5.2 Descripción de la dinámica de trabajo
5.3 Análisis de cada una de las herramientas utilizadas
5.4 Análisis de la metodología al trabajar en grupos separados
1. La realización del diagnóstico rural participativo
3. Objetivos del presente diagnóstico
5. Resultados del diagnóstico rural participativo, aldea La Cumbre
Diagnóstico Rural Participativo y Análisis de Género, Finca "Entre Ríos" Sayaxché, Petén
ANALISIS DE GENERO Y DESARROLLO FORESTAL
MANUAL DE CAPACITACION Y APLICACION
MODULO |
|
|
Proyecto GCP/GUA/007/NET Apoyo a la Dirección y Coordinación del Plan de Acción Forestal para Guatemala. Av. Las Américas, 20-12, zona 13 Ciudad de Guatemala GUATEMALA, C.A. TELS.: (+502)334-0546/47; FAX (+502) 331-8309 E-Mail: [email protected] El proyecto GCP/GUA/007/NET, se enmarca dentro del Programa de Cooperación Gubernamental de la Organización de las Naciones Unidas para la Agricultura y la Alimentación (FAO), con apoyo financiero del Gobierno del Reino de los Países Bajos. Los términos empleados y el material presentado en esta publicación no suponen, en modo alguno, una toma de posición de las entidades y/o instituciones involucradas en el proyecto respecto al estatuto Jurídico de ningún territorio o sus autoridades. Se permite la reproducción de cualquier articulo o fotografía, indicando la fuente y enviándonos una copia de la publicación. El presente manual está basado en el trabajo de vicky Wilde y Aria VainoMatilla, producido originalmente en inglés por el Programa Bosques, Arboles y Comunidades rurales (FTPP) de la FAO en 1995. El Manual fue traducido y adaptado a la realidad guatemalteca por Timoteo López e Ingrid Schreuel asesores del Proyecto Apoyo a la Dirección y Coordinación del Plan de Acción Forestal para Guatemala. |
Elaborado por Teresa Robles y Julio Morales, personal técnico del Proyecto Centro Maya, Petén.
El objetivo principal del Programa de Capacitación de capacitadores en Análisis de Genero y Desarrollo forestal para Guatemala es capacitar a un grupo de técnicos en análisis de género, para que éstos se conviertan en capacitadores en sus respectivas instituciones. Además, que los planificadores, forestales, coordinadores, técnicos y extensionistas aprendan a incorporar el análisis de género en su propio trabajo.
El análisis de género tiene como base un método de capacitación participativo, en el cual los participantes exploran y deciden por si mismos la importancia de asegurar la participación de hombres y mujeres en la planificación e implementación de actividades productivas, reproductivas y de gestión comunitaria. Por lo tanto, el análisis de genero es un elemento esencial alrededor del cual se puede desarrollar la planificación participativa de proyectos forestales y de desarrollo.
El presente estudio de caso responde a uno de los objetivos del Programa de Capacitación de Capacitadores en Análisis de Genero y Desarrolla Forestal para Guatemala, evento desarrollado por el Plan de Acción Forestal para Guatemala (PAFG), con la participación de diferentes proyectos e instituciones guatemaltecas.
El objetivo es el siguiente: Que el equipo participante por parte del Proyecto Centro Maya aplique el Diagnóstico Rural Participativo (DRP) con Análisis de Género en una comunidad del área de trabajo, para documentar los resultados en un estudio de caso.
Debido a que la participación de proyectos o instituciones trabajando en Petén fue muy limitada, se acordó que el Proyecto Centro Maya realizaría el DRP en una de las comunidades en las que actualmente trabaja, tomando en cuenta la participación de la representante de la Coordinadora Indígena y Campesina en Agroforestería Comunitaria Centroamericana (CICAFOC) que tiene sede en Petén.
Se le agradece a la Coordinación General del Proyecto Centro Maya y al Instituto Rodale, que opera conjuntamente con Centro Maya, por el apoyo brindado para poder ejecutar las diferentes actividades de campo de este programa de capacitación. También se agradece al equipo de Técnicos del Proyecto que trabaja en el área de las Cooperativas La Lucha y La Unión Maya Itzá por su apoyo en la ejecución del DRP. Por último, nuestro más sincero agradecimiento a los miembros de la Cooperativa La Lucha, hombres y mujeres, quienes con su participación activa nos permitieron poder afinar in situ metodologías para lograr la participación de hombres y mujeres en las diferentes actividades que el Proyecto Centro Maya programará con ellos.
Mapa 1

Centro Maya es un proyecto de desarrollo sostenible, basado en la investigación aplicada en los campos de manejo forestal, agricultura sostenible y producción animal. Los objetivos del Proyecto son:
a Contribuir a mejorar el nivel de vida de la población actual y futura del Departamento de Petén, manteniendo, y enriqueciendo la base de los recursos naturales de la región a través del desarrollo de sistemas de uso de la tierra que sean socioeconómicamente viables en el corto plazo y ecológicamente sostenibles en el largo plazo.
Figura

b Establecer, desarrollar y legalizar una institución autosostenible en el largo plazo, para apoyar el desarrollo de la agricultura sostenible en la región de Petén, Guatemala.
Centro Maya inició sus trabajos en el año de 1992; en 1993 contrató un equipo de profesionales y técnicos para desarrollar trabajos en 44 comunidades de siete municipios de Petén. Actualmente, Centro Maya trabaja en el área de Las Cruces y las Cooperativas de los Ríos La Pasión y Usumacinta, en los Municipios de La Libertad y Sayaxché, Petén. Las oficinas centrales se ubican en Santa Elena, área central.
Las estrategias del Proyecto son:
a Protección del bosque natural latifoliado que todavía se encuentra en la región, a través del establecimiento de un modelo de manejo forestal sostenible del bosque natural a nivel comunitario, que genere fuentes de ingresos a los habitantes de las comunidades, por medio del aprovechamiento de recursos maderables y no maderables.
Figura

b Estabilizar el sistema agrícola tradicional migratorio de tumba y quema, a través del uso de la tecnología del frijol abono y, donde sea factible, el asocio con la mecanización agrícola. Diversificar los sistemas de cultivos e impulsar los sistemas agroforestales por medio de la generación, validación y transferencia de tecnologías.
c Impulsar la agricultura orgánica o regenerativa, inicialmente con hortalizas de clima cálido.
d Impulsar la organización y el desarrollo de la mujer campesina y su familia por medio de la capacitación y establecimiento de pequeñas empresas.
e Estabilizar e intensificar el sistema de producción de ganadería bovina por medio de la introducción de gramíneas y leguminosas de mayor producción y adaptación a la región, así como capacitar en el establecimiento de sistemas silvopastoriles y otras tecnologías complementarias sostenibles. Apoyar la diversificación de especies pecuarias que tengan menor impacto en los recursos naturales.
En cuanto a los esfuerzos de incorporar el enfoque de género en las actividades del proyecto, Centro Maya tuvo la oportunidad de contar con la presencia de una antropóloga, voluntaria de Volunteer Overseas Cooperative Assistance (VOCA), quien implementó algunas de las herramientas del Diagnóstico Rural Participativo (DRP) en varias comunidades que apoya el Proyecto Centro Maya. Las herramientas únicamente se implementaron con grupos de mujeres y con la participación de las mujeres extensionistas del Proyecto.
Figura

Además, la voluntaria de VOCA realizó un taller de dos días de capacitación para el personal de Centro Maya y de otras instituciones de Petén, con enfoque en los conceptos básicos y la metodología práctica para integrar el análisis de género.
Los criterios de selección de la comunidad fueron en base al acceso y la presencia del Proyecto en la comunidad por más de 1 año, lo cual genera confianza entre los miembros de la misma; además, el nivel de participación demostrado en algunas actividades realizadas por el proyecto; también cuenta con la garantía de que el Proyecto Centro Maya puede darle seguimiento a las actividades identificadas por hombres y mujeres en el DRP en dicha comunidad.
Se seleccionó la Cooperativa La Lucha (ver Mapa 1), una de las Cooperativas localizadas en la ribera del Río Usumacinta, instancias organizadas en las que el Proyecto Centro Maya tiene presencia técnica y organizativa desde 1994. Desde esa fecha, Centro Maya ha trabajado en extensión y asistencia técnica en el sistema de producción agropecuaria. En la parte forestal, se desarrolló el inventario forestal, así como se organizó el comité forestal; está pendiente de completarse la elaboración del plan de manejo forestal. A su vez, se ha dado capacitación en manejo y aprovechamiento del chicle. En el componente de la mujer, se ha hecho trabajo de extensión en el uso de hornos de pan, estufas ahorradoras de leña y establecimiento de huertos familiares, trabajando con el grupo de mujeres que existía anteriormente a la llegada de la Técnica Extensionista.
Se cuenta con información de esta comunidad recopilada por Centro Maya a través de dos diagnósticos, uno de ellos efectuado como parte del Ejercicio Profesional Supervisado (EPS) de la carrera de Ingeniería Forestal y el otro de una Práctica Profesional Supervisada (PPS) de la carrera Técnico en Producción Agropecuaria, con un inventario forestal y un sondeo efectuado recientemente en febrero de 1995
En la Cooperativa La Lucha, la voluntaria de VOCA implementó algunas herramientas del DRP únicamente con el grupo de mujeres en 1995.1
1 Para la elaboración de este estudio de caso no se tuvo acceso a la información recopilada en esa actividad.
Figura

A NIVEL DE PROYECTO
Recopilar información desagregada por género, que permita evaluar y planificar las actividades que el Proyecto apoya y apoyará a la comunidad, con base a la disposición de recursos y a la realidad y expectativa de los miembros de la comunidad.
Figura

A NIVEL DE LA COMUNIDAD
Lograr, a través de la participación en reuniones comunitarias, una mejor organización, así como capacidad de gestión e implementación de actividades productivas que mejoren la situación actual, de hombres y mujeres.
Figura

A NIVEL DE PROGRAMA DE CAPACITACION
Validar algunas herramientas del DRP y la aplicación del Análisis de Genero, para incorporarlo a la planificación de proyectos de desarrollo forestal comunitario.
Figura

Debido a que los participantes en el Programa de Capacitación tienen diferentes áreas de trabajo, no se contó con suficiente tiempo para planificar la actividad. Sin embargo, el hecho de que uno de ellos (Técnico Forestal) trabaja en el área de influencia de la Cooperativa La Lucha, facilitó el contacto con los otros técnicos que participaron, así como con miembros de la propia comunidad.
Para planificar la ejecución del DRP se realizó una reunión de un día en las oficinas centrales de Centro Maya, en la cual estuvieron los dos participantes por parte del Proyecto Centro Maya y la participante de CICAFOC, además de dos Técnicos Extensionistas de Centro Maya, un hombre y una mujer. En dicha reunión se discutieron las herramientas del DRP, el listado de materiales y la planificación de las actividades.
Debido al trabajo previo del Proyecto Centro Maya en esta comunidad, se facilitó el contacto con los hombres y mujeres líderes. Para reforzar la presencia de más miembros, la Extensionista del Proyecto Centro Maya convocó a los grupos de jóvenes y mujeres para que ocuparán un espacio importante en la realización del DRP. Igualmente, el Técnico Forestal convocó al grupo de hombres, con el apoyo del Presidente de la Junta de Administración de la Cooperativa. Todos los grupos accedieron a que se efectuara el DRP en su comunidad, indicando fechas y horas de trabajo, siendo diferentes para el grupo de hombres y de mujeres. Además, se convocó a algunos miembros de la comunidad y se explicó ampliamente la actividad del DRP.
Como motivación para la comunidad, se les informó a los pobladores que durante las noches que duró el DRP se les pasarían películas mexicanas de entretenimiento. Esta actividad contribuyó a la motivación de los participantes en el DRP, incluso fue bien aceptada y la disfrutaron la mayor parte de la población de la Cooperativa La Lucha.
El DRP es una metodología que combina varias técnicas para obtener, ágilmente, información de los participantes en forma directa, donde los miembros de la comunidad participan como expertos sobre las condiciones de vida del área en estudio. A través de las herramientas del DRP se puede dar apoyo para que los miembros de la comunidad expresen sus problemas, intereses y prioridades y que pueda ser un instrumento que identifique la participación de hombres y mujeres del área rural en diferentes etapas del proceso de desarrollo y sobre todo, el control de los recursos.
Figura

En el caso de la Cooperativa La Lucha, las herramientas se escogieron de acuerdo a las necesidades detectadas, después de haberse revisado los diagnósticos de la Cooperativa y las experiencias de trabajo en el área. Debido a que se contaba con poco tiempo para efectuar el DRP, no se aplicaron aquellas herramientas que requieren más tiempo para su ejecución (por ejemplo el transecto).
Se decidió utilizar las mismas herramientas con los grupos de hombres y mujeres para tener una base de comparación en cuanto a las necesidades, problemas, perspectivas e intereses de ambos grupos. Las herramientas utilizadas fueron las siguientes:
Mapa actual
Para conocer cómo ve el grupo a su comunidad, distinguir las áreas de trabajo de hombres y mujeres, áreas de cultivo, áreas de bosque y otras áreas importantes como fuentes de trabajo e infraestructura existente.
Historia de la Comunidad
Para conocer la historia y los cambios importantes de la comunidad, la consideración de eventos importantes para hombres y mujeres, así como sus expectativas hacia el futuro.
Reloj de 24 horas
Para identificar las actividades específicas de hombres y mujeres durante un día. Una idea clave de esta herramienta es que se muestre que las mujeres tienen una carga de trabajo reproductivo bastante fuerte y que se considere la importancia de las actividades que realizan.
Calendario de actividades
Para conocer las actividades específicas de hombres y mujeres a lo largo de un año y así identificar la disponibilidad de tiempo de hombres y mujeres.
Mapa Futuro
Para facilitar que los hombres y mujeres identifiquen sus verdaderos problemas, necesidades y prioridades.
Recursos humanos
En la implementación del DRP, además de la participación de los miembros de la Cooperativa, trabajaron Julio Morales, Técnico Forestal; Teresa Robles, Representante del Instituto Rodale, y Gricelda Barrera de CICAFOC, como los participantes del Programa de Capacitación del PAFG. Además, participaron Gonzalo Ochaeta, Técnico Agropecuario, Elizabeth Urrutia, Educadora del Hogar y Luis Zepeda, Extensionista Agrícola, quienes trabajan en extensión en el área de La Lucha y la Unión Maya Itzá. En cuanto a los miembros de la comunidad que participaron, todos ellos pertenecen a cada uno de los grupos organizados, con los cuales el Proyecto Centro Maya trabaja: grupo de hombres, grupo de jóvenes hombres y grupo de mujeres.
Figura

Materiales necesarios para el DRP
20 pliegos de cartulina, 12 marcadores punta gruesa (3 azules, 3 rojos, 3 verdes, 3 negros), 16 pliegos de papel lustre (4 de cada color), 2 rollos de maskin tape, 4 tijeras pequeñas y 2 rotafolios, 10 pliegos de papel manila, cámara fotográfica y 2 rollos de fotos (24 exposiciones), 1 televisor y 1 video-casetera prestadas, 2 películas (en español, de preferencia mexicanas), 1 planta electrice, 2 refrigerios (1 para cada día), 2 rotafolios.
Figura

Recursos institucionales
Para la realización del DRP, el Proyecto Centro Maya proporciono todo el apoyo necesario. En la compra de los materiales, los gastos fueron cubiertos a troves de las dos fuentes de financiamiento que cubren al Proyecto (fondos MAGA/CATIE y fondos Rodale). La Coordinación General del Proyecto autorizó la participación de los Técnicos Extensionistas en la planificación e implementación del DRP, además del Técnico Forestal y la representante del Instituto Rodale.
Hubo apoyo de un vehículo del Centro Maya para desplazarse al área de la Cooperativa La Lucha y se usaron las instalaciones del Centro Maya en la Cooperativa Unión Maya Itzá para pernoctar. Para la preparación de los refrigerios, se contó con la valiosa ayuda de la Extensionista quien solicitó, apoyo de la Presidenta del Comité de Mujeres de la Cooperativa La Lucha.
En el caso de la participante de CICAFOC, dicha institución se encargó de financiar sus viáticos y transporte para la participación en el trabajo de campo.
Figura

5.1.1 Descripción física
Ubicación, extensión y limites
La Cooperativa La Lucha se ubica entre las coordenadas 90°51'03" longitud oeste y 16°58'00" latitud norte, en el Municipio de La Libertad, Petén. El área total de la Cooperativa se encuentra dentro de la zona núcleo del Parque Nacional Sierra del Lacandón (PNSL) de la Reserva de la Biósfera Maya (RBM). La extensión de la Cooperativa es de 86.96 caballerías, equivalentes a 36 Km² (3600 hectáreas).
La Cooperativa limita al norte con el PNSL y la finca matriz, al sur con el parcelamiento El Retalteco, al este con una finca privada y la finca matriz y al oeste con la Cooperativa Unión Maya Itzá (también conocida como La Quetzal).
Suelos y clima
De acuerdo a los análisis de suelos, la unidad de suelo de la Cooperativa pertenece a suelos cambisoles, que carecen de propiedades hidromórficas en 50 cm. superiores. La serie de suelos a los que pertenecen son Quinil principalmente, y en pequeñas proporciones de suelos Jolhá. El terreno se presenta plano con ligeras elevaciones.
En cuanto al uso actual de suelo, de acuerdo a uno de los diagnósticos de la Cooperativa (Ramos 1995), se tiene un 92.4% de bosque, 2.5% de cultivos anuales, 1.7% de guamiles y 2% de pastos.
La precipitación media anual en el área de las Cooperativas del Río Usumacinta es de 1738 mm, siendo de junio a octubre los meses de mayor precipitación; la humedad relativa media anual es de 81.5% y las temperaturas oscilan entre 19.69°C y 31.5°C.
5.1.2 Descripción de recursos naturales
Tenencia de la tierra
Según el Instituto Nacional de Transformación Agraria (INTA), el valor inicial de la parcela en que se encuentra la Cooperativa La Lucha era de Q.41,501.19, para cancelar en 10 años. Debido al abandono de la misma, por razones socio-políticas, en esa fecha se habla cancelado únicamente el 30% del valor total de la parcela. Recientemente, la Comisión de Tierras del INTA modificó la tabla de valores de las tierras en Petén y ahora la parcela tiene un valor de Q.420,000.00.
Por ser Cooperativa, el área total de 87 caballerías es considerada tierra comunal y todos los socios disponen de ella. Sin embargo, por acuerdo interno entre los mismos, cada uno de ellos tiene asignada una caballería para desarrollar sus actividades agrícolas y pecuarias, además de un área para el poblado y otros trabajos comunales.
Bosque
El avance de la frontera agrícola amenaza seriamente los recursos naturales del área. Esto se debe a las actividades agropecuarias no sostenibles, que son necesarias para suplir la seguridad alimentaria de los pobladores. Además, los pobladores, en general, tienen pocas perspectivas económicas de las actividades que podrían hacerse para aprovechar los productos del bosque.
Figura

Actualmente, la mayor parte del área de la Cooperativa La Lucha se encuentra dentro de la zona núcleo del PNSL, perteneciente a la Reserva de la Biósfera Maya. Debido a las políticas de administración de esta área protegida, planteadas por el Consejo Nacional de Areas Protegidas (CONAP), el manejo de los recursos forestales en la comunidad se ha dificultado. A pesar de esto, algunas compañías madereras locales han intervenido el bosque, legal o ilegalmente, sin dejar ningún beneficio en la comunidad.
Es importante indicar que el CONAP tiene la intención de redefinir la zona núcleo del PNSL, lo cual permitiría que la comunidad si pueda ejecutar un plan de manejo forestal.
Las características del bosque de la Cooperativa, de acuerdo al inventario forestal, son las siguientes: más de 110 especies de árboles, con una abundancia de 312 árboles por hectárea. El tipo de bosque dominante en toda la finca es el bosque alto intervenido (más de 25 m. de altura, extracción selectiva de cedro y caoba). Las especies más abundantes son: Guapaque (Diallium guianense), Luin Macho (Ampelocera sp.), Papaturro (Coccoloba sp.), Copal (Protium copal) y Ramón (Brosium spp.).
Los hombres y mujeres identifican algunos árboles del bosque, principalmente los destinados obviamente al uso energético, construcción de viviendas y carpintería: guano (Sabal sp.), especies para maderas como el caso de caoba, cedro, malerio colorado, santa maría, plumajillo, guacibán y otras). El uso se restringe básicamente a la construcción rústica, utilizando especies maderables energéticas, no así al uso medicinal y artesanal, entre otros.
La fauna silvestre juega un papel muy importante en la dieta alimenticia de los habitantes de la Cooperativa. Los animales más apetecidos en la Cooperativa La Lucha para alimentación humana son principalmente el tepezcuintle y luego el armadillo.
Fuentes de agua
El agua es extraída principalmente de pozos, y no recibe ningún tipo de tratamiento por la gran mayoría de los pobladores. Existe un pozo comunal y cinco pozos privados. En época de verano, al secarse los pozos, se abastecen del agua de un arroyo que está a 500 metros de distancia del poblado y que se usa para lavar ropa, bañarse y para el consumo del ganado caballar y vacuno.
5.1.3 Descripción de aspectos sociales
Antecedentes históricos
La Cooperativa La Lucha se creó por la necesidad de tierra para familias originarias del Departamento de San Marcos. Inicialmente solicitaron a la ex-empresa de Fomento y Desarrollo Económico de Petén (FYDEP), que se les adjudicaran parcelas en forma individual, pero les notificó que se repartía tierra sólo a grupos organizados; por esto, un grupo de familias provenientes del parcelamiento La Blanca y varios municipios del Departamento de San Marcos, se constituyeron en Cooperativa. Originalmente, fueron 82 familias las que iniciaron las gestiones para la adjudicación de la tierra.
La Cooperativa se fundó en 1975 con 82 socios (hombres y mujeres) y el 2 de julio de 1976 se les adjudicó la parcela titulada como la número 504. De 1980 a 1982, los socios se vieron forzados a desplazarse a su lugar de origen y unos cuantos se refugiaron en México, debido a la situación de represión socio-política de momento.
En 1989, un grupo de desplazados inicia las gestiones para reactivar la Cooperativa, pero por ser demasiado reducido se ven obligados a invitar a personas ajenas a formar parte de la organización. En 1990, la Cooperativa es reactivada con socios fundadores e incorporados. Por las limitaciones existentes en cuanto a condiciones de salud y la baja producción agropecuaria en el lugar, muchos de los socios optan por abandonar la Cooperativa, quedando un grupo relativamente pequeño.
Actualmente, la Cooperativa tiene un total de 51 socios, de los cuales 46 son hombres y 5 son mujeres.
Población
En la actualidad existen 32 familias de las cuales 29 son originarias de los municipios de San Marcos y 3 familias procedentes de la Aldea Palestina, La Libertad, Petén. Se trata, en su mayoría, de familias ladinas. Del total de los socios, 41% son socios fundadores y el 59% restante son socios incorporados. El total de la población es aproximadamente 150 habitantes, con un cálculo aproximado de 91 hombres y 59 mujeres.
Educación
Aproximadamente, el 46% de la población total es analfabeta. El porcentaje de mujeres que saben leer y escribir es mínimo. A través del programa de CONALFA hay un hombre y una mujer de la Cooperativa capacitados para alfabetizar a la población. Del total de la población, el 34% está en edad escolar (7-14 años), y de ese total, el 65% esta inscrito en la escuela del lugar.
Salud y nutrición
Las afecciones de salud más comunes son el paludismo, diarreas, parásitos y enfermedades respiratorias; además, por la mala alimentación se observan índices de desnutrición. Hacen uso de plantas medicinales propias de la región. Cuando alguien se enferma de gravedad, lo llevan a la sede de las Cooperativas Retalteco o Bethel para que lo atiendan Médicos Sin Fronteras (MSF); si el caso es de mayor gravedad, el enfermo es trasladado al hospital de Sayaxché o al de San Benito.
La alimentación se basa en el maíz, frijol, macal, yuca, hierba mora y carne proveniente de algunos animales silvestres o aves de corral. Con la existencia de ganado bovino, la comunidad tiene acceso a leche, quesos y crema. En dos arroyos y una pequeña laguneta que está dentro del polígono obtienen pescado, caracoles, jutes, etc. El azúcar, fideos, arroz, sal, café y otros abarrotes son comprados en el parcelamiento Retalteco y distribuidos por la tienda de la Cooperativa.
Religión
La religión predominante en la Cooperativa es la protestante (67% de la población total), la mayoría de la Iglesia Adventista del Séptimo Día. El restante 33% de la población pertenece a la iglesia católica.
5.1.4 Organización social y política
Comités y organizaciones existentes
La Cooperativa La Lucha esta organizada de la forma siguiente:
1. Consejo de Administración o Junta Directiva
2. Comisión de vigilancia
3. Comité agropecuario
4. Comité forestal
5. Comité de carretera
6. Comité de motor de energía eléctrica
7 Comité de nixtamal
8. Comité de educación
9. Grupo de mujeres (organizado inicialmente por FUNDATEP y con el que actualmente trabaja Centro Maya, 19 mujeres)
En cuanto a la participación de hombres y mujeres en dichas organizaciones y/o comités, se cuenta con la siguiente información: tanto la Junta Directiva como el Comité Agropecuario está conformado únicamente por hombres; el comité forestal lo forman 3 hombres. El grupo de jóvenes con el que trabaja Centro Maya está conformado por 8 hombres y 1 mujer.
La toma de decisiones de la Cooperativa la realizan por medio de la discusión y aprobación en asamblea general; usualmente en la asamblea no participan las mujeres, únicamente se encargan de la preparación de las comidas de los hombres que participan en ella. La Cooperativa está afiliada a la Unión de Cooperativas Brisas del Usumacinta (UCOBUS).
Organización y liderazgo
Debido a la presencia de socios fundadores y socios incorporados, existe cierto grado de división a nivel de la Cooperativa, ya que los socios fundadores dicen tener mayores derechos que los incorporados. Una de las medidas que han tomado para terminar con el problema es la de declarar socios a los hijos de los socios fundadores, en su mayoría hombres y solamente dos mujeres (el esposo se encarga de manejar los recursos naturales de dichas parcelas). Esta situación aumenta el número de socios dentro de la Cooperativa.
De acuerdo a las necesidades familiares, algunas parcelas de estos nuevos socios están completamente cubiertas de bosque.
Presencia institucional
Además de la presencia del Centro Maya con personal asignado para el área permanentemente, están las siguientes instituciones en el área: Malaria, Salud Pública, Médicos Sin Fronteras, CONAP, ACNUR y FUNDATEP.
Figura

Las actividades comunales se apoyan con el trabajo de la extensionista de FUNDATEP y la extensionista de Centro Maya, puesto que existe un apoyo directo al comité de mujeres, organizado al interior de la Cooperativa.
5.1.5 Infraestructura existente en el lugar
Vías de acceso
La Cooperativa La Lucha se localiza aproximadamente a 150 kilómetros al oeste de Ciudad Flores. La única vía de acceso es la terrestre, pasando por el parcelamiento Retalteco. Del área central de Petén hacia la Cooperativa Bethel (ubicada en los márgenes del río Usumacinta) hay una carretera balastrada y antes de llegar al casco de Bethel se desprende un ramal hacia el parcelamiento Retalteco.
Hasta hace poco, de Retalteco a La Lucha se llegaba por un trocopás, el cual era accesible con cualquier tipo de vehículo únicamente durante el verano; pudiendo entrar solamente a pie durante el invierno. Sin embargo, en el mes de abril/96, se inauguró el camino que va de Retalteco a la Cooperativa Unión Maya Itzá, el cual atraviesa la Cooperativa La Lucha. Este tramo carretero se dio gracias a las gestiones hechas por ambas comunidades, en especial por la Unión Maya Itzá.
Otra forma de acceso es por vía fluvial, partiendo de la cabecera municipal de Sayaxché por el Río Pasión y luego hacia el Río Usumacinta, llegando a la Cooperativa Bethel y de allí al parcelamiento Retalteco por tierra.
Patrón de asentamiento y vivienda
El poblado se encuentra concentrado. Las construcciones de las viviendas están hechas básicamente con materiales que extraen de la región (madera, guano y manaca). En las cocinas utilizan fogones tradicionales que funcionan con leña.
FUNDATEP tiene un proyecto pro-mejoramiento de la vivienda, en el que se dona a los socios lámina para el techo y cemento para el piso y ellos ponen el resto del material y la mano de obra.
En cuanto a letrinización, existen aproximadamente 12 letrinas secas construidas por FUNDATEP, siendo del tipo abonaras. Respecto a la basura, un alto porcentaje de la población quema los desechos acumulados.
Servicios
Para prestar el servicio de energía eléctrica, la Cooperativa cuenta con una planta térmica que funciona con derivados de petróleo y que abastece la vivienda de todos los socios en el horario de 6 a.m. a 9 p.m.
Para el servicio de salud, se construyó una unidad mínima de salud que deberla ser atendida por un cooperativista con previa capacitación. La unidad mínima fue construida con el apoyo de FUNDATEP y MSP y la capacitación fue proporcionada por el Ministerio de Salud Pública. La unidad mínima es visitada esporádicamente por un médico.
Salón comunal
Este es un rancho de guano, forrado de madera aserrada, el cual está destinado para realizar reuniones y sirve, a la vez, para el funcionamiento de escuela.
Tienda y molino de nixtamal
La comunidad cuenta con una tienda ubicada en el salón comunal y con un molino de nixtamal. Tanto la tienda como el salón comunal son propiedad de 9 familias y ambas instancias son administradas entre hombres y mujeres, ya sea juntos o separados, de acuerdo a la distribución de responsabilidades decididas internamente.
5.1.6 Actividades productivas
Actividades agrícolas
Los cultivos agrícolas predominantes son maíz, frijol y pepitoria. Alrededor de 18 familias se dedican a la agricultura, existiendo diferencias en cuanto al número de manzanas de maíz que cultivan, de 3 a 10 manzanas, principalmente en siembra de primera, y de 1 a 3 manzanas en siembra de segunda. El rendimiento promedio es de 30 quintales/manzana. Los hombres y mujeres están conscientes de los beneficios del frijol abono que actúa como fijador de nitrógeno, acondicionador del suelo y como un abono verde, por lo cual, en 1995, algunas personas iniciaron el uso de éste con el apoyo técnico de Centro Maya.
Figura

En cuanto al cultivo del frijol, siembran desde 1 cuerda hasta 1 manzana. La época de siembra ideal es en segunda, ya que la primera presenta ataques severos de hielo (M. hilachosa). El rendimiento promedio es de 15 qq/mz.
La pepitoria es un cultivo que se siembra asociado con el maíz y representa algunos ingresos económicos alternos para el agricultor. La yuca, plátano, güisquil y caña de azúcar se siembran en menor escala por estar orientados al consumo familiar. En 1995, con apoyo de Centro Maya, se hicieron algunas pruebas de adaptabilidad de una semilla mejorada de manía.
En 1995, algunas familias, en algunos casos sólo las mujeres y en otros toda la familia, iniciaron el cultivo de hortalizas en huertos familiares (rábano, zanahoria, mostaza, remolacha, tomate) con el apoyo técnico de las extensionistas de Centro Maya Según se constató, dichas familias han vendido los excedentes de los productos en la misma comunidad y al parecer el consumo de éstos muestra un mejoramiento en la dieta. Por ser una comunidad relativamente nueva, en los solares de las casas no se encuentra ningún árbol frutal que podría contribuir a la diversificación de la alimentación.
Actividades pecuarias
Existe un grupo de 14 asociados que combinan la agricultura y que se dedican a la ganadería bovina (140 animales en total) a través de créditos concedidos por CEAR. Ocho asociados utilizan el sistema de división de potreros de 2-3 manzanas y cuentan con corral de manejo. Cuatro hombres ordeñan y sus esposas producen queso, que es comercializado en la propia comunidad y algún excedente va al Retalteco.
Figura

También tienen algunos caballos en la comunidad que usan como un medio de transporte. Tienen crianza de especies menores como gallinas, chompipes y patos; la crianza de éstos está generalmente a cargo de las mujeres. La crianza de cerdos no está generalizada, la realizan pocas familias ya que la mayoría de los habitantes pertenecen a grupos religiosos que les prohiben el consumo de éstos.
Actividades forestales
Del área total del polígono de la Cooperativa La Lucha (86.96 caballerías), el 92.4% aún mantiene la cubierta boscosa original. Con el apoyo de Centro Maya se realizó un inventario forestal del área boscosa y, de obtenerse una modificación de las zona núcleo del PNSL, propuesta por CONAP y aprobada por el Congreso de la República, se espera realizar un plan de manejo forestal comunitario. Las maderas de primera fueron extraídas al inicio de la década de los 90's por un aserradero de la región (Aserradero del Norte) y posteriormente por motosierristas individuales que aprovecharon los trocopaces hechos por el aserradero.
En cuanto a la extracción de productos no maderables, cuenta principalmente con el xate y el chicle. Se extrae xate de junio a septiembre, cuando las actividades agrícolas disminuyen y se vende en el Parcelamiento Retalteco. Además de los miembros de la comunidad, llegan personas de comunidades vecinas e incluso del área central, para cortar el xate dentro del polígono que está bajo dominio de la Cooperativa.
En 1995, cuatro hombres se dedicaron a la extracción del chicle, obteniendo buenos ingresos de esta actividad; se espera que en este año de 1996, más personas se integrarán a la misma.
Aunque todas estas actividades son principalmente realizadas por los hombres, algunas mujeres de la Cooperativa ayudan en las tareas agrícolas, principalmente durante las épocas de siembra y cosecha.
Figura

5.1.7 Actividades reproductivas
Las mujeres se dedican, la mayor parte del tiempo, exclusivamente a las tareas del hogar, entre las que cuentan el cuidado de los hijos, preparación de alimentos, lavado de ropa, limpieza de la casa, acarreo de agua y leña (en esto último los hombres también colaboran). En cuanto a la compra de provisiones, si se hace fuera de la Cooperativa van juntos el hambre y la mujer o sólo el hombre ya que necesitan desplazarse una distancia larga entre la sede de la Cooperativa.
Figura

Algunas mujeres han participado en diversos eventos de capacitación sobre higiene y salud (importancia de hervir agua, enterrar las heces fecales y los desechos sólidos de la casa). Además, han participado en aspectos de panadería y pastelería, preparación de alimentos así como producción de hortalizas en huertos familiares.
5.1.8 Actividades de gestión comunitaria
Por ser una Cooperativa, la Junta o Consejo de Administración es el ente más importante en la toma de decisiones con respecto al uso de su tierra (cuentan con un régimen de propiedad privada y comunal). La Cooperativa realiza una asamblea anual ordinaria durante el mes de marzo, en la cual participan los hombres; el rol de las mujeres se limita a preparar los alimentos para quienes participen en dicha reunión.
Figura

Existe un comité de mujeres que lo integran aproximadamente 20 miembros, el cual fue organizado por una ONG (FUNDATEP), mismo grupo en el que trabaja la Extensionista de Centro Maya, incluyendo a otras mujeres. También Centro Maya ha organizado un grupo de jóvenes.
5.1.9 Aspectos económicos
Los ingresos familiares están condicionados fundamentalmente a la producción agrícola. Otras fuentes de ingresos son la recolección de xate y el aserrío de madera, que es practicado por los hombres que tienen motosierra. Internamente se vende la fuerza de trabajo en actividades de descombro, recolección de pepita y siembra de pasto en potreros de ganado vacuno.
Figura

No existe dentro de la Cooperativa ninguna industria familiar relevante. Solamente existe una fábrica de queso, utilizando la producción lechera del ganado de la familia. Recientemente, unas pocas familias, hombres y mujeres, han empezado a producir y vender pan en la comunidad.
Existe una corriente de emigración consistente, a lo largo del año, de miembros de la comunidad hacia el área de San Marcos, relacionada con la venta de fuerza de trabajo y la visita de familiares en esa zona del país. Generalmente, los hombres viajan solos debido a que los costos de viaje resultan bastante altos para llevar a la familia completa, aunque eventualmente lo hacen. Las mujeres nunca viajan sin la compañía de los hombres.
Pueblos y mercados cercanos
Los poblados más cercanos son la Unión Maya Itzá, Retalteco, Bethel y La Técnica. Debido a la cercanía con el Río Usumacinta, el mercado de México es importante para los miembros de La Lucha.
Por medio de los técnicos del Proyecto Centro Maya, los grupos de la Cooperativa convocaron a horas determinadas para realizar la actividad, hombres y mujeres por separado.
Todo el evento, en sus diferentes etapas, se realizó en el salón comunal de la Cooperativa. La realización de las herramientas del DRP se dividió en las siguientes etapas:
a Presentación de los facilitadores: Cada uno de los facilitadores dijo su nombre y explicó sobre su trabajo dentro de la institución, así como el área geográfica de trabajo.
b Presentación de los participantes: Cada uno dijo su nombre y aunque algunos(as) se mostraron muy tímidos en participar, lo hicieron.
c Realización de una dinámica de grupo, la vaca/el toro, para romper el hielo y entrar en confianza (guiada por la Extensionista, en el caso de las mujeres y por el Técnico Forestal, en el caso de los hombres; con la participación de los otros facilitadores).
d Presentación de los objetivos del DRP: A pesar de no haber tenido una primera reunión con todos los participantes, hombres y mujeres juntos, se procedió a explicar a cada grupo los objetivos del DRP.
e Herramientas del DRP: Se decidió trabajar 4 herramientas del DRP con los grupos separados de hombres y de mujeres. El trabajo fue con mujeres adultas, quienes estaban acompañadas de sus niños (15-16 personas, número promedio). En el grupo de hombres se trabajó con jóvenes (16-17 personas) y adultos (10 personas) debido al interés mostrado por ambos grupos. El mapa de la comunidad fue la única herramienta que se trabajó por separado con el grupo de hombres, de acuerdo a la edad. Como hablan varios facilitadores y facilitadoras, cada uno tuvo la oportunidad de explicar y ejecutar cada una de las herramientas.
En los dos primeros días de la actividad se sirvió una refacción a cada grupo de trabajo y fueron presentadas dos películas mexicanas (una cada noche).
5.2.1 Grupo de mujeres
La actividad con el grupo de mujeres se dividió en dos etapas, lo cual no fue previsto por los facilitadores pero si necesaria al efectuarse el DRP, ya que tomó más tiempo del planificado. En la primera etapa participaron como facilitadores dos mujeres y un hombre de Centro Maya y una mujer de CICAFOC. Del grupo de mujeres que trabajan con la Extensionista de Centro Maya, 19 en total, asistieron 15-16 señoras.
Figura

Mapa actual (1 hora y 30 min)
La tesorera del comité de mujeres, quien a su vez es la educadora de CONALFA, tomó el rol de ser la líder en la realización del mapa junto a otras dos señoras. Al final de esta herramienta, casi todas las señoras participaron. Se les mencionó que había papel lustre disponible por si querían cortar las casas, los árboles y otras cosas. Ellas hicieron recortes y pegaron, lo cual influyó en que se alargara el tiempo para realizar esta herramienta.
Se notó cierta inseguridad por parte de las mujeres en lo que colocaban en el mapa. Hubo, además, cierta distracción ya que los hombres empezaron a llegar para jugar fútbol, incluso para ver que hacían las mujeres. Esto último influyó adversamente porque provocó más inseguridad en algunas de las mujeres participantes.
Historia de la comunidad (1 hora)
La historia de la comunidad fue difícil de finalizar, ya que las señoras ya estaban muy cansadas y no se podían concentrar, además de que fue interrumpido por la refacción, la cual fue necesaria pasar. Al ser consultadas desde cuándo están en La Lucha, todas las mujeres participantes respondieron que sólo hace 6 años. Tres de ellas, en el grupo, son las más antiguas y arribaron a La Lucha en 1990. Esa misma situación de haber llegado tan recientemente no les permite tener un horizonte de tiempo más largo como para tener expectativas para la comunidad más allá del año 1999. Incluso, querían definir su situación futura solamente en 1 año plazo. Al terminar esta herramienta se decidió finalizar con el trabajo y convocar a las mujeres para otra reunión, la cual fue programada para la mañana del día siguiente.
Reloj de 24 horas (1 hora y 15 min)
Al día siguiente se empezó con la actividad del reloj, en la cual las señoras tomaron mucho interés e incluso sugirieron la realización de un segundo reloj, que reflejara el trabajo de 2-3 señoras que apoyan a sus esposos en los trabajos agrícolas. En esta actividad únicamente trabajaron las facilitadoras mujeres y fueron ellas las que lo fueron llenando. La actividad tomó como 1 hora y 15 minutos. Todas las señoras daban su opinión y participaban abiertamente. Estaban más tranquilas y cómodas con la actividad.
Además, hicieron comentarios relacionados cuán lleno se encontraba su reloj de 24 horas, sin contar con tiempo de descanso, con excepción del tiempo que duermen
Muchas de ellas todavía están criando niños pequeños, por lo que se levantan de 2 a 4 veces por la noche Se les preguntó como era que planificaban su tiempo para actividades con las instituciones u ONG's y ellas dijeron que dejaban de hacer sus actividades diarias y después reponían ese tiempo.
Calendario de actividades (1 hora)
Por último, se realizo el calendario de actividades el cual desglosó algunas actividades productivas que hacen conjuntamente con los hombres, pero no tenían una noción precisa del (los) mes(es) en que se realizan. Una buena parte del tiempo de esta herramienta se ocupó en la parte agrícola y otras actividades productivas; entonces ya no se pudo dar más atención a otras actividades propias de las mujeres.2 A esta herramienta le faltó más tiempo y motivación por parte de las facilitadoras para efectuarla También fue de nuevo el factor tiempo el que apresuró la actividad sin realmente darle un buen fin. Al terminar con esta herramienta se les informó a las mujeres que se iba a planificar otra reunión para presentar los resultados a los hombres
2 Por ejemplo el día de la plenaria dos mujeres informaron que se hablan olvidado de mencionar la actividad de huertos familiares los que piensan sembrar en ¡unjo y cosechar dos meses mas larde.
Mapa Futuro (1 hora 30 min)
Para facilitar que los hombres y mujeres identifiquen sus verdaderos problemas, necesidades y prioridades. Las mujeres hicieron un solo mapa y enfocaron el caserío y la infraestructura básica que les hace falta.
5.2.2 Grupo de hombres
Para la realización de las herramientas con el grupo de hombres se dividió el trabajo en tres etapas de acuerdo a las disponibilidades de tiempo. En la primera etapa participaron como facilitadores dos mujeres y un hombre de Centro Maya y una mujer de CICAFOC En las otras dos etapas, los facilitadores fueron dos hombres de Centro Maya. El número de los participantes fue variable en los diferentes días de actividad, aproximadamente de 15 a 25 hombres
Figura

Mapa actual (2 horas)
Luego de explicar el propósito de la actividad, se procedió a conformar dos grupos de trabajo, uno de jóvenes (13-23 anos) y el otro de adultos (28 y más). Por la cantidad de tiempo invertido, solamente esta herramienta se pudo finalizar ese día de trabajo
Debido a que esta herramienta tomó bastante tiempo, especialmente para el grupo de adultos, y que al final de la actividad del día se presentarla una película, el número de personas presentes en el salón comunal aumentó considerablemente3, lo que no permitió la concentración de los dos grupos para finalizar completamente con la herramienta y, además, estaban muy ansiosos y pendientes de la presentación de la película
3 De esta manera observamos que el uso de películas fue un incentivo para lograr una mayor participación.
Historia de la comunidad (1 hora y 40 min)
Se explicó que era muy importante que la comunidad contara con material donde se presentara la historia de la misma de acuerdo a las experiencias de las diferentes personas, jóvenes y adultos, socios fundadores e incorporados para una mejor comprensión de la realidad actual de la Cooperativa.
Se dejó abierta la participación de cualquier persona para que fuera el encargado de escribir los diferentes relatos y experiencias de los asistentes; un voluntario tomó la iniciativa durante toda la herramienta. En un inicio, habla dificultad para poder sintetizar la información brindada, lo que requirió intervenir para ir colocando las palabras o frases claves del relator Conforme se avanzó en la transcripción de la historia, la información se definió de mejor manera, ya que se explicó que la participación de todos era importante y que lo que se estaba escribiendo quedarla en la comunidad.
Al inicio de esta herramienta, el numero de participantes fue bastante bajo en comparación al día anterior (13 personas, en su mayoría jóvenes) lo que no permitió completaren mejor forma las experiencias de los primeros años de formación y establecimiento de la comunidad en el Petén. Posteriormente, se integraron otras 8 personas para finalizar la actividad de este día. Solamente se pudo completar esta herramienta.
Reloj de 24 horas (1 hora)
Al igual que en la herramienta anterior, se dejó abierta la participación de cualquiera de los asistentes para anotar las actividades diarias de los hombres. El grupo de hombres decidió que sería el Presidente de la Junta de Administración de la Cooperativa el encargado de anotar en la cartulina. Se les pidió a los asistentes que recordaran cuales habitan sido sus actividades diarias normales una semana antes de la realización del DRP El número de participantes en la realización de esta herramienta fue de aproximadamente 23 personas.
Calendario de actividades (50 min)
Luego de finalizado el reloj, se procedió a realizar el calendario de actividades Para ello, se pidió al grupo que dijeran y explicaran brevemente sus actividades. El facilitador (Técnico Forestal) fue anotando de manera sintetizada sobre papel periódico, a la vista de todos, las actividades descritas por cada uno (como lluvia de ideas) sin despreciar o discriminar la idea o explicación de alguien. Al agotar las actividades descritas y notar que habla consenso se ordenaron las actividades de acuerdo a producción (agricultura, ganadería, otros) Al momento de ir anotando las actividades en los meses del año (ellos decidieron empezar en enero), se fue completando la información; por ejemplo, ordenada de acuerdo a la rotación de cultivos.
Este ordenamiento de la información por cultivos específicos llevó bastante tiempo, lo que impidió distribuir en los meses del año otras actividades mencionadas anteriormente Esto fue debido a la hora (9:20 p.m.) y como estaba pendiente la presentación de una película empezaron a llegar otras personas que no participaban en esta actividad (mujeres y niños principalmente), lo que distrajo la atención de los hombres. Al momento de preguntar sobre la organización de una reunión plenaria para presentar los resultados al grupo de mujeres, se manifestó poco interés. Sin embargo, se acordó realizarla el domingo 5 de mayo
Mapa Futuro
Para facilitar que los hombres y mujeres identiquen sus verdaderos problemas, necesidades y prioridades. Los hombres decidieron realizar dos mapas, uno del área urbana y otro de los huertos.
Mapa actual
Se distinguieron las diferencias entre hombres y mujeres en los mapas, las cuales complementaron la información. Los hombres describieron mejor la finca, al extremo de localizar el número de parcelas, acceso al agua y otras características de la comunidad muy específicas. Ellos pusieron más atención a las áreas de descombro, el bosque, los potreros y los trabajaderos, mientras las mujeres hicieron muy bien la descripción del caserío, por ser su área de trabajo, a lo cual los hombres dijeron "que mejor que ellas para describir el poblado". Ellas dijeron que no conocen nada de parcelas ni sus divisiones.
El mapa de los jóvenes mostró más informalidad respecto a la ubicación y numeración de las parcelas. Destacaron actividades productivas como xate y chicle, y las limitantes en el área de Reserva de la Biosfera Maya, así como el estado de los caminos que van a la Cooperativa Unión Maya Itzá y otras rutas
Al presentar los mapas, tanto las mujeres como los hombres pidieron disculpas por si los mapas mostraban errores, y que si tenían correcciones, las hicieran. En este caso, los facilitadores comentaron no únicamente a nivel del mapa sino que la importancia en el DRP es el hecho de reflejar las propias percepciones de la comunidad por parte de cada uno de los grupos en cuanto a la historia de la comunidad, para obtener así una visión real de la comunidad a la problemática y alternativas de solución
Historia de la comunidad
El horizonte de tiempo de los hombres es más largo ya que algunos de ellos si estuvieron desde el principio de la Cooperativa en 1978. Además, en 1990, fue también rol de los hombres el llegar antes a preparar y habilitar la vivienda y el poblado para regresar con sus familias. A lo largo de todo el diagrama, los hombres aportaron más ideas en relación al desarrollo de su comunidad
No cabe duda que hoy día, la recién inaugurada carretera que pasa por La Cooperativa La Lucha es de mucha importancia para la comunidad. Al comparar 1996, las mujeres describen más aspectos relacionados con la comunidad en la casa en relación al año 2000 Todas las expectativas de las mujeres continúan centradas hacia el desarrollo de la infraestructura y servicios comunitarios, donde destacan el agua, puesto de salud, educación, mercado y luz eléctrica En cambio, los hombres centran sus expectativas hacia la tierra, una empresa agrícola, mejor tecnología, trabajo en el bosque, y a la vez, mencionan el desarrollo de infraestructura y servicios de la comunidad.
Reloj de 24 horas
Las mujeres, al elaborar y presentar los relojes en la plenaria, fueron muy claras en explicar que prácticamente todas las horas del día las invierten únicamente en trabajar y no tienen ningún momento para descansar, aparte de las horas de sueño Mientras que el reloj de los hombres muestra más horas de dormir, así como tiempo para descansar, jugar fútbol y platicar con los otros socios. A manera de broma y risa se fueron discutiendo las diferencias de los relojes; sin embargo, al final, los hombres si reconocieron y reflexionaron sobre el trabajo de las mujeres.
Calendario de actividades
Desafortunadamente, esta herramienta no fue presentada en la plenaria y no se pudieron discutir las diferencias en los datos proporcionados por cada uno de los grupos.
Como observación por parte de los facilitadores, si se comparan los dos calendarios, estos no coinciden en los criterios de quiénes participan en cuanto a las actividades agropecuarias Las mujeres se colocaron junto con los hombres en estas actividades, mientras que los hombres no lo hicieron con las mujeres
Mapa Futuro
Los hombres decidieron hacer dos mapas en los cuales mencionan en detalle las especies hortícolas y los árboles frutales que quieren tener en el futuro Además mencionan cuanto terreno quieren tener bajo potrero, trabajadora y montaña y no detallaron las actividades a realizar en el bosque Las mujeres se dedican en el mapa futuro solamente al área urbana y a la infraestructura necesaria tales como: energía eléctrica, salud, agua potable y otros En cuanto a las actividades productivas, las mujeres dibujaron un área para trabajos "industriales", significando artesanías. Tanto para los hombres como para las mujeres es importante el mejoramiento del transporte y el acceso a mercados
La plenaria
Figura

Una semana después del inicio del DRP, la comunidad decidió tener una plenaria el domingo después de un partido de fútbol La actividad duró de 5:30 a.m. a 8:15 p.m. Los facilitadores de esta actividad fueron los dos técnicos del Proyecto Centro Maya en el programa de capacitación (una mujer y un hombre) y parcialmente el Técnico Extensionista asignado a la Cooperativa La Lucha. El nivel de asistencia fue bastante bueno y se contó con el apoyo por parte del presidente de la Junta de Administración de la Cooperativa. Esta reunión se dividió en las siguientes etapas:
a Palabras del Presidente de la Cooperativa, quien mencionó la importancia de trabajar hombres y mujeres juntos y pidió a los participantes su colaboración para llevar a cabo esta reunión con éxito.
b Presentación del objetivo de la reunión por parte de los facilitadores hombres, en donde se mencionó que en la presentación de las herramientas efectuadas por separado, hombres y mujeres, se iba a conocer cómo difieren y/o complementan las perspectivas, necesidades y conocimientos de los hombres y mujeres de su comunidad.
c Posteriormente, con una explicación corta del facilitados, se dividieron los grupos de hombres y mujeres para prepararse, por un espacio de 30 minutos, para la presentación de los resultados El facilitador colaboró con los hombres y la facilitadora con las mujeres Ambos grupos escogieron diferentes personas para presentar cada una de las herramientas.
d Durante un espacio de 2 horas, se fueron presentando las herramientas en el siguiente orden: primero las mujeres, segundo los hombres y luego preguntas y comentarios por parte de los miembros de la comunidad y los facilitadores Debido a la hora, se decidió finalizar la plenaria sin presentar la última herramienta, el calendario de actividades, debido a que los participantes no hablan cenado y estaban cansados.
e Desde el punto de vista de los facilitadores, en la plenaria hubo bastante participación, tanto de hombres como mujeres. Fue interesante observar un alto grado de respeto a las diferentes presentaciones, tanto de parte de los hombres hacia las mujeres y viceversa, lo cual probablemente influyó en que no se hicieron muchas preguntas. Además, en algunos de los temas presentados se dieron muchas bromas por parte de ambos grupos, lo cual dio lugar a un ambiente de cordialidad entre los participantes.
f Los facilitadores finalizaron la plenaria mencionando la importancia de la participación conjunta de hombres y mujeres en la toma de decisiones de la comunidad, para luego lograr un mejor beneficio de cualquier proyecto y/o actividad. Se resaltó, sobre todo, la necesidad de involucrar mas a las mujeres en la planificación y en las reuniones de los diferentes comités Luego se mencionó brevemente el seguimiento que Centro Maya espera darle a la actividad del DRP y se les agradeció por la presencia y colaboración de todas y todos los participantes
Análisis de la metodología
La experiencia que presenta la comunidad en reuniones grupales, debido a su experiencia y funcionamiento huyó el Sistema Cooperativo, facilitó desde un inicio la integración de los grupos para la realización del DRP. Resalta también la presentación del grupo de trabajo como Centro Maya, debido a la credibilidad que el Proyecto tiene en la comunidad. En el caso de las mujeres, el DRP realizado el año pasado por la voluntaria de VOCA facilitó la comprensión de la metodología y los objetivos de la actividad.
Los facilitadores reconocen que hizo mucha falta la realización de una reunión inicial con todos los participantes, hombres y mujeres, antes de empezar a implementar las herramientas con los grupos por separado. Además, se detectó la necesidad de explicar detalladamente las herramientas a los miembros de la comunidad para que la participación fuera más efectiva. Se debió haber promocionado el evento con anticipación a través de grupos focales y visitas domiciliarias
También se reconoce que a los facilitadores les hizo falta comprender mejor cómo implementar las herramientas. Por lo tanto, si a veces hizo falta recabar cierto tipo de información, ello no fue por falta de participación de la comunidad sino por falta de habilidad de alguno de los facilitadores
Para haber logrado un análisis de género completo de la Cooperativa La Lucha, era importante haber incluido otra herramienta más del DRP, el diagrama institucional Esto se detectó cuando se hizo el trabajo de llenar las matrices del Sistema de Análisis de Género, ya que hubo cierta información que hizo falta, la cual hubiera sido detectada a través de dicha herramienta
La plenaria fue clave para la validación del trabajo de hombres y mujeres. Para los hombres que participaron en el diagnóstico, especialmente el Presidente de la Junta de Administración, fue la plenaria la que les vino a aclarar la importancia del trabajo que habían realizado. De allí que él demostrara con sus palabras el apoyo a la actividad.
Debido a que la comunidad tiene muy pocas actividades de recreación, el hecho de haber presentado dos películas fue un incentivo para todos los miembros de la misma, incluyendo adultos, jóvenes y niños.
Los técnicos del Proyecto Centro Maya trataron de ser muy claros desde un inicio para no crear expectativas más allá de las actividades que realiza el proyecto así como de la realización del DRP en la Cooperativa La Lucha. Se les mencionó a los participantes que el objetivo primordial era que ellos reconocieran y reflexionaran las diferencias y similitudes entre hombres y mujeres, y que al reconocer esos aspectos puede ayudarles a entender mejor a su propia comunidad y a buscar soluciones conjuntamente para su desarrollo. Se resaltó que bajo este enfoque se puede mejorar y fortalecer la capacidad de gestión comunitaria.
Centro Maya continuará apoyando las actividades agrícolas y de recursos naturales junto con la comunidad. En forma integral, se dará apoyo a través de los resultados de este diagnóstico al desarrollo sostenible de la comunidad, facilitando así, las actividades que no corresponden a la misión del Proyecto Centro Maya.
Figura

Fue clave incluir a otros técnicos de Centro Maya en esta actividad, ya que ellos mismos reconocieron cuán importante y necesario es que se capacite a todos y cada uno de los técnicos en el enfoque de género dentro de las actividades del Proyecto.
El Proyecto Centro Maya ve de suma importancia la aplicación del enfoque de género debido a que el manejo y uso de los recursos naturales es una decisión compartida entre hombres y mujeres. Por ejemplo, la mujer determina la especie de leña preferible para cocinar; sin embargo, en la recolección participa la familia entera, lo que da un carácter integral sobre el uso del recurso.
Uno de los aspectos más importantes para lograr el desarrollo sostenible de una comunidad es diversificar su actividad agrícola. En ese sentido, muchas de las actividades productivas alternas como pueden ser artesanías, panaderías, tiendas, textiles o pequeñas microempresas es más fácil impulsarlas con organizaciones de mujeres, siempre y cuando esté de acuerdo con las necesidades y tome en cuenta la realidad genérica de la comunidad.
MAPA ACTUAL
Cooperativa La Lucha, Parque Nac. Sierra del Lacandón, Petén
Elaborado por Hombres Jóvenes
Figura

Cooperativa La Lucha, Parque Nac. Sierra del Lacandón, Petén
Elaborado por Hombres
Figura

Cooperativa La Lucho, Parque Nac. Sierra del Lacandón, Petén
Elaborado por Mujeres
Figura

MAPA FUTURO
Cooperativa La Lucha, Parque Nac. Sierra del Lacandón, Petén
Elaborado por Hombres
Figura

Cooperativa La Lucha, Parque Nac. Sierra del Lacandón, Petén
Elaborado por Hombres Jóvenes
Figura

Cooperativa La Lucha, Parque Nac. Sierra del Lacandón, Petén
HUERTO, Elaborado por Hombres
Figura

Cooperativa La Lucha, Parque Nac. Sierra del Lacandón, Petén
Elaborado por Mujeres
Figura

HISTORIA
Cooperativa La Lucha, Parque Nac. Sierra del Lacandón, Petén
Elaborado por Hombres
1,978: Llegada |
1,980 -1,982 |
1,990 |
1,991 -1,992 |
1,996 |
2,000 |
- Mucho bosque |
- Violencia y abandono 1,988 |
- Robo de Madera (Aserradero del Norte), millón y medio de pies |
- Poca población |
- Mejoramiento de vivienda |
- Que la Cooperativa sea una empresa bien organizada |
- Mucha madera fina |
- Reactivación 1,990 |
- Bosque destrozado |
- Sin centros recreativos |
- Alumbrado eléctrico |
- Mejor tecnología agrícola |
- Acceso a crédito |
- Retorno con nuevos asociados sin atención |
- Invasiones |
- Incomunicación |
-12 letrinas last. |
- Esté cancelada la tierra |
- Buena idea de trabajo |
- Farmacia |
- Inicio agricultura |
- Apoyo de instituciones: FUNDATEP, ACNUR/CECI, CENTRO MAYA, CEAR-IICA |
- Energía electrice por INDE | |
- Huracán y pérdida de cultivos |
- Créditos por CEAR |
- Carretera |
- Que vivamos en paz | ||
- Construcción de viviendas sin apoyo |
- Ganadería en aumento |
- Salud | |||
- Guerra, intranquilidad |
- Obtención productos del bosque |
- Un camino para la Cooperativa | |||
- Muerte de Evelio |
- Radio comunicación | ||||
- Escaséz de alimentación |
- Mejores pastos |
- Un mercado | |||
- Aprovechamiento de Xate. |
- Mejor alimentación |
- Trabajar el bosque para evitar la extinsión ecológica | |||
- Mucho paludismo y colmoyote |
- Inventario forestal |
- Brecha a trabajaderos | |||
- Negociación pago de tierra |
- Tienda de la Cooperativa | ||||
- Aprovechamiento del chicle (Carlos Chí) |
- Asfalto | ||||
- Mejoramiento administrativo |
- Urbanización | ||||
- Vacunación de ganado |
- Educación completa | ||||
- Capacitaciones |
- Agua potable | ||||
- Eventos sociales |
- Cultivo de caña de azúcar | ||||
- Tablero para practicar basket |
- Oficina de la Cooperativa bien equipada | ||||
- Practica de ping-pong |
- Ingenio azúcar | ||||
- Avances en resolución de problemas en un 80% |
- Exista apoyo de instituciones | ||||
- Unidad Mínima de Salud |
- Construcción de puentes | ||||
- Obtención de una desgranadora |
- Parque | ||||
- Refacciones |
- Cancelación de crédito CEAR-IICA | ||||
- Delimitación Biósfera Maya | |||||
- Aprovechamiento forestal | |||||
- Comprar un tractor agrícola |
Cooperativa La Lucha, Parque Nac. Sierra del Lacandón, Petén
Elaborado por Mujeres
1990: CUANDO LLEGAMOS |
1996 |
1999: LO QUE ESPERAMOS |
- Muchos árboles y animales |
- Más gente, más instituciones, más ayuda |
- Tener agua potable |
- No habla agua |
- Viviendas no hay animales cerca |
- Que el Puesto de salud funcione: medicina, doctor o enfermero |
- Mal camino |
- Carretera y Puesto de Salud sin atención |
- Que hayan dos maestros |
- No había gente |
- Farmacia |
- Urbanización de la comunidad |
- Falta de alimentos |
- Luz sin funcionar |
- Una mejor organización de la comunidad |
- Inundación |
- Agua |
- Que exista un mercado, medios de transporte |
- Enfermedades |
- Más descombros |
- Luz eléctrica (INDE) |
- Sin medicinas |
- Tienda, molino |
- Un puente |
- Construir viviendas |
- Panadería |
- Más ayuda de instituciones |
- CEAR (Blanca) |
- Pocos alimentos (pérdida de la producción) |
- Evitar la deforestación: siembra, frijol abono, preocupación por alimentación de la familia |
- No había parcelas |
- Menos enfermedades |
|
- Ganado (queso, leche) |
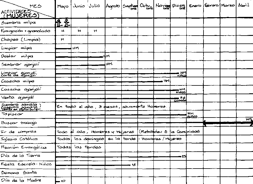
CALENDARIO
Cooperativa La Lucha, Parque Nac. Sierra del Lacandón, Petén
Elaborado por Hombres
Figura

Cooperativa La Lucha, Parque Nac. Sierra del Lacandón, Petén
Elaborado por Hombres
Figura

Cooperativa La Lucha, Parque Nac. Sierra del Lacandón, Petén
Elaborado por Mujeres
Figura

RELOJ DE 24 HORAS
Actividades Diarias Cooperativa La Lucha,
Elaborado por Hombres
Figura

Cuando van a la Parcela Cooperativa La Lucha Elaborado por Mujeres
Figura

Cuando están en Casa Cooperativa La Lucha, Elaborado por Mujeres
Figura

Las notas de capacitación de este estudio de caso consisten en las cinco matrices del Análisis de Género llenadas con información de las herramientas del DRP que se presentarán en seguida. Al usar este estudio de caso como material didáctico es importante para el/la capacitador/a tomar en cuenta que las matrices presentadas son sólo ejemplos, no necesariamente deben considerarse como que son la única respuesta posible.
Se invita a los/las capacitadores a revisar bien las notas de capacitación que acompañan los Módulos B y C respectivamente.
Objetivos |
|
Identificar qué información desagregada por género se puede recolectar con las herramientas del DRP. Aprender a analizar las herramientas del DRP y la información en cuanto a la organización genérica de una comunidad. Aprender el uso de las Matrices del Análisis de Género para organizar y sistematizar la información. |
Actividades |
|
El/la capacitador/a introduce el estudio de caso. Los/las participantes leen el estudio de caso (pero no las Matrices). En grupos analizan las herramientas del DRP y llenan las Matrices del Análisis de Género. |
Concéntrese en |
|
¿Qué información se puede recoger de las herramientas y cómo la podemos interpretar? Usar la información del estudio de caso y las herramientas; no suponer; si falta información anotarla. |
¡Ponga Atención! |
|
El análisis de los estudiantes es un trabajo hipotético porque no han estado presentes durante la implementación del DRP: mucha información secundaria en forma de diálogo, reacción de los y las participantes solamente la saben los facilitadores del DRP. Por lo tanto, faltará información para hacer un análisis completo; sin embargo, como ejercicio en un curso de capacitación sigue siendo valioso. |
Figura 1

Figura 2

Figura 3

Figura 4

Figura 5

CENTRO MAYA. 1996. Discusión de Resultados del Sondeo Practicado en la Cooperativa La Lucha. Guatemala: Centro Maya.
GUERRA, LUIS. 1995. Diagnóstico Cooperativa La Lucha. Guatemala: Centro Maya y Centro Universitario de Petén.
MORALES, J., V. RAMOS Y J. CHAVEZ. 1995. Inventario Forestal Cooperativa La Lucha, La Libertad, Petén. Guatemala: Proyecto Centro Maya.
RAMOS, VICTOR H. 1995. Diagnóstico General de la Cooperativa La Lucha. Guatemala: Centro Maya y Centro Universitario del Noroccidente.
PAFG/Proyecto GCP/GUA/007/NET 1996. Programa de Capacitación en Análisis de Género y Desarrollo Forestal (borrador). Guatemala.
Elaborado por Timoteo López e Ingrid Schreuel,
Asesores del Proyecto GCP/GUA/007/NET, Plan de Acción
Forestal para Guatemala
A solicitud del Instituto para el Desarrollo Económico y Social de América Central (IDESAC), personal del PAFG realizarón una primera visita a la comunidad Agraria Nueva Cajolá los días 8 y 9 de abril de 1996. Tras conocer la situación organizativa, agroproductiva y las esperanzas de la comunidad, en la misma reunión sostenida con la Junta Directiva a sugerencia del PAFG, se decidió realizar un Diagnóstico Rural Participativo (DRP) para identificar el interés de hombres y mujeres en realizar actividades forestales y facilitar un proceso de diagnóstico comunal, en el que los participantes puedan describir y analizar su actual condición de vida, los problemas y necesidades bajo el enfoque de género.
Figura

Los días 23 y 24 de mayo de 1996 se realizó el Diagnóstico Rural Participativo con miembros de la Comunidad Agraria Nueva Cajolá, Champerico, Retalhuleu. La Junta Directiva de la Comunidad, se encargó de convocar a representantes (hombres y mujeres) de los diferentes comités existentes. |
En la elaboración de las herramientas del DRP en forma separada participaron 22 mujeres, 28 hombres y 25 niño/as. El segundo día en la presentación de los resultados por grupo en plenaria, participaron 13 mujeres, 10 hombres y 3 niño/as. Tanto en el grupo de hombres como en el de mujeres se dio una participación muy activa y en realidad no costó mucho esfuerzo lograrla. Tanto el trabajo con las mujeres como con los hombres se realizó en dos idiomas Mam y Español, lo cual requirió del apoyo de personas bilingües de la comunidad.
Figura

Aunque la asistencia y participación fue buena, la Junta Directiva comentó que de haber logrado realizar el DRP en otra época se hubiera podido contar con más participantes. Lo que limitó la participación fue el inicio de las lluvias y una plaga de ratas, obligando a la gente, sobre todo a los hombres que estaban dedicados a fumigar los cultivos.
Inicialmente la Junta Directiva convocó a los participantes a las 8:00 de la mañana; sin embargo, las mujeres tenían que cumplir sus quehaceres en la casa y fue hasta las 9:00 que pudieron venir, entonces se inició la actividad a eso de las 9:30 horas.
La Junta Directiva de la Comunidad Agraria, organizó y financió una refacción por la mañana y otra por la tarde para todos/as los/as que participaron. Los facilitadores realizaron algunos juegos de dinámica, participando todos, los cuales ayudaron a mantener el ánimo y crear un ambiente cordial y con gran responsabilidad en la tarea a realizar.
Nueva Cajolá es una comunidad que se caracteriza por su larga lucha por la tierra, los ahora miembros de la Comunidad Agraria, pertenecen al Grupo socio-lingüístico Mam, originarios del altiplano occidental, municipio de Cajolá, Quetzaltenango.
Según la historia, saben que desde 1880 los antepasados vivieron en el municipio de Cajolá, jurisdicción de Quetzaltenango, lugar donde originalmente tenían 90 caballerías de tierra en propiedad comunal. Lamentablemente, esa propiedad comunal no fue registrada legalmente en esa época, por lo que no contaban con un documento que legitimizara sus derechos sobre la misma para pelear la decisión del gobierno de otorgar el 50% de los derechos a los llamados grupos de milicianos, que provenían de lugares como Palestina, Sibilia y San Carlos Sija.
Con ese antecedente y al paso del tiempo, prácticamente perdieron los derechos sobre la tierra, por diversas presiones de las autoridades. Dadas las condiciones de represión y pobreza, se gestó el movimiento de la comunidad en la lucha por la tierra.
División y lucha por la tierra
La lucha por la tierra significó una serie de demandas y protestas a las que el gobierno de turno respondió en 1910, conociéndose otras tierras en la finca Pampas del Horizonte, localizada en la costa sur.
Al paso del tiempo, en este lugar se dio una serie de nuevos problemas con los terratenientes de la zona que, motivados por el interés particular de dominar y ejercer su poder en la zona, utilizaron las fuerza del ejército y la policía para reprimir a la comunidad.
La represión de los terratenientes y de las fuerzas de seguridad del gobierno, dieron lugar a un movimiento organizado, con el objetivo común de continuar la lucha por la tierra, que con la llegada al poder del Coronel Jacobo Arbenz, cobró fuerza y razón de ser. Lamentablemente este gobierno duró poco tiempo en el poder, pues tras la caída de Arbenz en 1955, se debilitó el movimiento organizado.
Dos décadas después revive la lucha por la tierra
Otra vez se dio vida al movimiento organizado en 1974, en un nuevo intento de demanda al gobierno. La lucha por la tierra concluyó en un fracaso, sobre todo porque fue la época de los gobiernos militares, sin ningún espacio al diálogo.
La crisis económica y los efectos del desplazamiento del área comunal de Cajolá, motivó en 1988, la necesidad de elegir una comisión representativa, que pudiera dirigir la demanda por la tierra al gobierno de turno, esta vez por intermedio del Gobernador departamental y el director del Instituto Nacional de Transformación Agraria, de Quetzaltenango.
La comisión comunal, con los referidos funcionarios, logró establecer compromisos del gobierno, como respuesta directa a las demandas de la comunidad. Lamentablemente por la poca importancia a las demandas comunales y la irresponsabilidad de los funcionarios de turno, los compromisos no se cumplieron.
Por las experiencias vividas y en base a que no se respetaban los acuerdos y que el diálogo pasó a un plano de irrespeto y una forma arbitraria de las autoridades para evadir sus obligaciones, se llegó a la necesidad de tomar medidas de hecho y fue en mayo de 1990, que en forma pacifica y organizada la comunidad ocupó la tierra en la Finca Pampas del Horizonte, esta vez haciendo valer los derechos sobre la finca. La presión de las autoridades era grande, pues en septiembre del mismo año llegó una orden de desalojo.
Desde que tomaron la finca en mayo, iniciaron los cultivos de la época, pero al momento de efectuarse el desalojo prácticamente perdieron la cosecha, esta vivencia amarga y la pérdida material hizo que la posición comunal fuera más dura, frente a las instituciones y funcionarios de gobierno.
El Diálogo con el Presidente Constitucional
La comunidad determinó que la única posibilidad de diálogo, era directamente con el Primer Mandatario, razón por la que el 2 de noviembre de 1990, el presidente en funciones, Lic. Marco Vinicio Cerezo concedió una audiencia al representante de la comunidad, en la que se estableció un plazo no mayor a 15 días para resolver el problema de la tierra para la comunidad.
El plazo fijado con el Primer Mandatario de la Nación concluyó quedando a la espera de una respuesta y nuevamente todo siguió igual. Entonces, ante esta borla, en junio de 1991, la situación realmente se torno critica. Debido a la agudización de la pobreza, materializada con enfermedades endémicas, mortandad infantil, ante la desesperación la población decidió realizar una marcha pacífica hasta la Plaza Central en la capital, para realizar una manifestación de reclamo a la situación de abandono y falta de respuesta por parte de las autoridades.
El viaje a la Costa Sur
Como respuesta, les dan tierra provisional en la finca Santa Inés, en jurisdicción de Champerico, Retalhuleu la cual ocupan a partir del día 22 de diciembre de 1991. Luego a partir de enero 1992, después de una larga lucha, finalmente les hacen entrega oficial y legal de solamente 4 caballerías para ubicar 300 familias; en este caso, el área era insuficiente y así es que continúa una larga historia caracterizada por invasión y desalojo de fincas.
Con el apoyo de diversos organismos de solidaridad nacional e internacional, finalmente, en 1992, les otorgan financiamiento, bajo la figura de crédito para la compra de cuatro fincas circunvecinas, identificadas como: Santo Domingo, Milagro, Santa Rosa y Santa Marta, todas en jurisdicción de Champerico, Retalhuleu. Además, les ofrecen la construcción del edificio para ubicar una escuela de educación primaria, capacitación y asistencia técnica en el campo agropecuario y apoyo paralelo en materia de salud y crédito para actividades productivas.
Figura

Nacimiento de Nueva Cajolá
Cada familia de las 448 que conforman la Comunidad Agraria Nueva Cajolá, cuenta con parcelas en promedio de 5 manzanas c/u, las que utilizan principalmente para el cultivo de maíz y ajonjolí. El primero se destina al autoconsumo y el segundo porque constituye la única línea de producción con requerimientos de capital e insumo al alcance de los productores y porque el mercado casi está asegurado.
Lamentablemente, las condiciones de fertilidad de los suelos no están como se esperaba, en su mayoría están deteriorados y requiere de inversiones fuertes y de largo plazo, para recuperarlos. Junto a esta realidad, las familias deben cumplir los compromisos económicos, respecto a la deuda de capital que prestaron para la compra de la tierra, que corresponde la cantidad de 31.0 millones de quetzales. De acuerdo con los diferentes cálculos realizados, implica que cada familia debe amortizar cada año la cantidad de Q 6,800. Dicha anualidad deben cumplirla por los próximos 10 años; a fin de hacer efectiva la deuda contraída.
De acuerdo a los compromisos establecidos, los pagos a capital o amortizaciones debieron iniciar a partir de enero de 1995; sin embargo, la falta de conocimiento de los cultivos, los ciclos de la producción y los costos de los insumos, prácticamente han hecho imposible que por la vía de la producción agrícola, se consigan utilidades o excedentes que permitan cumplir con las obligaciones referidas, razón por la que a la fecha ninguna familia ha podido cumplir tal compromiso.
Todas las fincas referidas en la compra, tienen en total un área de 46 caballerías, de las cuales:
30 caballerías son cultivables: maíz y ajonjolí. Esta área fue parcelada y actualmente es privada; cada familia tiene 5 manzanas. Si estas son cultivables en condiciones favorables, entonces puede ser suficiente tierra para producir y con los ingresos sostener una familia que en promedio tiene nueve miembros.
El área restante, a la que hasta ahora se le ha dado el carácter de tierra comunal, los miembros de la comunidad consideran que no tiene aptitud agropecuaria, sobre todo porque está cargada con piedra y roca.
En la urbanización de la Comunidad Agraria Nueva Cajolá existe una plantación de eucalipto, que fue realizada con el apoyo técnico y financiero de la Cooperación Española. Alrededor de las parcelas existen algunos linderos con especies como Acacia sp. la idea es lograr reproducir el modelo en todos los linderos hacia adentro de la finca como en los del entorno, cuyo propósito, se encamina a mejorar las condiciones de suelo y un ambiente fresco.
Como la comunidad no cuenta con bosque y son muy pocos los árboles que aún les quedan, generalmente las familias tienen que comprar la leña que utilizan para la cocción de alimentos, el precio de la tarea está por el orden de Q 70.00. Otra posibilidad de conseguir leña es la de desplazarse hasta el estero, lugar donde aún quedan manglares y de ahí extraer un poco de leña.
La mayoría de participantes coincidió en que la compra o recolección de la leña es una actividad de los hombres. Se estima que cada familia necesita en promedio 10 tareas por año, lo que implica un desembolso en efectivo de no menos de Q 700.00/año.
Figura

En el trabajo de grupo las mujeres identifican un árbol que es bueno para leña al cual nombran bolador, seguido por otro que nombran palo carnero, por supuesto identifican el mangle y laurel como las especies preferidas por la calidad calorífica de la leña.
La Comunidad Agraria Nueva Cajolá ha conseguido importante apoyo técnico y financiero de diversas instituciones externas que han venido apoyando, por ejemplo, el proceso de asentamiento en las fincas. Actualmente cuentan con el apoyo de algunas de estas instituciones, entre las que mencionaron:
a Del sector privado de desarrollo al IDESAC, Centro de Servicio Cristiano, Cooperación Española.
b Por parte de los fondos sociales para el desarrollo FONAPAZ y el FIS.
Lo que se pudo notar es que no existe ningún apoyo dirigido a soluciones o alternativas en el marco de proyectos productivos de largo plazo.
Como fue manifestado por los y las participantes, la mayor parte del apoyo que han recibido es de emergencia, ya sea relacionado con la vivienda, la escuela, el agua, etc. Ello/as reconocen que ha sido muy valioso todo; sin embargo, les preocupa el hecho de no contar con un programa de mayor plazo, que incluya el crecimiento de la población, el mejor uso de los suelos productivos, el tipo de cultivos, la comercialización, etc.
A pesar de todas las dificultades que aún tienen que superar, también reconocen que una de las ventajas de tanta lucha por la tierra, es que la comunidad está bien organizada y cuenta con una estructura que por ahora responde a sus esperanzas; ésta se integra con:
Asamblea General |
® |
Todas las familias |
Junta Directiva |
® |
9 cargos por elección (sólo hombres) |
Grupo de mujeres |
® |
Actividades de gestión comunitaria |
Grupos religiosos |
® |
Iglesias Católica y Evangélica |
Desarrollo comunal |
® |
Comité pro-mejoramiento |
Bienestar |
® |
Comité de orden |
Los dibujos originales (herramientas del DRP), forman parte integral de este diagnóstico. El análisis de las herramientas, referido a cada contexto, más la información general recolectada durante las diferentes sesiones del trabajo realizado por el grupo de hombres, el grupo de mujeres y ambos, sirven de base para el Análisis de Género, referido a la Comunidad Agraria Nueva Cajolá.
Mapa actual
Con la finalidad de aclarar la situación actual, los hombres elaboraron tres mapas, en el orden siguiente:
1 Ubicación de La Comunidad Agraria Nueva Cajolá en la República de Guatemala,
2 Las fincas que les pertenecen y los linderos, haciendo una descripción precisa del área de trabajaderos4, y
4 Para los Cojoleños el área de los trabajaderos, comprende las parcelas que han sido entregadas a cada familia y es el lugar donde realizan sobre todo las actividades agrícolas.
3 La identificación de los recursos existentes, sobre todo los ríos y las carreteras, además con precisión el casco urbano de la finca, haciendo una clara referencia de la infraestructura con que cuentan.
Al desarrollar el mapa actual, las mujeres enfocaron más los aspectos de infraestructura existente, sobre todo la del casco urbano de la finca y no mencionaron áreas básicas para la vida de la comunidad, entre las que se puede mencionar los trabajaderos.
Del casco urbano de la Comunidad los hombres por ejemplo, dibujaron los eucaliptos, mientras que las mujeres, también los identificaron mediante una línea verde alrededor del área. También en ambos grupos se pudo notar que no mencionaron las áreas de los potreros, tampoco las tiendas.
En cuanto a la infraestructura comunal de servicios en el casco urbano, las mujeres mencionaron el molino de nixtamal y los hombres refirieron los pozos de agua para uso doméstico y el mercado. También fue identificado por ambos grupos el campo de fútbol, las iglesias, la escuela, el centro de salud, las oficinas de la Junta Directiva, etc.
Diagrama institucional
Al desarrollar la herramienta, el grupo de hombres le dio mayor importancia a las instituciones externas (17 en total) de las cuales el apoyo más significativo prácticamente fue recibido del IDESAC, CEDESCRI, Nuevo Amanecer y la Iglesia Católica. De la organización interna no mencionaron nada. En el grupo de mujeres, el aspecto institucional fue referido mayormente a 9 comités locales que identificaron plenamente, de los cuales están conscientes que en general tienen poca participación y apoyo a la vida social de la comunidad, excepto el Comité de Padres de Familia, que se le reconoce un trabajo importante.
Las mujeres, a diferencia de los hombres, mencionaron solamente 4 instituciones externas, entre las que destacan IDESAC, Nuevo Amanecer, CEDESCRI y el FIS. Según los diferentes comentarios del grupo, las referidas instituciones son las que más relación de apoyo han tenido con la comunidad, mediante la realización de acciones encaminadas a apoyar esfuerzos de gestión comunitaria de las mujeres.
Tanto hombres como mujeres olvidaron mencionar el Comité Forestal que se acaba de organizar en la comunidad, indicando además que lo forestal no tiene actualmente para ellos mayor prioridad.
Reloj de 24 horas
Las mujeres generalmente se levantan a las 4:00 de la mañana; si terminan con el trabajo de la casa, cuando las tareas así lo exigen, van al campo para ayudar al esposo y cuando existe la posibilidad también van a trabajar a las fincas cercanas. Después de atender el almuerzo, por la tarde tienen tiempo para descansar un poco y realizar ciertas actividades sociales, entre las que mencionaron visitar amigas o personas enfermas.
Los hombres normalmente se levantan entre las 5:00 y 5:30 de la mañana, desayunan o toman algo y se marchan a la parcela para dedicarse al trabajo agrícola. De acuerdo a las necesidades en alguna época del año también buscan trabajo como jornaleros fuera de la comunidad; a los hombres les queda un poco de tiempo para reuniones formales o informales por la tarde
En cuanto a trabajo reproductivo, se limitaron a señalar que se dedican a rajar la leña, que utiliza la esposa para la cocción de los alimentos.
En general, los y las participantes concluyeron en que las mujeres tienen un trabajo más variado y más cargado, lo que muestra que ellas se sacrifican más y tienen menos posibilidades de descanso o recreación. Una diferencia que encontraron es que hay días que por diversas razones los hombres no tienen trabajo; sin embargo, las mujeres siempre trabajan porque deben cumplir las responsabilidades de la casa.
A nivel de la comunidad, también identificaron que cuando hay reuniones de carácter social o comunal, los hombres y las mujeres normalmente se reúnen por separado.
Calendario de actividades
Tanto hombres como mujeres identificaron como actividades productivas la producción de maíz, ajonjolí y sandia. Las mujeres por su parte señalaron los meses en los que no tienen trabajo que realizar en las parcelas y resulta más conveniente trabajar en fincas vecinas.
Los hombres mencionaron varias actividades de gestión comunitaria, en las que ellos participan directamente, entre las que mencionaron, la perforación de pozos para el agua, la construcción de letrinas familiares, la construcción de infraestructura comunal (escuela, Alcaldía, etc.). Todo es importante; sin embargo, reconocieron mayor énfasis a la participación en las reuniones comunales.
Es impactante que aparte del chapeo de potreros tanto los hombres como las mujeres, no mencionaron la existencia del ganado vacuno. Posiblemente se debió a que el ganado pertenece a un pequeño grupo de asociados, en cuyo caso no tiene mayor importancia económica para la comunidad.
Las mujeres mencionaron que por la fuerte carga de trabajo doméstico (rol reproductivo) y su participación en apoyo a las actividades productivas (agrícolas), resulta más difícil para ellas participar en reuniones comunales. Sin embargo, aunque no se logró conocer a fondo todo, parece que la verdadera razón está referida a la actitud de los hombres, más que al interés y la disposición de tiempo de las mujeres.
Historia de la comunidad
Aunque las mujeres han sufrido igual que los hombres en la lucha por la tierra, porque han tenido una participación activa, al momento de desarrollar la herramienta se notó que su recuerdo es muy limitado en cuanto a hechos, fechas y logros del citado movimiento. Se evidencia diferencia respecto a los hombres.
Por los diferentes comentarios en el grupo, se pudo apreciar que su participación ha sido más con presencia, dejando a un lado su opinión o las consultas que se les debió hacer, sobre todo en la toma de decisiones, con implicaciones para todos y todas.
Otro aspecto a considerar se relaciona con la integración de comisiones de representación de la Comunidad, normalmente éstas se integran por hombres; por las razones antes explicadas, las mujeres normalmente no son tomadas en cuenta.
Los hombres tienen mayor claridad en el manejo de la historia, por ejemplo, el hecho de conocer del inicio de la lucha por la tierra, que data del año 1880; y hablar de hechos y acontecimientos de transcendencia en orden cronológico hasta la instalación en el área que actualmente ocupan.
Los jóvenes, sobre todo, tienen mucha claridad en relación al crecimiento de la población, las actividades necesarias que realmente puedan provocar el desarrollo rural y su preocupación por el deterioro de los recursos naturales en la zona que hoy habitan.
El grupo de hombres y el de mujeres tienen, en general, un conocimiento limitado de los recursos con que hoy cuentan en el área de las fincas. Hay poca información, sobre todo en cuanto al manejo de recursos naturales, situación por ahora justificada por el hecho de iniciar la formación de la Comunidad Agraria Nueva Cajolá.
Lo que se escucha de comentarios que hacen personas que viven a la vecindad de la comunidad, es que unos 40/ 50 años antes había abundante bosque en toda la Costa Sur, que se destruyó al convertir el área al cultivo de algodón. La formas de cultivar el algodón empobreció los suelos, hecho que también afecta las actuales condiciones para los cultivos agrícolas.
Mapa futuro
Con esta herramienta se puede observar que las diferencias y similitudes en la identificación de problemas y necesidades aparecen reflejados en la Matriz No. 4.
Por ejemplo, las necesidades de los hombres están relacionadas con interés de llegar a desarrollar la producción de ganado vacuno para leche y carne y un volumen de ajonjolí mayor al actual para el mercado. Además de identificar aspectos de infraestructura relacionados con el mercado, lo cual se manifiesta con su interés de contar con servicio telefónico en la sede de la comunidad. Estas aproximaciones a su interés en el trabajo del futuro, manifiestan claramente una visión bastante progresista.
En general las mujeres relacionan sus necesidades más con el bienestar de la familia5. Aunque en la comunidad existe un molino de nixtamal, las mujeres señalan que es importante instalar otro por dos razones:
1 Cuando se descompone el único que existe, las mujeres otra vez tienen que invertir entre 3-4 horas diarias en la molienda del nixtamal;
2 Por contar sólo con un molino los precios aumentan.
5 Comprende alimentación, salud, educación y vivienda en condiciones dignas. -
La apreciación y visión de las mujeres respecto a los árboles es diferente a la que tienen los hombres en cuanto al uso potencial de los árboles, (mujeres: leña y hombres: madera para la venta y leña) y el interés en el agua (mujeres: agua potable para uso domestico y los hombres agua para miniriego).
Prioridades
En general, se pudo apreciar que tanto hombres como mujeres, están de acuerdo en que el problema más importante se relaciona con la falta de agua para uso domestico y para uso productivo o sea el miniriego.
Otro problema identificado por ambos es la falta de fuentes de ingreso alterno, el que a su vez está relacionado con la falta de fuentes de trabajo en la comunidad, por ejemplo, en los meses de diciembre a mayo, los hombres y a veces la mujeres salen a buscar trabajo (jornales) en las fincas cercanas.
A corto plazo, los hombres ven posibilidades para realizar trabajos en el área de la agroforestería. Utilizar parte del tiempo en actividades forestales que a mediano plazo, podría resultar en mejorar las cosechas (agroforestería), generar empleo, generar ingresos directos (venta de madera) e indirectos (no comprar la leña).
Es importante que IDESAC reformule las líneas de acción en la Comunidad Agraria Nueva Cajolá. Parece haber poco interés por parte de las mujeres en involucrarse en las actividades de administrar una tienda; más bien, existen necesidades más urgentes para ellas como otro molino de nixtamal y estufas para ahorrar leña. Además, IDESAC podría funcionar como enlace para lograr operativizar y equipar el Centro de Salud.
Tanto hombres como mujeres están de acuerdo en que el problema mayor es la falta de agua potable para uso doméstico y un sistema para miniriego.
El segundo problema es la falta de otras fuentes de ingreso. Como hay pocas fuentes de trabajo en la comunidad, entre diciembre-mayo casi todos salen a buscar trabajo a las fincas cercanas. En este tiempo se ve la posibilidad de fomentar y realizar trabajos agroforestales.
Más allá de la discusión de este diagnóstico, se considera que la formulación de un proyecto debería ir por estas líneas de acción.
Es importante reconocer que este informe revela un primer paso en un proceso participativo. En algunos casos, la información todavía es incompleta o requiere de más profundidad. Además, la interpretación de las herramientas y las matrices, sobre todo la Matriz de Plan de Acción, debe ser revisada y discutida con los y las participantes en el Diagnóstico y, si es posible, con otros miembros de la comunidad. El Diagnóstico Rural Participativo y el Análisis de Género que se realizó con apoyo del Plan de Acción Forestal para Guatemala, debería ser para IDESAC y la comunidad el inicio de una planificación participativa identificando actividades que contribuyan a un desarrollo sostenible y equitativo en la Comunidad Agraria Nueva Cajolá. |
MAPA ACTUAL
Comunidad Agraria Nueva Cajolá
Elaborado por Hombres
Figura

Comunidad Agraria Nueva Cajolá
Elaborado por Hombres
Figura

Comunidad Agraria Nueva Cajolá
Elaborado por Hombres
Figura

Comunidad Agraria Nueva Cajolá
Elaborado por Mujeres
Figura

HISTORIA
Historia de la Comunidad Agraria Nueva Cajolá
Elaborado por Hombres
AÑOS |
POLITICO SOCIAL |
CULTURAL RELIGIOSO |
MOVIMIENTO CAMPESINO |
POBLACION |
PRODUCCION |
RECURSOS NATURALES (ARBOLES, AGUA, AIRE, SUELO) |
1880 |
Militarizado |
Maya |
Invasión | |||
1910 |
Católica |
Cada vez as más, la población |
Pobreza |
22 caballerías Pampas los Minera la agarraron | ||
1945-55 |
Gobierno |
Maya Católica Evangélica |
Movimiento Campesino |
Cada vez es más población |
Pobreza |
|
1966 |
No se negocio con gobierno |
Los religiosos realizaban actividades |
No hubo seguimiento |
Cada vez es más población |
Pobreza |
|
1989 |
Audiencia D.C. |
Se fortalece |
Cada vez es más población |
Se empeora pobreza |
Ocupación de Pampa del Horizonte | |
1990 |
Manifestación 31-7-90 |
Sigue el movimiento |
Más pobreza |
|||
1991 |
Se logro una finca 5 caballerías |
79 familias beneficiados |
||||
1992 |
5 meses en la capital lucha por la vivienda |
Educación |
Se mejora el movimiento por la represión. Salud |
Agua Potable |
Leña |
Se logra la Comunidad Carretera |
1993 |
Ranchos |
No hay |
Mal estado | |||
1994 |
Inicio de Educación |
Mala |
Se abrieron pozos |
Se hace compra |
Medio se arreglo | |
1995 |
Lámina por parte del Gobierno |
Se empieza construcción Puesto de Salud |
Más pozos |
Se siembra arboles |
Se dio | |
1996 |
Construcción Escuela |
Historia de la Comunidad Agraria Nueva Cajolá
Elaborado por Mujeres
Año |
Descripción |
1989 |
Primera invasión/lucha |
23 - Dic - 1992 |
Llegada a Nueva Cajolá |
1991 |
tenían tierras en Pampas. ® tomaron la tierra. Desalojo - Vivieron en carretera. Sembraron tierra - ganado. INTA - Palacio Vivieron en la carretera. |
22 - Julio - 1991 |
Los atacaron cerca Palacio Viven en una casa 5 meses Sta. Inés para mientras. |
PRIORIDADES
Comunidad Agraria Nueva Cajolá
Elaborado por Mujeres
Figura

MAPA FUTURO
Comunidad Agraria Nueva Cajolá
Elaborado por Hombres
Figura

Comunidad Agraria Nueva Cajolá
Elaborado por Mujeres
Figura

CALENDARIO
Calendario de Actividades de la Comunidad Agraria
Nueva Cajolá Elaborado por Hombres
MES |
ACTIVIDADES DE LA COMUNIDAD (HOMBRES) |
Enero |
Leña, ranchos, letrinas, pozas, trabajar en fincas. Reuniones 2 veces. |
Febrero |
Leña y rancho. Chapeo terrenos. |
Marzo |
Reparar ranchos, rastrojado, perforación de pozos. |
Abril |
Arar la tierra. Perforación de pozos. |
Mayo |
Siembra maíz. |
Junio |
Limpia, fumigación y fertilización. Granular la milpa. |
Julio |
Doblar la milpa. Preparación de tierra para ajonjolí, chapeo de la caña. |
Agosto |
Siembra de ajonjolí. |
Septiembre |
Fumigación de ajonjolí. |
Octubre |
Desvijuquiar |
Noviembre |
Inicio corte de ajonjolí. |
Diciembre |
Corte de maíz y ajonjolí y cosecha. Asamblea. |
Calendario de Actividades de la Comunidad Agraria
Nueva Cajolá Elaborado por Mujeres
Figura

RELOJ DE 24 HORAS
Comunidad
Agraria Nueva Cajolá
Elaborado por Hombres
Figura

Comunidad
Agraria Nueva Cajolá
Elaborado por Mujeres
Figura

DIAGRAMA INSTITUCIONAL
Comunidad Agraria
Nueva Cajolá
Elaborado por Hombres
Figura

Comunidad Agraria
Nueva Cajolá
Elaborado por Mujeres
Figura

Las notas de capacitación de este estudio de caso consisten en las cinco matrices del Análisis de Género llenadas con información de las herramientas del DRP que se presentarán en seguida. Al usar este estudio de caso como material didáctico es importante para el/la capacitador/a tomar en cuenta que las matrices presentadas son sólo ejemplos, no necesariamente deben considerarse como que son la única respuesta posible.
Se invita a los/las capacitadores a revisar bien las notas de capacitación que acompañan los Módulos B y C respectivamente.
Objetivos |
|
Identificar qué información desagregada por género se puede recolectar con las herramientas del DRP. Aprender a analizar las herramientas del DRP y la información en cuanto a la organización genérica de una comunidad. Aprender el uso de las Matrices del Análisis de Género para organizar y sistematizar la información. |
Actividades |
|
El/la capacitador/a introduce el estudio de caso. Los/las participantes leen el estudio de caso (pero no las Matrices). En grupos analizan las herramientas del DRP y llenan las Matrices del Análisis de Género. |
Concéntrese en |
|
¿Qué información se puede recoger de las herramientas y cómo la podemos interpretar? Usar la información del estudio de caso y las herramientas; no suponer; si falta información anotarla. |
¡Ponga Atención! |
|
El análisis de los estudiantes es un trabajo hipotético porque no han estado presentes durante la implementación del DRP: mucha información secundaria en forma de diálogo, reacción de los y las participantes solamente la saben los facilitadores del DRP. Por lo tanto, faltará información para hacer un análisis completo; sin embargo, como ejercicio en un curso de capacitación sigue siendo valioso. |
Figura 1

Figura 2

Figura 3

Figura 4

Figura 5

Elaborado por Timoteo López e Ingrid Schreuel, Asesores del Proyecto GLP/GUA/007/NET, Plan de Acción Forestal para Guatemala.
Dentro del proceso de repatriación de refugiados están los miembros de la Cooperativa El Nuevo Amanecer, R.L., los cuales retornaron al país y se ubicaron en las Fincas San Fernando, Tuilá, El Malcotal y La Caoba situadas en jurisdicción del municipio de Fray Bartolomé de las Casas del departamento de Alta Verapaz.
Figura

El retorno significó cambios importantes como regresar a su patria y la esperanza de al fin encontrar un lugar en el que puedan desarrollar diversas posibilidades y alternativas de producción, principalmente de granos básicos (maíz, frijol); sin embargo, por diversas razones no fueron técnicamente bien asesorados respecto a la vocación productiva de los suelos, lo que ha implicado pérdida de recursos y sobre todo de la esperanza de poder vivir como lo esperaban.
Varios de los miembros de la Cooperativa, han manifestado su preocupación en cuanto a que reconocen que su mayor fortaleza radica en la experiencia que ha adquirido en los cultivos de granos básicos en tierras de clima frío. Contrariamente, no tienen mayor conocimiento del área que actualmente ocupan, principalmente en cuanto a la capacidad de los suelos para los cultivos y los ciclos más apropiados para dichos cultivos. Los ingresos que percibe la Cooperativa provienen de la siguientes fuentes: Financiamiento de un PIR con fondos de ACNUR e implementado por CECI, que ha finalizado en febrero de 1996; venta de la producción de hule de 5,420 árboles (14 hectáreas) e ingresos generados por una tienda comunal.
Los ingresos de los socios provienen de pequeños ahorros familiares traídos de México, jornales generados por el PIR mencionado y venta de fuerza de trabajo en el área del municipio de Fray Bartolomé de Las Casas.
Ante esta situación, si no se implementan actividades productivas que generen ingresos para la población y capitalización de la Cooperativa, y que éstas sean compatibles con la capacidad de uso de los suelos de las fincas, se intensificará el proceso actual de deserción de aquellas familias que por no tener confianza en un desarrollo económico futuro, están retornando a México. Por otra parte, si éstas actividades productivas no se dan con el debido acompañamiento de asistencia técnica y financiera, los recursos naturales de esas fincas tendrán un deterioro intensivo.
Como parte del proceso de formulación de un proyecto forestal se realizó un diagnóstico rural participativo. Con anticipación se informó a la Junta Directiva de la Cooperativa de la intención de hacer un diagnóstico participativo, y a ese efecto se encargaron de fijar la fecha y convocaron a un total de 60 personas (hombres y mujeres) representantes de los cuatro barrios de la comunidad. El primer día participaron 21 mujeres y 27 hombres, pero después se incorporaron mayor número de personas. Como incentivo a la participación, la Junta Directiva estableció el pago de un jornal. La Junta Directiva nombró a dos señoras quienes prepararon café y almuerzo el segundo día; el PAFG contribuyó con los costos. De está forma, se creó un ambiente de trabajo en el cual los (as) participantes no tenían que preocuparse de sus tareas cotidianas.
Figura

Los hombres se reunieron bajo la sombra de un árbol que fué un ambiente adecuado, y las mujeres ocuparon el salón de usos múltiples; lugares donde trabajaron un día y medio, realizando el diagnóstico en forma separada utilizando varias de las herramientas del DRP. En total se trabajó la tarde de 15:00 a 18:00 horas del primer día; de 09:00 a 17:00 horas del segundo día, y de 09:00 a 11:00 horas del tercer día. En la tarde del segundo día los grupos se prepararon para la presentación de su trabajo para la plenaria para el día siguiente. Ambos grupos repartieron los papelógrafos y varios de los participantes se encargaron de la presentación, en algunos casos con el apoyo de otros miembros del grupo.
En la mañana del tercer día se realizó la plenaria en la que los hombres presentaron el mapa de la comunidad seguido por el de las mujeres dando, de esta forma, la oportunidad a los facilitadores de hacer comentarios y comparaciones entre la visión diferente de hombres y mujeres respecto a los recursos.
A continuación se describen los resultados del diagnóstico, primero en forma general, seguido por una comparación de los resultados de cada grupo.
Figura

Entre los anos 1980-1982, los actuales habitantes de la Comunidad La Nueva Libertad, oriundos de aldeas y municipios de los departamentos de El Quiché, Huehuetenango y Alta Verapaz emigraron a México en búsqueda de refugio. El abandono de sus casas y cultivos fue a consecuencia de las amenazas de muerte y la vigencia del conflicto armado entre el ejército y grupos armados de la subversión.
Las familias temporalmente vivieron en Chiapas, Quintana Roo y Campeche, áreas donde la Comisión Mexicana de Apoyo a Refugiados (COMAR) tuvo influencia en su función de desarrollo humanitario durante el tiempo que las familias permanecieron en territorio mexicano. Varias organizaciones locales dieron apoyo y asistencia técnica, así como capacitación y fortalecimiento de organizaciones de base. Por ejemplo, la organización de mujeres Mama Maquin con la que están identificadas varias organizaciones de mujeres refugiadas.
Bajo el apoyo logístico, la coordinación del Alto Comisionado de Naciones Unidas para Refugiados y Repatriados (ACNUR) y la Comisión Especial para la Atención a Repatriados, Refugiados y Desplazados (CEAR), se inició un proceso de diálogo con las Comisiones Permanentes que se integraron y organizaron en territorio mexicano.
Figura

Localización del Area del Proyecto
El proyecto se localiza en las fincas de la Cooperativa El Nuevo Amanecer R.L que están ubicadas en el municipio de Fray Bartolomé de Las Casas del departamento de Alta Verapaz.
Esta región forma parte de la denominada Franja Transversal del Norte (FTN), que abarca el norte de tos departamentos de Huehuetenango, Quiché, Izabal y Alta Verapaz. La FTN abarca una superficie aproximada de 900,000 hectáreas y durante las décadas de los años 60's y 70's fué considerada como área de desarrollo agrícola-ganadero.
El municipio de Fray Bartolomé de Las Casas fué creado mediante Acuerdo Gubernativo del 21 de abril de 1980. En dicho acuerdo se fija su territorio en 1,229 kilómetros cuadrados y sus limites: al norte con los municipios de Sayaxché y San Luis del departamento de Petén, al sur con el municipio de Santa María Cahabón, al este con el municipio de Chahal y al oeste con el municipio de Chisec, los tres del departamento de Alta Verapaz.
El municipio de Fray Bartolomé de las Casas esta situado a 140 metros sobre el nivel del mar. Cuenta con tres vías de acceso de tercería en mal estado: la carretera que atraviesa la Franja Transversal comunica a la cabecera municipal de Fray Bartolomé de las Casas con las cabeceras municipales de Chisec y Chahal, y una secundaria con San Luis Petén. De la Ciudad de Guatemala a la cabecera departamental de Cobán se recorren 210 km en una carretera asfaltada, y de Cobán a Fray Bartolomé de las Casas se recorren 110 km en una carretera de terracería en pésimas condiciones.
Características biofísicas
La clasificación del clima según el Sistema Thornthwaite, se define como: A'b'Br, siendo cálido (A'), con invierno benigno (b'), húmedo y sin estación seca bien definida (Br). Los datos climatológicos pertenecientes al municipio de Fray Bartolomé de las Casas, registran una temperatura media anual de 25.05°C; una temperatura máxima anual promedio de 29.4°C; una temperatura mínima anual promedio de 20.7°C; 151 días de lluvia y 2,332.1 milímetros promedio anuales de precipitación.
Figura

Los meses de menor precipitación son febrero y marzo con 72.8 y 66.3 milímetros en promedio' respectivamente. Respecto a las horas/luz anuales de la zona, el único registro proviene de la estación meteorológica de San Agustín Chixoy ubicada en el municipio de Chisec, Alta Verapaz, la que en la década de 1980-1989 registró un promedio anual de 1,973.66 horas de luz. De acuerdo a Simmons (1959), los suelos del área estudiada están incluidos dentro de la serie de suelos Sebol, definidos como profundos, bien drenados, desarrollados sobre aluvión viejo, en un clima cálido húmedo. Ocupan relieves de casi planos a suavemente ondulados, asociados a bajas altitudes con la serie de suelos Chacalté, siendo éstos poco profundos, desarrollados sobre caliza y ocupando relieves inclinados.
Con base en el mapa de capacidad productiva de la tierra, los suelos predominantes en el municipio de Fray Bartolomé de las Casas, pertenecen a las clases agrológicas (lineamientos dados por el Servicio de Conservación de Suelos del Departamento de Agricultura de EEUU): III y IV. A la clase III corresponden tierras cultivables sujetas a medianas limitaciones, y a la clase IV, tierras sujetas a severas limitaciones permanentes que requieren cultivos perennes.
Según De la Cruz (1982), aplicando el Sistema Holdridge, el área se enmarca dentro de la zona de vida denominada Bosque muy Húmedo Subtropical Cálido, representada por las siglas bmh-S (c).
Figura

Respecto a la vegetación, los bosques nativos que han sufrido un proceso de extracción de maderas valiosas, poseen un estrato arbóreo representado por especies tales como: Camparaguay (Vismea camparaguay), Tamarindo (Dalium guianense), San Juan (Vochysia guatemalensis), Rajate Bien (Vitex spp), LLorasangre (Swartzia cubensis), Santa María (Calophyllum spp.), Indio Desnudo (Bursera simaruba), Canxán (Terminalia amazonia), Hormigo (Platymiscium dimorphandrum), Irayol (Genipa americana) y Majaguá (Xilopia frutescens), entre otras.
El sotobosque es muy rico en palmas encontrándose especies como Guiscoyol (Bactris spp.), Lancetilla (Astrocaryum mexicanum), Bayal (Desmoncus spp.), Xate (Chamaedorea spp.) La presencia de lianas es conspicua, encontrándose especies medicinales tales como: Zarzaparrilla (Smilax aristolochiaefolia), Cocolmeca (Smilax spp.), Bejuco de Pimienta (Callychlamis spp.) y Cocolmeca Blanca (Dioscorea spp.), entre otras.
Características socio-económicas
El municipio de Fray Bartolomé de las Casas cuenta con 102 comunidades, incluyendo los micro-parcelamientos, caseríos, aldeas y fincas. Según los datos del X Censo de Población, realizado en 1994 por el Instituto Nacional de Estadística (INE), la población total es de 31,361 personas, de la cual el 86% es rural y el 14% urbana. La densidad de la población es de 25.73 habitantes por kilómetro cuadrado.
Figura

La mayor parte de la población no posee ningún nivel de escolaridad (14,833 personas). El 87% de la población total es de origen maya, predominantemente de la etnia K'ekchi'. Se estima que esta composición sufrirá cambios debido al proceso de colonización y al proceso de repatriación.
La organización administrativa municipal cuenta con la Alcaldía legal (corporación municipal compuesta por el Alcalde, Síndicos y Regidores) y la Alcaldía Secundaria o Auxiliar, que es una institución socio-religiosa acorde con las costumbres indígenas. La corporación municipal es electa por sufragio directo, y es la responsable de la administración global del municipio rigiendo la vida de los habitantes como ciudadanos. Por su parte, la Alcaldía Auxiliar tiene que ver con las actividades locales y las que se relacionan con las tradiciones indígenas. Los alcaldes auxiliares en la mayoría de los casos son representantes electos dentro de las comunidades, estos a veces son los líderes locales.
Este municipio ha contado con un fuerte apoyo del Gobierno Central en diferentes épocas de su historia; por lo que la cabecera municipal cuenta con calles pavimentadas, servicio de alcantarillado, agua potable por sistema de bombeo, centro de salud tipo A, pista de aterrizaje, correos, teléfonos y la presencia de instituciones del Sector Público Agrícola.
Respecto a la educación, existen 10 escuelas con 60 maestros repartidas en caseríos y aldeas. Se imparten clases hasta sexto de primaria. Las características de la tenencia de la tierra en el municipio de Fray Bartolomé de las Casas es resultado de las políticas de los programas de colonización ejecutados por el Instituto Nacional de Transformación Agraria (INTA), los cuales muestran un proceso creciente de la entrega de las tierras nacionales a comunidades organizadas bajo el sistema de patrimonio familiar mixto. En este sentido, las formas de tenencia de la tierra se han modificado con el tiempo, así en 1970 la distribución era la siguiente: el 70% de las tierras correspondían a terrenos nacionales, el 25% a fincas particulares y el 5% a tierras comunales; sin embargo, en 1980 ésta distribución se modificó de la siguiente manera: 9% a terrenos nacionales 28% a fincas particulares y el 63% a tierras entregadas a comunidades
En relación al tamaño de las fincas particulares, el 55.7% de las fincas de propiedad individual (301 fincas) tienen una extensión de 45 ha (1 caballería), y el 30.4% posee una extensión de 22.5 has (media caballería), lo que significa que el 86.1% de las fincas en propiedad individual están dentro de estos rangos. Sin embargo, existen propiedades individuales de 19 ha (el tamaño más pequeño en esta forma de tenencia) y una finca que posee 1,557 ha.
Las principales actividades económicas de la región son la agricultura y ganadería. Los principales cultivos son el maíz, cardamomo, café, cítricos, cacao, arroz, frijol, chile cobanero y achiote. Los rendimientos agrícolas son bajos, lo que permite inferir que se aplica una tecnología tradicional, y que los suelos no son aptos para cultivos anuales. En el caso del maíz obtienen de 25-30 quintales/hectárea, de frijol 10-12 qq/ha, cacao 5-6 qq/ha y en cardamomo de 9-10 qq/ha (en cereza).
La práctica cultural de establecer en los cultivos frijol de cobertura del género Mucuna spp., está muy difundido entre los habitantes de la etnia K'ekchi'.
Presencia institucional en el Area del Proyecto
En la cabecera municipal de Fray Bartolomé de las Casas se encuentra representado el Sector Público Agrícola a través de la Dirección General de Servicios Agrícolas (DIGESA), encargada de la promoción de cultivos agrícolas; la Dirección General de Servicios Pecuarios (DIGESEPE), que promociona actividades pecuarias; la Dirección General de Bosques y Vida Silvestre (DIGEBOS), cuyas funciones son la difusión y asesoramiento sobre plantaciones forestales; el Instituto de Ciencia y Tecnología Agrícolas (ICTA), encargada de la transferencia de tecnología agrícola; el Instituto Nacional de Transformación Agraria (INTA), cuyas funciones son la medición y titulación de terrenos; el Instituto Nacional de Comercialización Agrícola (INDECA), encargada de facilitar la comercialización agrícola y que posee silos de acopio de granos en la región; y el Banco Nacional de Desarrollo Agrícola (BANDESA), encargado de la asistencia crediticia para actividades agrícolas.
Figura

Otras instituciones presentes en el área son: el Instituto Nacional de Cooperativas (INACOP), cuyas funciones consisten en la promoción y asesoramiento a cooperativas; el Instituto Técnico de Capacitación y Productividad (INTECAP), encargado de impartir cursos de capacitación en artes y oficios; los Ministerios de Educación y Salud Pública, el Instituto Guatemalteco de Seguridad Social (IGSS), el Instituto Nacional de Electrificación (INDE) y la Comisión Nacional para la Atención de Repatriados, Refugiados y Desplazados (CEAR).
Respecto al cumplimiento de las funciones asignadas a cada institución, se observa que la falta de presupuesto y de apoyo por parte del Gobierno Central ha provocado que sus alcances sean cubiertos parcialmente. Ejemplos de esta situación, lo constituye DIGEBOS, que ha retirado al personal técnico calificado, y solo cuenta con personal auxiliar a cargo de las tareas de la institución; e INDECA cuyos silos no funcionan debido a un proceso de restructuración administrativa.
Las instituciones internacionales están representadas por la Misión de Naciones Unidas para Guatemala (MINUGUA) Respecto a las organizaciones no gubernamentales se cuenta con la presencia de OTARDE, CECI, MOVIMUNDO, Fundación Rigoberta Menchú y MEDICOS DEL MUNDO.
Composición y estructura de la población
Según los integrantes de la Junta Directiva de la Cooperativa, la comunidad está constituida actualmente por 306 familias; de las cuales, 219 familias ingresaron en noviembre de 1994 y 96 familias en marzo de 1995, Durante el año 1995, 20 familias han abandonado la comunidad retornando a México o bien a sus antiguos lugares de origen.
Con base a las estadísticas que posee CEAR, se considera que la población total asciende a 1,186 personas, distribuidas en 624 hombres (52.6%) y 562 mujeres (47.4%) El índice de masculinidad es de 1.10; la población adulta es de 695 personas (58.6%) y los niños menores de 10 años suman 491 (41 4%). La población económicamente activa (PEA), o sea la población comprendida entre los 10 a los 64 años de edad, es de 516 personas (43.5%), distribuidas en 273 hombres y 243 mujeres. La edad promedio es de 18.9 años para hombres y 18.2 años para las mujeres.
Actividades productivas
A cada familia, la Cooperativa le adjudicó un lote de 400 m² para construir su vivienda con un pequeño huerto familiar A su vez para el cultivo de granos básicos adjudicaron 1.4 ha/familia, de la cual, una hectárea se ubica en la Finca Tuilá y el resto en la Finca San Fernando. Las parcelas adjudicadas se utilizan para la siembra de maíz y fríjol obteniendo un rendimiento inferior al promedio de la zona. En el caso de maíz obtienen entre 20-25 quintales/hectárea y de frijol de 8-10 quintales/hectárea.
Debido a lo reciente de su llegada, no conocen el tipo de suelo, ni el clima imperante ni los cultivos adaptados a la zona y su manejo agronómico, por lo que estas primeras siembras apenas cobren las necesidades familiares. Las familias deben subsistir con reservas de granos provenientes del exilio, pequeños ahorros familiares y venta de fuerza de trabajo en el área del municipio de Fray Bartolomé de las Casas.
En la Finca El Malcotal, la Cooperativa posee una plantación de hule (Hevea brasiliensis) de 14 hectáreas con 5,420 árboles, las que han entrado en producción La plantación originalmente no habla sido manejada; sin embargo, en la primera cosecha de látex, realizada en septiembre de 1995, lograron vender 100 quintales de látex coagulado (Chipa) a un precio de Q.123/qq. En dicha plantación, la Cooperativa emplea un total de 11 trabajadores (hombres) que perciben un jornal de Q.15/día.
Con la implementación de un Proyecto de Impacto Rápido (PIR) que CECI ha desarrollado durante el año 1995, se está estableciendo una nueva plantación de 45 hectáreas de hule, La actividad de plantación y el establecimiento de un jardín clonal y vivero han generado aproximadamente 3,050 jornales para los hombres. El financiamiento para esta actividad vence en febrero de 1996.
En la Finca La Caoba, poseen una plantación de teca (Tectona grandis) de una edad aproximada de 20 años y que cubre una superficie estimada de 12 ha, El crecimiento no es uniforme, el DAP oscila entre 27,6 a 38,8 centímetros debido probablemente al abandono y falta de cuidados culturales, Las áreas de la plantación están expuestas a fuertes vientos, se observa una abundante caída de árboles, El aprovechamiento de esta plantación podría generar un ingreso inmediato para la Cooperativa,
Tras haber explorado diversas posibilidades para asegurar el retorno con seguridad y dignidad, entre otras, se encontró como alternativa la compra de las fincas de propiedad privada en la zona de las Verapaces. En el caso de la comunidad Nueva Libertad, compuesta de 316 familias se ha optado por la Finca San Fernando en Fray Bartolomé de las Casas donde dichas familias se asentaron. La decisión de elegir uno u otro lunar quedó a criterio y libertad de las familias. El derecho de propiedad del referido inmueble se consiguió con el apoyo financiero del Fondo Nacional para la Paz (FONAPAZ), que se encargó de canalizar financiamiento para la compra.
Figura

El crédito fue otorgado a la Cooperativa Unión El Nuevo Amanecer, integrada por 401 socios de los cuales 258 son hombres y 143 son mujeres. Todos son solidariamente responsables de cubrir un crédito por la cantidad de Q 14,045,765.00, a una tasa de interés del 10% anual y a un plazo de 20 años, con la característica de ser un crédito de carácter revolvente, es decir, que la amortización de la deuda tendrá como finalidad, entre otras, la capitalización de la referida Cooperativa.
Para las familias que integran la Cooperativa Unión El Nuevo Amanecer, el retorno significó cambios importantes como regresar a la Patria que les pertenece y la esperanza de encontrar un lugar en el que físicamente puedan desarrollar diversas posibilidades y alternativas de producción, principalmente de granos básicos (maíz y frijol). Por diversas razones no fueron técnicamente bien asesorados respecto a la vocación productiva de los suelos, lo que implicó pérdida de recursos y, sobre todo, la esperanza de poder vivir como lo esperaban.
Durante los primeros seis meses en el lugar, las familias contaron con asistencia alimenticia por parte del Programa Mundial de Alimentos (PMA), la que al haber cesado, significó para algunas familias la imposibilidad de poder continuar con el programa de retorno. De ahí que hasta noviembre de 1995, hablan decidido retirarse voluntariamente de la Cooperativa 20 familias para regresar a México. Cada socio (a) de la Cooperativa tiene actualmente una deuda estimada en Q 35,000.00 que son anualidades vencidas y no pagadas de la compra de la tierra (4 fincas que anteriormente pertenecieron al General Romeo Lucas García), la construcción de la clínica, el salón comunal y la compra de un camión.
Entre los hombres existen muchos comentarios y expectativas sobre diversos cultivos, los más importantes según los pobladores de Fray Bartolomé de las Casas son: ajonjolí, piña, achiote y hortalizas Sin embargo, ninguno tiene experiencia sobre los ciclos de los cultivos y el comportamiento del mercado
La organización se describe a continuación:
ASAMBLEA GENERAL
COOPERATIVA NUEVA AMANECER
JUNTA DIRECTIVA
Reuniones con sectores (mujeres Mamá Maquin jóvenes, derechos humanos, comisiones permanentes pro-mejoramiento, educación, salud, etc.)
Reuniones de comités (hule, transporte, barrios, carnicería, agua, tienda, nutrición, etc.)
Reuniones con representantes de barrios (4)
Reuniones con representantes del grupo Mamá Maquin
Cada grupo organizó una presentación de los resultados herramienta por herramienta, logrando una comparación entre los resultados del grupo de hombres y de mujeres. Durante la presentación se notaron varias diferencias de las cuales las más significativas son las siguientes.
Figura

Mapa de la Comunidad
Conocimiento de las cuatro fincas
En el mapa hecho por los hombres, aparece el vivero de hule, el cableado de la energía eléctrica que atraviesa la comunidad de La Nueva Libertad y el campo militar. Mientras que en el mapa de las mujeres aparecen los trabajaderos, el pozo de agua y los linderos. Las mujeres solamente prepararon un mapa, que refiere al área más conocida por ellas, es decir la finca San Fernando, entendiendo ésta como el centro urbano de la comunidad. Cabe señalar que la mayoría de ellas no conocen las otras fincas.
Los hombres, a diferencia de las mujeres, tienen mayor conocimiento de las otras tres fincas; La Caoba, El Malcotal y Thuila, todas bajo propiedad y administración de la Cooperativa El Nuevo Amanecer. Los hombres, además, hicieron un mapa de uno de los trabajaderos (9 cuerdas) en el cual se pudo observar que más les interesa los cultivos siguientes: arroz, ajonjolí, naranjal huerta, maíz, coco, yuca, camote, manía, chile, rosa jamaica, malanga, sandía, piña, hule, achiote, cañal y frijol.
Las mujeres mencionaron entre los más importantes, cultivo de maíz, frijol y manía, en los que de vez en cuando apoyan a su esposo en las tareas de campo.
Mapa de la comunidad y las aldeas vecinas
En base a los mapas de la comunidad, se discutió entre hombres y mujeres, la relación con las aldeas vecinas. Aparentemente parte de las fincas son utilizadas por familias de otras aldeas, pues de ellas sólo algunas, piden permiso para sacar corozo y madera. En la época que fue propietario de esta fincas Romeo Lucas García, por comentario de los vecinos, se sabe que fue él quien dio permiso a los campesinos para beneficiarse de algunos productos de las referidas fincas, en la mayoría de casos significó el pago de servicios prestados al propietario. Los primeros habitantes del área son K'ekchi, por lo que la mayoría no habla o habla poco castellano. Las marcadas diferencias en cultura y problemas de lengua limitan la comunicación entre los retornados y los campesinos que tienen años de habitar en las aldeas vecinas.
Reloj de 24 horas
La presentación del reloj de 24 horas, provocó risa entre los participantes el momento en que uno de los hombres presento el reloj e indicó que ellos se levantaban a las 03 horas. Al momento se dieron, entre las mujeres, comentarios fuertes por la mentira que se estaba diciendo, por lo que el señor confesó que se refería a la hora en que se levantaban las mujeres. Esta broma rompió el hielo y facilitó otras comparaciones entre la realidad y las necesidades de hombres y mujeres.
Diagrama Institucional
En cuanto al diagrama institucional se notó que las mujeres incluyeron a OTARDE, una ONG de la iglesia, que da apoyo en capacitación; y por su parte los hombres mencionaron al FONAPAZ e INACOP, ya que son ellos quienes se ocupan de la parte financiera del crédito.
En base del diagrama institucional se discutió el problema en la organización comunal que es la falta de comunicación y coordinación entre los habitantes y representantes de sectores, comités de trabajo y la Junta Directiva. Además, es importante señalar que a la fecha del diagnóstico, con excepción del Comité de Nutrición y el Grupo Mama Maquin, todos los comités están integrados por hombres.
(Nota: el 25 de noviembre 1995, fue electo la nueva Junta Directiva que esta integrada por 4 hombres y 1 mujer).
Calendario de actividades
En cuanto al calendario de actividades, se nota claramente que las mujeres no conocen bien el trabajo agrícola, que en la mayoría de los casos el trabajo sólo pertenece a los hombres. También indicaron que entre los esposos hay poca comunicación respecto a las actividades diarias, en el campo productivo agrícola.
Identificación del problema
El problema más grande es la baja productividad agrícola y la falta de otras fuentes de trabajo e ingresos. Existe alto interés por parte de todos y todas las participantes en crear fuentes de trabajo a través de actividades forestales; en realidad el proyecto forestal es por ahora su única esperanza para poder seguir viviendo en la comunidad. También hubo acuerdo sobre que los socios y socias deben tener los mismos derechos en el proyecto forestal con el entendimiento que las mujeres necesitarían tareas más cercanas a la casa para evitar conflictos en sus actividades reproductivas.
Con relación a la formulación del proyecto se identificaron las siguientes necesidades de capacitación:
CAPACITACION HOMBRES |
CAPACITACION MUJERES |
Reforestación |
Reforestación |
Manejo forestal |
Manejo forestal |
Administración de pequeñas empresas |
Administración de pequeñas sempresas |
Cooperativismo |
Responsabilidades de Junta Directiva |
Manejo de producción de hule |
Manejo de una guardería |
Producción agropecuaria |
|
Uso sostenible y conservación de suelos |
|
Mercadeo y comercialización |
|
Planificación familiar |
En relación a la formulación del proyecto los hombres y las mujeres coincidieron en la identificación de temas de capacitación como son reforestación, manejo de bosques, administración de pequeñas empresas y cooperativismo/ responsabilidades de Junta Directiva. Los hombres además identificaron manejo de hule, producción agropecuaria, uso sostenible de los suelos y mercadeo como temas de su interés. Las mujeres identificaron manejar una guardería como un tema adicional.
De la comparación y análisis de todas las herramientas se puede concluir que los resultados del diagnóstico de las mujeres y los hombres es complementario y que cada uno contribuye desde su perspectiva, interés y realidad en la organización genérica, de la Cooperativa El Nuevo Amanecer. El diagnóstico sirvió para crear más espacios de participación y aportes valiosos del grupo de señoras, para lograr un mejor entendimiento entre hombres y mujeres respecto a la situación y expectativas de cada uno y para recolectar la información socio-económica necesaria para la formulación del proyecto agroforestal.
El Proyecto Desarrollo Agroforestal en las fincas de la Cooperativa El Nuevo Amanecer, R.L.6 es una alternativa técnica, financiera y económicamente viable para el fortalecimiento de la misma Cooperativa, de sus miembros y familias, y para el manejo adecuado de los recursos naturales con que disponen.
6 El Diagnostico Rural Participativo y Análisis de Género es parte integral del documento de proyecto.
Figura

El Area del Proyecto está localizada en las Fincas: San Fernando, Tuilá, El Malcotal y La Caoba, ubicadas en jurisdicción del municipio de Fray Bartolomé de las Casas del departamento de Alta Verapaz.
Los miembros de la Cooperativa forman parte del proceso de retorno de refugiados, los cuales se asentaron en el casco de la Finca San Fernando, finales de 1994, donde fundaron una comunidad constituída por 306 familias y que denominaron Nueva Libertad.
Por falta de conocimiento de la capacidad productiva de los terrenos y de los tipos de cultivos aptos para la región, los nuevos pobladores han confrontado diversos problemas, obligando a algunas familias a regresar a México o a sus lugares de orígen.
Ante esta situación y como resultado del proceso participativo de la propia comunidad y de técnicos del Proyecto Apoyo a la Dirección y Coordinación del Plan de Acción Forestal para Guatemala, se analizaron las condiciones ecológicas de la zona y la capacidad productiva de los terrenos, definiéndose las actividades forestales y agroforestales que constituyen la base productiva de este proyecto:
Ampliación del área plantada de hule (Hevea brasiliensis): de 14 ha actuales a 329 ha en la Finca El Malcotal, en un período de 5 años;
Plantación forestal de pino caribe (Pinus caribaea): 225 ha en la Finca El Malcotal, en un periodo de 3 años;
Plantación forestal de teca (Tectona grandis): 20 ha en la Finca La Caoba, a nivel de un programa de investigación aplicada.
Figura

Para la ejecución del Proyecto se deberá contar con el apoyo técnico-financiero para: el fortalecimiento institucional de la propia Cooperativa, asistencia técnica y capacitación de las y los miembros de ella, asistencia financiera y crediticia para el establecimiento y mantenimiento de las plantaciones propuestas, seguimiento y evaluación de las actividades a realizar.
El apoyo técnico-financiero para la implementación del proyecto se estima proporcionarlo durante los primeros 7 años. Este periodo se considera adecuado para establecer las bases técnicas, administrativas y financieras de la propia Cooperativa para hacerse cargo del proyecto.
Para la administración del proyecto se propone la creación de una Unidad Ejecutora con el apoyo técnico de un Comité Asesor. El Comite Asesor estará integrado por las instituciones gubernamentales y no gubernamentales que trabajan en el área y que están relacionadas con la materia. La Unidad Ejecutora es la Cooperativa fortalecida con departamentos técnico-administrativos integrados por las y los propios miembros con asesoría de técnicos contratados para el efecto.
El costo total del proyecto para el periodo de implementación (7 años) se estima en Q.6,585.0 miles, de los cuales se requiere de financiamiento crediticio de Q.3,000.0 miles (45.5%) para cubrir los costos de establecimiento y mantenimiento de las plantaciones de hule y pino; financiamiento no reembolsable de Q.1,150.0 miles (17.5%) para el apoyo técnico-financiero del fortalecimiento institucional de la Cooperativa, asistencia técnica y capacitación de los miembros, seguimiento y evaluación del proyecto, y establecimiento de un programa de investigación aplicada en teca. Las y los beneficiarios del proyecto aportarán un monto de Q.21435.0 miles (37%) como valor de los terrenos para las plantaciones de hule, pino y teca.
MAPA ACTUAL
Finca "Caoba", Fray Bartolome de Las Casas, Alta Verapaz
Elaborado por Hombres
Figura

Finca "San Fernando, Fray Bartolome de Las Casas, Alta Verapaz,
Elaborado por Hombres
Figura

Finca "Malcotal", Fray Bartolome de Las Casas, Alta Verapaz,
Elaborado por Hombros
Figura

Finca "Tuila", Fray Bartolome de Las Casas, Alta Verapaz,
Elaborado por Hombres
Figura

Finca "San Fernando", Fray Bartolome de Las Casas, Alta Verapaz,
Elaborado por Mujeres
Figura

MAPA DE CULTIVOS EN ESTUDIO
Fray Bartolome de Las Casas, Alta Verapaz,
Elaborado por Hombres
Figura

HISTORIA
Fray Bartolome de Las Casas, Alta Verapaz,
Elaborado por Hombres
Figura

Fray Bartolome de Las Casas, Alta Verapaz,
Elaborado por Mujeres
Figura

DIAGRAMA INSTITUCIONAL
Fray Bartolome de Las Casas, Alta Verapaz,
Elaborado por Hombres
Figura

Fray Bartolome de Las Casas, Alta Verapaz,
Elaborado por Mujeres
Figura

RELOJ 24 HORAS
Fray Bartolome de Las Casas, Alta Verapaz,
Elaborado por Hombres
Figura

Fray Bartolome de Las Casas, Alta Verapaz,
Elaborado por Mujeres
Figura

CALENDARIO DE ACTIVIDADES
Fray Bartolome de Las Casas, Alta Verapaz,
Elaborado por Hombres
MESES |
ACTIVIDADES |
ENERO |
Limpia de milpa - cosecha frijol Asamblea Mantenimiento de semilleros Preparación de potrero Limpia de linderos |
FEBRERO |
Cosecha de maíz Rondas Preparación de potreros |
MARZO |
Cosecha de maíz |
ABRIL |
Preparación de terreno para siembra milpa Preparación de terreno para siembra de hule |
MAYO |
Siembra |
JUNIO |
Limpia |
JULIO |
Limpia nueva plantación hule |
AGOSTO |
Chapeo potrero |
SEPTIEMBRE |
Reforestación |
OCTUBRE |
Doblar milpa |
NOVIEMBRE |
Reforestación - Aniversario |
DICIEMBRE |
Fray Bartolome de Las Casas, Alta Verapaz,
Elaborado por Mujeres
Figura

VISION DE DESARROLLO
Fray Bartolome de Las Casas, Alta Verapaz,
Elaborado por Mujeres
Figura

Las notas de capacitación de este estudio de caso consisten en las cinco matrices del Análisis de Género llenadas con información de las herramientas del DRP que se presentarán en seguida. Al usar este estudio de caso como material didáctico es importante para el/la capacitador/a tomar en cuenta que las matrices presentadas son sólo ejemplos, no necesariamente deben considerarse como que son la única respuesta posible.
Se invita a los/las capacitadores a revisar bien las notas de capacitación que acompañan los Módulos B y C respectivamente.
Objetivos |
|
Identificar qué información desagregada por género se puede recolectar con las herramientas del DRP. Aprender a analizar las herramientas del DRP y la información en cuanto a la organización genérica de una comunidad. Aprender el uso de las Matrices del Análisis de Género para organizar y sistematizar la información. |
Actividades |
|
El/la capacitador/a introduce el estudio de caso. Los/las participantes leen el estudio de caso (pero no las Matrices). En grupos analizan las herramientas del DRP y llenan las Matrices del Análisis de Género. |
Concéntrese en |
|
¿Qué información se puede recoger de las herramientas y cómo la podemos interpretar? Usar la información del estudio de caso y las herramientas; no suponer; si falta información anotarla. |
¡Ponga Atención! |
|
El análisis de los estudiantes es un trabajo hipotético porque no han estado presentes durante la implementación del DRP: mucha información secundaria en forma de diálogo, reacción de los y las participantes solamente la saben los facilitadores del DRP. Por lo tanto, faltará información para hacer un análisis completo; sin embargo, como ejercicio en un curso de capacitación sigue siendo valioso. |
Figura 1

Figura 2

Figura 3

Figura 4

Figura 5

Elaborado por Juana Chonay y Mariano Tzay, personal técnico de ADECOGUA, Chimaltenango.
El Proyecto apoyo a la Dirección y Coordinación del Plan de Acción Forestal para Guatemala (GCP/GUA/007/NET) y la Asociación para el Desarrollo de la Comunidad Guatemalteca (ADECOGUA), se complacen en presentar el primer producto del trabajo participativo, realizado por representantes de la comunidad de La Cumbre, localizada en el municipio de Tecpán, Guatemala, en el departamento de Chimaltenango.
En el marco del programa de cooperación y asistencia técnica del Plan de Acción Forestal para Guatemala, ADECOGUA designó a dos representantes para participar en el curso de Capacitación de Capacitadores en Análisis de Género y Desarrollo Forestal, realizado en marzo/mayo de 1996. Tras haber concluido las tres diferentes fases de la referida capacitación, la institución comprometida en aplicar los conocimientos, envió al personal técnico a programar el trabajo de campo.
Convencidos de la importancia y ya capacitados en la metodología del Diagnóstico Rural participativo con Análisis de Género, se procedió a la realización del referido diagnóstico en cada comunidad mencionada. Entre los aspectos relevantes del trabajo realizado destacan la amplia participación de hombres y mujeres, que discuten y analizan la problemática comunal, en función de las necesidades de hombres y de mujeres.
Al haber concluido la realización del trabajo de campo nos complace presentar los resultados, que reflejan la realidad y organización genérica actual de las comunidades, sus problemas, necesidades y esperanzas. También dan cuenta del interés de participar activamente en el desarrollo forestal comunal y el manejo de los recursos naturales en general, creando de esta manera las bases para lograr el desarrollo sostenible con equidad.
Finalmente, nos queda agradecer a los hombres y las mujeres de las comunidades que con esfuerzo, motivados por el deseo de mejorar las actuales condiciones de vida, vinieron, participaron y regresaron a su comunidad en la confianza de que son capaces de cambiar la situación actual.
La Asociación para el Desarrollo de la Comunidad Guatemalteca ADECOGUA realizó una serie de Diagnósticos Rurales Participativos y Análisis de Género, con el método y las herramientas propuestas por el Plan de Acción Forestal para Guatemala (PAFG) y el Programa de Bosques, Arboles y Comunidades Rurales (FTPP) de la FAO Dicho método lleva a definir futuros proyectos de infraestructura social y productiva con hombres y mujeres con equidad en las comunidades en el área de acción de ADECOGUA.
La experiencia del Plan de Acción Forestal para Guatemala y el Programa de Bosques, Arboles y Comunidades (FTPP) de la FAO, muestra que la metodología tiene vigencia y puede constituir una alternativa, que abre espacios para desarrollar proyectos basados en la participación de hombres y mujeres, para que respondan a las necesidades más sentidas, además de motivarlos en el manejo sostenible de los recursos forestales
Además, la Asociación para el Desarrollo de la Comunidad Guatemalteca (ADECOGUA), en coordinación con el Plan de Acción forestal para Guatemala (PAFG), establecieron mecanismos y condiciones, mediante los cuales se pudo concretar la capacitación teórico-práctica, dirigida a los estudiantes nacionales y extranjeros del Curso Centroamericano de Forestería Comunitaria, que se ejecutó en Guatemala como parte del programa de actividades en el Area de Medio Ambiente y Desarrollo de la Facultad Latinoamericana de Ciencias Sociales (FLACSO).
De acuerdo al programa general del curso, al equipo de Género y Desarrollo Forestal del PAFG le tocó impartir, durante una semana, los aspectos teóricos y una práctica de campo, referida a la metodología del Diagnóstico Rural Participativo (DRP) y Análisis de Género, con el propósito de presentar al grupo de estudiantes la metodología que se basa en la aplicación de herramientas que son desarrolladas por un grupo de hombres y mujeres en representación de la comunidad
A partir de 1989 un grupo de entusiastas vecinos de la comunidad de Paraxiquin, de Tecpán Guatemala, motivados por el deseo de iniciar un trabajo organizado en base a su experiencia cooperativa, detectaron la posibilidad de formar y organizar un grupo campesino representativo de las aldeas de Tecpán Guatemala, para dar respuesta a los problemas productivos, sociales y económicos y encontrarle colectivamente salida a la crisis económica generalizada en la zona.
Figura

En 1989, 52 hombres Kaqchikeles de las Aldeas Paraxiquin, Pachichiac y Pamezul, inician gestiones para crear una instancia que pudiera dar cabida a los intereses socio-económicos de los diferentes grupos y operar en el marco de las leyes del Estado guatemalteco.
Los primeros trámites fueron realizadas ante el Ministerio de Gobernación. Una vez cumplidos todos los requisitos establecidos, el referido Ministerio mediante el decreto 4191, en mayo de 1991, aprobó el funcionamiento de la institución, quedando oficialmente registrada con el nombre de Asociación para el Desarrollo de la Comunidad Guatemalteca, la que se podrá abreviar con las siglas de ADECOGUA.
Convocados los miembros de la Asamblea General; procedieron a la preparación de planes de trabajo y reglamentos, para responder a la demanda de apoyo organizativo y técnico en la producción agropecuaria a nivel de las comunidades rurales. Durante la primera etapa, mucho tiempo se dedicó al análisis de la situación socio-económica y la participación comunal basada en la necesidad de mejorar el nivel de vida, a partir de acciones en las áreas de trabajo siguientes:
a) Cultura Maya
b) Salud y Nutrición
c) Agricultura Orgánica
d) Ecología y Medio ambiente
La realización de diversas actividades de capacitación, permitieron, en un principio, fortalecer la organización comunitaria, mediante la aplicación de conocimientos en el campo; por ejemplo, el uso de abonos verdes y abonos orgánicos, que sugiere en los campesinos la posibilidad de mejorar sustancialmente la calidad de la producción agropecuaria
Estructura institucional de ADECOGUA:
a ASAMBLEA GENERAL, es la máxima autoridad de la Asociación y se integra con todos los asociado/as activos.
b JUNTA DIRECTIVA, es el órgano ejecutor y J administrador de la Asociación, que se integra con un Presidente, Vice-presidente, Secretario, Tesorero y tres vocales.
c EL PERSONAL TECNICO Y ADMINISTRATIVO se integra con un Director ejecutivo, Secretaria general, Coordinador de capacitación, Coordinador de producción, Coordinador de comercialización, Coordinadora participación femenil, Coordinador de contabilidad y finanzas.
El área de trabajo de la Asociación se localiza al norte del municipio de Tecpán Guatemala y una aldea de Santa Apolonia, Chimaltenango. En su mayoría los habitantes son de ascendencia maya, de la étnia kaqchikel, localizados geográficamente en las aldeas siguientes:
a) La Cumbre
b) Pachichiac
c) Paraxiquín
d) Caserío Chicapir
e) Pacacay
f) Parajbey (de Santa Apolonia)
En 1992, ADECOGUA, en coordinación con el Plan de Acción Forestal para Guatemala, desarrolló un diagnóstico forestal del área que incluyó la aldea de Pachichiac, Tecpán Guatemala, en la que se detectó la necesidad de iniciar un proceso participativo en la comunidad, en cuanto al manejo productivo de las áreas que aún cuentan con bosque y un proceso de reforestación en las áreas de vocación forestal y que presentan un estado de abandono.
Además, dadas las condiciones de producción en la zona, se pretende el desarrollo de un programa agroforestal, relacionado principalmente con el cultivo de mora silvestre y bosques de pino.
A fin de lograr la incorporación de las organizaciones rurales en el manejo de los recursos forestales, ADECOGUA está gestionando, ante diversas fuentes de apoyo técnico y financiero, la aprobación de proyectos que buscan mejorar las condiciones de los suelos productivos/agrícolas, las áreas forestales, los manantiales y, en general, todos los recursos naturales propios de la zona.
A nivel de ADECOGUA
Animar la participación de hombres y mujeres respecto al análisis de problemas comunes y propuestas de solución en función de optimizar el adecuado uso de los recursos con que cuenta la comunidad y canalizar el apoyo técnico de ADECOGUA y otras organizaciones de desarrollo que operan en la comunidad.
Figura

Fortalecer, a través de actividades y reuniones concretas, la organización de la comunidad y su capacidad de análisis y gestión de apoyo institucional
A nivel de la comunidad
Realizar el Diagnóstico Rural Participativo y Análisis de Género en las comunidades atendidas por ADECOGUA, para que al final del trabajo, quienes participaron, puedan tener una visión de conjunto sobre la situación socioeconómica, cultural y de recursos naturales con énfasis en los bosques, para más adelante emprender acciones encaminadas al manejo de estos recursos naturales y el bienestar y armonía de los habitantes de las comunidades.
Figura

A nivel del curso centroamericano de forestería comunitaria
Brindar la oportunidad al grupo de estudiantes del curso centroamericano de Forestería Comunitaria, de compartir la realidad comunitaria de dos comunidades: Pachichiac y Chicapir, para que con propiedad, los estudiantes puedan dominar conceptos y metodologías de las ciencias forestales y sociales.
Figura

Socializar entre el grupo de estudiantes la metodología del Diagnóstico Rural Participativo (DRP) y Análisis de Género. teniendo en cuenta la experiencia y el nivel profesional de los participantes.
a Los facilitadores de ADECOGUA participaron en un curso/ taller teórico/práctico de Capacitación de Capacitadores en Diagnostico Rural Participativo y Análisis de Género en el Desarrollo Forestal, impartido por el Plan de Acción Forestal para Guatemala en enero y mayo del año de 1996.
b De acuerdo al programa de trabajo del curso J Centroamericano en Forestería Comunitaria, en junio 1996, se impartió una semana de clases referidas al Análisis de Género, de las cuales dos días se dedicaron a la capacitación teórica de los estudiantes (23 en total). Al final del segundo día se contó con la participación de Juana Chonay, coordinadora del área femenil del equipo de ADECOGUA, quien se encargó de orientar a los estudiantes del curso sobre aspectos socioeconómicos, productivos, étnicos y culturales de las aldeas Pachichiac y Chicapir.
Se dio amplia información sobre formas de desarrollar el DRP en sesiones teóricas y grupos de trabajo para el análisis de un estudio de caso. Se distribuyó a los estudiantes material didáctico preparado por el PAFG en relación al concepto de género, el Análisis de Género y el Diagnostico Rural Participativo.
Convencidos de la importancia de contar con un Diagnóstico Rural Participativo con enfoque de género para cada una de las comunidades atendidas por la Asociación como base de una planificación participativa, la Unidad Ejecutiva encargó a dos de sus coordinadores realizar dichos diagnósticos.
Para la práctica del curso de Capacitación de Capacitadores, se seleccionó la comunidad Parajbey por haber mostrado un amplio interés en fortalecer la colaboración y coordinación con ADECOGUA y el entusiasmo con el cual se realizaron otras actividades anteriores.
Para la práctica del curso de Forestería Comunitaria fueron seleccionadas dos comunidades: Pachichiac y Chicapir porque el grupo de estudiantes era demasiado grande para atender a una sola comunidad. A cada estudiante le tocó facilitar una herramienta del DRP con el grupo de hombres o con el grupo de mujeres.
El acercamiento a la comunidad, tarea previa, fue realizada por Juana Chonay y Mariano Tzay, actuando como facilitadores de ADECOGUA.
A lo largo del trabajo de desarrollo realizado en la comunidad, ADECOGUA ha podido identificar líderes (hombres y mujeres) que, identificados por su convicción en el trabajo comunitario y el interés por canalizar el apoyo técnico, organizativo y financiero, mantienen una estrecha relación con la institución. Además, las organizaciones locales en ambas comunidades forman parte de la Asamblea General de ADECOGUA.
Figura

Como se acordó con las comunidades, se envió la convocatoria por escrito dirigida a los líderes de las comunidades. La convocatoria incluyó información amplia sobre la importancia de la participación de hombres y mujeres, la razón de ser del Diagnóstico Rural Participativo, el apoyo técnico del PAFG y la participación de los estudiantes del Curso Centroamericano de Forestería Comunitaria coordinado por la FLACSO.
En reuniones realizadas como parte del programa de apoyo institucional, se dio una amplia explicación en Kaqchikel tanto a hombres como mujeres, sobre el trabajo que ADECOGUA tenía previsto realizar con el apoyo técnico del PAFG, referido al Diagnóstico Rural Participativo.
A los asociados de ADECOGUA se les pidió facilitar la participación de las mujeres (esposas), anotando el objetivo de la reunión de trabajo y exhortando a todos en la búsqueda de mejores condiciones de vida, en base a la importancia de la participación de hombres y mujeres.
A fin de facilitar y asegurar la participación sobre todo de las mujeres, se informó que al segundo día de trabajo se invitó al almuerzo a todas las personas participantes.
El DRP como metodología, facilita el proceso de participación de hombres y mujeres en el cual ambos tienen la oportunidad de identificar, valorar y ajustar el trabajo comunitario y futuros proyectos en función de sus verdaderas necesidades. Contribuye a que los proyectos y la asistencia técnica de ADECOGUA se base en un conocimiento objetivo por parte de hombres y mujeres de la comunidad y en la realidad de la organización genérica, la cual es específica para cada comunidad.
Herramientas utilizadas
1) Mapa actual y Mapa futuro de la comunidad
Se utiliza porque da una visión práctica y de fácil comprensión de la comunidad, lo que ahora tienen y lo que desean tener en el futuro, distinguiendo acciones de corto, mediano y largo plazos (reflejadas en problemas y necesidades).
2) Historia de la Comunidad
Revela, en base al conocimiento de las personas, como era antes la comunidad, con qué recursos e infraestructura contaba, comparándola con lo que actualmente tienen. Con esta herramienta podrán identificar si han mejorado o empeorado las condiciones o si se han estancado en el desarrollo de la comunidad, pudiendo conocer las causas y efectos de las mismas.
3) Diagrama institucional
Permite conocer las instituciones/organizaciones gubernamentales y no gubernamentales, comités locales que trabajan para la comunidad, en diferentes programas o proyectos de desarrollo.
4) Reloj de 24 horas
Con la preparación de esta herramienta, los participantes en cada grupo lentamente se van dando cuenta de cómo es que utilizan el tiempo en las actividades productivas, reproductivas y de gestión comunitaria, además de facilitar la diferencia entre el uso del tiempo de los hombres y el de las mujeres.
5) Calendario anual de actividades
Proporciona información sobre las actividades que realizan, hombres y mujeres de día/noche y así durante los meses del año (de enero a diciembre), distinguiendo épocas de mayor carga de trabajo o de holgura.
Al iniciar la actividad en cada comunidad, se hizo una presentación e indicación de las actividades que se venían a realizar, qué es y para que sirve el diagnóstico y por qué es importante la separación en grupos de hombres y mujeres Se uso tanto el idioma kaqchikel como el español.
En cada comunidad, los facilitadores dieron una explicación de cada una de las herramientas utilizadas: el porqué de su utilización y la importancia de la información que las mismas proporcionan.
Durante un proceso participativo, cada grupo (hombres y mujeres) se encargó de dibujar y elaborar las referidas herramientas; cuando se presentaron dificultades en el proceso, contaron con el apoyo puntual del facilitador, dando la orientación necesaria.
Cada diagnóstico se finalizó con una plenaria, en la cual ambos grupos presentaron los resultados y discutieron diferencias y similitudes entre el trabajo de los hombres y de las mujeres, iniciando así un proceso de reflexión sobre los aspectos genéricos en la comunidad y su implicación para actividades de desarrollo rural.
El 9 de abril de 1996, a las 10:00 a.m., se inició el Diagnóstico Rural Participativo para culminar a las 2:35 pm. Participaron 12 hombres y 8 mujeres en la elaboración del mapa actual, mapa futuro, calendario de actividades, reloj de 24 horas, diagrama institucional y la historia de la comunidad. La plenaria se realizó el día 10 de abril, comparando los trabajos de ambos (hombres y mujeres), identificando las diferencias y similitudes y pasando algunos videos a los participantes culminando a las 3:00 pm.
Dista aproximadamente 108 kms. de la ciudad capital y se localiza en el norte de Tecpán Guatemala, departamento de Chimaltenango; la distancia entre la cabecera departamental y la comunidad se estima en 75 kms, de la cual se consideran 17 kms. de terracería que comprenden la entrada a la comunidad.
La comunidad de la Aldea La Cumbre se ubica en el norte del municipio de Tecpán Guatemala y limita al norte con Pamezul, al sur con Paquip, al este con Pachichiac y al oeste con la aldea Xecoxol.
La comunidad se fundó en el año 1,973, por cuatro familias: de apellidos Salvador, Mejía, Quino y Ajquiy. La comunidad se localiza en la parte alta de la montaña, por lo que se le denomina LA CUMBRE.
Actualmente habitan en ella 80 familias de diferentes aldeas vecinas: Paquip, Pachichiac, Paraxiquin y otras aldeas que se establecieron en la misma por las ventajas que brinda esta comunidad, siendo una de éstas la más cercana y con facilidad de acceso, dando un total aproximado de 500 habitantes, entre hombres, mujeres y niños. Su idioma oficial es el kaqchikel y como secundario el español, también se estima que hablan en un 60% el idioma Quiche.
Su actividad principal es la agricultura, en la que sobresale la producción de maíz y frijol, utilizada para el consumo diario; la mora y las habas les brinda un mínimo de ingreso monetario alterno.
De acuerdo a las preguntas planteadas a los participantes, indicaron que la tierra es privada; es decir, que la controla y maneja la familia a quién pertenece la tierra y el bosque; por lo tanto, no existen bosques ni suelos comunales y/o municipales.
Durante el terremoto de 1976,10 habitantes perdieron la vida y 30 quedaron heridos. La caída de hielo en 1990 causó la perdida de casi toda la vegetación y, por ende, aumentó la pobreza. No padeciendo de hambre ya que gracias a Dios el maíz estaba por cosecharse.
La aldea cuenta con una carretera, una escuela y con agua entubada (manifiestan que la misma es escasa) como infraestructura básica. Además, cuentan con los siguientes servicios: transportes Pérez, que van a otras aldeas y que la ruta pasa en esta aldea facilitando la entrada y salida de los mismos; educación primaria (primero a sexto grado).
En cuanto a instituciones externas, prestan apoyo CARE/Micuenca/DIGESA, ADECOGUA, y FONAPAZ. Las instituciones que ya se retiraron son Visión Mundial, Usea, Amadigua, Agriplan y la FAO.
El hombre es el encargado de generar el ingreso para la subsistencia de la familia' mediante las actividades productivas que realiza, entre las que se cuentan el cultivo de bróculi, habas, maíz, frijol, güicoy, ciruela, mora y durazno. Entre los cultivos que más generan ingreso están las habas y el bróculi; en cuanto a las frutas sobresale la venta de mora. Algunos venden los granos básicos en pequeñas cantidades, ya que en su mayoría son utilizados para el consumo familiar.
La comercialización de los diferentes productos la realizan por medio de intermediarios; en algunas ocasiones, los mismos productores se encargan de la venta.
5.3.1 Trabajo de hombres
Historia de la comunidad
Esta herramienta se llevó a cabo entre ambos (hombres y mujeres a petición de los mismos porque pensaron que así seria más completa), mencionan que la comunidad se fundó con cuatro familias de apellidos Salvador, Mejía Tecún, Quino y Ajquiy en 1973 y que a la comunidad llegaron a vivir otras familias de las aldeas vecinas. En el transcurso de los años han pasado desastres y, a pesar de todo, la comunidad se ha desarrollado. Actualmente cuentan con la escuela de educación primaria, camino y transporte. En cuanto a salud, las iglesias que tienen presencia en la aldea han colaborado para tratar de solucionar las emergencias que se presentan.
Mapa actual
En dicha herramienta dan prioridad a los bosques, montañas, los limites o sus colindancias, las corrientes de agua y tierras destinadas para el cultivo, identificando las viviendas con cuadritos, las iglesias y algunos otros servicios con que cuentan.
Calendario de actividades
Los hombres en esta herramienta enfocan sus actividades, las cuales están más concentradas en el campo productivo, lo cual se refiere sobre todo a la agricultura (siembra y todo el proceso que llevan los cultivos hasta la cosecha).
Diagrama institucional
Ellos identifican las ONG's y OG's, instituciones que trabajaron y de algunos que aún se encuentran trabajando en la aldea. En total identificaron 8 organizaciones entre existentes y las que se han retirado.
Reloj de 24 horas
Ellos hicieron dos relojes, de los cuales uno corresponde a las actividades del día que se inicia a partir de las seis de la mañana hasta las cuatro de la tarde y corresponde al trabajo de campo; y el otro reloj, se refiere a las actividades después de llegar del campo, iniciando a las cinco de la tarde, hasta las nueve de la noche; periodo en el cual la actividad principal es participar en reuniones y coser ropa a máquina.
Mapa futuro
Realizan el mapa futuro mencionando lo que desean tener en el futuro, cómo quieren ver ellos su comunidad en los años siguientes y reflejan las necesidades o problemas que actualmente les afecta. Indican, entre otras, la necesidad de tener bosques y un puesto de salud.
5.3.2 Trabajo de mujeres
Mapa actual
Ellas indican la localización de las viviendas, los servicios con que cuentan y el cultivo de habas, dicho producto es importante porque es un recurso para la alimentación de la familia y con el exedente les permite generar ingresos. También mencionan la carretera, que es un medio por el cual pueden ir al mercado. En cuanto a los recursos naturales indican corriente de agua, es decir, los nacimientos y árboles.
Calendario de actividades
Ellas indican sus actividades domésticas (rol reproductivo) todos los días del año, así como sus actividades de campo con relación a la siembra y cosecha de los cultivos, que esto es por épocas y algunas que se dedican a las actividades agropecuarias.
Diagrama institucional
Realizaron esta herramienta identificando únicamente tres instituciones no gubernamentales, ya que ellas manifestaron desconocer la existencia de otras instituciones que trabajan en la comunidad. Esto se da porque casi no participan y por lo mismo no podían mencionar ni tener conocimiento de otras.
Reloj de 24 horas
Las mujeres realizaron dos relojes: uno de actividades de casa y otro de campo. Su actividad en la casa se enfoca más en los trabajos domésticos y tejidos la cual inicia de cinco de la mañana a ocho de la noche; en el campo según la época si es de siembra o cosecha de cultivo, su actividad inicia más de madrugada y de acuerdo a la distancia que hay entre la vivienda y la parcela. Al llegar a la casa continúan con sus trabajos domésticos pendientes.
Mapa futuro
Lo realizaron en forma de listado de necesidades, lo que ellas desean tener en el futuro. Mencionan entre otros agua potable, molino de nixtamal, tiendas, y energía eléctrica.
5.3.3 Diferencias y similitudes entre trabajo de hombres y mujeres
Historia de la comunidad
Hombres y mujeres realizaron dicha herramienta juntos por lo mismo no hay diferencias.
Mapa actual
Los hombres identifican más los bosques, limites/ aldeas vecinas a la comunidad. Con relación a las frutas indican la mora, no así las mujeres que enfocan la carretera/camino y el cultivo de habas lo cual los hombres no lo dibujaron, quizá esto sea por el interés que cada uno tiene por las cosas y las responsabilidades de cada uno que son diferentes.
Reloj de 24 horas
Las mujeres, por lo general, son las que inician sus actividades antes que el hombre ya que tienen a su cargo preparar los alimentos, entre otras. El hombre inicia una hora después, dependiendo de la necesidad que tenga en sus actividades. Los hombres tienen reuniones en comités, las mujeres en cambio no las tienen. Las actividades reproductivas limitan su participación en comités, pero también es otra cuestión de género, es decir el hombre como jefe de familia toma las decisiones
Diagrama institucional
Los hombres indican más instituciones, esto es muy normal ya que la mujer casi no tiene participación y por lo mismo desconoce las organizaciones que trabajan en su comunidad. Esto es común en otras comunidades, en donde se realizaron los DRPs ya que siempre los hombres son los que están más enterados de las instituciones o comités locales.
Calendario de actividades
El hombre enfoca más sus actividades de campo no así las mujeres que realizan doble actividad: en casa y en ocasiones en la siembra o cosecha en el campo.
Mapa futuro
En esta herramienta ambos indican sus necesidades de acuerdo con sus intereses aunque en la plenaria hombres y mujeres manifestaron el interés en un proyecto de elaboración de jaleas, en la cual ambos podrían trabajar.
MAPA ACTUAL
Aldea la Cumbre, Tecpán Guatemala
Elaborado por Hombres
Figura

Aldea la Cumbre, Tecpán Guatemala
Elaborado por Mujeres
Figura

MAPA FUTURO
Aldea la Cumbre, Tecpán Guatemala
Elaborado por Hombres
Figura

Aldea la Cumbre, Tecpán Guatemala
Elaborado por Mujeres
Figura

HISTORIA
Aldea la Cumbre, Tecpán Guatemala
Elaborado por Hombres
Figura

Aldea la Cumbre, Tecpán Guatemala
Elaborado por Hombres y Mujeres
Figura

CALENDARIO
Aldea la Cumbre, Tecpán Guatemala
Elaborado por Hombres
Figura

Aldea la Cumbre, Tecpán Guatemala
Elaborado por Mujeres
Figura

RELOJ DE 24 HORAS
Reloj de Día Aldea La Cumbre, Tecpán Guatemala
Elaborado por Hombres
Figura

Reloj de tarde y Noche Aldea La Cumbre, Tecpán Guatemala
Elaborado por Hombres
Figura

Aldea La Cumbre, Tecpán Guatemala
Elaborado por Mujeres
Figura

Cuando van al Campo Aldea La Cumbre, Tecpán Guatemala
Elaborado por Mujeres
Figura

DIAGRAMA INSTITUCIONAL
Aldea La Cumbre, Tecpán Guatemala
Elaborado por Mujeres
Figura

Aldea La Cumbre, Tecpán Guatemala
Elaborado por Mujeres
Figura

El trabajo de ADECOGUA con el apoyo del PAFG en la realización de los Diagnósticos Rurales Participativos por parte de hombres y mujeres en la aldea, La Cumbre, fue para todos los actores involucrados una experiencia valiosa.
El trabajo además, demuestra que la metodología aplicada del Diagnóstico Rural Participativo y Análisis de Género, facilita la participación activa de hombres y mujeres. El presente trabajo es prueba de que la perspectiva de hombres y mujeres en cuanto al desarrollo es diferente y complementaria. Por lo tanto, es esencial en trabajos de desarrollo rural, tomar en cuenta lo que piensan, hacen y necesitan los hombres, las mujeres y ambos.
Para ADECOGUA, como organización de base, es importante que también las actividades sociales y productivas del futuro sean desarrolladas desde un enfoque de género y que se asegure que responden a las necesidades sentidas, y que los beneficios lleguen a ambos y que las actividades contribuyan a un desarrollo equitativo.
Es importante anotar que este informe es un primer paso hacia un proceso participativo. En algunos casos, la información todavía es incompleta o requiere de más profundidad Además, la interpretación de las herramientas y las matrices, sobre todo las Matrices de Plan de Acción, deben ser revisadas y discutidas con los y las participantes en los diagnósticos y con otros miembros de la comunidad. Los Diagnósticos Rurales Participativos y los Análisis de Género que se realizaron con apoyo del Plan de Acción Forestal para Guatemala' deberían ser para ADECOGUA y las comunidades el inicio de una planificación participativa de actividades que contribuyan a un desarrollo sostenible y equitativo.
En general se puede concluir que la comunidad tiene buena organización local. Sin embargo, la participación de las mujeres en estas es limitada. Por un lado se debe al tiempo limitado por una carga de trabajo fuerte en las actividades reproductivas, o sea de la casa Por otro lado se debe a que en las sociedades Kaqchikeles, los hombres no valorizan los aportes que una mujer puede hacer en las reuniones de los Comités. En cierto sentido puede ser que tengan razón, pero las mujeres no han tenido la oportunidad de desarrollarse más, obtener otros conocimientos, aprender a expresarse y participar.
Generalmente se ve que son los hombres los que más relación tienen fuera de la comunidad por sus actividades en relación a la venta de productos y la búsqueda de trabajos que generan ingresos, teniendo también oportunidades de conocer otros lugares y aspectos socioeconómicos que los rodean.
En general, existe una preocupación, tanto de hombres como de mujeres, sobre el deterioro de los recursos naturales. Esto se ve reflejado sobre todo en la escasez de agua que cada año es peor, afectando la salud y en menor grado la producción agrícola Las aldea tiene un alto grado de dependencia de los bosques existentes.
La tenencia de la tierra es privada, tanto las parcelas agrícolas como las parcelas que todavía tienen bosque.
La comercialización de los productos es realizada por hombres y mujeres a través de intermediarios. Pocas veces se encargan de llevarla directamente al mercado y esto es una dificultad para ellos porque no venden sus productos al precio del mercado.
Los diferentes relojes de 24 horas muestran que en la aldea, las mujeres tienen una mayor carga de trabajo y que, al contrario de lo que se piensa, las mujeres también aportan en las actividades productivas en ciertas tareas del ciclo agrícola (siembra, cosecha) y producción de ollas de barro y a veces tejidos. También se observa, que al contrario de los estereotipos, los hombres se encargan de algunas tareas reproductivas como lo son traer leña y el mejoramiento de la vivienda. Cabe destacar que las actividades de las mujeres son más variadas, mayor en número que las de los hombres y que en general los hombres disponen de más tiempo para descansar y participar en actividades sociales o comunales.
Las notas de capacitación de este estudio de caso consisten en las cinco matrices del Análisis de Género llenadas con información de las herramientas del DRP que se presentarán en seguida, Al usar este estudio de caso como material didáctico es importante para el/la capacitador/a tomar en cuenta que las matrices presentadas son sólo ejemplos, no necesariamente deben considerarse como que son la única respuesta posible,
Se invita a los/las capacitadores a revisar bien las notas de capacitación que acompañan los Módulos B y C respectivamente.
Objetivos |
|
Identificar qué información desagregada por género se puede recolectar con las herramientas del DRP. Aprender a analizar las herramientas del DRP y la información en cuanto a la organización genérica de una comunidad. Aprender el uso de las Matrices del Análisis de Género para organizar y sistematizar la información. |
Actividades |
|
El/la capacitador/a introduce el estudio de caso. Los/las participantes leen el estudio de caso (pero no las Matrices). En grupos analizan las herramientas del DRP y llenan las Matrices del Análisis de Género. |
Concéntrese en |
|
¿Qué información se puede recoger de las herramientas y cómo la podemos interpretar? Usar la información del estudio de caso y las herramientas; no suponer; si falta información anotarla. |
¡Ponga Atención! |
|
El análisis de los estudiantes es un trabajo hipotético porque no han estado presentes durante la implementación del DRP: mucha información secundaria en forma de diálogo, reacción de los y las participantes solamente la saben los facilitadores del DRP. Por lo tanto, faltará información para hacer un análisis completo; sin embargo, como ejercicio en un curso de capacitación sigue siendo valioso. |
Figura 1

Figura 2

Figura 3

Figura 4

Figura 5

Elaborado por Timoteo López e Ingrid Schreuel, Asesores del Proyecto GCP/GUA/007/NET, Plan de Acción Forestal para Guatemala
Por el apoyo institucional del Viceministerio de Agricultura, Ganadería y Alimentación (MAGA) en el Petén y del Fondo Nacional para la Paz (FONAPAZ), asimismo el apoyo técnico y logístico del personal del Proyecto Manejo Sostenible (PMS), y al personal de la Comisión Especial de Atención a Repatriados (CEAR), Fondo para la Reinserción Laboral y Productivo (FORELAP); también a personeros de la municipalidad de Sayaxché, por haber facilitado el viaje a la sede de la Cooperativa San Juan Ixcán, en la Finca "Entre Ríos" por haber logrado la realización del Diagnóstico Rural Participativo con la participación de hombres y mujeres de la referida Cooperativa.
Un aspecto trascendental, se refiere a que en general las entidades mencionadas han demostrado su interés por colaborar con la comunidad y apoyar en la gestión de apoyo mediante proyectos específicos, según el ámbito de trabajo de cada una.
El PAFG, ha formulado un Programa de manejo de recursos naturales en zonas de retorno; mismo que ha sido presentado y discutido ante diferentes instancias nacionales e internacionales ligadas al proceso de retorno de familias que han sido incorporadas al contexto socioeconómico del país así como familias que aún permanecen en el refugio sobre todo en territorio mexicano.
Figura

Para provocar el bienestar de las familias en mención en base a la generación de empleo e ingresos, es que se viene discutiendo alrededor de alternativas productivas viables y sostenibles. Por lo anterior en principio el programa ha sido aceptado y se espera pueda ser financiado parcialmente por ACNUR/CECI a partir del ano de 1997, continuando las gestiones para asegurar el total de presupuesto del referido programa.
En el marco del "Programa de manejo de recursos naturales en zonas de retorno" el MAGA solicitó a la Oficina de Seguimiento del PAFG, la revisión de un perfil de proyecto sobre Producción Agroforestal, Asistencia Técnica y Capacitación en zonas de Retorno, el cual fue presentado por la consultora "Agencia Latinoamericana de Consultoría y Capacitación'' (ALAC). Luego de un ejercicio de selección y priorización de proyectos el PAFG decidió apoyar en la formulación de este proyecto e incluirlo como parte del plan de trabajo de 1996.
En la coyuntura que vive el país y ante las declaraciones del gobierno por desarrollar procesos de producción sustentables, los proyectos productivos citados en el párrafo anterior encuentran un espacio político. Además, estos proyectos se basan en el marco de los compromisos adquiridos por el gobierno ligado al recién firmado "Acuerdo Agrario y Socioeconómico": el que indica textualmente sobre la integración productiva de las poblaciones desarraigadas y el desarrollo productivo de las áreas de reasentamiento: para alcanzar estos propósitos se requiere contar con proyectos de desarrollo agrícola, pecuario y forestal, que partan de la sustentabilidad en el manejo de los recursos y que al mismo tiempo ofrezcan a la población que directa o indirectamente se beneficien de los medios necesarios, para romper el circulo vicioso entre pobreza y degradación de los recursos naturales".
En el corto plazo las acciones del sector público y privado, así como de los grupos de retornados, deben encaminarse a la protección y el aprovechamiento productivo permisible sobretodo en aquellas áreas frágiles, desde el punto de vista ecológico y productivo.
Con el fin de identificar proyectos de inversión en el contexto de este Programa y de acuerdo a lo propuesto por el perfil arriba mencionado, el equipo técnico del PAFG realizó la primera visita de sondeo a la Finca Entre Ríos los días 21 y 22 de julio de 1,996. Dicha Finca fue recientemente ocupada por un grupo de 72 familias, todas de origen guatemalteco, provenientes del sur de México.
Tras conocer la situación organizativa y las esperanzas de la comunidad, en la misma reunión sostenida con la Junta Directiva y representantes de Mama Maquin, se decidió realizar un Diagnóstico Rural Participativo (DRP) para identificar el interés de hombres y mujeres en realizar actividades forestales y facilitar un proceso de diagnóstico comunal para que los participantes describan y analicen su actual condición de vida, sus necesidades y esperanzas bajo un enfoque de género.
El 22 de octubre se realizó el Diagnóstico Rural Participativo (DRP) con miembros de la Cooperativa San Juan Ixcán en la Finca Entre Ríos, Sayaxché, Petén. El DRP se realizó en poco tiempo; sin embargo, gracias a la flexibilidad de la metodología y la voluntad de participación de hombres y mujeres, se pudo colectar datos básicos en forma separada de hombres y mujeres para fundamentar y poder seguir con el proceso de formulación de un proyecto productivo específico. La Junta Directiva de la Cooperativa, se encargó de convocar a representantes (hombres y mujeres) de los diferentes comités existentes. Participaron inicialmente 34 hombres y 37 mujeres. |
Figura

Antecedente sobre el refugio y el retorno de la comunidad
En 1982, los habitantes de los pueblos Santiago y San Juan Ixcán, decidieron huir y refugiarse en México salvando su vida por la agudización del conflicto armado interno. Una vez asentados, unos se quedaron 6 y otros 18 meses en Chiapas; después se trasladaron a Campeche, lugar donde les ofrecieron tierras, ayuda de emergencia, asistencia técnica, maíz, hortalizas y capacitación. La gente refugiada representa grupos socio-lingüísticos como Canjobal, Mam, Quiché, Kekchi e Ixil. Para comunicarse entre ellos, la mayoría de hombres y mujeres lo hacen en español.
Por medio de las comisiones permanentes, en octubre de 1995 se organizó en Campeche un grupo representativo integrado por siete hombres y siete mujeres, que vinieron en avioneta y realizaron un sobrevuelo por los linderos y la Finca entre Ríos, por ser la que venia siendo ofertada.
La referida comisión encontró que el área de la Finca reunía las condiciones para el retorno desde la lógica habitacional, la producción agrícola, pecuaria y forestal. Solicitaron que la negociación se hiciera a puerta cerrada, es decir que la compra del inmueble incluyera el mobiliario, equipo, maquinaria y semovientes que en ésta se encontraban.
Proceso de retorno
El proceso de retorno se realiza en el orden siguiente:
15 de marzo 1996: 26 familias
15 de mayo 1996: 47 familias
Pendientes de llegar 80 familias (sin fecha de retorno)
Inicialmente el programa de retorno, contempló asentar en la Finca a 153 familias, la mayoría de éstas son provenientes de municipios de El Quiché.
Aún no hay certeza sobre el número de familias que se asentarán en la Finca. FONAPAZ insiste en 153 familias; sin embargo, los ya asentados consideran que el área no será suficiente, pues, con base en que las 46 familias exigen la misma área que tenían en Ixcán en tiempos de la
Cooperativa San Juan Ixcán, queda un grupo, integrado posteriormente, que después de parcelar, únicamente alcanzaría en promedio 11 manzanas cada familia.
Figura

En la comunidad viven temporalmente dos acompañantes mujeres, una de Noruega y otra de Inglaterra así como un representante de CEAR, que acompaña el proceso de retorno y el cumplimiento de los acuerdos suscritos en materia de derechos humanos.
Localización geográfica y aspectos físicos de la Finca
La Finca "Entre Ríos", se ubica entre los Ríos Santa Amelia y Machaquilá en el municipio de Sayaxché, Petén; en lancha rápida se llega por el río La Pasión en 3.5 a 4 horas. La Finca cuenta con una extensión de 51 caballerías y 42 manzanas (aprox. 2,295 ha). Se localiza a una altitud de 240 a 280 msnm (latitud Norte: 16°11'48" - 16°16'57" y longitud Oeste: 89°52'56" - 89°56'15"). El terreno es mayormente plano y ligeramente ondulado con pendientes de 2 a 6%. Del área referida se estima que un 15-20% aún cuenta con bosque natural, un 40% son áreas de potreros y el resto áreas de vegetación secundaria en diferentes edades.
Según un estudio del INTA en 1995, la finca cuenta con las siguientes especies forestales:
Santa María |
Calophyllum brasiliense |
Cericote |
Cordia dodecandra |
Chichipate |
Sweetia panamensis |
Amapola |
Pseudobombax ellipticum |
Caoba |
Swietenia macrophylla |
Cedro |
Cedrela odorata |
Ceiba |
Ceiba pentandra |
Canxan |
Terminalia sp. |
Matilisguate |
Tabebuia rosea |
Palo balsa |
Ochroma sp. |
Palo lagarto |
Zantoxylum sp. |
Chico zapote |
Manilkara zapota |
Jocote de mico |
Spondias mombin |
Corozo |
Orbignya cohune |
Figura

La temperatura media anual es de 25,5 °C, la humedad relativa es de 88% y una precipitación media anual de 2,627 mm y 119 días de lluvia/año. Los suelos se encuentran en las series Chapayal y Sotz y clases agrológicas III, IV y V.
Infraestructura social y productiva
Actualmente la finca cuenta con una casa patronal que fue construida por el propietario anterior con madera de la zona, la misma tiene usos múltiples: en la planta baja funciona la oficina de Administración de la Junta Directiva de la Cooperativa, la clínica de atención básica en salud, la oficina de control y asistencia al ganado vacuno y en la parte alta se aloja el sistema de radio-comunicación (con el apoyo de CEAR, la Cooperativa cuenta con un radio para facilitar la comunicación (6.480.5: CEAR y 6.485.5: ACNUR)), y tres ambientes que sirven principalmente para alojar personal de los grupos de acompañantes, así como personal técnico de diversas instituciones que les visita con motivos diferentes. Por su cuenta construyeron una iglesia evangélica y viviendas rurales donde habitan las familias.
Por la falta de infraestructura vial y lo aislado de la Finca, cuentan que el propietario anterior construyó una pista de aterrizaje, para naves áereas livianas; pista que actualmente está sin ningún mantenimiento, aunque el presidente de la Junta Directiva, manifestó el interés de la organización por darle mantenimiento y usarla a su conveniencia.
También cuenta con una bomba hidráulica que utilizan para abastecerse de agua para uso doméstico a las familias de la comunidad, mediante una distribución de chorros en diversos puntos estratégicos del casco urbano de la Finca. A la fecha de la visita no estaba funcionando por ser la época de lluvia el río crece y dificulta el funcionamiento normal de la bomba.
Con el apoyo técnico y financiero de CECI7, se logró la instalación de un molino de nixtamal. Sin embargo, no todas las familias cuentan con dinero para poder pagar los servicios del molino, así que varias mujeres todavía se ven obligadas a moler el maíz en piedra.
7 Se recibió como donación de CECI para el grupo de mujeres, quienes asumieron la responsabilidad de administrarlo.
La infraestructura productiva se encuentra parcialmente en estado de abandono, por ejemplo, los potreros (17) necesitan mantenimiento (alambrado y mejoramiento del pasto) para facilitar el manejo de hato, estimado en 300 cabezas de ganado vacuno para engorde. A criterio de los directivos, la mayoría es ganado viejo y sin control veterinario, lo que es cuestionable en función de lo observado en la finca y lo informado por el personal técnico de DIGESEPE quienes atendían este ganado, cuando aún pertenecía al propietario anterior (Polisack S.A). La finca también cuenta con tractores para trabajos agrícolas, que en las condiciones actuales reciben un mantenimiento limitado.
Por las condiciones viales la Finca queda aislada del centro urbano más importante para actividades de intercambio de bienes y servicios. Sin embargo, la posibilidad más realista de cambio responde al compromiso de FONAPAZ, en aportar el financiamiento para:
La construcción de la carretera que de la finca Entre Ríos y comunidades circunvecinas (más o menos 6) conecta con la cabecera municipal Sayaxché y departamental, Flores.
La compra de un bus y un camión, para el transporte, tanto de pasajeros como de productos e insumos.
De las 72 familias asentadas en la Finca, en 14, por diversas razones, las mujeres son las jefas de hogar.
Figura

Actividades productivas
En base al mapa actual se discutió con el grupo de mujeres sobre las actividades productivas actuales y del futuro así como lo que esperan hacer con el bosque. Las mujeres comentaron que conocen las siguientes especies forestales: cedro, ceiba, caoba, corozo, cushin, zunza, chico zapote, palo de hule; y también frutales como: naranja, tamarindo, limón. El bosque y los árboles tienen para ellas cuatro beneficios importantes: leña, sombra, protección y madera (tablas) Saben además, que en el bosque hay por lo menos 200 matas de chico zapote que pueden ser aprovechadas.
Ninguna de las mujeres conoce actualmente el área de la Finca en la cual viven y tampoco conocen el bosque porque no hay camino al bosque, queda lejos, y tienen miedo. Sin embargo, hablando después de propuestas productivas algunas de las mujeres decían que si se animan a conocer el bosque si hubiera posibilidades de cultivar por ejemplo canela y pimienta para generar otros ingresos.
Actualmente las actividades productivas se limitan a la producción de maíz y frijol (parte del maíz se perdió hace poco porque llovió mucho y creció el río); dichas tareas generalmente son compartidas entre mujeres y hombres. Los trabajaderos aún no son parcelados pero los planes son asignar 4 cuerdas a cada familia. Las mujeres son las encargadas de las actividades en los solares8, las cuales están en proceso de limpiar.
8 Son las áreas de tierra en la parte posterior de la vivienda dedicadas a la producción de hortalizas y hierbas comestibles, para autoconsumo.
Organización comunal
Según las mujeres, la Junta Directiva se integra actualmente por tres hombres y dos mujeres, y en todos los comités locales están presentes tanto hombres como mujeres. Entre las organizaciones locales se encuentran los siguientes comités: Mama Maquin, junta de vigilancia, organización de jóvenes, comité de salud, comité promejoramiento, comité de viudas, comité de padres de familia, comité de derechos humanos, comité de iglesias (evangélica y católica). En cuanto a las instituciones externas ellas identifican: ACNUR, CEAR, Mama Maquin, CECI, MINUGUA, FONAPAZ, Médicos Sin Fronteras, la Iglesia y los acompañantes.
Problemas
Un problema grave identificado por las mujeres es la salud. Los niños sufren de desnutrición y problemas de tos. La mala condición de las casas también influencia las actuales condiciones de salud. En relación a la desnutrición, las mujeres mencionan que no hay fruta y la dieta diaria se limita a tortillas, frijol y con suerte una vez a la semana pescado. La Finca tiene algunos cocales, que no son suficientes y en general hace falta fruta y otras fuentes de vitaminas y minerales.
Otro problema es la falta de carretera para facilitar el acceso a un mercado para futuros productos y para tener acceso a tiendas para comprar algunos productos básicos y consumo familiar.
Respecto a las actividades productivas, se señala la falta de fuentes de trabajo para hombres y mujeres por el aislamiento de la Finca, respecto a los centros poblados.
Propuestas y esperanzas
En cuanto a las actividades productivas propuestas por las mujeres se dividen en tres categorías:
1 |
En los solares (de 40 x 40 m) cultivar los siguientes frutales si esto fuera técnicamente posible: | ||
mango, |
ciruela, |
manzana, | |
naranja, |
jocote, |
tamarindo, | |
limón, |
zapote, |
naranja ágria, | |
mandarina, |
ingertado, |
aguacate. | |
Papaya, |
platano, |
||
2 |
En el bosque | ||
Cultivar canela y/o pimienta | |||
3 |
En los solares y/o los trabajaderos incorporar las siguientes hortalizas: | ||
calabasa, |
pepino, |
remolacha, | |
orégano, |
quisquil, |
papa, | |
jamáica, |
ayote, |
ajonjolí, | |
sandilla, |
chile jalapeño, |
cebolla. | |
Melón, |
tomate, |
||
Según las mujeres, tanto los hombres como las mujeres tienen tiempo libre por las tardes que podrían dedicar a actividades productivas para generar otros ingresos.
Según órden prioridad las mujeres señalan las siguientes expectativas:
Þ Medicinas (tos/jarabes, contra diarrea, antibióticos, etc.), capacitación médica de promotores de salud y asistencia de un médico
Þ Carretera y un puente (en gestión con FONAPAZ)
Þ Agua potable (en gestión con CECI)
Þ Alimentación de emergencia (PMA)
Þ Actividades productivas para una solución a largo plazo
Þ Fuentes de trabajo para hombres y mujeres
Þ Letrinas
Historia de la comunidad
En la segunda mitad de la década de los 70's, tras el sufrimiento del terremoto y todas las dificultades que este fenómeno natural presentó, también recuerdan la mayoría (sobre todo las personas mayores de 45 años) que se dió la posibilidad de la organización en las comunidades, bajo la figura de cooperativa ya que en la época del gobierno del presidente Kjell Langerud García se impulsó bastante el cooperativismo en el medio agroproductivo.
Figura

En la zona de Ixcán Grande se organizaron cinco cooperativas, todas recibieron la asistencia técnica del instituto Nacional de Transformación Agraria (INTA). Bajo el nombre de Cooperativa de San Juan Ixcán, fue que nació la organización que al principio agrupó a 12 socios. En el inicio se puede ver que solamente estas doce familias se beneficiaron de la organización, principalmente de los derechos sobre la tierra, que en la época se asigno a cada familia una caballería (45 ha en promedio).
Primeros pasos en la comercialización
Durante el primer semestre de 1977 se instaló la tienda de la cooperativa, la que inició con artículos de primera necesidad; con el paso del tiempo se amplió el capital y la disposición de mercadería. Para el año 1980 la capacidad de la Cooperativa aumentó al grado que logró la comercialización por mayor de muchos productos locales que eran negociados principalmente en el mercado de la cabecera departamental y algunos se lograron negociar en el mercado de la capital
Personería jurídica de la Cooperativa
Con mucho esfuerzo de los directivos y los encargados de la parte legal se logró que a finales de 1979 se obtuviera la personería jurídica de la Cooperativa, la que legalmente quedó registrada como Cooperativa San Juan Ixcán. Con este nombre se realizaba una serie de operaciones que en todo momento venían a favorecer las condiciones productivas y económicas de las familias de los asociados a la Cooperativa. Para muchos de los socios el comentario era "aunque fue difícil conseguir la personería jurídica realmente valió la pena" todos trabajamos en orden y de acuerdo con la ley
Cambios no previstos: el trago amargo para la Cooperativa
En 1981 inició la etapa más violenta y difícil de vivir, ya que por los meses de mayo y junio se inició en las comunidades cercanas una serie de secuestros, sobre todo de líderes y dirigentes campesinos. Luego se dieron otras manifestaciones de represión, las que estuvieron marcadas por la quema de las escuelas y otros edificios públicos, cuando se agudizó la situación, iniciaron por la quema de los ranchos o vivienda de las familias, que habitan en el área.
La situación de desorden que se vivía y la persecución de líderes continuaba, la mayoría de familias había quedado sin vivienda, la seguridad no existía, tampoco la confianza de poder solicitar apoyo a los cuerpos de policía. "Lamentablente murieron muchos miembros de la Cooperativa y también miembros de la familia, nunca más supimos de ellos". "Fue una situación tan difícil que no existe aún una forma de comprender más, sobre todo porque la mayoría de los que allá vivían eran familias campesinas humildes, honradas y con deseos de superar para el bien de las familias, de la Cooperativa y de la comunidad en general"
El camino hacia el refugio
"Sin importar los bienes materiales y con el único deseo de salvar la vida, las familias organizamos el camino hacia el refugio, buscando pasar la frontera de Guatemala con México. Después de muchos sacrificios logramos trasladarnos a la zona de Chiapas, para sorpresa venimos a encontrar una cantidad grande de familias de guatemaltecos que antes habían decidido buscar el refugio".
"El movimiento en la zona de Chiapas era grande, el trabajo árduo, y encontrábamos muchas dificultades para estar los de la Cooperativa juntos. En Chiapas, con el apoyo de la COMAR y ACNUR, fue que nos organizamos y fuimos seleccionados para ubicarnos en diferentes campamentos".
"Al ser distribuidos en diferentes campamentos9, perdimos el contacto con otros miembros de la Cooperativa, por ejemplo en 1984, cuando logramos trasladarnos a la zona de Campeche y Quintana Roo, algunos de los que íbamos en el grupo encontramos que ya vivían en el lugar otros de la Cooperativa a quienes identificamos en el lugar como "San Juaneros". Tuvimos la oportunidad de volvernos a saludar y de analizar juntos la situación que vivíamos, además de estar agradecidos con las autoridades mexicanas y las instituciones internacionales que en todo momento velaron, por hacernos sentir bien aún estando lejos de nuestra tierra y de nuestra patria Guatemala".
9 Area física habilitada para viviendas y servicios básicos de familias en el refugio.
La experiencia vivida en el refugio
"Prácticamente a partir de 1984 quedaron establecidos los campamentos y el trabajo en las Comisiones Permanentes donde tomó mayor razón de ser el proceso de análisis para las condiciones de los grupos de población guatemalteca que estaban interesados en retornar. Al momento se contaba con un gran esfuerzo organizativo, por ejemplo Mamá Maquín era una organización fuerte de apoyo al trabajo de los diversos grupos de mujeres. Además, se había logrado la organización de una serie de grupos que tenían actividades productivas y sociales muy especificas a realizar en el refugio".
"Como guatemaltecos fuimos testigos del apoyo que el gobierno mexicano ofreció a los campesinos en cuanto a la asistencia técnica, financiera y comercial, en ese sentido existen diferencias con Guatemala. Otro aspecto diferente está relacionado con la calidad de los servicios públicos, entre los que cuentan las carretera, el servicio de teléfonos y el CONASUPO, que hace grandes esfuerzos por apoyar sobre todo al pequeño productor, logrando que éste venda bien los productos (todos agrícolas) de la zona".
"El grupo de "San Juaneros" ubicado en Campeche inició pláticas respecto a como recuperar nuestra pertenencias o las tierras, que hablamos dejado cuando salimos del refugio. Muchos de los compañeros, sobre todos los de mayor edad y que antes hablan sido miembros de la Cooperativa, plantearon concretamente reactivar la Cooperativa con los socios que estabán en el lugar y otros jefes de familia que manifestaron el interés de incoporarse a la misma".
En base a la personería jurídica de la Cooperativa, se procedió a las gestiones ante el gobierno de Guatemala, por medio de las Comisiones Permanentes El trámite de mayor importancia consistió en "el reconocimiento de la Cooperativa por parte del Instituto Nacional de Cooperativas (INACOP)", con lo cual vuelve a tener vigencia la personería jurídica y cobra vigencia en el marco de las leyes de la República de Guatemala.
El retorno y la llegada a la Finca "Entre ríos"
Con la finalidad de garantizar el bienestar para las familias de la Cooperativa San Juan Ixcán, se nombró una comisión integrada por hombres y mujeres, que con el apoyo de las Comisiones Permanentes y los organismos de apoyo, pudieron venir a realizar una inspección aéreo a las áreas de la Finca. La información y la toma de decisiones sobre la compra de la Finca fue realizada en octubre de 1995.
En marzo de 1996 inició el retorno con un grupo de familias que se vino de acuerdo al programa de retorno y que se asentaron en la sede de la Finca, luego en mayo del mismo año se desplazo un segundo grupo con el cual suman actualmente 73 familias que viven en la Finca.
La negociación de la Finca
Entre las condiciones que puso la Cooperativa para la compra de la finca están:
Comprar la Finca a puerta cerrada, es decir que no se podía sacar nada de lo que en ésta existía;
La Cooperativa no se hacia cargo de ninguno de los colonos y/o jornaleros que tenía la Finca;
Cumplir con lo establecido en los acuerdos del retorno, es decir utilizar las áreas de acuerdo con su vocación, asegurar por lo menos 50 metros en la rivera del río para propósitos de reforestación; y
Cumplir los compromisos que como organización Cooperativa le corresponde en el marco de la ley Guatemalteca.
Los problemas no previstos después del retorno
En el marco de los acuerdos suscritos entre el gobierno de Guatemala y las Comisiones Permanentes era claro que deberían de cumplirse los compromisos ahí establecidos, por ejemplo, después de varios meses de estar viviendo en la Finca aún no se han iniciado los trabajos de la carretera que fue ofrecida.
La asistencia técnica y financiera de FONAPAZ marcha con lentitud, no se viene cumpliendo con los calendarios establecidos, el programa de alimentos que dura nueve meses, está por concluir y no existen alternativas reales de apoyo a la producción. En este último aspecto el gobierno se comprometió a canalizar la asistencia técnica, financiera y comercial, cuyo propósito se encamina a buscar condiciones de vida digna para el grupo de retorno y servir de modelo productivo y organizativo de apoyo a las comunidades circunvecinas a la Finca "Entre Ríos".
Las instituciones de apoyo vienen realizando su trabajo con varias limitaciones, pero se reconoce que tratan de cumplir con sus compromisos. En el caso de CECI, se logró la instalación de un radio-transmisor y un molino de nixtamal para el grupo de mujeres. Aunque se pueden considerar como pequeños apoyos, son significativos en las condiciones actuales de la Cooperativa.
Mapa actual de la Finca Entre Ríos
Al momento de iniciar la preparación del mapa actual, sobre todo el grupo de jóvenes indicó que el nombre de la Finca responde a todos los ríos que existen por el lugar, entre los que pudieron identificar: el río La Pasión, río Machaquilá, y río Santa Amelia.
Además tienen conocimiento de las comunidades circunvecinas, entre las que pudieron identificar: El Santuario, Monja Blanca, Canaan, Santa María, la Reynita, Linda Vista, y Sayaxché.
Para la mayoría de los hombres es claro que en la Finca existen:
áreas de potrero para pastar el ganado vacuno
área (que aún no pueden estimar) con bosque virgen
área de pantano, no apto para actividades agrícolas.
Según ellos el mayor esfuerzo desde la fecha del retorno se ha dedicado a la construcción de vivienda mínima, para esto se ha destinado un área de la Finca que llaman el centro abano (casco de la Finca), cuentan con un plano básico para este propósito.
Un hecho importante está relacionado con que ningúno de los asociados conoce aún toda el área de la Finca, sin embargo, saben que comprende una extensión de 51 caballerías; aunque varios manifiestan el deseo de recorrer toda la Finca, también reconocen las limitaciones de tiempo y de conocimiento para el acceso a la montaña.
En las condiciones actuales, se proponen la conclusión de viviendas para las familias, la canalización del agua y la preparación de la infraestructura productiva, para esto dedican todos los asociados dos días de la semana a la tarea de arreglo de potreros, que consiste en la reparación de postes y alambrado de las áreas, esto aprovechando un apoyo en especie (alambre de púas) que fue donado por CECI. Aún falta mucho por hacer, además de acuerdo al programa de trabajo del año 96, se tiene contemplado adecuar la pista de aterrizaje de la Finca, esperan que los organismos del Estado responsables de apoyar el retorno puedan cumplir.
En el centro urbano se está acondicionando la infraestructura social, entre las que cuenta la escuela, el salón comunal y las iglesias (católica y evangélica), hay mucho por hacer, "actualmente solo hacemos lo que podemos sin esperar más".
Diagrama institucional
El grupo de hombres reconoció que alrededor del quehacer de la "Cooperativa Unión San Juan Ixcán", se cuenta con el apoyo de diversos organizaciones, entre las que pudieron identificar a:
ACNUR que les apoyó en todo el proceso del refugio' las Comisiones Permanentes y las negociaciones para el retorno y el apoyo en alimentos que cubre nueve meses después de asentados en la finca.
CECI que bajo la ejecución de Proyectos de Impacto Rápido (PIR), vienen apoyando diversas acciones puntuales, todas de gran beneficio a la Cooperativa en las actuales condiciones.
OTARDE que les viene apoyando en la organización y recursos económicos básicos para continuar en el proceso del retorno.
FONAPAZ, aunque está retrazado el programa de trabajo, se tiene la esperanza que con el apoyo de ellos se podrá contar con la carretera, que facilitará la comunicación con la cabecera municipal, Sayaxché.
La organización no-gubernamental del NUEVO AMANECER, que viene apoyando por medio de pequeños proyectos, entre los que cuenta letrinas para cada familia y otros trabajos de apoyo en la Cooperativa.
CONFEGUA, una relación poco comprometida que se espera pueda continuar para fortalecer sobre todo la participación de la Cooperativa a nivel de otras organizaciones del sector en el medio nacional.
MEDICOS SIN FRONTERAS, un grupo de apoyo a la salud preventiva y curativa, muy bien organizado y dispuesto a brindar el apoyo en la medida de sus posibilidades.
FORO DE ACOMPAÑANTES, Los acompañantes son grupos de jóvenes de países extranjeros que por períodos de 4 a 6 meses se quedan en la Finca, en una función de observadores al proceso de retorno.
INSTANCIA MEDIADORA, se relaciona con la Cooperativa para apoyar los diferentes momentos de negociación, en el marco de los acuerdos para el retorno.
MUNICIPALIDAD DE SAYAXCHE, la relación con la autoridad local, corresponde principalmente al apoyo que se le solicitó para cubrir parte de los costos del estudio de la carretera.
IGLESIAS, instituciones asentadas en la Finca y a donde acuden miembros de la Cooperativa.
ORGANIZACION INTERNACIONAL PARA LAS MIGRACIONES, apoyo directo al proceso de retorno.
MAMA MAQUIN, es una organización que desde el refugio apoyó y consolidó los grupos de mujeres a fin de facilitar su incorporación a la participación en la Asamblea de la Cooperativa; la capacitación en diversas manualidades y trabajos de apoyo a la economía familiar; además capacitó a las madres de familia en nutrición y cuidados de la salud para los niños.
Fondo para la Reinserción Laboral y Productiva (FORELAP), financiamiento para la compra de la Finca a nombre de la Cooperativa.
CONSEJERIA EN PROYECTOS, preparación de proyectos
MINUGUA, observadores al proceso de retorno.
UNION EUROPEA, apoyo financiero al proceso de retorno y el inicio de proyectos productivos.
HABITAT, apoyo a los programas de vivienda mínima.
Para los hombres el apoyo recibido de las diferentes organizaciones se ha limitado a lo básico, para darles condiciones de bienestar para su familia, sin embargo, anotan que aún no cuentan con proyectos productivos, que en el corto plazo puedan significar ingresos, lo cual es motivo de preocupación para la mayoría de familias.
Por otro lado se dan cuenta de la importancia que tiene para ellos el desarrollo del programa de ganado vacuno, así como el programa agrícola, sin dejar de asistir otros aspectos que consideran tan importantes como el manejo de las áreas con bosque y la iniciación de cultivos de frutales con fines comerciales en el mediano plazo.
Reloj de 24 horas
Para los hombres desde la llegada a la Finca han venido trabajando todos los días. De acuerdo con lo establecido por la Junta Directiva de la Cooperativa, el tiempo lo distribuyen en el orden siguiente:
2 días para labores agrícolas (para el consumo familiar)
2 días para trabajar en la parte productiva de la Cooperativa (potreros y ganado); y
2 días para trabajo comunitario se refiere a la infraestructura comunal.
Los hombres normalmente se levantan a las 5 de la mañana, preparan leña, logran acarrear agua, luego desayunan y se van a las actividades mencionadas anteriormente. La mayor parte del tiempo está dedicado a las tareas de construcción de vivienda, trabajo agrícola en el campo y apoyo a los trabajos de la Cooperativa.
Después de participar en actividades sociales o religiosas, normalmente se van a dormir entre las 10 y 11 de la noche, para "descansar el cuerpo"; y al nuevo día continuar con la tarea que a cada quien corresponde.
Mapa futuro
Con el propósito de tener una idea más cercana a sus deseos para el futuro el grupo de hombres decidió la preparación de dos mapas, en orden a:
a) El crecimiento del centro urbano de la Finca; y
b) La forma en que quieren desarrollar la parte productiva de la Finca.
Mapa del Centro Urbano Entre Ríos
El mapa del Centro Urbano de Entre Ríos, muestra en cuanto a servicios, lo que la gente está pensando en:
a) Energía eléctrica
b) Agua potable
c) Teléfono
d) Servicio de transporte colectivo.
Luego en infraestructura hablan de:
a) La escuela de educación primaria, ciclo básico y magisterio,
b) Salón cultural y biblioteca
c) Kiosco
d) Mercado comunal
e) Calles y avenidas en buenas condiciones
f) Terminal de buses y camiones
g) Parques y áreas verdes para recreación
h) Canchas de Basquet
i) Hospital y ambulancia
j) Juzgado de paz; y
k) Iglesias católica y evangélica
Desde el punto de vista productivo, están plantenado la posibilidad de instalar en el Centro Urbano, la infraestructura siguiente:
a) Panadería
b) Molino de Nixtamal
c) Abarrotería
d) Zapatería,
e) Oficinas de servicios administrativos
f) Taller de mecánica
g) Carpintería; y
h) Sastrería
Mapa de la Finca Entre Ríos y los aspectos productivos
Por las condiciones actuales de la Finca y la vocación de los suelos según ellos, piensan que se puede desarrollar la producción con éxito en el orden siguiente:
a) Manejo de los recursos naturales
Consideran que el manejo de las áreas que aún cuentan con bosque es determinante, para lograr mantener la calidad de los suelos y sobre todo el manejo de agua, que por ahora todavía es abundante. Por el poco conocimiento del aspecto forestal, consideran la necesidad de recibir capacitación y asistencia necesaria, sobre todo para iniciar un proceso de reforestación acorde con la capacidad de los suelos y las especies que mayores ventajas puedan ofrecer.
Consideran que las especies que pueden incluir en la propuesta a futuro, pueden estar, entre otras, árboles frutales, hule, chile, cítricos y maderas de color (cedro y caoba); éstas ultimas por el valor que tienen en el mercado. Se procurará en lo posible cumplir con lo establecido en los acuerdos respecto a las áreas que deben reforestarse en la rivera de los ríos.
b) Producción de ganado vacuno
En las actuales condiciones, la mejor alternativa de producción para la Cooperativa está dada por la producción de ganado vacuno para carne. En este aspecto es indispensable contar con un programa de capacitación adecuado a las condiciones y asegurar la asistencia técnica, a fin de lograr el manteniemiento del ganado de manera rentable.
En el corto plazo se piensa dar mantenimiento a los potreros, luego se está pensando en ampliarse a otras áreas, para esto es necesario contar con la asistencia técnica para el manejo de pasto o lo que más convenga a las condiciones de los suelos.
c) Producción hortícola
La mayoría de miembros de la Cooperativa han manifestado su interés por el manejo hortícola en la Finca. Para esto vienen pensando en el cultivo de tomate, chile, pepino, pepitoria y otros productos que se puedan adaptar a las condiciones climáticas Se harán ensayos con el cultivo de sandia pensando en una siguiente etapa a gran escala, cubriendo el mercado municipal y el del área central de Petén.
d) Equipo y medios para facilitar el trabajo
En principio debe instalarse un sistema de riego, que facilite los cultivos de ciclo corto y que demandan continuas y grandes cantidades de agua para lograr una producción rentable. De acuerdo a las necesidades, se habla de maquinaria agrícola, medios de transporte, construcción de bodegas, asistencia técnica adecuada y la canalización de financiamiento de acuerdo con los programas de producción.
e) Infraestructura productiva
En primer lugar necesitan la construcción de la carretera, se necesita además de los puentes que anunció FONAPAZ, también se dará especial atención a la utilización del transporte acuático, no se descuidará el mantenimiento de la pista de aterrizaje y en general se necesita contar con infraestructura de comunicación que asegure la participación de la Cooperativa en la vida productiva en su área de influencia.
El éxito de la Cooperativa en el programa de Retorno con Dignidad depende fundamentalmente de contar con todo lo que se desea a fin de alcanzar un nivel de organización sólida, responsable y capaz de manejar adecuadamente los recursos que le han sido asignados, buscando en todo momento la armonía en la comunidad, el bienestar y el desarrollo
Los dibujos originales (herramientas del DRP), forman parte integral de este diagnóstico. El análisis de las herramientas más la información general recolectada durante las diferentes sesiones de trabajo realizado por el grupo de hombres y el grupo de mujeres, sirven de base para el Análisis de Género, referido a la Finca Entre Ríos.
Figura

Mapa actual
Las mujeres al desarrollar el mapa actual, enfocaron más los aspectos de infraestructura existente, sobre todo la del casco urbano de la Finca, los solares, los árboles en el casco urbano, el ganado, el molino de nixtamal. Además, identificaron las principales calles así como los ríos. Aunque en la discusión sí mencionaron la montaña no se atrevieron a dibujarlo por desconocimiento. Los hombres a diferencia a las mujeres si enfatizaron la existencia de los potreros y el bosque.
Diagrama institucional
Al desarrollar la herramienta, el grupo de hombres le dio mayor importancia a las instituciones externas (21 en total) de las cuales el apoyo más significativo fue recibido de ACNUR, PMA, Unión Europea, Médicos sin Frontera y FORELAP. Sobretodo por falta de tiempo no mencionaron la organización interna Las mujeres identificaron 10 instituciones externas, entre las que destacan los Derechos Humanos, y dedicaron más tiempo a identificar los comités locales (11).
Reloj de 24 horas
Las mujeres generalmente se levantan a las 04 de la mañana. Cuando terminan con el trabajo de la casa, cuando las tareas así lo exigen, van al campo para ayudar al esposo. Cuando existe la posibilidad también trabajan en los solares. Después de atender el almuerzo, por la tarde tienen tiempo para descansar un poco y realizar ciertas actividades de gestión comunitaria (reuniones).
Los hombres normalmente se levantan entre las 5:00 y 5:30 de la mañana, desayunan o toman algo y se marchan a la parcela para dedicarse al trabajo agrícola. A los hombres por la tarde les queda tiempo para reuniones formales o informales.
Calendario de actividades
Por razones de tiempo y el hecho que recién se han asentados en la Finca no se realizó el calendario de actividades.
Historia de la comunidad
Para los hombres y las mujeres, la historia se refiere a la represión, el refugio y el proceso de retorno. En la historia no dan mayor información sobre las tendencias de los recursos naturales porque no es tan relevante ya que recién han llegado a un nuevo asentamiento y sin mayor conocimiento del actual y anterior estado de los recursos. Se nota claramente que los hombres han estado mucho más involucrados en el proceso de retorno, posiblemente en la toma de decisiones y por lo tanto tienen más conocimiento de los hechos.
Mapa futuro
Con esta herramienta se puede observar las diferencias y similitudes en la identificación de problemas y necesidades, las cuales aparecen reflejadas en la Matriz de Necesidades Los hombres hicieron dos mapas futuros uno dedicado específicamente al casco urbano y otro para la Finca en su totalidad. Las mujeres decidieron no dibujar pero pidieron a la facilitadora anotar todas las ideas y sugerencias en un papelógrafo. En general se pudo apreciar que tanto hombres como mujeres, están de acuerdo en que el problema más importante se relaciona con la falta de fuentes alternas de trabajo.
Las mujeres en primera instancia le dan importancia a las necesidades de salud y alimentación de los niños, pero también están claras que la solución se encuentra a más largo plazo y en su participación en actividades productivas.
A corto plazo, los hombres ven posibilidades para realizar trabajos en el área de la agroforestería. Utilizar parte del tiempo en actividades forestales que a mediano plazo, podrían resultar en la mejora de las cosechas (agroforestería), generar empleo, generar ingresos directos (venta de madera) e indirectos (leña).
Consideración final Es importante reconocer que este informe revela un primer paso hacia un proceso de planificación participativa. En algunos casos, la información todavía es incompleta o requiere de mas profundidad. Además, la interpretación de las herramientas y las matrices, sobre todo la Matriz de Plan de Acción, debe ser revisada y discutida con los y las participantes en el Diagnóstico y si posible con otros miembros de la comunidad. El Diagnóstico Rural Participativo y el Análisis de Género que se realizó con apoyo del Plan de Acción Forestal para Guatemala, debería ser para las instituciones interesadas en apoyar y la comunidad el inicio de una planificación participativa identificando actividades que contribuyan a un desarrollo sostenible y equitativo bajo la responsabilidad de la Cooperativa San Juan Ixcán, en la Finca Entre Ríos, Sayaxché, Petén. |
MAPA ACTUAL
Finca "Entre Ríos" Sayaxché, Petén
Elaborado por Hombres
Figura

Finca "Entre Ríos" Sayaxché, Petén
Elaborado por Mujeres
Figura

MAPA FUTURO
Finca "Entre Ríos" Sayaxché, Petén
Elaborado por Hombres
Figura

MAPA FUTURO DEL CENTRO URBANO
Finca "Entre Ríos" Sayaxché, Petén
Elaborado por Hombres
Figura

PROPUESTAS PRODUCTIVAS (ESPERANZAS)
Finca "Entre Ríos" Sayaxché, Petén
Elaborado por Mujeres
Figura

NECESIDADES
Finca "Entre Ríos" Sayaxché, Petén
Elaborado por Mujeres
- Medicina - Doctor - Vacuna de tosferina - Medicina para bichos - Medicina para diarrea - Vitaminas - Jarabe para tos - Medicina para Infección |
- Carretera (FONAPAZ) - Puente para cruzar el río - Agua potable (CECI) - Alimentación de Emergencia - Escuela - Clínica |
- Hortalizas - Arboles - Piso para vivienda - Fuente de trabajo - Letrina |
HISTORIA
Finca "Entre Ríos" Sayaxché, Petén
Elaborado por Hombres
AÑO |
HECHOS |
1976 |
Organización cooperativas 5 cooperativas Ixcán Grande. |
1976 |
Fundación 12 socios Negociación grupo con INTA. |
1977 |
Se instaló tienda de Cooperativa |
1979 |
Se logra la Personería Jurídica |
1980 |
Comercialización |
1981 1982 |
Represión, secuestros, quema de vivienda, escuelas |
1983 |
Refugio en Chiapas y desesperación en los campamentos |
1984 |
Desplazamiento a Campeche y Quinta Roo. Encuentro de San Juaneros |
1985 |
Refugio. Comisiones permanentes y condiciones de retornos Organizaciones Mamá Maquín o otros negocian nuevas tierras en base a la Personería Jurídica. |
MARZO/1996 |
Reactivación de la Cooperativa (ago./as) |
Finca "Entre Ríos" Sayaxché, Petén
Elaborado por Mujeres
AÑO |
HECHOS |
1982 |
Salieron de San Juan Ixcan y Santiago. Había mucha desnutrición, susto/miendo. Unas familias van a dar a Chiapas de 6 meses a 1 ½ años |
1983 |
Todos las familias son trasladados a Campeche. Reciben ayuda, tierra para cultivar milpa y hortalizas. |
11 marzo 96 y 13 marzo 96 |
Llegan a pie a ENTRE RIOS |
RELOJ DE 24 HORAS
Finca "Entre Ríos" Sayaxché, Petén
Elaborado por Hombres
Figura

Finca "Entre Ríos" Sayaxché, Petén
Elaborado por Mujeres
Figura

DIAGRAMA INSTITUCIONAL
Finca "Entre Ríos" Sayaxché, Petén
Elaborado por Hombres
Figura

Finca "Entre Ríos" Sayaxché, Petén
Elaborado por Mujeres
Figura

Las notas de capacitación de este estudio de caso consisten en las cinco matrices del Análisis de Género llenadas con información de las herramientas del DRP que se presentarán en seguida. Al usar este estudio de caso como material didáctico es importante para el/la capacitador/a tomar en cuenta que las matrices presentadas son sólo ejemplos, no necesariamente deben considerarse como que son la única respuesta posible.
Se invita a los/las capacitadores a revisar bien las notas de capacitación que acompañan los Módulos B y C respectivamente.
Objetivos |
|
Identificar qué información desagregada por género se puede recolectar con las herramientas del DRP. Aprender a analizar las herramientas del DRP y la información en cuanto a la organización genérica de una comunidad. Aprender el uso de las Matrices del Análisis de Género para organizar y sistematizar la información. |
Actividades |
|
El/la capacitador/a introduce el estudio de caso. Los/las participantes leen el estudio de caso (pero no las Matrices). En grupos analizan las herramientas del DRP y llenan las Matrices del Análisis de Género. |
Concéntrese en |
|
¿Qué información se puede recoger de las herramientas y cómo la podemos interpretar? Usar la información del estudio de caso y las herramientas; no suponer; si falta información anotarla. |
¡Ponga Atención! |
|
El análisis de los estudiantes es un trabajo hipotético porque no han estado presentes durante la implementación del DRP: mucha información secundaria en forma de diálogo, reacción de los y las participantes solamente la saben los facilitadores del DRP. Por lo tanto, faltará información para hacer un análisis completo; sin embargo, como ejercicio en un curso de capacitación sigue siendo valioso. |
Figura 1

Figura 2

Figura 3

Figura 4

Figura 5
