Rural families and farm households in Asia and the Pacific: An overview
Rural women and the family in an era of liberalization dangers and opportunities
The impact of the institutionalisation of religion on the status of women
Note: Papers are presented without formal editing. They express the views of the authors, and may not represent FAO's position on any issue.
Cornelie Meynen and Alexandra Stephens
1994 was declared "International Year of the Family" by the United Nations. The first objective of the year was to increase awareness of family issues, the family's functions and problems. This paper provides an overview of rural families and farm households in the Asia and Pacific region, which includes the poorest as well as the richest families among the world's population. All face dramatic changes in today's world.
In the first section various traditional family-forms in the region are presented, along with some common traits shared by traditional families. Section 2 describes the specific functions of the rural family. To get a thorough idea of the socio-economic situation of rural families, the paper then continues with trends that affect and change the rural family on a macro or regional level (Section 3) and on the micro household level (Section 4).
1. THE ASIA AND PACIFIC CONTEXT
The Asia and Pacific region is an area of immense diversity, spanning land and sea from Iran and Afghanistan in its western periphery to the outlying and isolated island nations of Polynesia and Melanesia. It is a region with both extreme prosperity and extreme poverty. Over 3,000 million people live in the region which represents approximately 59% of the total global population, living on only 26% of the total world land area (Europa, 1992). The region encompasses the world's major religions: Buddhist, Christian, Hindu, Muslim, and a range of animistic and pantheistic beliefs. "Political diversity is represented by established democracies, fledgling democracies, one-party states and authoritarian regimes" (Henderson, 1994). The countries in the region have been under the influence of colonization, global trade relations, wars, and more recently of western values through global communications and the mass-media.
Traditional Family Types
Research has made clear that the cultures of the various societies in the region have historically been associated with a wide range of traditional family types. One can see a spatial continuum of those traditional family types, ranging from the extended patriarchal families of South and Central Asia and China, through variants of that ideal in South and East Asian countries, to a variety of linked family types in the Pacific, and on to more nuclear family types of South-east Asia (ESCAP, 1993). Figure 1. summarizes these types.
Figure 1: Traditional Family-Forms in the Asia and Pacific Region:
Type |
Head of household- power base |
Household members |
Other characteristics | |
East Asia(+Viet Nam) |
"Confucian" patriarchal |
Senior male - Gender and age |
Extended patrilocal unit (Sons and their family live with parents) |
- Inheritance rules varied throughout the region |
South east Asia In genera |
Bilateral kinship Nuclear |
Relatively egalitarian |
Ideally nuclear (if not with either parent) |
- Bilateral inheritance - Lack of sharp role distinction by gender |
a. Burmese/Thai |
- Strong matrifocal elements | |||
b. Malay/Indonesian |
- Marital instability | |||
c. Philippines |
- Hispanic influence | |||
South and Central Asia |
Patriarchal |
Senior Male - Gender and age |
Extended patrilocal unit (married women secluded within the household) |
- Arranged marriages which were seen as contracts between linear groups - Failure to produce sons was justification for polygamy - Female children regarded as liability (Provision of dowry and protection sexual virtue) |
The Pacific |
||||
a. Polynesia |
Matrilineal clans with 100-300 members |
"The Chief. - Primogeniture (ideally male, occasionally female) - control of land |
Extended matrilocal unit with 10 to 20 members |
- Land provided by the matrilineage. - Brother of the mother is major authority figure in life of children |
b. Melanesia |
Patrilineal clans and sub-clans |
Senior males - won through strength and force of personality - control of land |
Small households: women and small children. Adult males lived elsewhere. |
(Adapted from: ESCAP (1993) The Situation of Families in Asia and the Pacific: A Regional Overview SD/IYF/2)
Commonalties Among Traditional Family Types
Despite the differences, there are important commonalties among the family types:
* The concentration of family authority, based on control of productive resources, lies with
family heads (ESCAP, 1993)
* Prescribed patterns of inter-family relations based on gender and generation (ESCAP, 1993). Women are subordinate to men and the young are subordinate to the elderly. Religion is often used for the justification of this pattern. Although their principles in most areas are different, "one thing shared by all institutionalised religions is a preference for patriarchy. " (Stephens, 1995). Even if the original scripts do not proscribe an inferior role and status for women, man-made institutions and traditions generally push women into subordinate roles.
* An age-gap between spouses; women are usually younger. As a result of this pattern women are usually less experienced and more dependent on their husbands even when they contribute equally to the family's economic survival. Another result is that women are more likely to be widowed. More than 30% of Asian women older than 45, are widowed. (United Nations, The World's Women 1970-90).
* An ideology of sanctity and privacy surrounds the family, and this has made the legal system reluctant to intervene within the family-unit. In this atmosphere of privacy, violence among family-members often remains hidden and unpunished.
* There is a strong son preference in some countries (China, India, Korea, Pakistan) resulting in bias against girls. Families tend to look after boys better than girls. The death rate among female children is higher in such situations, and recently sex-testing of human fetuses has further reduced the female population by abortion.
Drawing conclusions from history, there is no need to idealize the traditional family. "The traditional family in Asia and the Pacific was not necessarily superior to the types that emerge in today's world. Authoritarianism, discrimination, exploitation, violence, abandonment and other social evils were fully represented in traditional family systems throughout the region" (ESCAP, 1993).
Another conclusion from studies of the past show that the family has been able to respond to economic, environmental, political and social changes. Instead of a "sacred" and static institution, it has proven to be a dynamic secular institution even if it seems rigid at first sight. "What appears to be resistant to change in households is often the failure of infrastructural machinery to design programmes with sensitivity to specific problems" (ESCAP, 1995). For example in Bangladesh and Pakistan, in spite of the long-standing prejudice against women working in factories, the response to opening up of employment opportunities for women in garment or sports goods factories has been "more than satisfactory" (ESCAP, 1995). Continuing widespread, and chronic deprivation in the region however, places enormous stress on the family, since it falls mainly on women to maintain family unity and cohesion. In an era of reduced social and economic support under structural adjustment and free trade policies however, the most vulnerable among the disadvantaged will inevitably fall prey to those with most to gain from these new policies.
2. THE FUNCTIONS OF THE FARM HOUSEHOLD
A family lives in a household, but a household is not necessarily a family. However for the purpose of this paper, family and household are considered synonymous and are used interchangeably. The specific functions of the farm household can be classified according to its economic, social, and political functions.
Economic
The farm household is a unit both of production and consumption, in which all members work towards self-maintenance and sustainability. The farm household's success or failure depends upon access to and management of resources including labour, money, land, agricultural inputs (seeds, fertilisers and pesticides), food, and technological know-how. This creates a complexity of family relationships, as any decision concerning the division of work, the use of family resources, the setting of priorities and the management of enterprise and production affects each family member.
As it becomes increasingly difficult for farmers to make an adequate living on the land, value must be added to primary produce and/or surplus labour sold for wages to supplement farm incomes. These activities may involve all members of the family including elderly and children, but in most countries the burden of additional family labour inputs falls mainly upon women and female children. Rural women's work day has lengthened steadily as a result of additional labour needs, exacerbated by increasing dependency ratios.
Social
The most important social functions of the farm household are:
* Biological reproduction (replacement of its members)
* Care and protection of children, the infirm, and the elderly. The family is the safety net of society as well as the centre of succour and comfort.
* Socialisation of children (preparation for their role as an adult, including teaching how to run a farm/household)
* Fixing social placement (establishing status, passed on through social inheritance)
The social functions associated with "family" include the nurture of each of its members by the others. Status assigned to social roles within families have no direct economic value, but are enabling or constraining factors in both production and reproduction. They are therefore firmly linked to the enterprise, and to its successes and failures. While biological status remains unchangeable, social status is ascribed and defined by society. Society defines gender roles and society can change these when necessary. Fundamental social change often involves change in gender roles, which remain a crucial element of analysis of the farm family and development.
Political
As the smallest grouping of people the family also plays a fundamental political role. The International Year of the Family addressed it as the smallest unit of democracy. It is true that power relations are embedded in the structure of the family, but under universal patriarchy these favour men and, in some ways depending on culture, the elderly. The hierarchical and patriarchal character of the family leaves little room for equality, which is the true basis of a democracy. "Once they (women) are married, they will be expected to work long hours in the home for no pay; outside the home they will do the lower paying jobs, or earn less than men for the same work. They do much of the work that keeps the community alive, but they often have little part in the decisions that shape its future" (Sadik, 1994). Consequently "Women still constitute 70% of the world's poor and two-thirds of the world's illiterate" (UNDP, 1995) Evidence of inequalities within households have been demonstrated in the allocation of nutrient intake, health inputs, mother's time inputs, incomes, expenditures, interactions between generations, violence within the household and the dynamics of household formation and dissolution (Hadda, Hoddinott & Pena, 1992).
If the family is the smallest unit of democracy, patriarchal norms will have to give way to more equal participation in decision-making, and in the intrahousehold distribution of and control over family resources. Both age and gender relations need to be analysed in family studies so that the central political issue of power is adequately addressed. Only then can the political dimensions of family support their economic and social functions.
3. SOCIO-ECONOMIC SITUATION OF RURAL FAMILIES AND TRENDS THAT AFFECT THEIR POVERTY
Many parts of the Asia and Pacific region have shown a rapid shift from agricultural and traditional industries to modern enterprises, bringing enormous economic growth and urbanisation Unfortunately, not all share in the wealth brought by the economic miracles. The World Bank estimates that the region contains approximately two thirds, or some 390 million of a total of 600 million, of the world's absolute poor. "In addition it contained an equivalent or possibly even larger share of the world's population above the absolute poverty line, but still chronically poor" (ESCAP, 1993). Research has shown that the incidence of poverty was much higher in rural areas in most of the region (ESCAP, 1995). As governments are trying to ensure support for masses in the city by maintaining low food prices, prices of agricultural products are kept artificially low. This makes it difficult for farmers to earn sufficient income from their agricultural production activities.
Pressure on the Land
Population growth and environmental degradation have made arable land scarce. "Farmers are competing with land speculators, industry, the conservation movement and each other for diminishing land and water resources" (Stephens, 1995). "It is estimated that 600 million people in the rural areas of the poor world have no land" (FAO, 1992). In Asia this means that a quarter of the rural households have no land, a high percentage of which are headed by females.
Migration and Female-Headed Households
The situation of increasing poverty, lack of land and opportunities makes the fittest (youngest, most mobile) people, and those with the highest education leave the rural areas to try their luck in the city. Economically booming towns and cities attract them with the often unfulfilled promise of a higher income and social status. Research by the United Nations shows that by 1990, 45% of the world's population lived in urban areas, and of this urban population almost 41 % lived in Asia. By 2020 the world's urban population will total 50% and Asia will contain almost 52% of that, with a level of urbanisation of 56%. "Rural-to-urban migration has been predominantly male in Africa, Asia and the Pacific" (United Nations, 1991). This leaves an increasing number of rural households headed by women, and such households are grossly over-represented among those below the "poverty line" (Stephens, 1995).
The emerging picture is one of rural areas where the elderly and the children are left behind, with only a few to sustain them. Traditional security systems that drew allegiances within and between domestic units is eroding, as the people left behind find themselves with more dependent family members, and economic responsibilities. The numbers of poor smallholders or landless households headed by "abandoned" women are increasing. "14% of the households in Asia are female headed" (UNDP, 1995). Female headed households tend to be economically vulnerable, firstly because the work in the household and on the farm is done by fewer people. Secondly females tend to receive less pay than men for their work, and the amount of money their migrant family members send home usually decreases as years go by. "A few receive remittances, but most do not, making them widows in all but name" (United Nations, 1991). Research in Pakistan showed that migrant men generally sent remittances to their father - to pay debts or buy land - rather than to their wives. (ICRW, 1989).
Rural Family Size and Dependency Ratios
There has been a decrease in the fertility of women because of lower child mortality, family planning and enhanced education opportunities for women. As a result of this and the number of people that migrated to urban areas, "It is generally accepted that there is an overall, although varying considerably from place to place, broad trend towards the nuclearization of families throughout the Asian and Pacific Region" (ESCAP, 1993). Within those smaller families, increased longevity due to better health care results in an increasing percentage of elderly dependent kin. "Ultimately the dependency ratios must rise as fewer children are available to take care of an increased number of those who survive beyond productive ages; the effects of this process are felt in a number of Asian and Pacific countries whose growing elderly population are straining family support capacity" (ESCAP, 1993).
Another reason for the growing dependency ratios in rural areas, is the number of disabled and sick people returning from the city. The city doesn't provide the "social safety net" common in rural areas, so people who need care because of accidents or diseases like Aids and cancer, return to their relatives up-country. Latest reports from the WHO indicate that within 5 years, the number of HIV infected persons and Aids-related cases in Asia will exceed those in Africa, reaching about 10 million in 1995. Taking care of the elderly, the children, the disabled and the sick is traditionally the task of women, so the increase wrought by new epidemics will fall heavily upon their shoulders.
Role of the State
Out of a vision of modernization, governments have centralised institutions for education, healthcare, housing, and welfare. These institutions take over many functions traditionally performed by the family, and should provide support for the growing dependency rate. Because of practical difficulties however, as well as ignorance and disinterest in rural problems, there is an uneven outreach of formal institutions, and ultimately their effect on the impoverished rural areas is minimal.
Even where rural social services are available, the physical isolation of rural women, transport difficulties and responsibilities at home constrain their access. Cultural norms also exert pressure on women to maintain their nurturing roles even when they work increasingly long hours on the farm, in wage employment and in home-based "cottage" industries.
4. THE HOUSEHOLD AS A MICRO-ENTERPRISE
Rural households are often viewed as socio-economic units of little significance to national economies. Most of the (unpaid) work carried out in and around the home is discounted in statistics and uncounted in economic data. Subsistence production and maintenance (often referred to as "reproductive" activity) is given scant attention therefore by policy makers and planners. In fact, rural households are dynamic micro-enterprise units, producing goods and services not only for subsistence, but to support productive activities on the farm and in agro-industry.
4.1 Natural Resources:
Land
It is obvious that land is of great importance to farmers. It provides a physical area to grow or gather food, it can provide security for credit and it offers owners and users a degree of independence. On-going degradation and over-exploitation of the land causes stagnation or declining yields on large areas of crop land. This will increase the vulnerability of small farmers in the future.
"Landless households make up a quarter of rural families in Asia and a very high percentage of those households are headed by women" (Henderson, 1995). Woman's relation to land (and other resources) is usually mediated through her relation with her husband, father or brother. "Even in societies where land is passed on from mother to daughter, women will often pass over the land to brothers". (Henderson, 1995). In Asia, a high percentage of women are landless because of inheritance and divorce laws which prevent women gaining a share of inherited land or having legal title to "conjugal" property (Natpracha et al., 1992).
Population growth and migration patterns will continue to pose major challenges to rural families and their quest for quality of life. Modern agricultural practices which have proven unsustainable in the recent past will have to be modified. The choices for example between agro-chemical inputs for soil nutrients and conservation by biomass recycling has implications for labour input requirements. Where families have labour shortages the choice may be between unsustainable practices and intolerably long working days for some family members.
Water
In areas where supplementary irrigation is practiced, water is as vital as the land itself. "There have been dramatic changes to water resources within the last twenty years. Some areas are facing unprecedented drought, deforestation has altered watershed areas and river flows, and many water resources are polluted. These changes represent a major threat to food production and food security in the Asia-Pacific region" (Henderson, 1995).
Water for household purposes is becoming scarce. "Surface and ground water is drawn for irrigation and other commercial and industrial uses, so women have more trouble finding water to use in the home" (ESCAP, 1995).
Energy Sources
Rural families have traditionally used forest resources as a source of household energy. Agarwal (1986) has shown that in 1980 about 30 per cent of the population of the Asian and the Pacific region was suffering from an acute scarcity of fuelwood, and by the year 2000, their numbers would increase tenfold. Deforestation seems to be an irreversible trend, due to logging, overgrazing by livestock, fire and crop expansion.
"As wood becomes increasingly scarce, agricultural and animal residues are progressively diverted for use as fuel, further decreasing soil fertility" (Stephens, 1995). The plundering of natural resources together with natural disasters, cause a vicious cycle from which the whole family suffers:
It takes, on average, 1.4 additional hours each day for women to collect firewood and fodder, than it did just a decade ago. The extra hours are taken, in part from women 's time in agricultural production, therefore, lowering household productivity has reduced food consumption by about 100 calories per capita per day. in addition, time for food preparation and child care have also been reduced; this loss furthers the decline in nutrition, especially for children.
(Source: "State of the Environment Report", 1990)
4.2 Labour
Men and Women
Farmers have to put in a lot of work and long hours to manage their farms. Compared to people in urban areas, farmers work 20% longer per day (UNDP, 1995). Both men and women work within the farm enterprise, and there is usually a clear division of labour. Men will most likely be involved in the so-called heavy tasks, ploughing and digging, whilst women have much more varied farm roles. They do the bulk of planting, harvesting and post-harvest processing, vegetable growing and looking after livestock. Besides their work on the farm, the housework (cleaning, food processing and cooking, child care, and laundry) are almost exclusively the responsibility of women. In rural areas where households have minimal money income, housework may include gathering fuelwood, fodder, vegetables, milk, and (drinking) water. All of these domestic tasks are considered non-economic and non-productive, but their contribution to the family is considerable. "The non-monetized invisible contribution of women is valued at $11 trillion a year." (UNDP, 1995)
Apart from this economic invisibility, the time women spend combining their numerous tasks is often ignored. Of the total burden of work in rural areas, women carry 55 % and men 45 % (UNDP, 1995). Many time-use studies show that women's work is affected much more than men's by environmental degradation, as women usually collect fuelwood and water. Agarwal (1986) notes that in the Garhwal area in Uttar Pradesh, India, ecological deterioration and scarcity of such daily needed items as fuel, fodder and water has driven several women to suicide in recent years.
Children
"As women find it increasingly difficult to cope with their work load, they draw on help from their children (especially girls). Therefore children are taken out of schools to help at home" (ESCAP, 1995). A Bangladesh study has shown that by the age of 10-12, girls were spending an average 5.4 hours per day on household chores. A Nepal study showed that in the age group 9-11 years work activities claimed 6.5 hours for male children and 8.4 hours for female children (ESCAP, 1995).
Mechanisation of agriculture usually results in a decrease of child workers. "This decline has been traced to increased awareness by families of the value of education" (United Nations, 1991). However since mechanization usually addresses male tasks in agriculture, a tractor or harvester can mean more work for women in the labour-intensive tasks of transplanting, weeding and processing crops after harvest.
Youth
"One of the most crucial problems rural families are facing is the detachment of the young from the land" (United Nations, 1994). Youth are becoming less interested in traditional village organisational patterns, marriage arrangements, etc. Increased education tends to shift their employment aspirations. Conflicts arise when youth question existing traditional beliefs. According to Lazar (1979) such problems occur in most Asian countries. Rural poverty and the unattractive career opportunities in agriculture provide a push factor which answers the pull of better paid jobs and increased opportunities in the towns and cities. Sometimes they are encouraged by their families to look for more profitable jobs that would allow them to lead a better life and remit savings back home.
Elderly
As people live longer, the number and percentage of elderly people in Asia is growing. By the year 2000 it is expected that 80% of the elderly will live in Asia. Within the household they often assist with child care, tend homestead crops, and offer advice. In view of the total workload, a poor rural household may demand their contribution even when they are no longer fit to work. This may exacerbate their declining health, requiring medicines and special care which uses up scarce resources at a time when these are needed for children's education etc. Rural-urban migration siphons the middle age groups away from farm households, exacerbating the imbalances between dependency and productive family members.
4.3 Family Finance
Income
The family and household as an economic unit acts as an enterprise, using transforming and consuming resources and selling or trading surpluses. Traditional families exerted control over individual members to regulate the processes involved. In modem families individual members are more likely to earn and control independent accounts, eroding traditional interdependence. Diminishing practices such as dowry, bride-price, funeral and wedding ceremonies are also eroding traditional inter-family ties and obligations, and the kinship systems which clothed households in a blanket of family welfare and subsistence adequacy.
Cash incomes are increasingly essential for food security in farm households which can not achieve self-sufficiency. Cash is also needed for non-food items required by a family. Fiscal sustainability depends on a reliable flow of income, but rural households are generally subject to acute seasonal fluctuations. Women are especially disadvantaged by this because of their lack of mobility in search of alternative remunerative activities. Adding value to primary production in village-based rural enterprises has therefore provided opportunities for rural women who:
* organise, for group production
* enrol in skills training courses, and specialise in production
* study marketing and organise group marketing
Credit
Credit often presents obstacles to rural women who lack collateral, understand little of financial services and are vulnerable to exploitation by one and all. Experience in general has been very mixed, with "soft loans" and cash grants to women often yielding timely repayment, but having little impact on the economic fundamentals of their enterprises. When an entire financial services package is provided together with management and marketing support, long term investments of credit tend to enhance women's overall economic security and prospects. UNDP (1995) however reports that only 5% of rural credit from multilateral banks, reaches women. For the poorest rural families, enhancing income requires adding value to commodities or resources they have produced or gathered from common property such as forest areas. While credit and other financial services may support such endeavours the major principles of management and entrepreneurship must be learned, and related skills acquired. Failure allows the dark side of credit - indebtedness -to pull poor families from poverty to destitution. Poverty alleviation packages thus include other essential ingredients e.g.
* technology
* information and extension support
* markets
* quality control
* organisation and management
* storage and transport
* diversification (if markets are not secure, or are short-term).
4.4 Family welfare
Health
Issues relating to various aspects of health, such as nutrition, food security, clean water and immunisation are of great concern to rural families. Anyone who is sick and can not work, needs care of other family members and may also cost money. In the Asia-Pacific region only 47% of the population have access to safe water and just 38% have basic sanitation (Stephens, 1995). Both these are of major importance for the prevention of diseases.
Health of family members has a gender bias. In many countries of the region females are not as well looked after as males. They tend to eat less food or food with less nutritional value. Apart from the higher death rate among (baby) girls, "the most severe effect of stunting are effected before a child's first birthday. Even if their nutrition improves thereafter, the child is likely to suffer from below-normal growth, affecting physical and mental development and compromising the future of the child and their nation" (International Conference on Nutrition, WHO/FAD, 1992)
The use of technology to determine the sex of a human foetus exacerbates the bias against females. In a few countries of East and South Asia, strong preference for sons results in many girls not even surviving gestation. For those born into a poor family the same preference favours sons over daughters in many aspects of child development, socialising boys to become leaders, managers, scientists and decision-makers while girls are taught to follow as a silent support team to males.
Emotional Well-Being
The ideal family provides love and care for all its members. Popular family ideology and culture prescribes that women are responsible for the health and happiness of their family, and they are expected to make sacrifices for their husbands, children and other family members. As no other can replace the mother's or wife's quality of loving and caring, " there is a common tendency to withdraw women from market activities and to make them full-time housewives whenever income and aspiration levels begin to rise" (ESCAP, 1995).
The idealization of women as the centre of family well-being has both positive and negative effects - positive in allowing women's creative expression and management of family resources to benefit of all its members, but negative in its subordination of women to male power and ultimate control. The manipulation of women in the family ultimately creates stress, depression and frustration for women looking for more than servitude, even in a loving family environment.
Violence
A sensitive issue is violence within the family. As the family claims a right to privacy, research on this subject is extremely difficult. Authors of a number of studies in Asia and the Pacific however suggest domestic violence is increasing along with the dissolution of traditional family forms (Kelkar 1992; Hassan, 1995). The full extent as well as the various forms and nature of violence in the family is yet to be fully studied and documented, but feminist scholars are pointing to a widespread problem facing official indifference in many countries. Hassan (1995) claims "domestic violence is a problem of mammoth proportions in Pakistan, and one that has been ignored by society at large, by the Government and, to an extent, by women's groups". Whether rooted in culture and tradition or new stresses and sources of conflict, studies to date depict males as the overwhelming perpetrators with women as victims. In any and all forms, violence against women is violence against development and a civil society. Children of violated women are also victims of that violence, and tend to become perpetrators in their turn, as adults.
Education
Education has proven to be an important key in the promotion of family well-being. "Numerous studies have shown that the education of women has a profound and positive effect upon family welfare. As infant mortality decreases, a woman's own fertility is more controlled, and once away from the debilitating cycle of constant pregnancy, childbirth, nursing and child-care, her own health and thus those of her children improves" (Henderson, 1995). There seems however to be no corresponding link between male education and fertility, or familial responsibility.
Women still lag behind men in the amount of education they receive in their life, although there are signs that they are catching up. "Overall, female primary enrollment in developing countries increased 1.7% a year during 1970-90, compared with 1.2% for male enrollment" (UNDP, 1995). Within development programmes, women are often neglected by Government extension workers, who are trained to think of farmers as men, and consider the women as "helpers". This general exclusion of female farmers from agricultural development keeps them unaware of their options, and this has growing negative consequences for them and their families (Stephens, 1995).
5. SUGGESTIONS FOR ACTION
5.1 Productive and Reproductive Roles
Surveys have shown clearly that women in farm families work longer hours than men, that they rise earlier in the morning and retire later in the evening, that they enjoy considerably less leisure time than men, and that their work day is fragmented to the point of lowering their productivity significantly. At the same time women manage to carry out the multiple roles of productive and reproductive activity simultaneously, with little help from technology. Women in most rural areas perform over two thirds of the unpaid and unrecognised work of the family and community in which they live, yet women are disproportionately represented among the absolutely poor and destitute in rural areas (IFAD, 1992).
Given that the rural family needs increasingly to adopt entrepreneurial strategies to avoid poverty, women as well as men must be mobilised to realise their individual and collective potential for production, and value-added activities for subsistence and for markets. The reproductive activities which support production can no longer be left to women who are equal partners in productive activities. As gender roles change, technology and biotechnology must address the needs of women and of men to
* increase productivity
* reduce drudgery
* increase health and well-being
* offer choice and quality of life for all
The implications are clear. If human resources are to be optimised, and children left free to pursue education and training for their own future as farmer-entrepreneur, fundamental changes are needed. Both sexes need more knowledge and skills to manage natural resources for sustainable development. These will include training in the principles and practice of rural enterprise development, scientific farming and conservation of the environment, management and economics, financial services and investment, agro-processing and rural industries, information and knowledge systems, household economics, group enterprise and co-operative development. Men will also need to take a more equitable share of the traditionally "female" reproductive responsibilities including not only child care but fetching and carrying (water, fuelwood), housework, food processing and preparation etc.
5.2 The Promises of Technology
Poor women use an inordinate amount of time and energy in routine work because of the low productivity of their traditional tools and techniques. There are many instances where women's traditional tasks have been addressed by modern technologies but mainly where the work has become commercialised, and the occupation passed from women to men. For the work that remains with women, there have been few technical innovations to reduce its physical drudgery. The women themselves lack not only capital and know-how, but also the information on what is being tried elsewhere. Their isolated and over-burdened life styles deny them any hope of acquiring information and knowledge, which are critical to their empowerment and independence.
High level efforts to devise alternative tools and technologies such as fuel efficient stoves or biogas for poor women have not been very successful. Their reach has been limited and in many instances, they were later rejected either because they did not meet the requirements of people for whom they were meant, or those people could not afford to buy them. "It is essential to develop channels for a two-way passage of information. It's necessary that the concerned women themselves feel the need and the possibility of change and put forward a demand for it; officials and researchers in their turn have also to be motivated to act on their suggestions" (ESCAP, 1995). Even when schemes for drinking water supply are discussed, their avowed purpose is to provide safe drinking water; no mention is made of the desirability of such scheme's for saving women's labour (UN, 1987).
5.3 The Way Forward: enterprise "family"
Two themes highlighted by the United Nations Commission on the Status of Women for the 4th World Conference on Women, were the inequality of women's access to and participation in the definition of economic structures and policies and the productive process itself, and the lack of institutional mechanisms for the promotion of the advancement of women. These are both important for the future of families, but they challenge patriarchy. When challenged, patriarchy will fight hard to protect the privileges it enshrines.
"In countries where women leave lives of servitude and bonded labour, they are quickly labeled whores and worse, especially those in the first wave. The situation, as in any situation of profound social change of course, is traumatic and sometimes extreme. It brings misery to many, not least to those who first seek the change itself. A healthy society, secure in its traditions and culture will rise to such an event positively, and examine the extent and causes of the problem before condemning or suppressing it. Less secure societies and those with vested interests in maintaining the status quo will be swift to respond decisively and negatively" (Stephens, 1994). Families which are to remain together as a viable unit need to have divisive elements removed. This implies full recognition and understanding of the rights and obligations of each family member - the elderly, husband, wife, teenagers, younger children and other kin, male and female. Young people leave because of their need for self expression and freedom. The lure of well-paid city jobs is a secondary pull factor, but rural poverty provides a push. For those who stay because they have no choice, their response to entrapment acts much like slavery, stifling creativity and therefore enterprise.
When the family is seen as a combined force for optimising the use of rural resources, human resources form the centrepiece of household entrepreneurship. Recognition of the individual potentials, the provision of appropriate training and support services and a suitable policy framework at macro as well as at household and community levels will provide an appropriate context for the generation of wealth. This, coupled with democratisation of decision-making within the family, will ensure that everyone benefits from the goods and services every family member generates.
REFERENCES
Agarwal, B. 1986. Cold Hearths and Barren Slopes New Delhi: Allied Publishers.
ESCAP. 1991. The Changing Role of the Family as a Social Institution in Development in the Asia-Pacific Region New York, United Nations ST/ESCAP/11O6
ESCAP. 1993. The Situation of Families in Asia and the Pacific: A Regional Overview for the Asian and Pacific Preparatory Meeting for the International Year of the Family. SD/IYF/2
ESCAP. 1993. The Role of the Family in Development. Four Studies of the Situation in Asia and the Pacific New York. ST/ESCAP/1304
ESCAP. 1995. Regional Poverty Situation: Selected Issues and Policies; Incidence, Causes and Correlates of Poverty in Asia and the Pacific Bangkok E/ESCAP/CPA(2)/1
ESCAP. 1995. Women's Integration of Concerns into Development Planning in Asia and the Pacific ST/SCAP/1233
Europa Publications. 1992. Far East and Australasia London; Europa Publications, 1992
FAO. 1995. Gender Issues in Agricultural and Rural Development Policy in Asia and the Pacific Bangkok RAP Publication: 1995/2
FAO. 1995. Environment Women and Population: Interrelated Issues in Rural Development in Southeast Asia Bangkok, RAP Publication: 1995/18
Hassan, Yasmeen. 1995. The Haven Becomes Hell Lahore, Pakistan: Shirkat Gah
Henderson J. 1994. The Rural Family as an Enterprise (FAO, Bangkok, unpublished)
Kelkar, Govind. 1992. Violence Against Women in India Bangkok: Asian Institute of Technology
Kelkar, G. 1993. CEDAW and the Family Jakarta. Paper presented at the CEDAW Regional meeting (September 16-18, 1993)
Lazar, R. 1979. Asian Family and Society. A Theoretical Overview In Family In Asia, edited by Man Singh Das and Pranos Bardis. George Allen and Unwin.
Leidenfrost; N.B. 1992. Families in Transition Vienna. International Federation of Home Economics
Natpracha, P., Skrobanek, S. and Stephens, A. 1992. Home Economics: A Regional Overview Bangkok, for the FAO/FFW Regional Workshop on the Reorientation of Home Economics, 610 April, 1992
Sadik, Nafis. 1994. "Women, Population and the Future", in: Our Planet, Vol. 6 No. 3, 1994, UNEP
Stephens, Alexandra. 1994. The Family and Democracy. Challenges from the lYF Ottawa, Canada: CHEA (originally written as a mimeo for FAO, Bangkok, Thailand)
Stephens, Alexandra. 1995. Gender Issues in Agricultural and Rural Development Policy paper presented at the FAO Regional Consultation on Gender Issues in Agricultural and Rural Development Policy, Bangkok, Thailand, 1-5 November, 1993.
Stephens, A. 1995. Women's Worsening Lot: Deeper Bondage to Farming and Poverty Seminar on Sustainable Food Security for Asia and the Pacific Journalists, Bangkok
UNDP. 1995. Human Development Report 1995 New York: UNDP
United Nations. 1991 International Year of the Family: Building the Smallest Democracy at the Heart of Society Vienna: United Nations
United Nations. 1991. The World's Women 1970-1990: Trends and Statistics New York: United Nations Publication. (ST/ESA/STAT/SER.K/8)
United Nations. 1994. The IYF 1994: The Changing Family Structure New York: United Nations Department of Public Information NY 10017, USA.
ANNEX I - STATISTICAL DATA
TRADITIONAL PATTERNS
Figure 1: The age gap between spouses: Percentage currently married, around 1980

Women are more likely to end up as widows than men as widowers.
Source: UN (1991) The World's Women 1970-1990; Trends and Statistics
Figure 2: Singulate mean age at merriage, male and female, (U.N.

1994)*
Source: Women's Indicators and Statistic, Wistat, United Nations 1994
*: Singulate = first marriage in life
Table 1: Preference for the sex of children
Country |
Index of son preference |
Country |
Index of son preference |
Country |
Index of son preference |
Strong son preference |
Moderate son preference |
No preference |
|||
Pakistan |
4.9 |
Sri Lanka |
1.5 |
Indonesia |
1.1 |
Nepal |
4.0 |
Thailand |
1.4 |
Philippines |
O. 9 |
Bangladesh |
3.3 |
Fiji |
1.3 |
||
Malaysia |
1.2 |
Source: Royston, E./Amstrong, S.: "Preventing maternal deaths"; WHO, Geneva 1989
Figure 3: Annual death rate among 25-year-olds, by sex in selected countries of Asia and the Pacific

Source: "The world's women 1970-1990 - Trends and Statistics", United Nations, New York 1991
Quotes:
"One son is worth more than three daughters" - A proverb Source: "Women's health: across age and frontiers", WHO, Geneva, 1992
"A woman without a son faces a gloomy future. Her husband will blame her for destroying the future of the family. She will be treated as a second-class citizen. She might be thrown out of the house." Source: Asiaweek, March 3, 1995
Figure 4: Female Wages as % of Male Wages in Agriculture, (U.N., 1994)

Source: Women's Indicators and Statistics United Nations 1994
Quote:
"A woman's domestic role as wife and mother - which is vital to the well-being of the whole society - is unpaid and undervalued", says the State of the World's Women Report 1985." Source: Vickers, J. "Women and the World Economic Crisis", London, 1991
RURAL POVERTY
Figure 5: Daily per Capita Food Availability in Kilocalories as % of Requirement in Asia and the Pacific

Table 2: Population and Poverty, 1990
Country |
Total Population (Millions) |
Number of Poor (Millions) |
Proportion of Population in Poverty (per cent) |
Number of Poor in Rural Areas (Millions) |
Proportion of total poor in rural areas(per cent) |
Bangladesh |
110.6 |
99.4 |
85.9 |
83.1 |
84 |
China |
1,1495 |
|
(6.6) |
75.6 |
|
India |
866.5 |
410.0 |
48.1 |
320.0 |
78 |
Indonesia |
181.3 |
69.5 |
37.7 |
55.2 |
79 |
Malaysia |
18.2 |
4.7 |
26.3 |
3.8 |
81 |
Nepal |
19.4 |
11.6 |
60.1 |
12.5 |
91 |
Pakistan |
115.8 |
36.8 |
30.0 |
24.2 |
66 |
Source: ESCAP, 1995
Absolute poverty level: the income level below which a minimum nutritionally adequate diet, plus essential non-food requirements, is not affordable (main source: World Bank).
Quote:
"The FAO and WHO estimated that during 1988-90, 19% of the population in Asia and the Pacific were suffering from chronic undernutrition" Source: "International Conference on Nutrition: Nutrition and development - A Global Assessment", PAD/WHO, Rome, 1992
Migration
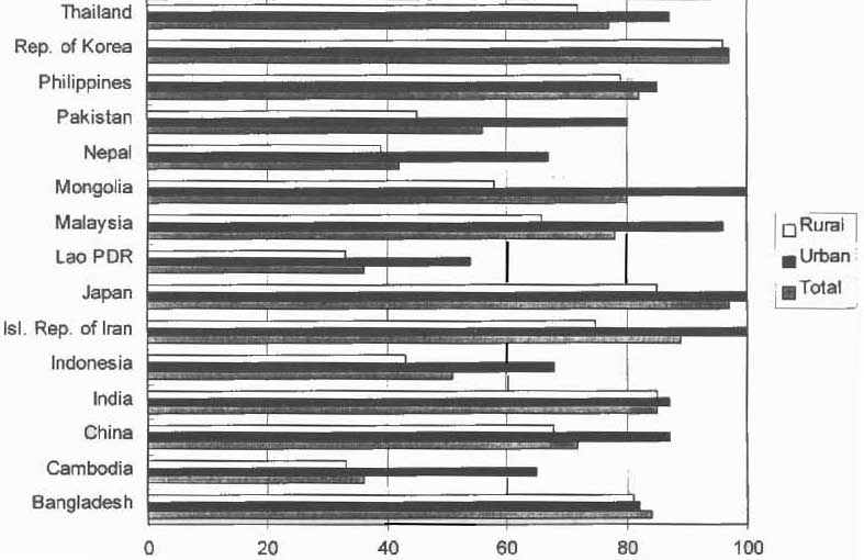
Figure 6: Percentage of the population that live in Rural areas -1970, 1980, 1990

Source: "World Urbanization Prospects, 1990", United Nations, New York 1991
Table 3: Indicators on urban and rural population
Annual change in population, 1985-1990 (%) |
Females per 100 males, latest year | |||
Country |
Urban |
Rural |
Urban |
Rural |
Bangdadesh |
5.6 |
2.3 |
79 |
97 |
India |
4.0 |
1.4 |
89 |
96 |
Indonesia |
4.3 |
0.7 |
101 |
101 |
Korea, Rep. of |
3.2 |
-3.1 |
101 |
98 |
Malaysia |
4.4 |
0.9 |
99 |
100 |
Mongolia |
3.3 |
2.9 |
101 |
98 |
Nepal |
7.1 |
2.1 |
87 |
96 |
Pakistan |
5.0 |
2.9 |
87 |
92 |
Papua New Guinea |
4.8 |
2.3 |
73 |
94 |
Sri Lanka |
1.6 |
1.3 |
91 |
98 |
Thailand |
4.3 |
0.8 |
104 |
100 |
Source: The World's Women, United Nations, 1991
Quote:
"By 1990, 45% (2.4 billion) of the world's population lived in urban areas, and of this urban population almost 41% lived in Asia. By 2020 the world's urban population will be 50% and Asia will contain almost 52% of that population and a level of urbanization of 56%. This will involve the addition of 1.5 billion people to the urban centres of Asia."
Source: "Small Town and Rural Human Resources Development to reduce Migration to large
Cities"; ESCAP, United Nations 1991
FEMALE HEADED HOUSEHOLDS
Figure 7: Percentage of all Household Heads who are female in urban and rural areas

Source: Women's Indicators and Statistics, Wistat, United Nations 1994
RURAL FAMILY SIZE
Figure 8: Total fertility rate (live births per woman)

Source: UN 1994 (UNDP)
Table 4: Estimated total fertility rate in the ESCAP region, 1975-1995, ( per cent)
Country or Area |
Total fertility rate |
Country or Area |
Total fertility rate | ||
1985-9O |
l990-95 |
1985-90 |
1990-95 | ||
Australia |
1.9 |
1.9 |
Nepal |
5.9 |
5.5 |
Bangladesh |
5.5 |
4.7 |
New Zealand |
2.0 |
2.1 |
Cambodia |
4.7 |
4.5 |
Pakistan |
6.5 |
6.2 |
China |
2.5 |
2.2 |
Papua New Guinea |
5.3 |
4.9 |
Fiji |
3.2 |
3.0 |
Philippines |
4.3 |
3.9 |
India |
4.3 |
3.9 |
Republic of Korea |
1.7 |
1.8 |
Indonesia |
3.5 |
3.1 |
Singapore |
1.8 |
1.7 |
Iran (Islamic Rep. of) |
5.2 |
6.0 |
Solomon Islands |
- |
5.4 |
Japan |
1.7 |
1.7 |
Sri Lanka |
2.7 |
2.5 |
Lao PDR |
6.7 |
6.7 |
Thailand |
2.6 |
2.2 |
Malaysia |
4.0 |
3.6 |
Tonga |
5.2 |
- |
Mongolia |
5.0 |
4.6 |
Viet Nam |
4.1 |
3.9 |
Source: Statistical Compendium on Women in Asia and the Pacific United Nations 1994, n: 1989
DEPENDENCY RATIOS
Table 5: Demographic Indicators for the Asian and Pacific Region, (U.N. 1995)
Country or area and region |
Life expectancy at birth(years) |
||||
Males |
Females |
Percentage aged 0-14 |
Percentage aged 65+ |
Dependency ratio (*) | |
ESCAP |
65 |
67 |
32 |
5 |
60 |
EAST ASIA |
68 |
72 |
25 |
7 |
48 |
SOUTH-EAST ASIA |
63 |
67 |
35 |
4 |
64 |
SOUTH ASIA |
61 |
62 |
37 |
4 |
71 |
CENTRAL ASIA |
67 |
73 |
36 |
5 |
71 |
PACIFIC |
71 |
76 |
26 |
10 |
56 |
Source: 1995 ESCAP Population Data Sheet
(*) Dependency ratio = [(Population 0-14 + Population 65+)/Population 15-64] x 100
ENVIRONMENT
Table 6: Estimated Extent of Degraded Land (unit: 1,000 hectares)
Country |
Density1 (persons per km2) |
Arable and permanently cropped area (1989) |
Irrigated land |
Salt affected land |
Estimated degraded land area |
Indonesia |
99 |
21,260 (12%) |
7,550 (4%) |
2,200 (1 %) |
43,000 (24%) |
Philippines |
222 |
7,970 (27%) |
1,620 (5%) |
400 (1 %) |
5,000 (16.8%) |
Thailand |
114 |
22,126 (43%) |
4,230 (8%) |
3,200 (6%) |
17,200 (33.7%) |
Malaysia |
58 |
4,880 (15%) |
342 (1%) |
500 (2%) |
|
Vietnam |
214 |
6,600 (20%) |
1,830 (6%) |
1,000 (3%) |
15,900 (48.9%) |
Sources: FAO, 1992:10,14. ESCAP, 1993.
Note: Salt affected land includes irrigated and non-irrigated land. Percentage of categories of land to total land area is shown in parenthesis.
Quote:
"In 1989, the proportion of arable and permanently cropped land, to total land area of the Region was 15%. Estimated proportion of land free from soil related constraints to agricultural production was only 14%. Although a number of countries may appear to have some constraint-free land available, the region, as a whole, seems to have reached - or passed- the safe limits for horizontal expansion of agricultural production." Source: Dent, F.J./Rao, Y.S./Takeuchi, K. "Womb of the Earth" FAO/RAPA Occasional Paper: 2, Bangkok 1992
Table 7: Estimates of Forest Cover Area and Rate of Deforestation
Land area |
Forest cover |
Annual deforestation 1981-90 | |||
million ha. 1980 |
1990 million ha. |
million ha. million ha. |
% per annum |
||
Asia and Pacific |
892.1 |
349.6 |
310.6 |
3.9 |
1.2 |
Continental Southeast |
190 2 |
88.4 |
75.2 |
1.3 |
1.6 |
Insular Southeast Asia |
244.4 |
154.7 |
135.4 |
1.9 |
1.3 |
Source: FAO2, 1993:25. Continental Southeast Asia includes Cambodia, Lao, Myanmar, Thailand, and Vietnam. Insular Southeast Asia includes Brunei, Indonesia, Malaysia, and the Philippines
FAMILY WELFARE
Figure 9 : Estimated percentage of population with access to safe drinking water, by urban and rural location in the ESCAP region, latest available year

Source: United Nation's Indicators and Statistics Microcomputer Database (WISTAT), Version 2, 1991
Figure 10: % of population with access to adequate sanitation 1988-91

Source: UNICEF, 1994:68.
Table 8: Adults living with HIV or AIDS on January 1, 1995 (in thousands)
Women |
Men |
Ratio of women to men | |
Sub-Saharan Africa |
5,447 |
4,952 |
110 |
South & Southeast Asia |
1,374 |
2,748 |
50 |
Northeast Asia |
21 |
107 |
20 |
Oceania |
3 |
21 |
10 |
World |
7,420 |
10,192 |
73 |
Source: The World's Women - 1995, Population Reference Bureau, Washington, DC, 1995
Quotes:
" HIV/AIDS intervenes and affects farm households, their different sub-systems and their interlinkages (..). Cash income and labour are partly diverted to cope with and/or compensate for the effect of HIV/AIDS, leaving less labour for farm and off-farm activities as well as reducing the amount of money available to the household. Cash, which is exchanged by the farm and off-farm system in purchasing fertilizer or other inputs or financing investments in off-farm activities, may have to be used to pay for AIDS-related expenditures. Where households own livestock, and there is no cash income, cattle may be sold."
Source: Haslwimmer, M. "What has AIDS to do with agriculture?", FAO 1994 to pay for medical and funeral expenditures."
Table 9: Education: Mean years of schooling in the ESCAP region, population aged 25 and over (male and female)
Country or Area |
Mean years of schooling (25+) |
Mean years of schooling of females as a % of males | ||||||
1980 |
1990 |
|||||||
Total |
M |
F |
Total |
M |
F |
1980 |
1990 | |
Bangladesh |
2.0 |
3.1 |
0.9 |
2.0 |
3.1 |
0.9 |
29 |
30 |
Cambodia |
2.0 |
2.3 |
1.7 |
2.0 |
2.3 |
1.7 |
71 |
71 |
China |
4.8 |
6.0 |
3.6 |
4.8 |
6.0 |
3.6 |
59 |
60 |
India |
2.2 |
3.3 |
1.1 |
2.4 |
3.5 |
1.2 |
32 |
34 |
Indonesia |
3.1 |
3.9 |
2.3 |
3.9 |
5.0 |
2.9 |
58 |
58 |
Iran (Islamic Rep. of) |
3.5 |
44.2 |
2.88 |
3.9 |
4.6 |
3.1 |
66 |
68 |
Japan |
10.4 |
10.7 |
10.1 |
10.7 |
10.8 |
10.6 |
94 |
98 |
Lao People's Democratic Republic |
2.5 |
3.1 |
1.9 |
2.9 |
3.6 |
2.1 |
59 |
59 |
Malaysia |
4.0 |
4.7 |
3.3 |
5.3 |
5.6 |
5.0 |
70 |
91 |
I Mongolia |
6.0 |
6.3 |
5.7 |
7.0 |
7.2 |
6.8 |
90 |
95 |
Nepal |
1.8 |
2.7 |
0.9 |
2.1 |
3.2 |
1.0 |
33 |
32 |
Pakistan |
1.7 |
2.7 |
0.7 |
1.9 |
3.0 |
0.7 |
25 |
25 |
Philippines |
6.6 |
6.8 |
6.4 |
7.4 |
7.8 |
7.0 |
95 |
89 |
Republic of Korea |
6.6 |
8.1 |
5.1 |
8.8 |
11.0 |
6.7 |
64 |
61 |
Sri Lanka |
5.5 |
6.2 |
4.8 |
6.9 |
7.7 |
6.1 |
79 |
80 |
Thailand |
3.5 |
4.1 |
2.9 |
3.8 |
4.3 |
3.3 |
69 |
76 |
Viet Nam |
3.2 |
3.7 |
2.7 |
4.6 |
5.8 |
3.4 |
71 |
59 |
Source: UNDP, Human Development Report 1991 and 1993
Quotes:
"While almost half - 45% - of the female population of the developing countries is illiterate, the figure in the least developed countries rise to 79% of adult women (for the 1990). In absolute numbers, the vast majority of women who cannot read and write is concentrated in Asia; illiterate women in this region alone account for over 77% of the world total." Source: "Female Adult Illiteracy", Data Highlights No. 6, 1989
"Women are important environmental educators. Young children first learn to see and understand what is happening around them and begin to feel how they are related to it through contact with their mothers. As they grow older, education at home is fundamentally important in implanting ideas and in stimulating change in attitudes. Women can also stimulate changes in behavior that would lead to marked savings in food, water and energy consumption. Women's education is, therefore, of fundamental importance to enhance their role and advice participation in environmental protection and the conservation of natural resources." Source: United Nations Environment Programme (UNEP), 1988
"Education is the single most important means of drawing children from the labour market," says the ILO. It is a Catch-22 situation: children work because their families need the money or help but if they went to school their chances of helping their parents in future might improve. "
Source: Binu S. Thomas: "Time to be a child. " in: Common Cause, Vol. 3 No. 12, July-Sept.
1992
Summary of the original paper
Gail Omvedt
THE CHANGING FAMILY
The celebration of the year of the family has taken place in an era of vast social change, democratisation of many previously repressive political systems, and movements towards more liberalised market economies in most countries in the world. Although one can question the assumption that the family is automatically a "unit of democracy", the family is, like the state, like the market, one of the major and necessary institutions of society. Yet in spite of the fact that "family values" and fear of family disintegration often play a major role in the political agenda of many countries, there has been little discussion of the direction of changes in family life and their linkages to other socio-economic changes.
This paper will look at two questions: First, with a focus on the developing countries of the Asia-Pacific region, we will summarise the debate on how liberalization and the shift towards a market economy can be expected to affect rural women and families; here the purpose will be to pinpoint both opportunities and dangers in order to suggest policies. Second, we will try to assess ongoing and expected changes in family structures and try to evaluate these changes (and possible changes) in the process of minimising dangers and maximising opportunities. Without trying to "prescribe" particular forms of the family we will try to suggest what sorts of democratising changes will help its members, particularly women, seize the opportunities and avoid the dangers in an era of liberalization. We will argue that one crucial program is to ensure women's right to property (particularly land), one of the central props of a healthy market economy.
THE DEBATE ABOUT LIBERALIZATION
Changes in the form of economy and state involvement in the economy have been dramatic throughout the world, with the "fall of socialism" (statism) and the transformation of what the UN has called "centrally planned economies" into "market economies," the crisis of the "welfare state" in most countries of the North, and even more dramatic changes in the South with shift from economies with high levels of public ownership and state-regulation following import-substitution policies to those of more market-oriented economies integrated in processes of increasing globalisation. These changes are welcomed as "liberalization," as necessary shifts from inefficient commandist economies by most economists; but they have been equally strongly condemned by a few others and by opposition political forces as externally-imposed processes of "structural adjustment" victimising in particular the poor and women. Let us examine these arguments and then look at the views of those holding for a kind of "middle way" which seeks to examine how both state and market can be used as institutions in the interest of people. Our particular focus will be agriculture and rural non-farm employment.
For "liberalization": It is striking that many of the economic arguments for a process of liberalization in developing countries have focused on the discrimination against agriculture followed by the import-substitution, state-commandist regimes that came into being in most countries following world War II and (for many) independence from colonial rule. The phrase "getting the prices right" has in fact been most strongly applied to agriculture (Timmer, 1986). The core of the argument is that in following policies designed to promote the development of heavy industry, primarily state-owned and always state-regulated, government policies had a "bias against agriculture," in a title of a book edited by Bautistia and Valdes (1993). In the language of World Bank economists, agriculture was "directly taxed" through policies that held down prices for agricultural products (from actual levies and purchases by marketing boards and other parastatals to such things as zoning restrictions and export bans), and "indirectly taxed" through the macro-economic and trade policies that kept import prices (and thus prices of agricultural inputs) high and export prices (and thus crop prices, for these were exportables in most third world countries) low. This has been in contrast to the substantial subsidies given to agricultural production and export in Europe, the U.S., and Japan. The degree of negative subsidy or "taxation" for eighteen countries studied by a World Bank project is estimated at 25.2% for Asia (with a large variation between high taxation of -32.1% in South Asia and low taxation of -18.1% in East Asia) (Krueger, et. al., 1993: 1012).
Third world anti-agricultural protectionist policies have laid major burdens on their agricultural economies and on the masses of rural people dependent on them. As Dale Johnson argued, "there is no historical precedent for the wide prevalence of negative protection extending over long periods of time such as prevails in many developing countries today" (Johnson, 1991: 290). Thus proponents of liberalization have argued that this would not simply aid economies by reducing expenditure on "rent-seeking" bureaucracies, forcing industries to become more efficient to face competition, and attracting foreign investment; it would also more directly aid agriculture and other primary sector activities (as well as such traditional exports as textiles) by removing the previous discrimination these sectors had suffered. These arguments have been quite widely accepted; see for instance the report of the South Commission (1989: 84-85). It can be added that while the World Bank today is in the forefront of those arguing for the benefits that agriculture will win from liberalization, it had no objections to the industry-oriented developmental policy of third world states earlier.
Arguing for proper pricing in agriculture and for liberalization that reduces the state's direct role in the economy does not mean that the state has no economic role; indeed one of the early spokesmen for "remunerative prices" argued that
"governments can more effectively meet the full range of food policy objectives by using price policy...as part of the incentive package that induces greater food production from millions of small farmers. Programs and projects can then provide targeted food subsidies to protect the very poor until they find jobs and higher incomes that result from the new policy environment" (Timmer, 1986:8).
Rather than abdicate all intervention in the market, governments should use macroeconomic policies to consciously promote the interests of small producers. In this view, social spending (health, education) as well as land reform (the generalization of property rights) are crucial not simply to fighting poverty but to the healthy development of a market-oriented society.
Opposition to "Structural Adjustment": Those opposing liberalization have generally described it as "structural adjustment," arguing that these have been policies imposed on unwilling third world countries by international institutions such as the World Bank and IMF, with the intention of benefiting international (and primarily U.S.-based) corporate interests. The main themes stressed, besides this "recolonisation", have been that indigenous industries would be subordinated and destroyed by more powerful multinational corporations, that globalisation. or integration with the world economy would result in greater instability, that economic growth would be halted, and that devaluation leading to price-rise along with cuts in social spending would have its greatest impact on the poor (See Raghavan, 1990 for a typical discussion).
Fears about social spending, in particular, have been quite pervasive, and it is these that have been most directly argued to affect women. As a survey of The World's Women puts it,
"Economic crisis and stabilisation and adjustment programmes...have particularly affected women...[They] have been disproportionately squeezed out of public sector employment. Cuts in such government services as health, child care, family planning and education have hit women particularly hard, setting back women's early gains...The burden of inflation has fallen heavily on women who are responsible for procuring staple goods for the household. Often stabilisation and adjustment plans have mandated wage freezes and...women have had to increase their working hours just to ensure their families' survival" (UNICEF et. al, 1992: 95)
The specific arguments about the effects of "structural adjustment" on agriculture are not so convincing. Opponents of liberalization have argued that it would result in loss of food security as farmers would be compelled to grow cash crops for export rather than food crops; that government subsidies for agriculture would be taken away (here the references have been partly to the food subsidies given through public distribution schemes and partly to various types of fertiliser subsidies); that increasing industrialisation of agriculture" replacing traditional sustainable farming systems would lead to unacceptable ecological consequences and the loss of biodiversity; that forced adoption of "intellectual property rights" with global economic integration would prevent farmers from preserving their own seeds or using their own plants; and that the entry of corporate farming and the increased dominance of the market and property rights would lead to the loss of land by marginal farmers, driving them off the land.
In part these arguments appear contradictory (for instance, the effort to defend existing e fertiliser subsidies while protesting against industrialised agriculture). In part, they do not even attempt to reply to the analysis of those economists who have claimed that previous policies "taxed" rather than "subsidised" agriculture. The opposition of "cash crops" to "food crops" implied in the argument about "food security" is also an unsustainable one: though it may be useful to distinguish taking the feeding of the local population versus earning export income as priorities, in fact there is no inevitable contradiction and certainly there are no crops that can be designated automatically as "for food" versus "for cash" (for instance, vegetables and fruits, the main "villain" of export-oriented cash crop production, are also food, and where local cultivators grow these for cash one often sees the local spread of their consumption also; conversely rice and wheat are pre-eminent cash crops in many areas). Indeed it appears more accurate to say that previous import-substitution policies (including readiness to import American wheat or accept food aid) destroyed food security by removing incentives of local farmers to produce food. International data show that "food security" has generally increased over the last decade, particularly in Asian countries that have gone in for liberalization and growing of cash crops (for example, food production per capita index (with 1979-81 = 100) in 1988-90 stood at 115 for developing countries overall, 113 for South Asia, 132 for East Asia, and 114 for Southeast Asia; of 13 of UNDP, 1993).
However, the opponents of liberalization have been correct in pointing out that its supporters generally favour a policy of industrialisation of agriculture" and postulate a conventional model of industry-focused growth, putting faith only in the market rather than the state. Some of these opponents have been in the forefront of those currently agitating for some form of "alternate development" both in the interests of ecological sustainability as well as the welfare of the poorest sections of society. The question remains as to exactly how this can be promoted.
Seeking Alternatives: "Liberalization with a Human Face"?:
Some of the immediate arguments about the dangers posed to the vulnerable sections by "structural adjustment" have had their impact. Equally important has been the very widespread theme of economists that in an era of global market integration, the basic health and education of a country's workforce (including its women) is a crucial factor in any kind of "competitiveness." The UNICEF generated slogan, "structural adjustment with a human face," first put forward in 1987 (Comea, et. al., 1987), now has won wide acceptance; it has been picked up by political forces in many third world countries (from Chandrika's "open economy with a human face") and the most ardent promoters of liberalization all now will include "safety nets" in the form of specific programs designed to protect the poorest sections of the population from the turmoil's of adjustment. In principle at least, social spending and the provision of adequate health, education and welfare programs have been accepted.
"Structural adjustment with a human face" does not deny the need for structural adjustment or liberalization in general, only argues that the most vulnerable must be protected during the turmoil of the process. However, there is a difficulty in maintaining social spending, arising from the fact that if government budgets are to be cut, the much more inefficient and less justifiable expenditures on defence and bureaucracy have more powerful lobbies. Much of the opposition to liberalization in fact comes from the more privileged sections of the population who have benefited from previous statist policies, ranging from over-protected industrialists to highly paid public sector workers, though they inevitably make their appeals in the name of the poor (see, for instance, Nelson, 1992)and the dilemma of implementing liberalization policies is that these groups of "crony capitalists" and "bloated bureaucracies" invariably seek to institute a distorted form of market economy.
ALTERNATIVE DEVELOPMENTAL PARADIGMS
More important than the emphasis on safety nets, some organisations. have sought consciously to offer alternative frameworks for development. These take up the orientation to poor producers, especially the rural poor, not simply as a welfare problem but as a foundation of healthy development. They also begin with the general theme of trying to transcend ideological "state-market" dichotomies. One early version of this was the Brundtland Commission's "sustainable development," a theme that has now become generalized. The UNDP's Human Development Reports have not only tried to modify the emphasis on purely economic growth -- which does not distinguish the qualitative aspects of this nor deal with elements of inequality-by its "human development index"; they have also put forward arguments for using "both state and market" through popular participation. Its most recent report uses the concept of "sustainable human development."
IFAD's The State of World Rural Poverty has also argued for a model of alternative development that would take as its central emphasis increasing not only the welfare but the productivity of the rural poor. The "dominant paradigm," according to IFAD, has had various forms ranging from statist "import-substitution" models to export-orientation; most "structural adjustment" programs are another variant of this. While seeing value in earlier suggestions for an alternative, from "liberalization with a human face" to "poverty-reducing growth" (the World Bank), it sees the limitation of these as having dealt only with the welfare and distributional aspects of growth. IFAD argues instead for focusing on building the productivity of the rural poor as a foundation for growth itself. This implies government policies directing towards building the type of market economy which would have as its basis not a relatively few, urban cent red large corporations, but innumerable often rural-based small enterprises (including agricultural and small industrial or service enterprises).
The orientation to the rural poor does not mean a "bias towards agriculture" as opposed to industry. It does not deny the need for industrialisation nor would it deny that economies cannot develop a healthy prosperity as long as the majority of workers remain cultivators or agricultural labourers. It does, however, deny that this requires policies subsidising heavy industry and promoting migration to the cities of the world. An ecologically sustainable dispersed agro-industrial economy, with employment and basic needs provided for throughout the economy, in or near the homes where families are cent red is the key aspect of an egalitarian developmental strategy.
Today, apparently, no one in the economic debate is suggesting that the state should be done away with; the question is rather that of its appropriate role. Even the World Bank is discussing "good governance." Similarly, few today will deny a significant role for the market or the need for cutting down on inefficient bureaucracies; the question is where and how the market should operate. And, although the arguments for "cheap food" and murmurs about "rich farmers" getting the benefits continue to simmer below the surfaces of many, few today would argue that crop prices should be kept low in the interests of primarily urban consumers.
But, major questions remain about how much industry-centred, how much agriculture-centred -how much technological development, etc should focus on the rural poor. In spite of IFAD, it is still difficult for most policy makers to see the vast rural "masses" of their countries as a resource and not as a burden or a "target group" for welfare distribution. The earlier industry and public sector-centred developmental model had to offer the excitement of big dams and other huge development projects, of competing with the "advanced economies" in space flight, of having national airlines and state-of-the-art steel plants. If this was a "technological fix," it was not simply a western imposition; it had transfixed the imaginations of many anti-colonial fighters. In contrast, much of the concern today for a village orientation has an anti-developmental, romantic Gandhian emphasis which looks on economic growth or "development" itself as destructive and sees the market as nothing but a system of exploitation. Too many of the popular discussions of "alternative development" sees the only link to overall policy in a negative fight against the market that carries with it a kind of nostalgia for the statist solutions to impoverishment.
Nevertheless, the increasing debate on alternative development, and various efforts to implement it in practice, both at a popular level and at policy and institutional levels is an exciting new fact. It is also significant that almost all of these discussions and practices include, along with ways of achieving economic prosperity, the idea that transformative social change has to include changes in human relations -- including families and family life. The NGOs and people's organisations. working for alternatives at a mass level very often involve husband-wife couples or more extended or alternative family arrangements which try to implement, at least partially, new more egalitarian ways of living together. The "year of the family" may be quite recent; but there has been a long period of concern for family relationships as part of processes of change.
A rural, small-producer-centred alternative development should, at least in theory, benefit rural women and the family. Reversal of the "bias towards agriculture" would help the development of the basic economy on which they depend -- agriculture and related agro-processing, handicraft, textiles and other small non-farm rural industries. Cutting down on the inefficiencies and corruption of over-regulating and oppressive bureaucracies may threaten public employees, but few of the rural poor can aspire to such bureaucratic employment, and freedom from over-regulation will release energies for production and development. If social spending, in particular health and education, is maintained and even expanded, this will aid both the family and women's work in the home by providing for children. If overall economic growth increases -- and if policies (including help with marketing, research, technological development, agricultural extension etc) are oriented not to top-heavy, male-dominated large corporate producers but to the innumerable small producers -- rural women along with their whole families will benefit.
Nevertheless, a full democratising of the market economy requires a democratisation of the family -- the major mediating institution that stands between state, the market and individuals. Even assuming that governments and international agencies followed policies giving priority to a rural cent red dispersed agro-industrial form of sustainable development, what is to ensure that they will benefit the most vulnerable members of society?
FAMILIES AND l m; MARKET
One useful definition of the family is as the smallest economic unit in society. It is the unit within which incomes are pooled and consumption is organised, even if unequally and autocratically. In the functioning of a "market economy," the individuals who actually practice market behaviour do so as family members.
In spite of the considerable industrialisation and economic growth in most Asian and Pacific countries, a very large section of their working populations (the largest, in many countries) would normally be classified as "self-employed" -- including the majority of those working in agriculture as well as many small craft workers, artisans, service workers and shopkeepers. These "microenterprises" are in reality normally family businesses. As studies of women's microenterprises have pointed out, they are by nature "embedded" in kinship structure, primarily the nuclear family but also drawing upon and serving more extended kin networks (Greenlagh, 1991). It is through such family structures that investment is made, production is organised (with "unpaid family workers," as the census classifications call them) and marketing takes place. To a large degree training, whether or not as formal apprenticeship, has also been organised by families. A particular microenterprise may be only one part of a family's overall economic strategy; which can include some family members working as wage labourers outside the family land, business or even outside the village, or in other enterprises.
(Obviously not all "family businesses" are so "micro". Large landholdings, estates, major small and large industries with numerous employees, are equally "embedded" in kinship structures, and even large corporations may be run as part of family holdings though never formally or legally connected.)
A healthy market-oriented developmental strategy is one which would seek to maximise the productivity and prosperity of these innumerable and primarily rural small units. However, once we realise that they are embedded in family and kinship structures, it becomes clear that ensuring the welfare of all the members of the family, and of the family itself, will not automatically result. Developmental policies must also seek consciously to promote and ensure fairness and social justice within the family.
This applies above all to one of the most crucial aspects of a market economy, property rights.
Property: Property rights, according to almost all economists, are central to the functioning of the market, and a central role of the liberal state is in ensuring property rights. Along with life and liberty, property has been crucial for all liberal political theorists from John Locke onwards (the fact that the agrarian democrats in the American revolution changed "life, liberty and property" into "life, liberty and the pursuit of happiness" is ironical given the tendency of U.S. spokesmen of the market to neglect the issues of land reform and generalization of property rights). However, what has often been forgotten has been pointed out with devastating effect by feminist scholars: that property rights were too easily assigned to the family, and to the man who was the effective head of the family. Locke may have justified private property by noting the labour that went into appropriating land for productive use -- but this was assumed to be the labour of the man (Locke). Behind the "social contract," then, stood a "sexual contract" (Pateman 1988).
Today it is no longer possible to assume that the market can effectively function when a large section of the population are propertiless and resource less If the state indeed takes its justification from its ability to ensure property rights and the adequate reward of labour, then the beginning point has to be the generalization of property rights -- at the very least an effort to remedy, as far as possible, the historical deprivation of major sections of the population. And one of the most significant of deprived groups has been women, who in large sections of Asia and the world hare been excluded from ownership and control of landed and other property. Thus a crucial condition of ensuring gender-equality as well as prosperous small enterprises is to ensure land and property rights for women.
(Here of course there is tremendous variation within "traditional" societies. The most gender-inequitable societies in Asia (and in the world) are those with patrilinear and patrilocal family structures, which is where the inheritance of family property runs through the male line and where after marriage the husband-wife couple normally or ideally live with the husband's patri-family. In countries like India and China, this has resulted in discrimination against women leading to highly adverse sex-ratios -- the simple fact of more men being alive than women means that there are millions of "missing women," in the term first used by Amartya Sen (1989; see also Klasen, 1994). These are testimony to the brutal cost of patriarchy. Changes in laws giving women formal rights to inherit, as in India, and even a tumultuous period of land reform giving women land rights, as in China, have done little to change this situation. In the rural areas of both countries today, landed property and family homes almost overwhelmingly belong to men, legally and in fact. In other countries, even where traditional kinship structures have been more egalitarian, colonial rule has often resulted in land laws discriminating against women. A clear understanding of these variations and of specific kinship institutions not only among dominant sections but also among national, ethnic and indigenous minorities, is necessary both to "protect" and ensure the democratisation of the family and to develop a functioning market economy).
The issue of property rights for women carries with it an implicit critique not only of liberal theory but of Marxist theory and practice regarding "land reform". In an article on the family, Sen noted that one Bengal-based study showed that public feeding programs actually resulted in more equal nutrition between boys and girls than "land reform" did (See, 1983: 22). This is a result not so much of the limitations of "land reform" as of its incompleteness. A major problem with land reform in India is that it has never meant simply "land to the landless" but rather "land to landless families," that is, ensuring land to the head of the landless family household, the man. The gender implications of this became clear when for the first time in the history of land struggles the Sangarsh Vahini, organising among ax-untouchable landless labourers in Bihar, found that the women actually raised a protest against giving land to "landless families" in 1983: "if you give our husbands land they'll only get more arrogant and beat us more." After much discussion the organisation decided to distribute the first 1,000 acres of land gained from landlords in the names of women; and one of the obstacles they ran up against was that of government officials who asked the women, "but if you get land what is to ensure that you will stay with your husbands?" (Kelkar and Gala, 1990: 102).
The gender-based incompleteness of land reform has been the responsibility of organisations. fighting for the landless as well as of state policies -- both of national states and international institutions. For example, in nearly all cases of land being given as compensation for those evicted during developmental projects of various kinds, the land has simply been given to the male head of household, reproducing the existing patriarchal customs. (In India also caste patterns are reproduced -villages set up after earthquakes or other forms of resettlement have invariably reproduced the caste-based clustering of households). For instance, the proposal for resettlement for those evicted for the Sardar Sarovar dam in India (the infamous Narmada project) stated, with World Bank guidelines, that every household would get five acres, a "household" defined as including head of household plus dependents with every male son over 18 to be considered a separate household!
Many Indian feminists, such as Bina Agrawal in her study, A Field of Her Own, have begun to argue that fight for land rights is a crucial aspect of a genuine Asian women's movement. They have taken inspiration from campaigns of women in peasant movements. Following the Sangarsh Vahini struggle, a large independent farmers' organisation based in Maharashtra, the Shetkari Sanghatana, took up the issue after founding a women's front in a huge rally in 1986. A resolution for equal inheritance rights and rights in marital property was passed, and three years later as a first step a campaign was begun in which farmers are encouraged to turn over a share of their family holdings in the name of women (of Gala etc. for studies); this has been known as the "Laxmi Mukti" campaign after the traditional habit of calling women "Laxmi," or the goddess of wealth of the household --with the implication that the goddess indeed needs to be liberated. Other organisations. from the Naxalite-led Bihar Kisan Sabha to dalit organisations. have called for giving land in the name of women. In other countries, such as the Philippines and Bangladesh, peasant organisations. have also taken up this theme.
Today in the context of the growing market economy in Asian countries, "land reform" is taking on a newly urgent and extended meaning. There is a widespread recognition that successful land reforms in capitalist countries such as South Korea and Taiwan have played on important role in helping economic development. Another meaning of land reform that is being stressed is that of protecting the land rights of small holders from state encroachment -- in a country like India, for example, the fiercest and most widespread land struggles (often without overall "political" leadership) are taking place as farmers resist the takeover of their land by the state for urban expansion or other "development" processes. At the same time, as former "socialist" (centrally planned) economies are liberalizing, one important aspect is the devolving of land rights to individual households and ensuring rights to these.
Yet in all of this it is striking that few discussions of land reform have admitted the need to go beyond the household itself, to extend the concept of property rights to women, to make land reform truly universal. Even many more "progressive" state policies that focus on "joint titles" do so under the assumption that there is something special about family joint ownership in which the state should not rightfully intervene. If "joint titles" are not spoken of for brothers, then why should they be so for husband and wife? Yet, whenever movements have demanded land rights for women or advocated the "splitting" of property rights to give clear title to the woman for a share of the land, state administrations have proposed joint titles as an alternative. Women have been the forgotten "landless" section of many societies.
Assuring land rights to women is one of the crucial aspects of "land reform" today as well as providing the "property rights " that are the central justification for a market economy. A focus on the family makes it clear that we can no longer simply assume that assigning property rights to households will provide for all the members of those households.
Here we would add that "land rights" should be interpreted in the broadest sense, of access to, control of and legal right over any kind of income-generating property. For fishing communities this means rights to ponds and other water rights; for herding communities the ownership of animals, etc. For various types of artisans and craft workers it would refer to the tools of their trade.
Technology. Market Access and Training: A small producer-oriented market economy often requires state aid in technological development and training, entrepreneurial training, market linkages, and so forth. Here also, state activity in the past has actively discriminated against women and thus distorted traditional family structures. As numerous studies beginning with Esther Boserup's path-breaking Women's Role in Economic Development have pointed out, both colonial states and most of the newly independent states in third world countries had training and development programs heavily biased in favour of men. Even in societies where women traditionally performed the most important roles in agricultural production, governments have provided and continue to provide training in and resources for "modern" agricultural techniques to men, along with giving young men primacy in technical institutes and other forms of training.
Ensuring the entry of women to training facilities of all kinds, and bringing these down to the village level is an important part of a village- and small producer-centred development paradigm. Renewed and restructured agricultural extension programs, locally based and dispersed "bioresearch" facilities can not only aid in the development of productive and sustainable agriculture but also play a major role in utilising the talents of the women who in fact do so much of the work in the fields and caring for livestock.
Credit: Finally, access to credit is crucial for small enterprises as well as large ones, and here again women need to be brought into the picture. In fact, most of the credit programs for the rural poor are already doing so, inspired by the example of the Grameen Bank in Bangladesh and by the realisation that poor women, when collectively organised, are often better credit risks than men. Building on "traditional" customs of group savings and dispersing small loans, but linking them to banks as well as to help in developing enterprises, "self-help" savings groups among village women are springing up all over with NGOs and government support and with a significant component of energising "feminist" values.
These processes, of helping women achieve access to land and other property; to technology and training; and to credit will in the end strengthen as well as democratise the entire family.
THE FAMILY AND THE STATE
State action is needed to ensure the proper and fair functioning of a market economy. In particular rural people and rural families will be concerned to reverse previous developmental policies that discriminated against them; and the poor (of whom the greatest section are rural) will be concerned to see that they are not victimised by greater inequalities rising in the process of adjustment. But this does not happen automatically as economies liberalize; in fact the tendency will be for the powerful industrial and bureaucratic sections that benefited from previous policies to bias the implementation of all programs, to ensure continuing subsidies to the rich and powerful. A conscious effort to ensure the full participation of small producers, particularly rural small producers, is necessary -- and within these special attention must be directed to women within families.
Along with this role of helping the market work for the rural poor, the most important aspect of state activity is in the area of "social spending" -- education, health, and areas of special welfare activity. This is the area of government activity in fact that has been most threatened with indebtedness, fiscal crisis and adjustment programs. Yet education and health are both central to maintaining a healthy workforce and crucial for families. Where the state is unable to provide for these adequately, burdens on the family and in particular on women in families, increase. Both greater government spending on health and education, and greater emphasis on the "lower range" of the scale -- primary education as opposed to university education, primary health centres and rural programs as opposed to big city hospitals -- seem necessary. As has been noted, especially in many very patriarchal societies, state programmes at this level are often much more fair in gender terms than distribution of consumption within the family. Reliance on the state should not be a substitute for democratising the family, but clearly supplementary support is needed for the most vulnerable members of the family.
Similarly, state programs can be of direct help in democraticizing family structures. An example could be the recent announcement of the government of Haryana state, in one of the most male-dominated regions of India, giving a deposit of Rs. 2,500 for every female child -- collectable only (as Rs 25,000) when she is 18 and still unmarried.
Compulsory primary education is crucial not only in giving girls an equal start with boys in formal terms, but also in providing an atmosphere within which their personalities can flower. Here gender training for teachers and a sharp watch on gender bias in textbooks is necessary. The school books that rather automatically teach children that "Gopal's father is working in the field while his mother is in the home" have to be rewritten. Free school lunches provided in some areas (for instance the state of Tamilnadu in India) have played a major role not only in combatting malnutrition, but also in providing further incentive for girls to stay in school. These are the kind of "populist" programs (as contrasted with cheap rice schemes!) which actually represent major social investments in the untapped talents of the poor.
A crucial and growing area of state intervention in developing countries is that of support for the elderly. At present it is mainly in the formal sector that pensions are available; but as life-spans increase it will become more and more vital for governments to take some of the burdens of care for the elderly off the shoulders of the family -- and in particular the women members of the family. A major part of this will certainly be medical care, but income and livelihood assistance will also be a growing factor.
A final important part of state activity is in the legal framework of family relationships. Laws have to be updated and liberalised; in some cases countries are finding themselves continuing male biased laws imposed during the colonial period or elite versions of traditional practices. A controversial issue in some countries is that of a "common civil code" versus allowing various religious communities to have their own laws for regulating marriage and family relationships. Here needs for cultural pluralism and religious freedom have to be balanced against the rights of all to freedom and equality before the law. A simple suggestion, which has been put forward in the case of India, is that religious communities should be free to have their own "civil codes," and people should be free to live under them, but the state should enforce a common and equitable civil code for any individual who seeks justice.
DEMOCRATIC FAMILIES IN A PROCESS OF SUSTAINABLE DEVELOPMENT
Family and kinship systems in every country are going through major transformations. Many in Asia and the Pacific may feel that their "traditional" structures are threatened with too-rapid and disturbing change. Yet what is happening is not simply a process of "westernization," since the now "traditional" nuclear family model of the west is itself undergoing change. In Asian and Pacific countries, in fact there is a multifaceted process of change. Some of the long-established patrilineal and patrilocal systems which are so male-dominated are quite deservedly being transformed; in other cases, perhaps, we may see cases of actually restoring more egalitarian models in which greater male authority came to prevail in processes of colonialism and dependency. Similarly, in many countries indigenous or tribal groups with more equitable structures have been under pressure to adopt the more patrilineal structures of dominant ethnic groups.
What needs to be remembered, when policy-makers think about the family, is the importance of flexibility. In many societies, even though the extended and very patriarchal family was often considered the "norm," the most prevailing situation was usually that of the smallholding "nuclear family." At the same time, there have always been members of society who lived in unorthodox and alternative households. Giving legal recognition and social legitimacy to alternative living arrangements is not contradictory to "family values" -- rather it can help to maintain and extend these. In many cases, helping to promote more democratic and flexible family forms may be more consistent with actual local "traditions" than the more patriarchal or male-dominant models which were fostered by colonial rule and the biases of some developmental states.
Perhaps the most controversial recommendation of this paper will be the stress on assuring land and property rights for women. There is still too much of an assumption that the family's "solidarity" is linked to undivided property -- and that giving women independent rights (as opposed to joint title) would represent a division that threatens the family itself. Yet the reality of families in today's world -- both among the poorest in the rural regions of the South as well as the cities of the industrialised North -- is that husband and wife very often have independent incomes, yet share consumption and planning for the future as well as all the joys and sorrows of living together. Women and men also can have individual and independent rights to property while managing them jointly.
Yet, while the right of a woman to a paid job of her own is now nearly taken for granted everywhere, this principle has not yet been extended to property rights. It should be. For those who are not simply wage-earners, who use their own property (in land, in animals, in other means of production) who produce and make a living, a full and independent claim on this property is necessary to ensure a democratic and egalitarian family -- and to help the gains of a balanced and sustainable development reach the most vulnerable members of society. Within the smallholding family, consumption will be in common and property can (and will be) managed jointly; people need rights to it as individuals to ensure the fullest development of all individuals within society.
As a beginning, it can be a requirement of all developmental projects that "resettlement" take place not on the basis of land or other property awarded to families, but as independent holdings of individual adults, with provision for working these in common through families.
In spite of new uncertainties about the old dreams of "socialism" and new questions about "development," the great slogans of the French revolution still provide a goal for many. But with "liberty, equality, fraternity," the ideal of community and sharing was phrased in terms of the relationship between brothers in a universal family: with the Year of the Family and its aftermath, it is time to make it truly a gender-free ideal.
REFERENCES
Agrawal, Bina. 1994. A Field of One's Own: Gender and Land Rights in South Asia. Cambridge Univ Press.
Bautista, Romeo and Valdes. Alberto. 1993. The Bias Against Agriculture: Trade and Macroeconomic Policies in Developing Countries, San Francisco; International Centre for Economic Growth and International Food Policy Research Institute.
Butler, Melissa A. 1991. "Early Liberal Roots of Feminism: John Locke and the Attack on Patriarchy," in Mary Lyndon Shanley and Carole Patement, ed. Feminist Interpretations and Political Theory, Pennsylvania State University Press.
Cores, Giovanni Andrea, Richard Jolly and Francis Stewart, ed. 1987. Adjustment with a Human Face, Oxford: Clarendon Press, for the United Nations Children's Fund.
ESCAP. 1994. The Changing Role of the Family as a Social Institution in Development in the Asia-Pacific Region.
ESCAP. 1994. Women in Asia and the Pacific, 1985-1993, New York.
Friedan, Betty. 1981. The Second Stage, London: Michael Joseph.
Friedman, Harret. 1993. "The Political Economy of Food: A Global Crisis," New Left Review 197.
Gala Chetna. 1993. "The Empowerment of Women: The Shetkari Sanghatana Experience in Maharashtra, " Report for NORAD.
Greenlach, Susan. 1991. ''Women in the Informal Enterprise: Empowerment or Exploitation," ILO Working Papers No. 33.
Gulati, Ashok and Anil Sharma. 1994. "Agriculture Under GATT: What It Holds for India", Economic and Political Weekly, July 16.
Haggard, Stephan and Kasufman, Robert. 1990. The Politics of Economic Adjustment. International Constraints, Distributive Conflicts and the State, Princeton, NJ: Princeton University Press.
Hossfeld, Karen. 1991. "Pondering the Postmodern Family", in Socialist Review 21 (2-3), July-December.
Jazairy, Irdriss, Mohiuddin Alamgir and Theresa Panuccio. 1992. The State of World Rural Poverty, An Inquiry into its Causes and Consequences, New York University Press for the International Fund for Agricultural Development.
Johnson, D. Gale. 1993. "Agriculture in the Liberalization Process" in Krause and Kim.
Kelkar, Govind, and Gala Chetna. 1990. "The Bodh Gaya Land Struggle", in Ilina Sen, ed. A space in the Struggle, New Delhi: Kali for Women Press.
Klasen, Stephan. 1994. "Missing Women's Reconsidered, " World Development 22(7).
Krueger, Anne Maurice Schiff and Alberto Valdes, ed. 1991. The political Economy of Agricultural Pricing Policy, Vol. 2, Asia, Baltimore, MD: John Hopkins University Press for the World Bank.
Lawrence Krause and Kim Kihwan, ed. 1991. Liberalization in the Process of Economic Development, Berkeley: University of California Press.
Locke, John. 1955. Of Civil Government Second Treatise, Chicago: Henry Reggnery Co.
Lyon, Joy. 1991. "Money and Power. Evaluating Income Generating Projects for Women", in Nanneke Redclift and M. Thea Sinclair, ed. Working Women: International Perspectives on Labour and Gender ideology, London: Routledge.
Mundle, Sudipto. 1994. Deprivation and Public Policy. Redefining the Developmental State (The Wertheimer Lecture), Amsterdam: Centre for Asian Studies.
Netting, Robert. 1993. Smallholders, Households: Farm families and the Ecology of intensive, Sustainable Agriculture, Stanford: Stanford University Press.
Paine, Thomas. 1953. Common Sense and Other Political Writings, New York: Bobbs-Merrill Company, Inc.
Pateman, Carol. 1988. The Sexual Contract, Stanford: Stanford University Press.
Raghavan, Chakravarti. 1990. Recolonisation (Penang: Third World Press).
Sen, Amartya. 1983. "Economics and the Family", Asian Development Review, 1 (2).
Sen, Amartya. 1990. "More Than 100 Million Women are Missing", New York Review of Books, December 20.
Singh, Andrea Menefee and Anita Kelles-Viitanen. 1985. Invisible Hands: Women in Home-Based Production, New Delhi: Sage Publications.
South Commission. 1992. The Challenge to the South, Delhi: Oxford University Press.
Standing, Guy. 1989. "Global Feminization through Flexible Labour", World Development 17 (7).
Stacey, Judith. 1990. Brave New Families. Stories of Domestic Upheaval in Late Twentieth Century America, New York: Basic Books.
Timmer, C. Peter. 1986. Getting Prices Plight, The Scope and Limits of Agricultural Price Policy, Ithaca NY: Cornell University Press.
UNDP. 1993. Human Development Report 1993, Delhi: Oxford University Press.
UNICEF, UFPRA, UNIFEM. 1992. The World's Women, 1970-1990: Trends and Statistics, New York.
Williams, Gavin. 1994. "Why Structural Adjustment is Necessary and Why It Doesn't Work", Review of African Political Economy No. 60.
Birgiffe Qvist-Sørensen
Programme Officer, UNIFEM, Bangkok
Religion, whether consciously practiced or subconsciously assimilated, is one of the most potent forces in human affairs. It has governed human action since time immemorial and for most of history has been society's main source of law and social control. So central to human existence has religion been, that it has been responsible for most of the best and the worst in societies. It has been the primary source of comfort, succour and shared values that communities need to survive. But at the same time it has spawned untold suffering, war, terror and hatred. Religion is a tool with a wide variety of uses.
For women, religion has proved a similarly mixed blessing. Throughout the world women can be counted among the most fervent of believers, in many cases constituting the majority of adherents of most faiths. But at the same time, within their chosen religions, they have had little power. Women's status and position in society has been curtailed and restricted by the dominance of male clergy in all the great institutionalised religions. Since religion has been a central source for legislation, the law pertaining to women has been thoroughly conditioned by religion. Indeed, in all societies throughout history, the development of law and religion have been so close as to be almost indistinguishable, the one determines the other.
The Fourth World Conference on Women referred to the duty of states, regardless of their political, economic and, most importantly in this context, cultural systems, to promote and protect all human rights and fundamental freedoms of women.1 Thus it is timely to discuss the impact of religious and cultural traditions in formulating laws which will ensure women's equal rights and equal access to resources. Access to economic resources, including credit, land ownership and inheritance, is essential if women are to enhance their productive potential and contribute to the reduction of poverty.
This paper explores the ways in which religion has influenced the development of law as it relates to women in Asia. It also examines the concept of gender-equality within the major world religions, Hinduism, Buddhism, Christianity and Islam. It argues that, although, the great religions preach the equality of all human souls, regardless of sex include practices that militate against women's equal rights as citizens. Finally, the paper challenges the contention that cultural and religious traditions are fixed and immutable and must not be disturbed when formulating and implementing new laws and policies.
2. LAW AND RELIGION - AN OVERVIEW
If law and religion are viewed theoretically, as narrow concepts - law as rules of conduct enforced by political authorities, and religion as beliefs and practices relating to the supernatural - the two are largely independent. However, in practice, and viewed more broadly, it is plain that they are closely interrelated. In virtually all societies, legal processes that assign rights and duties, resolve conflicts, and create channels co-operation are deeply conditioned by the community's sense of, and commitment to, ultimate values and goals.
The religious dimension of law can be characterised by four principal elements that are found in all legal systems:
(1) ritual - the ceremonial procedures that symbolise the objectivity of law
(2) tradition - the inherited language and practices that symbolise the ongoing character of law;
(3) authority - the inherent supremacy of texts that symbolise the binding power of law
(4) universality - the claimed embodiment of universally valid concepts symbolising the interrelationship between law and morality
Every society's legal order is closely connected to its belief system through these elements.2
Some societies view law and religion, even in their narrowest senses, as two sides of the same coin. God's law is expressly identified with and indistinguishable from that of society. In such societies, those with religious authority often play a dominant role in governing, and there is no distinct class of lawgivers or judges or lawyers. In many such societies the observance of law has itself become a religious act.
In other societies where jurisdiction has passed from religious to secular authorities, a certain desanctification of legal rules and procedures has resulted. But even here, the entire framework of the law is conditioned by the underlying morality and religious beliefs of the majority of the population.
2.1 Law and Hinduism
In classical Hindu teaching, there is no distinction between law and religion. Together they constitute the single concept known as dharma. This is a key to understanding the legal system of historical India, which spread to many parts of south east Asia.
In Hindu societies, the basis of the legal system is dharma. This comprises a set of natural laws3 in which specific rules are derived from an ideal, moral and eternal order of the universe. The fact that legislation is based on this eternal order is its source of validation and authority. Dharma influences all aspects of a Hindu's life. Any interference with the accepted tenets of dharma is viewed as having potentially serious consequences for both the individual and society. In theory at least, all righteous Hindus will ensure that their every action is taken in accordance with dharma.
In Hindu literature, the Vedas4 are the ultimate authority for dharma and all statements concerning dharma are theoretically traceable to them. However, very little of what is contained in the Vedic literature is regarded strictly as "law". The detailed codification of dharma is found in the historically younger body of Sanskrit literature called smrti ("what has been remembered"). The positive position and status of women as described in the Vedas, were substantially curtailed and proscribed in the codification of the smrti. The most important smrti text, the Code of Manu,5 which institutionalised and regimented the caste system, also created a set of rules to govern the rights and activities of women. It placed them at every stage of their lives subject either to their fathers, their husbands, or in old age, to their sons. It spelled out in detail a wide range of strictures to be placed upon women in society.
Given the dramatic difference between the Vedas and the Laws of Manu, it is of interest that the latter stated that the interpretation and test of orthodoxy of any law should be its acceptance in practice by the educated and righteous men of the community.
In modern Hindu societies dharma, as codified in the laws of Manu and other texts continues to define the legal situation in which women citizens find themselves. However, despite the deep seated relationship between law and religion embodied in dharma, attempts have been made, in India and elsewhere, to legislate to improve the status of women. By appealing to the ultimate authority of the Vedas, some progress has been made within the context of the community's belief system.
2.2 Law and Buddhism
Buddhism was founded in north-east India and is based on the teachings of Siddhartha Gotama, or Buddha, the Enlightened One. Originating as a monastic movement within the dominant Brahmin6 tradition of Hinduism, Buddhism quickly developed in a distinctive direction. The Buddha not only rejected significant aspects of Hindu philosophy, but also challenged the authority of the priesthood, denied the validity of the Vedic scriptures, and rejected the sacrificial cults based upon them. Moreover, he opened his movement to members of all castes.
The concept of dharma, however, remained central to Buddhism and came to be central in the legal systems in other south east Asian countries, such as Cambodia, Thailand, and Myanmar. These countries all adopted the Hindu ideal of law based on a natural and moral order of the universe, dharma. The myth supporting this development was that the Buddha inspired Manu to draw up a set of laws for the regulation of society. In practice it occurred because during the period of nation building and the consequent codification of law, many of the kings of south east Asia, although Buddhist, had adopted the personas of Hindu gods. The Rama dynasty of Thailand is a good example. At the same time, their closest advisers, and those tasked with drafting legislation were Brahmin priests.
However, there are very wide differences among these nations as to how the Laws of Manu were actually incorporated. In some instances they were adopted fairly closely in legislation and in others they remained a set of tenets of natural law not supported directly by the state.
At the core of Buddha's teachings are the Four Noble Truths:
1) Life is suffering. In its very nature, human existence is essentially painful from the moment of birth to the moment of death.
2) All suffering is caused by ignorance of the nature of reality and the craving and attachment that result from such ignorance.
3) Suffering can be ended by overcoming ignorance and attachment.
4) The path to overcome suffering is the Noble Eightfold Path, which consists of right views, right intention, right speech, right-mindedness, right livelihood, right action, right effort, and right contemplation.7
Closely related to these beliefs is the doctrine of karma. Karma consists of a person's acts and their ethical consequences. Human actions lead to rebirth, when good deeds are inevitably rewarded and evil deeds are punished. The karmic process operates through a kind of natural law rather through a system of divine judgment. Buddhism itself has no legal codes similar to the Laws of Manu or the Sharia Law of the Muslims.
The Buddhist canon consists of three collections known as the Tripitaka, one being the Vinaya Pitaka which lays down the code of monastic discipline. The Buddhist clergy is organised in the monastic Sangha. The Sangha originally included an order for nuns as well as for monks, although the acceptance of women into the Sangha was neither immediate nor automatic.8 This has changed, however, and today only a few Buddhist orders allow women to be ordained and nuns are expected to be subservient to monks.
Due to the world-renouncing character of Buddhism, it has been able to adapt to changing conditions and adjust to modernization. On the other hand, this has led to charges of being socially unconcerned. The organised Buddhist faith has not been as directly involved in the development of law as the other great churches. It has been partly the vacuum this created allowed the adoption of the Indian legal system in several South East Asian countries. However, Buddhism, with its emphasis on the individual and karma, created an atmosphere in most of South East Asia that allowed the implementation of a more relaxed version of the system, not least in its attitudes to women.
2.3 Law and Christianity
In Christianity, the relationship between law and religion has always been a hotly contested and problematic. The faith itself is built upon Judaism, in which the Torah, the body of law, was handed down from God himself and was indistinguishable from God's will. Though Jesus Christ himself declared "Render unto Caesar, that which is Caesar's and unto God, that which is God's". During its first centuries, Christianity was an illegal and persecuted religion under the Roman Empire. As such, civil disobedience (of unjust law) became a central tenet. From the eleventh century, Europe was torn by a struggle for ultimate authority between Pope and monarch which raged for centuries, frequently leading to outright war. In the sixteenth century the great schism in the faith, the rise of Protestantism, led to the development of two entirely different theological and philosophical systems of thought, not least as regards the concept of law.
There are two opposing views of the interrelationship of religion and law in Christianity. The first, expressed in Catholicism is that church and state must cooperate in attributing to law a sanctity and an authority independent of its ultimate purposes. The second, espoused in Protestantism, sharply divides the heavenly kingdom of grace and faith, to enter which one must be judged by God for one's actions, from the earthly kingdom of sin and death in which all law, both moral and civil, resides. For Martin Luther, the father of Protestantism, the church was an invisible community of believers, without a legal character. It followed that all legislative power should be vested in the secular authorities, who would themselves be judged in due course.
These essentially Protestant ideas achieved dramatic political expression in the late eighteenth century. The American and French Revolutions constitutionally instituted a strict division between church and state. The two centuries since have seen an increasing secularisation of the law throughout the Western, Christian world.
However, while this process has been developing, the countries in question have remained Christian and their legal structures still very much reflect the fact. This is positive in that it is evidence that law can be changed without the destruction of religion. But negative in that legislation cannot be properly implemented in the face of still-powerful conservative churches deriving their authority from biblical and other texts and teachings which seek to keep women in a subservient position. Thus the most famous Bible story taught by the Christian churches (in common with both Judaism and Islam) is recounted in the Book of Genesis, where God created the first woman from a rib of the first man. No matter that the rest of the Genesis story stresses equality of both man and woman in the face of God.
2.4 Law and Islam
Islam is a religion of law. Of all the great religions, Islam is the most comprehensive in terms of its law literature. This is particularly so in the area of personal law, which is often considered the main bastion of Islamic law. The law of personal status, the Shari'a, is regarded as an essential part of the religion. Muslims have tended to regard adherence to its principles as a measure of the religious propriety of individuals and governments.
The Shari'a is a divine law. It covers all aspects of a Muslim's life and makes little distinction between moral, ethical and legal questions. Unlike Christianity, there is no distinction between the religious and secular, or between private and public law. The divine nature of the Shari'a denies the authority of any legislative body on earth, but concedes the capacity of political authorities to make administrative regulations which secure the implementation of the Shari' a. Linked to this is the doctrine of the immutability of the Shari'a. Since the Shari'a is the path dictated by Allah, it has a timeless and universal validity. If there is a divergence between the provisions of the Shari'a and the actual circumstances of society, then it is the society, not the Shari'a, that must change. However, the authority of the law depends not on effective sanctions for disobedience of it on earth, but on its revealed nature as the word of Allah. This may partly explain why the Shari'a and the jurists who expound it have been largely content with acknowledgment of this theoretical supremacy and have tolerated the rival jurisdictions of administrative courts as long as the they are based on the principles of public good (Masaleh Mursila). Indeed much of the Shari'a is plainly not intended for enforcement by any human agency, and even prohibitions central to Islam such as usury, drinking of alcohol and gambling, entail no Qur'anic penalty on earth.
The main source of the Shari'a is the Qur'an. The Qur'an is the sacred book of the Islamic faith, containing a collection of the revelations made by Allah to the Prophet Muhammed in the early part of the 7th century A.D.. The injunctions of the Qur'an make no distinction between religious, moral, social and legal matters. In terms of women's position the Qur'an states that men have authority over women because Allah has made the one superior to the other, and because men spend their wealth to maintain women.
The concept of law in Islam has had an impact on the legislation in predominantly Muslim countries. If the values of the Shari'a are immutable there is no room for a parallel set of principles to mitigate of the hardship they cause, and if the Shari'a is divine, there is no room for human legislation. Thus, the modes of escape utilised by other societies of law are not available. Ultimately, however, the relationship between the Shari'a and national legal systems does not seem to have created too many problems.
This close relationship between law and religion has also had an impact on the status of women. Many laws in the Shari'a can be seen as oppressive towards women. For example, women do not inherit equally with men, and it is more difficult for women to obtain a divorce.
2.5 Summary
In the realm of human affairs, religion and law spring from the same or similar social and individual needs. It is not surprising then that the two issues are closely related and to a large extent overlap. Certain common themes can be drawn from the respective histories of the great religions. All their earliest texts attest to the equality of the sexes before God, or heaven, and accord women a high degree of respect and status. All at some stage became and have remained dominated by men. Under their control a variety of rules were instigated to subordinate women. These rules were institutionalised over centuries or even millennia, and informed, conditioned and defined the legislation enacted in respective countries.
Instituting changes in the face of the enormous weight of this tradition is the challenge that faces women (and policy-makers and planners) today. In their favour is the fact of the essential nature of these two central needs, for law and religion. If these needs were simply carved in stone and immutable, no change of any kind would be possible in any aspect of human society. Given the dramatic developments of modern times, this would be simply untenable.
As societies grow and prosper, any development takes place firmly within the context of the law/religion relationship. No religion can exist in stasis. Like all institutions they must grow and develop. Indeed, all the great faiths expect their adherents to grow and develop and to make judgements as to the rights and wrongs of new situations. The sacred texts of all the great religions are open to wide interpretation. It will be in the interpretation that the position and status of women are reinstated.
3. RELIGION AND GENDER EQUALITY
At the most general level, in all religions express a tacit recognition of woman's equal status with men, since both women and men are after all a part of humanity.
In Hinduism, the lives and status of women can be followed through the evolution of the literary tradition. At the time of the Vedas, which were composed over 3,000 years ago, women were permitted to participate with men in public feasts, dances and religious sacrifices. They were encouraged to study various subjects including the holy scriptures and to join in debates and philosophical discussions. Gargi, for instance, one of India's most famous early philosophers is often cited as an outstanding example of Vedic womanhood, having contributed to the Upanishads and participated in many important debates.
Buddhism recognises the fundamental equality of humankind as one community. According to the Buddha, concepts such as caste, race and gender are socially constructed. All human beings are born equal and one's liberation can be achieved only by one's own individual effort. Although the Buddha did not address social differences in terms of sex, he placed women and men on the same level in attaining the highest goal of religious life. When Queen Mallika gave birth to a daughter,
King Pasenadi Kosala was distressed and reported to this to the Buddha, the Buddha consoled the king, thus; "A female, O king, well disciplined and educated, may prove even nobler than the male. . . " 10
Christians worship Jesus Christ as the Son of God. Nowhere in the extensive corpus of his reported speech did he make any derogatory statement about women. In fact, to the surprise of both his disciples and the public, he went out of his way to treat them well, much against the prevailing norms of his society. He approached them as real persons, listened to them and addressed himself to their problems. In so doing, he incurred the wrath of the religious leaders of the day.
Jesus's attitude to women was crucial to the early spread of the faith, which proved particularly attractive to women, who became very active in evangelisation. Yet from those earliest times, the male priesthood ignored Jesus' basic tenets for the treatment of all humans and did not emulate his approach to womankind. Because Jesus had not specifically articulated the equality of women, and because he took only male disciples, church leaders and clergy, exclusively male, could justify their disregard and denigration of women's position in society and accrue to themselves all spiritual authority.
Supporters of Muhammad contend that he improved women's position in society immeasurably. Detractors hold that Muhammad actually denigrated women and point to his practice of polygamy as an indication of his low esteem for women.
As with other religions it is important to place actions and words in the context of the time they occurred. Looking at pre-Islamic practices, Muhammed certainly improved women's lot but some Muslim laws and practices in the context of today, have worsened the position of women. Again it is important to distinguish between Muhammad's original intent and that of his successors.
There is a dualism inherent in Muhammad's approach to situations; the legalistic, legislative act versus the idealistic, moral intent. One can argue that Muhammad, and through him the Qu'ran, dealt pragmatically with existing conditions by first recognising their existence. They also made specific legal prescriptions to ensure appropriate responses to the conditions and to achieve certain immediate social effects. On the other hand, Muhammad issued moral precepts designed to demonstrate how he would improve society when conditions and attitudes permitted. Thus he adopted a legal, for-immediate-use approach to-daily problems, and a moral, for-the-future implementation of Islam. As stressed by Mohtarma Benazir Bhutto, at the Fourth World Conference on Women, in Beijing, some traditional customs are harmful to women, but one needs to distinguish between Islamic teachings and social taboos created through time.
Looking at the great religions and their impact on the status of women, it must be said that, in spite of their professed belief in the equality of all souls, most religious traditions are guilty of a certain downgrading, even a belittling, of women's status. Islam does not place women on an equal footing with men in the realm of public affairs. It nurtures, along with Christianity, certain views of women's temperament which are clearly at odds with modern psychology. Similarly, the Buddha, in a famous discussion with his disciple Ananda, suggested that there were certain inherent tendencies in a woman's character which made her inferior to man. Even more blunt and blatant denigrations of the female 'nature' are found in some of the Hindu traditions.11
However the central truths and basic doctrines of the old faiths are not necessarily inimical, either to the position of women or to modernization in general. In their day, the great religions were all reform movements and powerful agents for change, leading to radical alterations in patterns of thinking, attitudes and customs and contributing much to the development of world history. Those seeds of change and reform were planted by the founding prophets, deep in the religious movements they gave rise to. Though their sowing has been covered by centuries or millennia of subsequent interpretations by conservative priests, brahmins, monks and imams, the seeds are-still fertile and should be made to flower.
4. RELIGION AND RELIGIOUS CUSTOMS
When considering religion and its impact on the status of women, it is important to distinguish a religion's rituals, customs, and institutions from its inner truths and fundamental philosophy.
At their highest levels, most religions are rational, idealistic and not opposed to reform and change. However, most adopt customs, institutions, priestly interpretations and community biases, cloak them with religious sanctions and convert them into immutable doctrines.
Many of these sanctioned customs and traditional values were not only appropriate in the past, but remain so. Certain modes of dress, of planting and of building are suitable in certain climates.
Many folk medicines have proved effective in modern times. The bathing of hands and feet before worship contributes to hygiene. Bans on eating certain types or combinations of food can protect against disease. But these are economic or social customs instituted to help ensure survival. Although they have been given religious sanction, they are not religion itself.
When one turns to the impact of religion on women, this difference between religion and religious custom becomes critical. All the main religions evince at least a moral concern for gender equality. If early tenets had been interpreted in a progressive way, equality would have been understood as it should be. Unfortunately, except for rare moments in history, this did not happen.
As societies inspired by the teachings of the prophets established themselves and became stable and secure, classically, a conservative mood set in. The new class of priests who interpreted the teachings justified and rationalized the doctrines in ways that often legitimised inequalities between religions, communities, classes, and the sexes. The priests interpreted the religious texts thus because it served their interests do so. By legitimising inequalities, they ensured their own dominance over their followers and justified their unequal status, and their unequal access to knowledge, to power, and sometimes to wealth.
Equally important, the priests were part of the patriarchal elite of society. They often worked for kings and princes, who were determined to keep their position and separate the elates from the masses. Then, as today, societies where power is wielded through unequal structures will need ideologies to rationalise disparity and discrimination. The priests were the ideologues and they were no more anxious to encourage the full participation of women in religion than landlords are to hand over their land to rural women. It was their duty to keep the system going, to ensure that the elates remained in power.
In conclusion, it is apparent that the structure of patriarchal and traditional societies, elite interests, the position of the priestly class and its orientation were more decisive influences in inhibiting religion from emerging as a channel for the quest for equality than were doctrinal factors. It follows that doctrinal deficiencies are not the main reason why gender equality came to be associated with the secular tradition.
5. RELIGIOUS TRADITIONS ARE NOT STATIC
It is often contended that issues that pertain to the relationships between women, religion and custom cannot or should not be dealt with by policy makers and development planners. Leaving aside the theoretical morality of the contention, this ignores the fact that the status quo has already been upset by development, progress and modernization.
When social forces suggest or promote change, religion has too often been used to engender fear in its adherents and has been manipulated to drive the less educated and less thinking into blind acceptance of regulation and control. Undoubtedly, religion has provided strength and sustenance to people in times of hardship, poverty and strife, and has even provided refuge and community in times of dramatic change. However, it has also been used to prevent changes that would lessen those afflictions and empower the same people.
Overall, the institutionalisation of religion, together with social ritualisation and stratification, have contributed greatly to the social inertia that retards women's advancement. It has hampered needed social change, particularly in economically underdeveloped countries and within them, especially for women in rural areas who have steadily become poorer due to a lack of access to the means of production, land and credit.
Yet it remains true that religion can effect beneficial change. Even today the visionary tenets of the different faiths can be major instruments in effecting fundamental social improvements, if they are exercised in the full generosity of spirit of those who coined them.
6. THE ROLE OF POLICY MAKERS AND DEVELOPMENT PLANNERS
When the role and status of women in development are discussed, the issue of religion and its impact on women's traditional position is typically side-stepped. Because the subject is an ultra-sensitive and emotionally charged one, development planners and policy makers treat religion as a non-subject. At development meetings and conferences the subject is virtually taboo.
Policy makers and development planners need to distinguish between mere religious customs, and the essential philosophy of the relevant religion. By employing the basic tenets of religion in proposing policy making, they can encourage the reform of outmoded religious sanctions without alienating a religion's leaders or adherents.
It is time that the subtle and not-so-subtle impact of religion on various facets of development is recognized. Throughout the world, innumerable religious groups exist that oppose change because they fear the consequences of contravening age-old tenets. Equally, innumerable politicians are prepared to use religion in furtherance of their own ends. Consequently, policy makers have been reluctant to confront religious leaders and their supporters for fear of a backlash against their development efforts. Yet the failure to recognise, research and discuss the prevalence of religion and its impact on people's lives often compounds the very problems policy makers are seeking to avoid.
7. CONCLUSION
The need for religion and the need for law are two faces of the same coin, humanity's desire for order, security, community, a shared identity, conformity and common purpose. As such their destinies have been closely intertwined for millennia. No-one would disagree that both law and religion have also been misused and abused in the furtherance of sectional interests. All the great religions have been inspired and dominated by men, as have all governments. It would be surprising then, if the interests of men, as against those of women, were not universally favored civil or religious law.
All the great religions, in their formative, philosophically critical phases, recognised the central, natural and essential truth of the equality of all humankind. These great religions, all initially reformist, soon became institutionalised powerful and defenders of the status quo. That status quo was a male one, and women have not fared well under it. World-wide, there has been a remarkable shift in this century, where women have appealed successfully to the law for the implementation of rights. To date, the male managers of the religious institutions have sought to slow the process. However, the process goes on, and is gathering pace. It is increasingly realised that if religions are to serve their flocks, they must be amenable to change and not just set their faces against it. Women's successes in dealing with the law have been achieved by appealing to its central ethos of justice. It will only be by appealing to the one central philosophical tenet common to all the world religions, the equality of all humans, that women may be able to shift the enormous burden of tradition that rests upon them.
The Beijing Declaration and Platform for Action states that "Religion, thought, conscience and belief may, and can, contribute to fulfilling women's and men's moral, ethical and spiritual needs and to realising their full potential" (25bis). At the same time the Declaration also points out that more than one billion people in the world today, the great majority of whom are women, live in unacceptable conditions of poverty which are directly related to the absence of economic opportunity and autonomy as well as to the rigidity of socially and culturally ascribed gender roles.
Religion, or more accurately the institutionalisation of religion, has marginalised women in terms of access to both political and economic power. Unequal inheritance rights, male ownership of land, a husband's control over a wife's wish to work, these issues have all been condoned and even promulgated in the name of religion. They must be challenged, not only by women, but by development planners and policy makers.
For women, one of the positive aspects of religious institutions has been their usefulness in organising at the community level. Temples, churches and mosques are approved meeting places where women are able to network, share information and experience, learn about access to resources, and to mobilise. They can also be places where women, as faithful adherents of the faith, can assert their immutable rights as ascribed to them in the ancient texts.
For development planners and policy makers, it is time that a central taboo in development issues is addressed. Women work hardest in the field and in the home, and are the most reliable, but at the same time the poorest and most neglected section of rural societies. Their predicament can be raised with the powers that be, whether civil or religious, and the whole debate can be moved onto another plane. This issue was highlighted at Beijing, in the assertion that women's rights are human rights, naturally, logically, spiritually, and inalienably. The fulfilment of these rights need be no challenge to the central beliefs of the great religions. Indeed, properly attended to, they could be a source of new strength and inspiration. Initiatives to raise women's issues with civil and religious authorities, and support for the empowerment of women will pay dividends in the coming century and beyond.
NOTES
1. Fourth World Conference on Women, Platform for Action; Beijing; 15 September 1995; Paragraph 9. The full text reads "while the significance of national and regional particularities and various historical, cultural and religious backgrounds, must be borne in mind, it is the duty of States, regardless of their political, economic and cultural systems, to promote and protect all human rights and fundamental freedoms". This paragraph was one of the two most hotly contested of the conference and was one of the last items resolved on the agenda.
2. Bergman, Harold; The Interaction of Law and Religion; Nashville; 1974.
3. Natural law is a set of principles, based on what are assumed to be the permanent characteristics of human nature, that can serve as a standard for evaluating conduct and civil law. It is considered fundamentally unchanging and universally applicable. All of the four religions dealt with in this paper refer to natural law.
4. This body of literature, which may date from an many as 3,500 years ago, consists primarily of four collections of hymns, poetry and ceremonial formulae. The collections are called the Rig-Veda, the Same-Veda, the Yajur- Veda, and the Atharva- Veda.
5. The Laws of Manu consists of 2,685 verses, divided into 12 books. Modern scholars have dated the Manu Smrti variously from 600 B.C. to 300 A.D..
6. Brahmins are the highest caste in Hinduism. The Brahmins alone may interpret the sacred texts of the Vedas. To the orthodox Hindu, a person of the Brahmin caste is sacred, the Brahmins are the chief of all created beings, and all other mortals enjoy life through them.
7. Laxton, Guy; The Heart of Buddhism, Aquarian Press; London; 1990. pp. 124-125
8. Goonatilake, Hema; Buddhist Nuns: Protests, Struggles and the Reinterpretation of Orthodoxy in Sri Lanka, in; Judy Brink and Joan Mencher (Eds.); Mixed Blessings: Gender and Religious Fundamentalism Cross Culturally; Routledge; New York; 1994. Depite the recognition of a fundamental equality of humankind, Buddha was ambivalent towards admitting women into the Buddhist Order. The first women to be admitted had to plea several times and over a period of several years before being admitted.
9. This is the position in Sunni law, which governs the majority of Muslims. The position of the minority Shi'i is somewhat different.
10. Goonatilake, Hema; The Life Cycle of Women. Buddhist Theory and Contemporary Reality. Paper presented at the Regional Conference for the Buddhist Clergy: Image of the Future - the Buddist Clergy in Community Work for Women and Children, Bangkok, 5-7 July, 1995.
11. Siriwardana, R. (Ed); Equality and the Religious Traditions of Asia; Frances Pinter; London; 1987. pp. 910.
REFERENCES
Bergman, Harold. 1974. Interaction of Law and Religion, Nashville.
Carroll, Theodora Foster. 1983. Women, Religion and Development, Praeger Publishers; New York.
Gender and Development; Vol. 3, No. 1, February, 1995, Oxfam, Oxford.
Goonatilake, Hema. jury, 1995. The Life Cycle of Women: Buddhist Thereory and Contemporary Reality. Paper presented at the Regional Conference for the Buddhist Clergy: Image of the Future - the Buddist Clergy in Community Work for Women and Children, Bangkok.
Goonatilake, Hema. 1994. Mixed Blessings: Gender and Religious Fundamentalism Cross Culturally, Routledge; New York.
Hodkinson, Keuth. 1984. Muslim Family Law, Croom Helm; London.
Kabilsingh, Chatsumarn. 1991. Thai Women in Buddhism. Parallax Press; Berkeley.
Laxton, Guy. 1990. The Heart of Buddhism. Aquarian Press; London.
Matsui, Yayori. 1989. Women's Asia Zed Books; London.
Medhidhammaporn, Phra. 1994. Buddhist Morality. Mahachulalongkornrajvidyalaya University Press; Bangkok.
Mernissi, Fatima. 1991. Women and Islam, Basil Blackwell; London.
Sen, K.M. 1961. Hinduism, Penguin Books; Middlesex.
Siriwardana, R. (Ed). 1987. Equality and the Religious Traditions of Asia, Frances Pinter; London.
Stephens A. 1993. Gender Issues in Agricultural Policy Paper presented at the FAO Regional Consultation on Gender Issues in Agricultural and Rural Development Policy, Bangkok, 1-5 November 1993.
Wahlberg, Rachel Conrad. 1975. Jesus According to a Woman, Paulist Press; New York.
Whyte, Pauline & Robert. 1982. The Women of Rural Asia; Westview Press; Colerado.
Alexandra Stephens
That the concept of family was deemed sufficiently important for the United Nations to proclaim an International Year of the Family (IYF) in 1994 is evidence more of concern for maintaining a declining entity (particularly in Western and rapidly developing countries), than for the victims of functional and dysfunctional families all over the world. Many women, for a start, may have registered surprise when they saw the slogan on the cover of an IYF information booklet, which says "... building the smallest unit of democracy at the heart of society".
Democracy? The family has often provided the means to oppress and exploit women, and the IYF could better have exposed this, than to have reinforced the often unacceptable stereotypes of family.
In a nutshell, IYF objectives were written with the intention to maintain a notion of family much touted by some politicians of today, especially those on what is commonly called the "right" side of the political spectrum. That status is unacceptable to and rejected by an increasing number of women - and a significant number of men - who have been victims of models designed to serve the interests of a privileged few. Marriage has been shaped and sanctioned by most of the world's institutionalized religions, Governments, and corporations like "Subsistence Farming Inc." which all use concepts of "family" to enlist huge amounts of free labour and services, to commandeer property, to plunder resources and to ensure free succour and comfort from the cradle to the grave.
Most societies have institutionalized discrimination against women within that "unit of democracy", casting them into endless hours of unpaid and unrecognized domestic duty which few would select over a life of greater challenge, recognition and remuneration. The IYF jingles about building the smallest unit of democracy at the heart of society therefore struck discord in the hearts of those for whom marriage is no more than slavery, as slavery is defined in modern dictionaries. The privacy maintained around family life allows the perpetration of a whole range of violent acts against women, from stripping them of an identity to brutal, physical abuse.
Recent reports from all over the world about violence against women, the appropriation of their bodies, and the loss of social and economic status (women have never had much political status to lose in public life), provide some of the clues about the causes of a decline in marriage, in family longevity, and in family unity, particularly where women have a choice. The fact is that marriage and family life as enshrined in patriarchy and its institutions are no longer acceptable to many people in the world today. Far from supporting an unsustainable model therefore, IYF should have offered opportunities for a thorough examination of the constitution of family, especially in countries where women's social and economic status allows choice in marriage, and the freedom to remain single. In fact this was done in one Asian country - Japan - where the decline of marriage and childbirth has been so dramatic in the recent past that the Government has allocated funds for thorough research on the subject. Let us hope then, that the right (as in "correct") questions were asked during IYF, so that useful conclusions can be drawn to provide guidance for legislators and policy makers who wish to revive a moribund institution.
In many countries marriage rates remain high, and divorce is quite low. Representatives of these countries tend to suggest at regional and international meetings on social issues, that there is something intrinsically superior in their traditions and institutions of marriage and family, which they want to protect. Western influence is roundly criticized and rejected as they reflect on the emergence of "uppity women". For such persons, the IYF offered a chance to decry the negative impact of Western television, feminism and other dangerous elements, and in international fore they endorsed resolutions for legislation and social sanctions which help maintain the status quo. They do so at their peril. Far from complacency, it behoves all of us from whatever country, ethnic or religious background, civil status and socio-economic group, to seize the opportunity given by IYF to question, examine, review, study and analyse the meaning, relevance and future of family. The few countries which did so conducted research, held seminars and workshops and promoted questions such as the role of fatherhood in society, unloading household drudgery, the house-husband of tomorrow, the bargaining power of motherhood and similar topics of concern, ultimately, to all of us.
There is no doubt that family is needed. Those who leave their families and/or marriage, usually spend an inordinate amount of time and energy - not to say other resources - recreating a substitute for the family they left. I am not therefore questioning the need, but rather the relevance of family forms in today's changing societies, the assumptions under which so many seek to preserve their family ideals, and the reasons so many abandon it. I also seek answers to questions of purpose, for too many people seem to enter relationships and establish one kind of a family or another without knowing, beyond immediate needs or to legitimize gratification, just what else can be offered by and should be given to a family. Nor do they grasp the fact that human satisfactions are not simply a birthright, but must be worked for and maintained to achieve quality in all the dimensions of life.
Women and Families
As long ago as the 4th Century BC, Plato wrote in The Republic:
"Can you employ any creature for the same work as another, if you don't give them both the same upbringing and education?
No.
Then if we are to set women to the same tasks as men, we must teach them the same things. They must have the same two branches of training for mind and body and also they must be taught the art of war, and they must receive the same treatment."
In China, Chairman Mao Tse Tung said Chinese men shouldered the burden of three mountains oppression from the outside, feudal oppression, and their own backwardness. Women shouldered a fourth, he said - the first three plus the heaviest of all, man himself. In so saying, Chairman Mao was recognizing that the heaviest burdens are imposed not by accidents of birth such as one's sex, but by unjust social and economic structures set up by men (Huang, 1993). The idea of family based on inequality is one such structure, now under threat for the same reasons as patriarchy itself. Like patriarchy, family structures which institutionalize the subordination of some members for reasons which have nothing to do with biology, must be challenged and changed by their victims. If the 21 st Century is to respond to an honest appraisal and the emergence of new family structures, our imperative is to initiate that process as a major followup to IYF.
The Role Of Women In Germany Kinder (children) Kirche (church) Kürche (kitchen) In Malaysia Masak (cook) Macak (dress-up) Manak (give birth) |
No one gives up privilege easily - it must be wrested away, and democracy constantly and continually promoted and protected. Neither the socialist nor the capitalist countries of the industrialised world succeeded in making men shoulder their share of housework, although a great deal more equity is seen in many tribal societies, and among the very poorest and the richest families. The middle classes however are where most people live, but the emergence of greater choice as countries develop and the majority peasant population gives way to a middle class majority, women are pushed into more separate roles involving all the menial, boring and poorly remunerated tasks that men eschew. There is nothing heroic about housework! Equally unheroic is collecting dung by hand to fuel the kitchen stove when forest fuelwood disappears. It is interesting to note in a study in the Indian Himalayas by Manjari Mehta (1990) that while women collect dung by hand and carry it as headloads, on the rare occasions when men are persuaded to help they use shovels to gather the dung, and carry it in gunny sacks on their backs. In Nepal, women's traditional task of fetching fuelwood and water has lengthened steadily as forests disappear under the loggers axes, yet little help has been offered by menfolks. When additional labour is needed, girls are kept out of school first, perpetuating the cycle of female ignorance, low status and poverty.
New technologies may reinforce stereotypes and institutionalized discrimination against females at the family level. In China, the "one-child policy" has spawned even stronger demand for boy babies to carry the family name, and medical technologies have obliged with tests to determine the sex of the foetus at quite an early stage of pregnancy. In 1994, 117 boys were born to every 100 girls. In the Republic of Korea where boys are preferred over girls, as many as 22 percent of men will remain unmarried due to scarcity of brides, by the year 2000 (Asiaweek, 3 March, 1995).
Scanners, amniocentesis and abortion have exacerbated the increasingly skewed population ratio in India. Institutionalized discrimination against girls has resulted in a diminishing proportion of females since the turn of the Century when in 1901 there were 97 girls for every 100 males. By 1993 this had further declined to just over 92, although in the State of Kerala where there is more or less equality of opportunity for girls and boys, the balance remains a near normal 104 females to 100 males.
Both the State and the "Religious Right" interfere in family law, the one often opposing the other. An example of the undermining of secular law by "fundamentalists" is in the control of women's bodies and reproduction. In India, Hindu women who had the right to choose to terminate a pregnancy lost this in a challenge by a husband when the Delhi High Court ruled in favour of the husband under the "Hindu Marriage Act" (Kapur, 1992). A photograph of the highest Christian official in the Philippines, Cardinal Sin burning documents of the 1994 World Conference on Population and Development prior to the meeting held in Cairo, showed former President of the Philippines Mrs. C. Aquino looking on in apparent approval to protest the promotion of population planning, in direct opposition to policies of the present Government of President Ramos.
Feminists from Iceland to India have been in the forefront of household reform. Perhaps not surprisingly home economists, representing the only professional body of practitioners helping to improve life for family members within households, have generally lagged behind. It has been left to social scientists including economists and psychologists to study households and to identify the problems within. Home economists have only recently begun to articulate some of the issues, and translate them into curriculum changes and the reorientation of services. Perhaps now. is the time for the academics, practitioners, field workers and household managers to pool their expertise to institute a meaningful followup to 1994, so that IYF becomes a real catalyst for change, and families recapture the features which once made them so popular.
"The Bengali term Syami literally means master, not husband" (Hossain, 1994) |
IYF: Principles and Principals
The IYF Secretariat in Vienna published a set of principles underlying the intended activities in 1994 and beyond. The first principle endorsed the family as the basic unit of society, thereby warranting special attention. There was nothing new in that, but thinking women questioned the special attention intended by the Secretariat. The principle as articulated justified protection and assistance to families to fully assume their responsibilities within the community, in line with provisions such as the Universal Declaration of Human Rights, and the Convention on the Elimination of all Forms of Discrimination Against Women. It seems to me before proceeding to the next six principles, that it is necessary to agree on what we mean by family before we endorse protection and assistance. If the existing structures and operations of families are anathema to a large proportion of the society, then it is not protection, but change that we want. And if the acceptable definitions of family exclude a significant and increasing number of households, then we will fail to address the reality of family life for those most in need of recognition and acceptance.
Definitions of family were deliberately not provided by the IYF Secretariat. That was left to individuals, groups and Governments to decide, according to social and political imperatives. In most countries these imperatives emanate from patriarchal institutions, and need to be (and are being) questioned by women - not all of them feminists, but all of them oppressed in some way by patriarchy.
The IYF provided an opportunity for women to identify and define the elements within institutions which oppress and subordinate them, so that the way forward becomes clear.
In Japan, as in Sweden, the average age of first marriage for women is 27, and for men, 30. Average fertility in Japan has fallen to 1.46 - far below the 2.1 children demographers say is needed to maintain a steady population (Asiaweek, 3 March, 1995). Without change, the population of Japan could halve in just three generations, prompting the overwhelmingly male Japanese parliament (the Diet) to pass laws on child care leave. These have however had little impact, and studies commissioned by the Government point to attitudes on the part of men as the main constraint to women's willingness to marry and to bear children. By contrast in Sweden, men have responded more than most to the call to share child-rearing and household chores, and more young Swedish families exist in de facto or de jure partnerships. The fertility rate in Sweden remains higher than many north European countries at 2.0 (compare Denmark, Finland, Norway and U.K. at 1.8).
There remain of course plenty of men oppressed by "Family". They too, need to articulate their concerns, and prepare for meaningful argument in the debates. That some of their oppression are quantitatively and qualitatively different from those of women, justifies separate actions. For purposes of this paper however, the focus is on women as the overwhelming majority of victims of current forms of family.
Given the social decline and economic disintegration of Western family life, a situation increasing also in other industrialized and developing countries, perhaps we should first examine the intrinsic and extrinsic factors underlying this. Otherwise we risk reinstating the "sacred" notions of family which have so crippled women in many forms of "development". The last thing women want to do is to become unwitting partners in invoking "family strength" for national development when it places women in the margins of existence. For those who doubt that this actually happens, recent studies by the International Fund for Agricultural Development (IFAD) show that rural women, already comprising over 60 per cent of the absolutely poor and destitute in rural areas, are joining their ranks faster than rural men. By the year 2000, IFAD predicts that their numbers will increase to 65-70 percent (IFAD Press Release No. G/05/92, February, 1992).
The nuclear, two-generation family with parents and children is no longer the norm in countries in North and Western Europe, or North America. There are families living happily and unhappily as childless couples, as solo parents with children, as an elderly widow or widower with or without a relative, and those of all ages living alone. Same-sex couples who may or may not be partners in any accepted sense, groups of adults of one or both sexes who have created a "family" in communal living, and families of loosely constructed itinerant members who share a home are other alternatives seen frequently. Some of these partnerships and groupings are primarily social units. Others are "enterprises" in their own right, while some have opted for "communal" or "corporate" household economic systems.
Some include marriage: others are comprised of individual members with or without legal status or written contracts.
There is a paradox showing up in these countries however. Those who have dissociated from cultural and religious, or even civil traditions of nuclear or extended families, frequently set about recreating just such a family as the one left, with many of the foibles and tensions deserted in the earlier nest. A vivid illustration of this is frequently seen among battered women who leave a violent household only to choose another partner with similar habits.
The human need for companionship and care will undoubtedly continue to be sought in forms of families, even if their fairy-tale promises are no more than the stuff of romantic novels. The IYF therefore was a catalyst to identify the reality of essential constituent parts of a healthy family, whether in a family primarily together as an enterprise, a place of succour and comfort, a reproductive unit, or any combination of these. What we do know now is that many families do not provide a place in which individuals can grow to realise their potentials, and that far from being the smallest unit of democracy at the heart of society, many are oppressive, exploitive and demeaning to their weaker members.
If family is to take on the meanings implicit in democracy, this implies fundamental and radical changes for those members who enjoy privilege within families. This means far more for men than for women. The reproductive functions of family are already mainly shouldered by women, and those of biological origin are predetermined and unchangeable. These are gladly accepted by most women, especially by those whose partners recognise their different but equal responsibilities. While the technical division of labour in most households assigns tasks to its members as individuals according to requirements in each stage of production or transformation, the social division of labour skews responsibility according to social characteristics: sex, race or ethnicity, religion, caste/class or age. These are not gender-neutral. They are strongly biased against women. Particularly in rural areas, women's work day has been shown in FAO and other studies to be increasing year by year, as men leave for better-paid and more attractive careers in towns and cities, or overseas on various kinds of contract work.
The feminization of farming has marched hand in hand with the feminization of rural poverty, and rural women are suffering, as well as long-suffering. How much longer this can continue is another question. Of rural women interviewed in a study in the Republic of Korea (FAO, 1985), over 70 per cent of women farmers said their workload had become intolerable in the past decade. Even in households where men remain, their unwillingness to shoulder some of the burden of housework, child care, fetching and carrying when their women-folk are working a full day in the fields or factories, is a major and universal complaint of women. No wonder, in countries where women have access to economic activities which guarantee them independence, they are leaving or not entering marriages which threaten their freedom and self-esteem.
When challenged, patriarchy fights hard. In countries where women leave lives of servitude and bonded labour they are quickly labelled whores and worse, especially those in the "first wave". The response, as in any situation of profound social change of course, is often traumatic and sometimes extreme. It brings misery to many, not least to those who first seek the change itself. A healthy society, secure in its traditions and culture will rise to such an event positively, and examine the extent and causes of the problem before condemning or suppressing it. Less secure societies and those with vested interests in maintaining the status quo will be swift to respond decisively, and negatively. This may be manifest in a direct, physical response such as arresting and imprisoning women seen as perpetrators of the "crimes" (as has been seen in many countries in the recent past), and even worse by inflicting harsh punishment including torture and death upon people conveniently branded in Christian tradition as "witches, firebrands and lesbians" or, as in a case widely reported last year, "un-lslamic".
In matters of social change, women are usually blamed for any upset in family life, particularly where the welfare of children is concerned. In this, mothers are more vulnerable to public condemnation than other women. Anger gives way to bitterness and loneliness as families separate, and two households are run on a budget designed for one. That poverty is much more prevalent among female-headed households should come as no surprise, and this is held over women who want to leave against the wishes of an oppressor. That they leave anyway is a sign, sometimes, of great courage in an untenable situation. The numbers of women leaving home is increasing so dramatically that we need to read the sign that something is wrong and needs to be done. What needs to be done however, is not necessarily to assist and encourage dysfunctional families to stay together, unless radical change can be effected from within.
So we come to the other principles of the IYF. The second simply recognizes diverse forms and functions of families, and states a commitment to addressing the needs of all of them. How many politicians and others in public office or positions of power would, in fact, be willing to commit support to, say, solo mothers or "gay" couples who challenge hypocrisy and confront society's worst fears? The principle is fine, but among increasing numbers of right wing and fundamentalist Governments, that principle is likely to remain between the covers of its publication. Those who openly and gladly recognize "diverse forms and functions of families" are often absent when policies promoting official tolerance and support to non-conventional families, are discussed. Those who do, often have a difficult task to enlist more than lip service to families which break codes of current "morality", particularly when public resources are to be mobilized and deployed.
The third IYF principle concerns the promotion of "human rights and fundamental freedoms accorded all individuals by the set of internationally agreed instruments formulated under the aegis of the United Nations, whatever the status of each individual within the family, and whatever the form and condition of that family". Comment on this one is superfluous. It is a lofty ideal, but where are the politicians willing to pay more than lip service to these? Without definitions of families in a given situation most will be let off the hook with unspecific commitments which hang as empty as their endorsements of "family values".
The final two principles reiterate platitudes expressed in all International Years - suggesting the strengthening of existing forms rather than engaging in radical rethinking. Be that as it may, IYF was planned as an event within a continuing process, and that process began among urban elites with wide risk margins, a long time ago. That it has barely touched the lives of most rural families in most countries of the world serves to remind us of the inexorably slow process of change in the larger context of development, and to acknowledge that such "progress" will eventually change all families, whether Governments and institutions like it or not. IYF in 1994 was therefore timely. We can use it to mourn the passing of the golden era of families if we want, but for those unencumbered by romance and nostalgia, and disenchanted with reality in yearning for recognition as an equal partner in their group called family, IYF offered a chance to engage in meaningful discussion, to change discriminatory legislation, to propose new policies and plans, and to take initiatives which could promote true partnership for each member of the unit which constitutes their family.
An Agenda for Action
Whatever else IYF achieved, it did spawn some agendas for action. From individual, personal agendas to national and international agendas, regional and international declarations and commitments, there is a body of knowledge and billions of life experiences from which to draw, to rehinge families. The values of, the structures around, and the dynamics within families offer potential for quality of life craved by billions but found by few. At whatever level we choose to develop action plans, information on issues of concern at various levels will be needed - see boxes.
Of concern to families acceptable and comprehensive definitions of family to provide a working framework history/herstory on the local origins of kinship and family, family types, alternative families, functions, rights and responsibilities of members, etc. case studies of family norms and mores, profiles of families and family types, documentation of family concerns, issues, problems gender analysis in families with particular regard to decision-making, access to and control over resources, work and the division of labour and responsibility, constraints to productivity, time use, education etc. feminist study of religious texts to identify distortions leading to the oppression of women family violence - extent, nature and trends, community responses social change and its impact on family structures, household resource allocation and utilization, intra- household distribution, family dynamics structural adjustment, agrarian reform, poverty and indebtedness, and their impact on poor/assetless families demographics - migration, seasonality, dependency ratios, fertility and resource management inter-generation issues, ageing populations, care of the elderly environmental change and the family economic issues, concerns and priorities gender issues and analysis interhousehold and community organization, support, networking special conditions - refugee families, displaced persons, war-torn residential zones, families in famine, nomads, disability policies, laws and custom around family issues; rights and obligations in families family support systems and services |
Of interest to institutions religious bodies and their perceptions, dictates protection and constraints on families and family members Government agencies and the use of the family as a social, economic and political identity NGOs and programmes for family welfare, family/household development human resource development gender issues in institutional structures, and their impact on family the family as an enterprise and as an entrepreneurial unit |
Of importance to Governments legal issues, human rights, recognition family needs, support systems and services family law and its practices sectoral policy issues: population, fertility, family planning, demographic trends care of the aged and disabled family members abuse of licit and illicit, harmful substances within families - drugs, alcohol, tobacco domestic violence and crime children's rights research, monitoring and reporting on family issues |
In Conclusion
IYF was recognized by Governments which are members of the United Nations, throughout 1994. A low profile was maintained however by both United Nations agencies and by the various institutions which might have been expected to support the Year. This is an indication perhaps, of some disquiet among responsible individuals as to what exactly should and can be tackled on family issues. Among professionals, social scientists and home economists should be in the forefront, with feminists and other activists mounting various rearguard actions. In practice it was left to feminists to raise the major issues of concern, while home economists for the most part remain hesitant or even reluctant followers.
Families with Special Problems destitute and absolutely poor or assetless families female-headed poor families refugee and displaced/separated families homeless families and slum dwellers distressed families e.g. in war aged and elderly families/aged and elderly within families, families with violence, abuse, harassment etc. families of prisoners solo (one person) households by default rather than choice. families with HIV-infected members |
The Year in fact passed relatively uneventfully, with few "coming out" for or against The Family, and even fewer providing coherent arguments to which people and institutions can respond. This is an opportunity missed. For all the mud thrown at and heaped upon families in the recent past, they survive, and no one has come up with a viable alternative. That some changes are needed was presumably implicit in Governments' endorsing an International Year of the Family in the United Nations General Assembly, which surely envisaged certain responses and proposals. That these have been slow to materialise could be indicative of indifference. On the other hand, it probably indicates more challenging conditions, such as fear, ignorance or incapacity to act. In most cases too, it clearly relates to vested interests in maintaining a status quo which may already be an illusion.
Whatever IYF was or was not, it offers an opportunity. If those in a position to respond do not do so in a manner which will help solve some of the seemingly intractable problems of the disintegration of families in many countries, they are failing in their professional duty. Those who deny the inevitability of change as developing countries industrialize and as traditions break down, are denying the capacity of their own societies to react positively to social transformation. In order to ensure economic gains are enjoyed by all without threatening the fundamental basis of a secure culture and economic system, changes in the "smallest unit of democracy" are prerequisite. The challenge is to pick up the indicators and run with them, identifying and articulating the issues and suggesting slutions which will render a service not only to individuals seeking family satisfactions, but also to building the smallest unit of democracy at the heart of society.
REFERENCES
Asiaweek. 1995 Disappearing Girls an article in Asiaweek, 3 March, 1995 pp. 32-36
ESCAP. 1994 Statistical Compendium on Women in the Asia and Pacific Region Bangkok: Economic and Social Commission for Asia and the Pacific
FAO. 1985 A Study of Women in Agriculture in the Republic of Korea Bangkok: FAO (mimeo)
FAO. 1994 What Has AIDS to do with Agriculture? Rome: Food and Agriculture Organization of the United Nations (booklet prepared by Martina Haslwimmer in Farm Management and production Economics Service)
Hossain, R.S. 1993 The Family of Women in South Asia in Voices Kathmandu: Nepal Association for Women's Studies
Huang, Xiyi. 1993 From Housewife to Career Woman: Rural China's Other Long March in Ceres Vol. 25 No. 1, January-February 1993: FAO, Rome
Kapur, Ratna 1992 Feminism, Fundamentalism and Rights Rhetoric in India in Special Bulletin on Fundamentalism and Socialism in South Asia, Lahore, Pakistan: Shirkat Gah
Mehta, Manjari 1990 Cash Crops and the Changing Context of Women's Work and Status: a Case Study from Tehri Garhwal, India Kathmandu: International Centre for Integrated Mountain Development (ICIMOD), MPE Series No. 2, p. 21
Sen, Amartya 1983 Economics and the Family in Asian Development Review Vol. 1, No. 2, 1983
United Nations 1994 Women in Asia and the Pacific 1985-1993 Bangkok: Economic and Social Commission for Asia and the Pacific (ESCAP)