similar activity as the farnesyl ethers when assayed in T. molitor and the waxmoth, Galleria mellonella (Fig. 5B). Slama and Williams in 1966 discovered that the paper towelling used in rearing jars possessed morphogenetic effects on the linden bug, Pyrrhocorus apterus by inducing supernumerary moulting. This "paper factor" from wood pulps of fir, hemlock, yew, larch, spruce and pine was found to be specific to members of the Pyrrhocoridae (fire bugs and stainers), and the active component was later isolated and identified from balsam fir wood as juvabione, a sesquiterterpenoid unsaturated methyl ester which was also active against other insects such as Tenebrio (Fig. 5C).

Many compounds that possess activity to naturally occurring insect hormones have subsequently been developed, a vast majority of which has an acyclic terpenoid skeleton to which various functional groups are attached. Naturally occurring juvenile hormones isolated from the tobacco hornworm, Manduca sexta (L.) have been terpenoid ethers, epoxidised aromatic ethers, bans, bans dienoate ethers and unepoxidised dienoates.

The most widely studied juvenile hormone analogues have been methoprene and hydroprene synthesized by Zoecon, Palo Alto, California. Various terpenoid compounds have recently been evaluated for their potential in reducing the productivity of Rhyzopertha dominica (Fab.), Sitophilus granarius (L) and S. oryzae (L) at concentrations of 5 and 20 ppm (Amos, et a/., 1982). An all bans alkyl-terpenoid ketone was the most active against these species, while the arylterpenoid alkylethers were not promising although previously demonstrated as being highly effective against numerous dipteran species. The most effective arylterpenoid epoxides were not considered as potential candidates due to their relative inactivity against Tribolium castaneum and T. confusum in previous studies.

Certain commercial insecticide synergists such as piperonyl butoxide (PB) have been shown to be effective in blocking metamorphosis of Tenebrio and the milkweed bug, Oncopeltus fasciatus. Bowers synthesized the methylendioxyphenyl group chatacteristic of PB with terpenoid moieties similar to cecropia JH which greatly enhanced its activity. In a more recent study, Pratt et a/., (1981) found that either natural pyrethrins or permethrin were more highly synergized and active against T. castaneum when mixed with Hoffman La Roche RO 20-3600 (6, 7-epoxy-3, 7-dimethyl-1-(3-, 4(methylenedioxy)-(phenoxy)-2-nonene) than PB at 1:10 and 1:7 ratios. The usefulness of this juvenile hormone analogue as a pyrethroid synergist is due to its ability to inhibit the microsomal mixed function oxidases that would otherwise degrade permethrin via oxidative pathways as demonstrated in cockroaches, houseflies and cabbage looper larvae.

Fig. 4. The insect endocrine system (above) and the effects of its hormones on growth and development (below): br, brain; cc, corpus cardiacum; ca, corpus allatum; ptg, prothoracic gland; pvo, perivisceral organ; PTTH, prothoracicotropic hormone; JH, juvenile hormone.

Source: "Biochemistry of Insects" Edited by Morris Rockstein - Biochemistry of insect hormones and insect growth regulators Lynn M. Rddiford and James W. Truman, p309.

Figure 5. Some early compounds possessing juvenile hormone activity. JH-I and JH-II posses equal activity against Lepidoptera, while JHII was less than one-fifth as active against Tenebrio. All insects tested were sensitive to cecropia JH-I.

Compound

 

Toxic effects of IGR's

Professor Scneiderman from the school of Biological Sciences, University of California (1971) as well as Riddiford (1972) and Wigglesworth (1970) have shown that the timing of application of IGR's during insect development is critical in its subsequent effects. He states,

"If insects are experimentally exposed to large amounts of ecdysones or exposed to ecdysones during the life cycle when they are not normally active, they may be toxic and cause various developmental abnormalities, including a juvenilizing effect. Normally, low concentrations of ecdysone stimulate DNA replication and cell division, whereas larger amounts stimulate the immediate synthesis of new cuticle. From work done with Tenebrio pupae, injection of a few micrograms of beta ecdysone caused it to moult into a second pupa instead of an adult. The reason being for a nymph or pupa to develop into an adult it must "clean its genes" before it can make adult cuticle, and this programming can only occure at times of DNA replication. The high level of ecdysone subjected the Tenebrio pupae to make old cuticle before DNA replication could take place."

Many effects of IGR's have been documented from experimental research on a wide range of economically important insect pests. Impairing embryogenesis when IGR's are applied early in egg development has been studied by Riddiford (1972) and MacFarlane and Jameson (1974) with the tortricid moths "codlin moth" Cydia pomonella L. and the "oriental fruit moth" C. molesta Busck.

The application to larvae results in the disruption of pupal development and adult emergence and the formation of various intermediate forms between larva and pupa, pupa and adult or larva and adult, where reproduction is inhibited and normal ecdysis is not achieved. Application of IGR's to larvae when some cells are insensitive while others are not, leads to the production of these mosaics, and has been demonstrated in stored products insects by Strong and Diekman (1973), Loschiavo (1975), Metwally and Sehnal (1973), Amos et al., (1974) among others.

If treated larvae do complete development they may give rise to morphologically deformed adults (Amos and Williams, 1974). They recognized a range of adult deformities with Tribolium castaneum Herbst including aberrations of the tars), legs reduced to unchitinized stump-like appendages, lack of differentiation and poorly chitinized antennae clubs, to crumpled and greatly diverging wings and elytra and developmental intermediates or "adultoids" (pupal-adult mosaics). Some IGR's increased developmental mortality while others inhibited complete development of adults depending on applied concentration.

Leftwich (1976) has referred to the delay in the appearance of adult characters due to excessive JH (induced exogenously, naturally or by the presence of parasites) by disrupting the hormonal balance between CA and PTG as "metathetely" whereby the production of insect intermediates may be formed. Conversely, "prothetely" is the terminology used to refer to precocious formation of adult characters through insufficient JH.

Not only have morphologically deformed adults been produced when exposed to various concentrations of JH analogues, but also adults whose reproductive physiology has been impaired in some way. In stored products insects, this sterilizing effect has been observed in the "khapra beetle" Trogoderma granarium Everts (Metwally et a/., 1972) as welI as Tribolium castaneum (Herbs") when adults were previously reared in flour incorproating either the IGR methoprene or hydroprene (Amos et a/., 1977). The productivity of adults was impaired depending on the concentration of IGR in its diet and its sex, but was independent of whether the D not the individual was morphologically deformed (Table 1).

Reproductive behaviour in adults may also be impaired as found in the "lndian mealmoth", Plodia interpunctella (Hubner) when larvae were treated at sub-lethal doses of IGRs (Oberlander et al., 1975). Prolonged treatments during late larval life did not prevent pupation and eclosion but greatly inhibited the adult moths from mating. Obviously, the advantage is that the concentration of IGR required is considerably less to inhibit mating or reducing reproductive potential than that required to prevent metamorphosis or deleterious morphological effects.

 

Mode of application of IGRs

For the practical application of IGRs in pest management systems, three possible modes of exposure by surface contact, vapour action and ingestion of treated media have been investigated (Oberlander et al., 1979).

Marzke et al., (1977) studied exposing sexually mature females of the "cigarette beetle" Lasioderma cerricorne (F.) to filter paper impregnated with methoprene. The productivity of treated females with non-treated males was markedly inhibited and dependent on concentration.

Metwally et a/., (1972) exposed T. granarium Everts to the vapours of various IGRs which inhibited productivity of treated adults and prevented larvae and pupae development.

Amos and Williams (1977) have also demonstrated insect growth regulators that possess enhanced activity due to toxic avpour action. They studied "the effects of two IGRs on the productivity of Rhyzopertha dominica, Sitophilus oryzae and S. granarius by exposing insects to wheat treated with methoprene (isopropyl 11-methoxy-3, 7, 11-trimethyldodeca-2, 4-dienoate) or hydroprene (ethyl 3, 7, 11-trimethyidodeca-2, 4dienoate) at concentrations of 1, 5, 10 and 20 ppm. Parental adult mortality was generally higher on wheat treated with methoprene than with hydroprene, and this effect was usually enhanced under unventilated conditions (Table 2). The productiovity of the three species was markedly reduced, in some instances suppressed, under unventilated conditions, whereas only R. duminica productivity was depressed under ventilated conditions (Table 3). When progeny were produced, their productivity was, in general, lower than normal . "

Hydroprene was generally less active than methoprene. Strong and Diekman (1973) observed no adult mortality or ovacidal effects when these species were exposed to merhoprene or hydroprene treated wheat, while McGregor and Kramer (1975) also found these IGRs non-toxic to adults. This study establishes significant parental mortality under non-vetillated conditions due to the existence of a towic vapour effect. Sitophilus spp appeared to be relatively insensitive to these analogues (Steal, 1975), but from these findings, control or at least suppression of productivity would be expected in bulk storages which would more approximate to the unventillated conditions used in this experiment.

Most of the previous literature cited on the effects of IGRs on stored products insects has been administered through their diet. This provides only a feeding insect with continuous exposure, whereas the surface contact or vapour action maybe equally effective with larvae, pupae and adults (which may not feed).

Bhatnagar-Thomas (1976), studied both injection and vapour action of the Juvenile hormone analogue (JHa) altozar for controlling T. granarium Everts. JHa absorbed on inert materials such as chalk and cellulose retained most of its activity even after 6 months storage. Not only did hydroprene impregnated tablets and filter paper strips suppress development, but terminated larval diapause earlier and the lifespan of the normal larvae was not prolonged (by the production of supernumerary larvae). The production of larval/pupal intermediates from normal larvae took 22 days at 0.5 ppm JHa, while diapausing larvae required 32 days at the same concentration. Metamorphosis of 4-hour old female pupae was completely inhibited at 1.0 - 1.5 ppm JHa, while concentrations of around 0.5 ppm produced a mixed population of sterile adults and adultoids

Table 1. Viability and productivity of adults of T. castaneum previously reared in flour containing either methoprene or hydroprene

IGR and
concentration
(ppm)
Adult type (N or D)* crosed with control adult Male Number
of crosses set up
Number of croses producing
progeny
Mean number of
progeny****
Female
Number
of crosses
set up
Number of crosses producing
progeny
Mean number of
progeny****
Methoprene              
0.001 D 14 11 142.7ab 26 15*** 131.6a
  N 30 27 129 8ac 30 30 138.9a
0.01 D 18 14 173.9b 22 15*** 138.9a
  N 28 27 132.6a 30 25 121.3a
0.1 D 28 3* * * 69.3c 30 5* * * 99.6a
  N 30 16* * * 80.8C 30 27 119.7a
Hydroprene              
0.001 D 4** 4 112.0 3** 0 -
  N 30 24 121.2a 29 27 138.1a
0.01 D 29 19*** 145.8a 28 8*** 126.4ab
  N 30 27 146.5a 30 26 143.3a
0.1 D 30 20*** 130.1a 30 16*** 98.4b
  N 30 28 161.0a 29 27 135.0a
Control 30 29          

Fig. 6. Diagrammatic scheme of insect growth regulator actions during the insect life cycle.

Adapted From:

"Advances in insect growth regulator research with stored grain insects" Oberlander, et al., (1979). Proceedings of Symp. on prevention and control of insects in stored food products.

Table 2. Percentage mortality of parental adults of three stored grain insects exposed to IGR-treated wheat for 7 days under ventilated and unventilated conditions

IGR Concn Ventilation

Percentage mortality of adults of:

      S. oryzae S. granarius R. dominica
Methoprene 0 V 0 2 0
    UV 11 1 1
  1 V 12 73 4
    UV 81 11 96
  5 V 5 84 5
    UV 86 39 98
  10 V 8 94 6
    UV 96 30 100
  20 V 3 86 18
    UV 100 100 100
Hydroprene 0 V 13 1 9
    UV 1 0 1
  1 V 3 1 16
    UV 4 1 6
  5 V 7 3 11
    UV 6 1 13
  10 V 23 2 39
    UV 12 1 17
  20 V 5 4 45
    UV 97 74 25

V, ventilated, UV, unventilated

Extracted from "Insect Growth Regulators: Some effects of methoprene and hydroprene on productivity of several stored grain insects." T. G. Amos and P. Williams, Aust. J. Zool., 25,1977.

Table 3. The difference between the productivity of adults of three stored grain insects when on wheat treated with methoprene or hydroprene and when on untreated wheat under ventilated and unventilated conditions

IGR Concn Ventilation

Percentage mortality of adults of:

      S. oryzae S. granarius R. dominicaA
Methoprene 1 V + 10 18 - 99
    UV -1 00A 89* -1 00
  5 V + 9 12 - 99
    UV - 98A 72* -100
  10 V + 65 * 73 - 99
    UV -1 00A 91 * -1 00
  20 V - 12 - 14 - 99
    UV - 100A - 100A - 100
Hydroprene 1 V + 54 +9 - 28
    UV -2 - 22 - 86
  5 V +20 -5 - 98
    UV -29 -87* - 99
  10 V -37 -25 - 99
    UV -51 -98A - 100
  20 V -19 +8 -100
    UV -100A -100A -100

V, ventilated. UV, unventilated. ·Significant at P = 0.05, Duncan's Multiple Range Test.
A No statistical test for significance carried out.

Extracted from the same source as Table 2.

 

DISADVANTAGES OF APPLIED IGRs

Prolonging larval life

Many reports have been made on the effects of e%posing larvae of stored products insects on IGR treated diets. Firstenberg and Silhacek (1976) found that the larval feeding period of P. interpunctella was prolonged approximately double the feeding period of control larvae, and dependent on applied concentration, but did not after the rate of feeding. Metwally and Sehnal (1973) found that T. granarium larvae treated within the first nine days of the last instar which lasted a total of thirteen days, underwent up to six extra larval moults, increasing the longevity of the larval trophic phase by more than four months compared to the controls.

Most superlarvae either died or pupated usually into morphologically normal adults while a small proportion formed adultoids. Pupla adult intermediates were also produced when the IGR compounds were applied within the first third of the pupal instar.

When larvae were subjected to vapours of the JH analogues for 6 weeks, the last instar larvae performed 1-4 extra moults finally developing into either larvalpupal intermediates or normal pupae which produced both morphologically normal adults and adultoids. When pupae alone were exposed, normal adults were produced although fecundity was lower than adults from untreated pupae (the hatchability of these eggs was reduced by 75% while most larvae died within the first two or three instars).

Ishaaya and Yablonski (1976) found also that treating T. castaneum larvae with hydroprene (ZR-512) or triprene (ZR-619) in their diet at 10-1000 ppm prolonged larvae feeding by 10x and doubling larval weight as compared to untreated control larvae. The period between fourth instar larvae and pupation was considered critical for JH effect. Loschiavo (1975) also found that the developmental period of larvae was delayed by 5 days in the "confused flour beetle" Tribolium confusum Jacquelin du Val and pu to 6.5 days for the "rust red flour beetle", T. castaneum (Herbs") when reared on a diet containing hydroprene and methoprene at 10 ppm as compared to larvae reared on untreated media. Alternatively, triprene or kinoprene (ZR-777) had no effect on larval survival or development in either species. Williams and Amos (1974) exposed eggs (0 - 2 days old) of T. castaneum to a range of JH analogues. With hydroprene at 5 ppm, percentage survival was similar to controls, but at 20 ppm and methoprene at both 5 and 20 ppm, development of immature stages was prolonged with individuals either dying in the larval stage or as adultoids. Adults were not produced.

They commented that, "Prolonging this developmental trophic stage is likely to result in more food being consumed or contaminated, or both. For control of existing insect infestations it may be more desirable to use a JH compound which does not appreciably increase the larval life span, which preferably should be reduced. In this situation, the compound should indeally either inhibit the development of the egg or young larva, or affect the prepupal and pupal stages so that metamorphosis is either prevented or the adults produced are sterile."

Time of application

Most reports on the effectiveness of IGRs on stored grain insects have emphasized that those possessing juvenile hormone activity must be available to target insects early in the last larval instar and must be maintained to be effective (Brieger, 1973).

IGR's exert their influence during limited periods of the insects life cycle, resulting in a variety of morphological and physiological deformities. For example bugs, locusts and other hemimetabolous insects are usually only sensitive to juvenile hormone analogues or mimics shortly after the last larval ecdysis during the first thired of the last larval instar, or after adult emergence, where JH then has an ovicidal effect. Larvae of most holometabolous insects such as Lepidoptera and Coleoptera are sensitive only at the end of the last larval instar, while the pupae are sensitive for several hours or at most a few days after the lastlarval ecdysis.

Therefore to be effective in the field, juvenile hormone analogues must be applied at critical times to be effective and persist long enough to expose all members of the pupulation during periods of sensitivity to juvenile hormone. They must be stable and effective for several weeks under field conditions if these control agents are to be of any practical use (Schneiderman, 1971).

Cross-resistance to IGRs

Certain strains of insects that exhibit resistance to insecticides can also show some level of cross resistance to certain IGRs. There is a number of reported incidences where pests of medical importance and field pests have disphlyed crossresistance, including houseflies (serf and and Georghion, 1974) mosquitoes (Brown and Brown, 1974) and aphids (Hrdy, 1974).

Dyte (1972) reported that malathion resistant strain of T. castaneum also showed resistance to a juvenile hormone analogue. However, in many other instances, no cross-resistance to IGRs have been reported in stored-products insects. Silhacek, et al., (1976) did not establish cross-resistance in three malation-resistant strains of Plodia interpunctella while Amos and Williams (1974) found that methoprene and hydroprene reduced or suppressed the productivity of both susceptible and multi-resistant strains of Rhyzopertha dominica Fabricus. The resistant strain had a resistance foactor of x 37.7 to malation, which suggests no crossresistance to the two IGRs. Amos et al., (1977) compared the effects of both methoprene and hydroprene on the developmental survival of three malathion resistant strains of T. castaneum and one of T. confusum with a malationsusceptible strain of each species. In either case no crossresistance to the IGRs was detected. With T. castaneum the two IGRs were in fact more effective in reducing developmental survival of the malathion-resistant strains than the malathion susceptible strain. Development was completely inhibited at 20 and 5 ppm, while at 1 ppm, developmental survival was low with most adults being deformed in the susceptible strain, and only adultoids being formed in two of the resistant strains.

Similar effects with hydroprene were observed with T. confusum where at 20 ppm no individuals completed development and at 5 ppm, adult emergence was low with most being deformed. Adultoids were visible at both these concentrations (see Fig. 3).

Beetles of different families posses different responses and sensitivity to JH analogues, and consequently results of assays on one species cannot be extended to all Coleoptera (Metwally and Sehnal, 1973).

Schneiderman (1971) also states that, "At certain stages in their development, insects normally inactivate, sequester or excrete juvenile hormone and many juvenile hormone analogues. Thus nature has endowed insects with a built-in mechanism to resist the artificial application of JHa's at specific stages. Mechanisms which inactivate JH or its analogues normally function only at specific times in development, but the existence of such mechanisms guarantees that natural selection could produce populations of insects which would be resistant to exogenous juvenile hormone analogues. Differences in sensitivity among different families stems from differences in rates of penetration, breakdown, excretion, storage or differences in behaviour feeding habits, etc. of insects tested. The fact that insects of one genetic make-up respond to JHa, whereas closely related insects of a different genetic make-up fail to respond, indicates that resistance to JHa could be selected in nature."

Candidate IGRs should therefore be evaluated for the potential of cross-resistance with the appropriate target species before a full evaluation of these compounds can be ascertained.

Other effects of IGRs on insects

The application of IGRs during the development of a polymorphic insect can upset caste and phase determination. Certain social insets such as ants and termites are of considerable economic importance and difficult to control with conventional insecticides. If an IGR with morphogenetic activity was introduced into the nest which maintains a reproductive queen and also feeds and grooms their young, it may seriously effect caste systems and the developing progeny. French (1974) observed a caste shift from workers into soldiers in the Australian termite Nasutitermes exitiosus (Hill) when reared on a diet containing 0.1 % hydroprene.

Different phenotypes of locusts resulting in distinct phases (solitary and gregarious) are dependent on pupulation density. Variations between phases including colouration, rate of development and behavioural characteristics are controlled hormonally, with the CA and PTG being implicated in these coulur changes. Locust nymphs exist in a green or yellow form in the solitary phase, and yellow with extensive black patterning int the gregarious form. Gregarious behaviour, where nymphs or hoppers from large bands, is passed onto the winged adults who form devastating migratory swarms. This enables reproductives to escape from overcrowded areas and find suitable breeding grounds with sufficient soil moisture for egg-pod survival and emergence of another generation of hoppers. About 10 species of Acrididae rank as locusts because of this phase change, the desert locust Schistrocerca gregaria being a good example. Kentromorphic phases triggered by overcrowding is not exclusive to locusts and is known in Phasmida and larvae of some Lepidoptera. Sehnal et al., (1976) have reviewed the effects of applied juvenoids to eggs, larvae and pupae of noctuid moths, which contains many destructive "armyworm" species.

Juvenile hormones are also unquestionably involved in the regulation of diapause, so the possibility exists for the application of JH analogues which can either prevent or induce diapause. Diapause is a condition of physiological arrest which permits survival during conditions of extreme heat, cold or drought. It can be inherited and therefore obligatory, or facultative and initiated by various environmental stimuli including photoperiod, temperature, humidity or by various combinations. Therefore, the termination of diapause by application of JHa can have disastrous consequences on insects which are dependent on this phenomina for survival.

Fig. 7. Developmental survival, together with information on adult deformity and adultoids, of malathion-resistant and -susceptible strains of T. castaneum and T. confusum when reared in diets containing either methoprene or hydroprene.

Extracted from "Susceptibility of malathion resistant strains of Tribolium castaneum and T. confusum to the insect growth regulators methoprene and hydroprene," Amos, et a/., (1977).

Termination of diapause by IGRs has been demonstrated in various field crop pests such as "the pink ballworm", Pectinophora gossypietla (Sauna), the alfalfa weevil Hypera postica (Gyllenhal) and the infamous "Colorado beetle", Leptinotarsa decemlineata (Say).

Bhatnagar-Thomas (1976) has shown that hydroprene at 0.1.-1.5 ppm in stored food would protect it from T. granarium Everts infestation and when applied as tablets or strips, terminates larval diapause comparatively earlier than mixed with the diet. Hydroprene is 7 times more active than ethyl farnesoate which at 20 ppm, arrested metamorphosis of normal as well as diapausing larvae (BhatnagarThomas, 1972).

PHEROMONES

Definition: Pheromones (once classified as ectohormones) are chemicals secreted from dermal glansa of insects into the external environment, that elicits a specific reaction in the receiving individuals of the same species. Such substances maybe conveniently grouped into categories relating to their specificity of action.

Sex pheromones, sex attractants or lures:

Ofter the behavioural sequences in response to sex pheromones is extremely complex. The male reaction to the volatile odour emitted by the female is considerably more complex than a simple attraction to odour source. Usually the sex pheromone is released by the female insect to guide the male, as in the majority of the Lepidoptera and can be effective over quite astonishing distances.

Behavioural control programmes using sex pheromones are difficult in that the insect immediately involved is the wrong sex. Certain male insects do release sex pheromones but these are generally shortrange sex stimulants for mating.

The sex pheromones elucidated from the silkmoth Bombyx mori and "gypsy moth", Porthetria dispar have been identified as long chained unsaturated alliphatic alcohols, which are related to acids and alcohols of the cuticular wax. Others are more complex compounds such as terpenoids, many of which are responsible for the fragrance of plant oils and resins.

Alarm or warning substances

An example of this is pinene, and alarm substance which arouses aggressive behaviour in soldiers of Australian termites of the genus Nasutitermes.

Marker substances

Honeybee workers deposit an abundant source of nectar, a substance called Geraniol, which acts as a marker for following workers. Ants also leave odour trails which other members of the colony will follow.

Importance in promoting cooperative behaviour in social insects

Larvae of social Hymenoptera such as members of the family Vespidae, yield a secretion which is actively sought by the workers (sterile females) and probably acts as a unifying force in the colony. The wasps solicit the secretion so avidly that the growth of the larvae maybe stunted. In the honeybee, Apis mellifera, all larvae from fertilized eggs are capable of developing into queens, if fed throughout their lives on a special secretion or "royal jelly" by the worker nurses. Unlike other colonial hymenoptera, the larvae of honeybees do not return any secretion in return of nourishment supplied by the nurse bees. However, a potent pheromone or queen substance can suppress ovarian development in workers that imbibe it, since most colonies have one solitary female reproductive. This action in colony adhesion is supplemented by food exchange between adult bees, by need to conserve warmth by clustering, and by visual factors and responses to vibration and odours.

The presence of an active king and queen in a termite community also inhibits development of other reproductives except in remote parts of the colony. Caste determination (it is now believed that each newly hatched nymph has the potential to develop into any caste) is under hormonal control and is passed from individual to individual by licking and food exchange and is able to induce specific actions, such as stimulating the development of reproductive organs or inhibiting the development of particular structural features. Nutritional control, the amount and type of food as well as tactile and olfactory stimuli also play an integral part in caste determination in Isoptera.

Aggregation

An aggregation pheromone has also been noted which keeps members of a specific population grouped together. Such substances have been recently recognized in members of Blattodea or cockroaches accounting for their typical aggregation in harbourages.

Figure 8. Major pheromone components of some species of Coleoptera, Lepidoptera and Orthoptera infesting stored products.

Sourece: Levinson and Levinson (1978); and Burkholder (1978) from Proceedings of the Second International Working Conference on Stored Products Entomology, September 10-16, Ibadan, Nigeria.

FAMILY SPECIES AND SEX THAT PRO DUCKS PHEROMONES CHEMICAL DESCRIPTION AND PHEROMONES
Dermestidae: C = O OH
Attagenus megatoma (F.) (E, Z)-3, 5-tetradecadienoic acid
Attagenus elongatulus (Casey) C = O OH
  (Z, Z)-3, 5-tetradecadienoic acid
Anthrenus flavipes (Leconte) C = O OH
  (Z)-3-decenoic acid
Trogoderma inclusum (Leconte) C = O H CH3
Trogoderma variabile (BalIion) (Z)-14-methyl-8-hexadecenal
Trogoderma glabrum (Herbs") C = O H CH3
  (E)-1 4-methyl-8-hexadecenal
Trogoderma granarium (Everts) C = O H CH3
  (Z)-1 4-methyl-8-hexadecenal (92 %)
  CH3 C = 0 H
  (E)-14-methul-8-hexadeceanal (8%\
Anobiidae 2, 3-dihydro-2, 3, 5-trimethyl-6
Stegobium paniceum (L) (1-methyl-2-oxobuty 1)-4H-pyran-4-one
Bostrychidae 1 -methyl buty 1 (E)-2-methyl-2-pentenoate
Rhyzopertha dominica (F) 1-methylbutyl (E)-2, 4-dimethyl-2-pentenoate
Bruchidae C = O OCH3
Acanthoscelides obtectus (Say)  
  methyl ( - )-(E)-2, 4, 5-teteadecatrienoate
Tenebrionidae 1-pentadecene
Tribolium confusum (J. du Val)  
  1-hexadecane
  1 -heptadecene
Gelechiidae CH3 OC = 0
Sitotroga cerealella (O.)  
  (2, E)-7, 11-hexadecadien-1-yl-acetate
Phycitidae  
Ephestia elutella  
Plodia interpunctella CH3 OC = 0
Ephestia cautella  
Ephestia kuehniella (Z, E)-9, 1 2-tetradecadien-l-yl-acetate
Ephestia figulilella  
Blattidae CH3 CH3 O
Blattella germanica 3, 11 -dimethyl-2-nonacosanone
  HO O CH3 CH3
  29-hydroxy-3, 1 1-dimethyl-2-nonacosanone

Stimulation of the mating process

Both male and female pheromones of phycitid moths seem to be important and beetles such as the khapra beetle, Trogoderma granarium Everts and Attagenus megatoma (A. pellio, the fur beetle) have been shown to emit pheromones in the mating process (See Fig. 4).

Other developmental effects

An interesting substance from the fifth instar larvae of E. Kuehniella accumulates when population densities increase, increasing the developmental period, reducing fecundity of the female and promoting migration.

Pheromones themselves may therefore be used in specific behaviour control programmes, but have been more importantly used in estimating population densities, to predict the timing of control measures. In the more restricted environment like a warehouse, they can be used as a disruptive or confusing agent which completely swamp naturally produced pheromones of the female and therefore inhibit mating. Successful control in this way has been achieved with the mediterranean fruitfly Ceritatus capatita, the oriental fruit moth Cydia molesta and the cabbage moth, Plutella tella xylosterva

THE POTENTIAL OF IGRs AS PEST CONTROL AGENTS

Although still very much in its infancy as a control measure in post-harvest storage of cereals, the potential of IGRs has been documented in laboratory trials and has undoubtedly a role to play in future strategies involving an integrated approach for control of insect pests.

McGregor and Kramer (1975) have shown that whole cereals treated with IGRs are not effective against the primary or internal grain feeders such as Sitophilus spp. For JH analogues to be effective against weevils, they will have to penetrate into the endosperm. Rowlands (1976) reported that similar compounds were preferentially distributed in the aleurone and germ layers and therefore insufficient IGRs were found in the endosperm where the immature weevils are developing.

Because IGRs tend to be specific for certain related groups of insects, combinations with biological control agents becomes a feasible control approach.

Bracon hebator a parasitic wasp of many stored products moths is not as greatly affected as its hosts by certain IGRs. Treatment with 50 ppm of MV-678 allowed 100% eclosion of the parasite but reduced adult emergence of Ephestia cautella (Walker) the "tropical warehouse moth", by 85%. Also, the prolongation of larval life would be seen as an advantage by maintaining housts in a suitable state for the parasites, and therefore maintaining their population numbers. Preventing the eradication of beneficial parasites and predators as well as maintaining low numbers of hosts by the application of specific IGRs may become a viable alternative to the overall detrimental effects of broall-spectrum, nonspecific insecticides.

JH compounds may prove more useful as grain protectants (i.e., preventative) rather than infestation control measures (i.e., curative). When applied to insect free grain or grain containing relatively low numbers, they could prevent buildup of infestations. Under these conditions, prolonging development of small numbers of immature larvae would prove insignificant, as little contamination or loss would occur. In combination with more deleterious control measures at lower rates than are now normally used, would also be effective where JH analogues are applying stress to existing populations.

Application of IGRs that possess juvenile hormone activity to larvae prevents subsequent development to the adult stage, thus reducing the reproductive potential of the population. it becomes clear that the usefulness of IGRs in pest control is under those conditions where the adult is the harmful stage of the insect pest.

Synthetic IGRs are degradable in sunlight, under high temperatures and humidity, or in water with high microbial populations. Methoprene (Altosid, ZR-515) has been successfully used against flood water mosquitoes. Anopheles spp. in a micro-encapsulate slow release formulation, which extends its persistence in water.

The integration of IGRs and pheromones can also become a viable component of an integrated pest management concept. Pheromones have shown to disrupt mating of Plodia interpunctella (Hub.) at low population densities (Sower et al., 1975) while low adult numbers could be achieved by the application of IGRs which inhibit metamorphosis and adult eclosion, or at lower concentrations, possess a sterilizing effect.

Levinson and Levinson (1978) have described the practical application of the use of pheromones in an integrated pest control programme. It comprises of a continuous monitoring and supervision system of a pest population by pheromone traps in combination with appropriate insecticide control measures implemented with respect to population densities found by trapping. Three treatments phases are involved as described below.

The first phase aims to detect an infestation and to estimate its magnitude. For this purpose a few permanent traps are strategically placed in the storage environment. In the second phase, suppression of the discovered population below the economic threshold level is required. This step demands an adequate increase in the number of suspended pheromone and food attractant traps. Control of localized infestations may also be supplemented by insecticide application or fumigation (e.g. with phosphine). In the third phase, complete fumigation of the storage environment is carried out if and when a dense insect population has become evident. If rapid insect eradication in a commodity is necessary, one has to proceed directly from the detection of an infestation to complete fumigation. Integrated manipulation of storage insects by pheromones combined with insecticides is considerably cheaper than insecticidal control alone. It also meets the demand for methods of prevention rather than of control.

Burkolder (1978) has similarly advocated the potential of pest management systems that integrate the use of chemical pesticides, biological chemicals such as pheromones and juvenile hormone analogues or mimics, biological control agents such as parasites, predators and microbial pathogens, physical and nonchemical methods such as appropriate design of facilities, aeration, controlled atmosheres, thermal disinfestation, as well as cultural (sanitation) and legislative control measures.

Several approaches with pheromones could be utilized. As mentioned previously, indirect control by using pheromone traps to monitor presence, population density and location of pest species, in order to evaluate the timeliness of an applied pesticide application could form one strategic approach.

Another approach would be direct control by using pheromones to discrupt communication between sexes, by mass trapping, or by luring insects to nonfood materials treated with pesticides. However, the effectiveness of pheromones in the context of communication disruption is reduced under high population densities, while mass trapping would be substantially more effective if both sexes were removed. This may be possible for example with the population agregation pheromone, (1-methylbutyl (E)-2methyl-2-pentencote) produced by the male of the lesser grain borer, Rhyzopertha dominica (F) either in suspended traps or traps placed directly on the grain surface. These traps can then be impregnated with insecticides, therefore reducing the concentration and problems with residues since the insects are lured to the toxicant which can subsequently be removed.

It is also possible to use pheromones to lure insects to devices containing entomopathogens. The approach will not produce immediate mortality as with the insecticide baited traps, but the infected insects would return and transmit the disease spores to other members of the population. To attract insects to a reservoir containing a pathogen such as Bacillus thoringiensis, either pheromones or light could be used.

 

REFERENCES

AMOS, T. G., P. WILLIAMS, P. B. DU GUESCLIN and MEYER SCHWARZ. (1974). "Compounds related to Juvenile Hormone: Activity of selected Terpenoids on Tribolium castaneum and T. confusum. J. Econ. Ent. 67:(4), 474-476.

________and P. WILLIAMS. (1977). "Insect Growth Regulators: Some effects of methoprene and hydroprene on productivity of several stored grain insects. Aust. J. Zoo/.; (25), 201206.

________, P. WILLIAMS and R. L. SEMPLE. (1977). "Susceptibility of malathion resistant strains of Tribolium castaneum and T. confusum to the insect growth regulators methoprene and hydroprene. Ent. Exp. and Appl. (22):289-293.

________, P. WILLIAMS and R. L. SEMPLE. (1978). Sterilizing activity of methoprene and hydroprene in Tribolium castaneum (Herbs"). Experientia 34:469-470.

________, R. L. SEMPLE, P. WILLIAMS and M. SCHWARZ. (1982). Compounds related to juvenile hormone: activity of selected terpenoid compounds on Rhyzopertha dominica (Coleoptera: Bostrichildae), Sitophilus oryzae and S. granarius (Coleoptera; Curculionidae). Gen. Appl. Ent. 14:6468.

BHATNAGAR-THOMAS, P. L. (1972). Indian J. Entomol. (34)87.

________(1976). Laboratory evaluation of tablets and strips of Juvenile hormone analogue Altozar for the control of Traogoderma granarium Everts. J. Food Sci. Tech. (13) May-J une, 159-161.

BRIEGER, G. (1973). Naturwissenchaften, 60:261-2.

BROWN, T. M. and A. W. A.BROWN. (1974). Experimental induction of resistance to a juvenile hormone mimic. J. Econ, Entomol., 67:799-801.

BURKHOLDER, W. E. (1978). Techniques in detection and control of stored products insects. Proc. II, Int. Work. Conf. on Stored Prod. Entomol. Sept. 10-16, 55-65.

CERF, D. C. and G. P. GEORGHIOU. (1974). Cross resistance to juvenile hormone analogues in insecticide-resistant strains of Musca domestica L. Pestic. Sci. 5:759-767.

DYTE, C. E. (1972). Resistance to a synthetic juvenile hormone in a strain of the flour beetle, Tribolium castaneum. Nature, Lond., 238:48-49.

FIRSTENBERG, D. E. and D. L. SILHACEK. (1976). J. Ga. Entomol. Soc. 11:38-67.

FRENCH, J. R. J. (1974). J. Aust. Ent. Soc. 13:(4): 353-355.

HRDY, I. (1974). Effects of juvenoids on insecticide susceptible and resistant aphids. Acta Ent. Bohemoslov 71:367-381.

ISHAAYA, I. and S. YABLONSKI. (1976). Induction of prolonged larval feeding stage by juvenile hormone analogues in Tribolium castaneum. Phytoparisitica 4 (1):9-18.

INSECTS OF AUSTRALIA. (1970). CSIRO, various authors. Melb. University Press. 1129 pages.

KRISHNAKUMARAN, A. and H. A. SCHNIEDERMAN. (1968). Chemical control of moulting in Arthropods. Nature 220:601 -603.

LEFTWICH, A. W. (1976). A dictionary of Entomology, Crane Russak and Co., USA, 359 pages.

LEVINSON, H. Z. and A. R. LEVINSON. (1978). Integrated manipulation of storage insects by pheromones and food attractants. Proc. Il lnt. Work. Con. Stored Prod. Ent.:66-74

LOCKE, M. (1964). The structure and formation of the integument of insects. The physiology of Insecta, M. Rockstein (ED) 3:379-470.

LOCKE, M. (1970. The moth / intermolt cycle in the epidermis and other tissues of an insect. Tissue Cell 2:197-223.

LOSCHIAVO, S. R. (1975). Tests of four synthetic growth regulators with juvenile hormone activity against seven species of stored products insects. Manit Entomol. 9:43-51.

MARZKE, F. O., J. A. COFFELT and D. L. SILHACEK. (1977), Entomol. Exp. Appl. 22:294-300.

METWALLY, M. M. and F. Sehnal. (1973). Effects of Juvenile hormone analogues on the metamorphosis of beetles Trogoderma granarium (Dermestidae) and Carydon gonagra (Bruchidae). Reprinted Biol. Bull. Vol. 144(2):368-382.

________, SEHNAL F. and V. LANDA. (1972). J. Econ. Entomol. 65(6):1603-5.

MCFARLANE. J. R. and JAMESON, G. W. (1974). J. Aust. Ent. Soc. 13:31-35.

MCGREGOR, H. E. and KRAMER, K. J. (1975). J. Econ. Entomol. 68:668-670.

MORIYAMA, H. K. NAKANISHI, D. S. KING, T. OKAUCHI, J. B. SIDDALL and W. HAFFER I. (1970). The origin and metabolic fate of Ecdysone in insects. Gen. Comp. Endocrinol, 15:8087.

OBERLANDER, H., L. SOWER and D. L. SILHACEK (1975). J. Insect Physiology 21:681 -5.

PRATT, G. K., J. L. ZETTLER and R. DAVIS (1981). Joint action of permethrin with RO 20-3600 and piperonyl butoxide against two strains of Tribolium castaneum (Herbs"). J. Georgia Entomol. Soc. 16(4):457-62.

ROWLANDS, D. G. (1976). J. Stored Products Research 12:35-41.

SCHNIEDERMAN, H. A. (1971). The strategy of controlling insect pests with growth regulators. Reprinted from Mitteilungen der Schweizerischen Entomologischen Gesellschaft Vol 44 (1 and 2) 141-49.

SEHNAL, F., M. M. METUALLY and 1. GELBIC (1976). Reaction of immature stages of noctuid moths to Juvenoids. Sonderdruck Aus. Bd. 81 H. l, S. 85-102.

SILHACEK, D. L., H. OBERLANDER and J. L. ZETTLER (1976). J. stored Prod. Res. 12:201-3.

SOWER, L., W. K. TURNER and J. C. FISH (1975). J. Chem. Entomol. 1:335-42.

STAAL, G. B. (1975). Insect Growth Regulators with Juvenile hormone activity. Ann. Rev. Entomol. 20:417-60.

STRONG, R. G. and J. DICKMAN (1973). Comparative effectiveness of fifteen insect growth regulators against several pests of stored products. J. Econ. entomol. 66, 1167-73.

RIDDIFORD, L. M. (1970). Effects of juvenile hormone on the programming of postembryonic development in eggs of the silkworm, Hyalophora cecropia. Develop. Biol. 22:249-263.

________(1970). Prevention of metamorphosis by exposure of insect eggs to juvenile hormone analogues. Science 167:287-88.

________(1972). Juvenile hormone in relation to the larvalpupal transformation of the cecropia silkworm. Biol. Bull. 142:310-25.

TRUMAN, J. W. and L. M. RIDDIFORD (1970). Nevroendocrine control of ecdysis in silkmoths. Science 167:1624-26.

WILLIAMS, D. and AMOS, T. G. (1974). Some effects of synthetic juvenile hormones and hormone analogues on Tribolium castaneum (Herbs"). Aust. J. Zool. 22:147-53.

WIGGLESWORTH, V. B. (1970). Insect hormones Edinburgh:Oliver and Boyd, 159 pp.

WILLIAMS, C. M. (1959). The juvenile hormone 1. Endocrine activity of the Corpora allata of the adult cecropia silkworm. Biol. Bull. 116:32328.

________(1961). The juvenile hormone 11. Its role in the endocrine control of moulting, pupation and adult development in the cecropia silkworm. Biol. Bull. 121 :572-585.

________(1967). Third Generation Pesticides. Sci. Am., 217:13-17.

WILLIS, J. H. (1974). Morphogenetic action of insect hormones. Ann. Rev. Entomol. 19:97-115.


Contents - Previous - Next