Página precedente Indice Página siguiente


La influencia de los montes

ALDO PAVARI

Director de la Estación Experimental Forestal de Florencia (Italia), ex presidente de la Unión Internacional de Organizaciones de Investigación Forestal (U.I.O.I.F.)

La influencia de los montes sobre su medio ambiente forma parte de una correlación tan vasta como compleja. Especialmente como consecuencia del Proyecto de fomento para la región mediterránea, de la FAO, se procede ahora a una revaloración de los conceptos actuales al respecto, con vistas a una eventual publicación sobre el particular. El profesor Pavari expone en este articulo algunos antecedentes en forma de introducción general.

El monte es la formación vegetal más evolucionada y de mayores exigencias, sobre todo respecto al clima; obsérvase, en efecto, que las grandes líneas de la distribución de los montes en el mundo están determinadas por factores climáticos. Estos factores tienen un valor geográfico, mientras que, dentro de esta vasta zona determinada por el clima, la distribución y los tipos de la vegetación forestal son afectados por factores edáficos, cuyo valor es, por lo regular, topográfico.

El monte exige un mínimo de temperatura y humedad. Tiene, por tanto, dos límites: uno frío y otro xerotérmico. El límite frío está determinado no sólo en sentido latitudinal y altitudinal, sino también cuando no existe un mínimo de temperatura durante el período vegetativo. Dentro de estos límites, las variadísimas biocenosis forestales pueden reagruparse en grandes tipos, que - prescindiendo de su constitución florística y fitosociológica - siguen la identidad ecológica de la fisionomía vegetal. Esta distinción en grandes tipos de montes ha sido establecida por los fundadores de la geografía botánica; pero existen otras muchas clasificaciones, entre las cuales es difícil elegir. Una muy conocida, y que mejor responde a nuestro objeto, es la de Brockmann - Jerosch y Rübel, quienes distinguen los siguientes tipos:

1. Pluviisilvae. Montes «higrofíticos» ecuatoriales, tropicales y subtropicales, propios de los correspondientes climas de lluvias continuas y elevada humedad atmosférica. Se caracterizan por la preponderancia de plantas vasculares siempreverdes y por la gran abundancia de lianas y plantas epífitas, de especies principalmente caulifloras y desprovistas de yemas.

2. Laurisilvae. Como los precedentes, se encuentran en climas oceánicos, con limitado margen de variación de temperatura, lluvia abundante y sequía estival muy breve o inexistente. Están formados principalmente por especies higrófilas siempreverdes y con yemas, aunque también se encuentran en ellos coníferas de hojas escuamiformes.

3. Ericilignosa. Este tercer tipo de monte de los climas oceánicos se caracteriza por una temperatura media anual relativamente baja y veranos más bien fríos. Este monte es frecuente en América del Sur y en Sudáfrica, estando también representado en Europa por los brezales de la porción noroccidental.

4. Hiemisilvae. Montes «monzónicos», tropicales, del interior de los continentes, cuyas especies echan hojas sólo durante la estación de las lluvias. A diferencia de los Pluviisilvae, existen en climas continentales o subcontinentales con variaciones térmicas más o menos acentuadas.

5. Durisilvae. Montes xerófilos y esclerófilos, con hojas persistentes, de climas templados y cálidos, con períodos de sequía estival o invernal. Características del primero de estos tipos climáticos son la vegetación mediterránea y la ecológicamente homóloga («maquí» mediterráneo, «chaparral» californiano, scrub sudafricano).

6. Aestatisilvae. Montes de climas templados fríos, típicamente constituidos por frondosas caducifolias (por ejemplo, Fagus, Quercus), pero en los que se dan también coníferas (Abies, Pinus).

7. Aciculisilvae. Montes de coníferas de las zonas templadas frías, con plantas de hojas aciculares y persistentes. Su estructura es xerófila por la aridez fisiológica del invierno.

Aunque estos siete tipos están constituidos por un gran número de subtipos, todos ellos demuestran que la vegetación forestal depende del clima. Dentro de estas diversas formaciones, sin embargo, la vegetación forestal modifica el medio ambiente - o sea, el clima y el terreno - de tal modo que crea condiciones favorables a la continuidad de su propia vida. La formación estable es la que resulta de su equilibrio permanente con las condiciones ambientes que ella misma haya modificado.

No es posible generalizar acerca de la influencia del monte sobre el medio ambiente. Por el contrario, debemos estudiar la influencia de cada tipo de la casi infinita variedad de formaciones forestales.

Cuando la vegetación se establece por vez primera sobre un terreno de nueva formación, tenemos la sucesión progresiva primaria, representada por sucesivas etapas correspondientes a la influencia de los factores ecológicos. Cuando éstos son favorables, también la vegetación forestal obedece a la sucesión, hasta culminar en las formaciones representativas del equilibrio, o sea, el clímax. Cuando por cualquier intervención natural o - lo que es más frecuente artificial, la formación clímax resulta más o menos alterada en su estructura, se produce la sucesión regresiva, la cual puede desembocar en la completa desaparición de la vegetación forestal. Sin embargo, si las causas de esta sucesión regresiva cesan, aparece la sucesión regresiva secundaria, que, si no se la perturba, llega nuevamente a la fase de clímax. La influencia que cada fase vegetativa ejerce en el microambiente - esto es, en la estación - es lo que regula el mecanismo de una sucesión. De esta forma, se produce la gradual desaparición de las biocenosis típicas de cada etapa y su substitución por la de la fase sucesiva. Sólo encuadrando en estos conceptos la interpretación de las influencias del monte se puede llegar a resultados de valor científico y práctico.

Aun cuando existe una copiosa documentación sobre la materia, sólo una pequeña parte de las investigaciones concierne a las formaciones clímax. La mayoría de aquellas atañen a una u otra de las etapas de la sucesión ya mencionadas, habiéndose dedicado también otros muchos trabajos a las plantaciones artificiales. Sea cual fuere el valor que los experimentos puedan tener en sí, habrá que interpretarlos y, sobre todo, coordinarlos, con el fin de definir, en líneas generales las influencias del monte sobre el medio, refiriéndolas a cada uno de los grandes tipos que corresponden a otros tantos tipos climáticos. Desgraciadamente, existe una gran desproporción entre la abundancia de datos sobre los montes de clima templado o frío - Aestatisilvae y Aciculisilvae - y los relativos a los de otras regiones climáticas. Los datos experimentales acerca de los montes tropicales son en absoluto insuficientes e inadecuados a su extensión e importancia, y, antes de las investigaciones efectuadas en Italia, objeto de un informe al Congreso de la UIOIF de Budapest, en 1938, nada se sabía sobre los bosques mediterráneos - Durisilvae. Estas investigaciones fueron de especial interés porque condujeron a iniciar otras concernientes a las formaciones siempreverdes del «chaparral» de California, que, como ya hemos observado, es ecológicamente homólogo al maquí mediterráneo.

Muchas son las dificultades con que se tropieza en la experimentación cuando se intenta precisar las diferencias entre el medio ambiente forestal y el externo, y descubrir hasta qué distancia puede influir el monte en la modificación del ambiente externo circundante. Para que los datos fuesen verdaderamente atendibles en el ambiente externo no tendría que haber causas perturbadoras de la comparación. Y no sólo éstas existen, sino que representan casi siempre la regla. Por ejemplo, en los estudios relativos a los factores climáticos, el método comparativo - comparación entre el microclima forestal y el clima externo - resulta dificilísimo, porque si las observaciones en pleno campo se efectúan a grandes distancias del bosque, las condiciones perturbadoras pueden desvirtuar la comparación, pero si se hacen a cortas distancias, puede intervenir la influencia del monte, con la posible consecuencia de una modificación en los términos comparativos. Por esta razón se adoptó en los Estados Unidos el método histórico, especialmente para las investigaciones hidrológicas, extendiéndose después a otros países.

El método histórico presenta dos rasgos principales. Es el primero la observación, por un cierto número de años, de las características climáticas de un monte determinado y las del campo abierto, y el segundo, la subsiguiente eliminación del monte, con otro período de observación de las variaciones climáticas que sigan, comparándolas siempre con las características del clima de la zona elegido exteriormente. Un notable ejemplo del empleo del método histórico fue el experimento Wagon Wheel Gap efectuado en Colorado (Estados Unidos). Por espacio de siete años se tomaron las temperaturas y otros datos climáticos en dos cuencas hidrográficas semejantes. Una de ellas fue después denudada continuándose con las mediciones durante otros siete años. El primer periodo sirvió de término de comparaciones con el segundo. Los resultados han sido publicados en un primer informe1 y en otros lugares.2

1 BATES, C. G., y HENRY, A. J. «Forest and Streamflow at Wagon Wheel Gap, Colorado. Final Report» U.S. Monthly Weather Review, Supplement. 30:1-79, 1928.

2 KITTREDGE, J., Forest Influences, 1948.

Este método no llega a eliminar todas las causas de error ni la necesidad de una rigurosa reserva antes de extraer conclusiones. El proceso es largo y, posiblemente, muy costoso. Puede inducir a juicios pesimistas sobre las investigaciones hasta ahora efectuadas. Pero indudablemente, éstas tienen un valor real. Los datos hasta hoy recopilados nos consienten considerar el problema bajo una luz muy distinta de aquella a que se presentaba hace unos decenios.

Las influencias del monte pueden dividirse en tres grupos científicos y, a la par, prácticos: la influencia en el clima, en el terreno y en el agua. Uno de los principales factores de un microclima forestal es la radiación solar. Como las radiaciones solares no sólo son luminosas, sino también calóricos, a una reducción de la luz dentro del monte debe corresponder un descenso de temperatura, a menos que ésta no venga modificada por otros factores. En los bosques tropicales húmedos, dada la continua - o mejor, ilimitada - disponibilidad de calor, la densidad de la cubierta forestal puede ser elevadísima, reduciendo al mínimo la intensidad lumínica y térmica. Hacia los límites más fríos, la cubierta forestal es más rala, por lo cual admite mayor cantidad de luz en el monte - y especialmente en el suelo -, obteniéndose así las condiciones indispensables para la vida del bosque y su regeneración natural. Esta condición, determinada por la exigencia de calor solar, repercute después en otras influencias del monte. En los más espesos y umbrosos, por ejemplo, las precipitaciones están más interceptadas, las variaciones de temperatura son menores, y menor, también, la atenuación anemométrica. Este mismo fenómeno de la reducción en la densidad de la cubierta vegetal se observa hacia los límites xerotérmicos.

Un segundo factor del microclima forestal es la temperatura atmosférica. Los montes de los tipos Aestatisilvae y Aciculisilvae atenúan las temperaturas extremas del aire, especialmente en los estratos más próximos al terreno. Esta atenuación consiste generalmente en una disminución de las máximas y un aumento de las mínimas, de suerte que la temperatura invernal del monte no siempre difiere sensiblemente de la del campo abierto. Un fenómeno más generalizado y vulgarmente conocido es que, en verano, el interior del bosque es más fresco que el exterior, especialmente cuando se trata de un monte muy denso y sombrío. Ahora bien, como lo demuestran las investigaciones sobre los bosques mediterráneos, esta ley no es en absoluto constante. En efecto, las investigaciones han conducido a una diversa, y quizás más racional, interpretación de las causas determinantes de la influencia del bosque en la temperatura atmosférica.

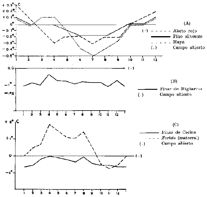
Esta nueva interpretación fue sugerida por un examen de los diagramas de Schubert3 (Figura 1A) para el abeto rojo, el pino silvestre y el haya, que muestran las diferencias de temperatura media mensual entre los bosques de estas especies y el campo abierto. Las curvas no indican las variaciones efectivas de temperatura, sino las diferencias en más o en menos que se observan en campo abierto, representadas estas últimas por una línea horizontal. Según estos diagramas, resulta que el pino silvestre hace descender levemente la temperatura interna en verano (2 grados menos que en campo abierto), y que en invierno apenas tiene influencia; por el contrario, el abeto rojo baja sensiblemente la temperatura interna en verano y la eleva en invierno (casi 3 grados más que en campo abierto, en el mes de enero). El haya es la especie que provoca mayores descensos de temperatura estival y, viceversa, la que mantiene interiormente un aire más cálido que en el exterior, no sólo en invierno, sino también en la primavera. Por ejemplo, en abril hay un grado más.

3 SCHUBERT, J., Der jährliche Gang der Luft - und Bodentemperatur im Freien und in Waldungen. Abh. der Preuss. Meteorolog. Inst., 1900 - 1901.

FIGURA 1. - Comparación de la temperatura media mensual del aire en el monte y en campo abierto (línea horizontal) (Según Schubert).

Pese a estas notables diferencias, los diagramas confirman el fenómeno general ya observado en los montes del clima templado frío de los tipos Aestatisilvae y Aciculisilvae, o sea, el descenso de la temperatura media mensual, en verano, y su elevación en el invierno. Estas diferencias no pueden explicarse solamente en función de causas físicas. Indudablemente, la cubierta de vuelo intercepta el paso de los rayos solares, atenúa los movimientos del aire y retarda las irradiaciones térmicas del suelo. Sin embargo, no es posible, en realidad, explicar por qué la temperatura estival desciende mucho más en el bosque de haya que en el de abeto rojo, a no ser que pasemos a considerar la acción física de las diversas cubiertas forestales y un nuevo elemento: la acción fisiológica. Porque en la acción fisiológica hay que incluir la transpiración.

La transpiración sustrae calor, y durante el ciclo vegetativo determina forzosamente una disminución térmica, tanto más acentuada cuanto más intensa la transpiración. El diagrama de Schubert confirma el fundamento de esta hipótesis, porque la más higrófila de las tres especies es el haya, y la más xerófila, el pino silvestre. El abeto rojo ocupa una posición intermedia. Las experiencias han demostrado precisamente que la transpiración es máxima en el haya, mínima en el pino silvestre e intermedia en el abeto rojo.4 Lógicamente, por tanto, el descenso de temperatura entre la primavera y el otoño debería ser directamente proporcional a la intensidad de transpiración. Las curvas del diagrama lo confirman plenamente.

4 Las cifras de Kittredge (1948) indican los siguientes consumos hídricos por transpiración durante un período vegetativo: Haya, 274 mm., abeto rojo, 210 mm., y pino silvestre, 74 mm.

La intervención de un fenómeno fisiológico en cuanto determinante de variaciones termométricas en el bosque respecto del exterior está confirmada por el hecho vulgarísimo de que la temperatura estival de los montes mediterráneos da la sensación de ser más elevada que fuera de ellos. Se trata exactamente de todo lo contrario de lo que se experimenta en los bosques de clima templado o frío. Podría suponerse que esta sensación contraria obedeciera a la reducidísima ventilación interior del bosque; en cambio, se ha comprobado experimentalmente que cuanto más xerófilos son los montes mediterráneos, tanto más sus influencias se apartan de esta norma.

Los diagramas (Figuras 1B y 1A) representan las temperaturas mensuales, comparadas con las del campo abierto, de tres diferentes tipos de bosques mediterráneos: el pinar de Migliarino y el pinar y el forteto (matorral) de Cecina. Consiste el primero en una masa de Pinus pinea con sotobosque de Quercus ilex. Por el terreno, muy fresco y francamente pantanoso en algunos puntos, puede considerarse como mesófilo. El pinar de Cecina está constituido también de Pinus pinea, pero su suelo es seco y arenoso, con capa freática mucho más profunda. Situado cerca del mar, por su terreno y por la acción eólica, puede considerarse como un bosque xerófilo. El forteto de Cecina es un tallar compuesto de encinas y otras especies características del maquí mediterráneo, que lo hacen denso e impenetrable. La vegetación y la aridez del suelo dan a este bosque un definido carácter xerófilo y mediterráneo.

En el pinar de Migliarino, las temperaturas medias - al contrario que en la Europa central - se mantienen constantemente más bajas que las del exterior durante todo el año. Las diferencias, sin embargo, son muy pequeñas, del orden de menos de 1°C. Ello demuestra que la acción física de la cubierta arbórea - que, al impedir la irradiación, debería elevar la temperatura invernal respecto de la del campo abierto - queda completamente anulada, porque la benignidad del clima y la humedad estimulan la actividad vegetativa durante todo el año, y también, por consiguiente, la transpiración. El resultado se traduce, en suma, en una pérdida de calor por efecto de la transpiración, y en un descenso termométrico, siquiera leve, respecto del exterior.

El pinar de Cecina muestra un comportamiento parecido, tendiendo a una constante disminución termométrica. Sin embargo, también se observa otro fenómeno. En primavera y verano, la temperatura interior se eleva tanto como la exterior, porque la actividad transpiratoria se atenúa por falta de humedad. En el otoño, la curva de las variaciones en menos desciende notablemente, lo que corresponde a la reanudación de la actividad vegetativa por efecto de las lluvias otoñales.

El diagrama del forteto de Cecina pone de relieve este fenómeno de la acción fisiológica. Aquí, las curvas diferenciales siguen en sentido totalmente opuesto al caso de los bosques de la Europa central. En los meses más fríos del invierno, la temperatura es casi igual que en el campo abierto; entre la primavera y el verano hay una rápida subida, que culmina en abril y mayo, registrándose después una leve flexión durante los meses estivales, aunque la temperatura se mantiene siempre superior a la exterior en 1°C. aproximadamente. En octubre se inicia un brusco descenso, y en los meses otoñales, el termómetro baja casi un grado respecto del exterior.

Hay una explicación para ello. En el forteto, como en todo bosque xerófilo, la actividad transpiratoria queda fuertemente reducida durante la estación cálida, de la primavera al otoño. Consiguientemente, también la transpiración misma se reduce, en lo cual estriba el proceso de adaptación xerofílica. Al cesar la transpiración, la acción no conductiva de la densa cubierta de vuelo siempreverde provoca una subida de temperatura respecto del exterior; pero, apenas las primeras lluvias otoñales estimulan la reactividad vegetativa, la transpiración vuelve a entrar en juego y la temperatura disminuye.

Es instructivo el examen del diagrama (Figura 2) que representa las variaciones de temperatura en los bosques de hayas, abetos rojos y pinos silvestres, en comparación con el exterior (Figura 2A). Para cada especie, la disminución termométrica mensual llega al punto máximo durante el período vegetativo; pero la reducción máxima corresponde al haya, y la mínima, al pino silvestre. Sin embargo, en los tres bosques mediterráneos estudiados la situación es muy diversa. En el pinar de Migliarino (Figura 2B), al igual que en los tres mencionados montes mesófilos, se verifica durante todo el año una reducción en las variaciones termométricas, aunque de distinto modo, ocurriendo lo mismo en el pinar de Cecina (Figura 2C). En el forteto, por el contrario, las diferencias de temperatura durante el verano y el otoño son mayores que en campo abierto, fenómeno éste que se debe a la elevación máxima diurna, porque el efecto no conductivo de la cubierta de vuelo no está compensado por pérdidas térmicas a causa de la transpiración.5

5 Esta hipótesis habría debido avalarse con mediciones mensuales directas de la transpiración, pero, prescindiendo de sus dificultades, ello no fue posible porque la guerra destruyó todas las estaciones meteorológicas que hubieran permitido seguir el curso de las temperaturas y transpiraciones.

FIGURA 2. - Variaciones mensuales de temperatura respecto del exterior (línea horizontal).

En otros continentes se ha observado un fenómeno exactamente igual al de los bosques mesófilos europeos. En el mes de julio se registró un descenso de 6°F. en una formación clímax de Pinus strobus de Idaho, y de 4,8°F. en un bosque de Tsuga canadiensis del estado de Nueva York. Por el contrario, en un monte mixto de Picea engelmanni y Populus del Colorado, a 9.000 pies de altitud, la baja temperatura, en el mismo mes de julio, fue apenas de 1°F. De todas las especies mencionadas, el haya es la de mayor consumo hídrico por efecto de la transpiración, mientras que Picea engelmanni consume poquísimo.

Por lo que a los bosques no mesófilos se refiere, Pearson ha observado que, en los montes de Pinus ponderosa de Arizona y Nuevo México, en julio no había diferencia con las temperaturas del exterior. Por otra parte, las investigaciones de Munns sobre el chaparral de California demuestran un comportamiento enteramente igual al del forteto mediterráneo. En efecto, el máximo absoluto de la temperatura del chaparral es, en verano, 7°F. más elevado que en el exterior, y las variaciones diurnas son superiores en más de 10°F. En el mes de julio, el promedio de las temperaturas máximas supera en 5°F. al del campo abierto. Kittredge (1948) atribuye este fenómeno al estancamiento del aire por la cubierta de copas, densa y baja. Aunque es cierto que este factor existe, se relaciona con la falta de transpiración, lo cual está confirmado por los estudios del cercano monte de Pinus jeffreyi, en el cual Munns hizo observaciones paralelas. La máxima absoluta supera apenas en 1°F. a la temperatura exterior, lo que demuestra el carácter xerófilo del monte.

El tercer factor de la influencia del monte en el clima es el viento. Debiéndose este fenómeno principalmente a la densidad y desarrollo de la cubierta de copas y a la mayor o menor espesura de la masa, es evidente que la reducción anemométrica dentro del bosque está en proporción con tales circunstancias. En otras palabras, el tipo de monte no establece diferencias apreciables al respecto. Sin embargo, merece observarse que las masas de especies caducifolias, desprovistas de fronda, ejercen una acción menos eficaz que cuando están revestidas, y que el aclareo de la cubierta de copas lleva consigo otras consecuencias más o menos patentes, aparte de aumentar el movimiento del aire. La principal de estas consecuencias es el incremento de la evaporación, con el consiguiente efecto desecador, en los climas cálido - áridos. En los climas fríos, sin embargo, se traduce en mayores diferencias termométricas y, sobre todo, en la disminución de las temperaturas mínimas.

Se recuerda, a propósito, que el porcentaje medio anual de la velocidad del viento, en comparación con el exterior, es 44 en el pinar de Cecina, 17 en el de Migliarino y 11 en el forteto. En los días de viento fuerte, hay calma casi absoluta dentro del forteto, lo cual, en unión de la reducidísima transpiración, explica el gran recalentamiento del aire interior en relación con el exterior, durante el verano.

En la influencia del monte sobre el clima hay un cuarto factor: la humedad atmosférica; y si bien suele admitirse que la humedad relativa no permite indicar la humedad efectiva del aire, por estar en relación con la temperatura, es interesante revelar las diferencias entre ambos fenómenos, temperatura y humedad relativa, en varios tipos de montes respecto del exterior. En los montes xerófilos, por ejemplo, a las más das variaciones diurnas de la temperatura se unen las de la humedad relativa. Son igualmente significativas las diferencias higrométricas entre el interior y el exterior del bosque, en tanto que la temperatura es casi igual. También aquí vemos confirmadas las diversas intensidades de transpiración para el haya, el abeto rojo y el pino silvestre. Datos recogidos en Suiza y Alemania revelan los siguientes porcentajes de aumento en la humedad relativa, en proporción al exterior, durante el verano, o sea, el período de máxima intensidad transpiratoria: para el haya, 9,35 por ciento; para el abeto rojo, 8,56, y para el pino silvestre, 3,87. Para el alerce, por cierto, tal aumento es del 7,85 por ciento. Esta cifra confirma los resultados de otras investigaciones, todas las cuales han demostrado que el alerce consume gran cantidad de agua por transpiración.

El quinto factor es la temperatura del suelo. La cubierta forestal atenúa el calentamiento del terreno y su irradiación, no sólo según el tipo y la densidad de la propia cubierta misma, sino también según las propiedades del suelo. Existe también la acción mitigadora de estos montes sobre las variaciones de temperatura, con disminución de las máximas y aumento de las mínimas. Esta influencia es importante en cuanto afecta a los horizontes superiores del terreno, donde se producen fenómenos biológicos de gran importancia. También los montes mediterráneos influyen notablemente sobre la temperatura del suelo, aunque con bastante diferencia respecto del comportamiento general de los bosques de climas templados y fríos. Aun cuando las diferencias pueden obedecer a las propiedades del terreno - lo que es un factor importantísimo -, es interesante registrarlas aquí. En el pinar de Cecina, las temperaturas de verano y otoño, a 20 centímetros de profundidad, son menores que en el exterior; pero en invierno, y a igual profundidad, siguen siendo bastante más bajas dentro del monte que fuera. El mismo fenómeno se observa en el pinar de Migliarino, pero aún más acentuado, produciéndose hasta los 50 centímetros de profundidad. Al mismo tiempo, la temperatura del forteto es más baja que en el exterior durante todo el año, hasta una profundidad de 50 centímetros. En el verano, la diferencia en menos, a 20 centímetros de profundidad, llega hasta los 7°C. Dicho de otro modo, la influencia de los bosques mediterráneos es análoga a la de otros tipos de montes durante el verano, pero diferente en los meses de otoño e invierno, manteniéndose entonces la temperatura más baja que en el exterior. Incluso en los bosques mediterráneos, sin embargo, las variaciones termométricas se atenúan. Además, hasta 1 metro de profundidad, la penetración del calor es más lenta que en los terrenos húmedos.

El sexto y más importante factor de la influencia del monte sobre el clima es la lluvia. Se trata de una compleja y discutida cuestión, a la que se ha conferido una gran importancia. Un elemento importante es la capacidad de intercepción del bosque. Entre la precipitación fuera o debajo de la cubierta de copas hay una diferencia, y esta precipitación interna suele expresarse como porcentaje de la primera. En las mediciones pluviométricas en el bosque, sin embargo, no se tiene en cuenta el agua que corre por el follaje y por el tronco (stem flow), la cual debe medirse aparte con aparatos especiales. Deducida esta cantidad del porcentaje de intercepción se obtiene la pérdida por intercepción.

La relación entre ambos términos varía considerablemente, según sea el tipo de bosque. En el forteto mediterráneo, la intercepción total es del 35 por ciento, y en el chaparral californiano, hasta del 38 por ciento. En este último, sin embargo, el 30 por ciento de las precipitaciones no queda interceptado por la cubierta de copas y reevaporado, sino que, por el contrario, llega hasta el suelo por escurrimiento (stem flow), por lo que la pérdida por intercepción es solamente del 8 por ciento. En otro tipo de chaparral, con un 19 por ciento de intercepción, el 8 por ciento está representado por el escurrimiento, con lo cual la pérdida por intercepción es sólo del 11 por ciento. En el forteto de Cecina no se midió este escurrimiento, pero probablemente es igual de elevado.

Este escurrimiento aumenta la humedad del terreno, porque esta lenta y espaciada afluencia de agua no puede unirse a la escorrentía de las precipitaciones que llegan al suelo a través de la cubierta de copas. Para explicar el papel desempeñado por la intercepción en este fenómeno puede decirse que mientras la pérdida por intercepción representa una merma real en el agua caída, el escurrimiento (stem flow) contribuye a incrementar la humedad del suelo forestal. No obstante, hay divergentes opiniones en cuanto a la importancia de la intercepción en el ciclo hidrológico, sobre todo después de los experimentos de Engler en Suiza, quien llegó a la conclusión de que, a los efectos de la escorrentía de los terrenos boscosos, esa importancia es secundaria, en comparación con factores tales como la permeabilidad y porosidad de dichos terrenos. No se debe generalizar. Sin embargo, lógico es que, en un bosque de frondosas caducifolias, la intercepción sea mucho mayor cuando los árboles están revestidos, que no en invierno, cuando están denudados. Por ejemplo, cuando el haya está revestida, la intercepción puede exceder del 40 por ciento, y es sólo el 19 por ciento si denudada. La importancia de este fenómeno varía con el régimen pluviométrico.

En el Mediterráneo, las precipitaciones se recogen principalmente en otoño e invierno, y, a menudo, de un modo intenso y torrencial. En el clima continental europeo, sin embargo, las lluvias son generalmente estivales y no muy intensas. Ahora bien, hay muchos tipos de montes comunes a estos dos grandes sectores climáticos. El haya, por ejemplo, se encuentra en montañas mediterráneas, como los Apeninos italianos, y en las llanuras de la Europa central. Pues bien, por lo que a la intercepción se refiere, hayedos iguales actúan de muy distinto modo en uno y otro ambiente. En los Apeninos, el rodal está denudado y, por tanto, su capacidad de intercepción es mínima, en otoño e invierno, cuando las lluvias son más abundantes e intensas. En la Europa central, por el contrario, la capacidad de intercepción es máxima, porque la masa aparece totalmente revestida en verano, cuando las precipitaciones son más intensas.

Este fenómeno está representado por el diagrama (Figura 3) que indica la distribución mensual de la intercepción en relación con las precipitaciones, en un hayedo de Vallombrosa y otro de Berlín. Suponiendo igual capacidad de intercepción en ambos, de una precipitación total de 231 mm., en los meses de julio, agosto y septiembre, el hayedo berlinés intercepta 100 mm. y deja pasar 131. Si consideramos el mes de noviembre, vemos que, de los 47 mm. de precipitación mensual, pasan 36 y son interceptados apenas 11, mientras que en Vallombrosa, de 161 mm. pasan 124.

La realidad es muy diferente, porque la intercepción no puede ser la misma en ambos casos, sino que es inversamente proporcional a la intensidad pluviométrica. En los hayedos - como en cualquier otra masa de frondosas caducifolias - que crecen en clima mediterráneo, con su régimen invernal de lluvias típicamente torrenciales, la intercepción es reducidísima durante esa estación. Por consiguiente, su efecto regulador de la escorrentía es escaso.

FIGURA 3 A. - Variación mensual de la intercepción, según la precipitaciones, en un hayedo. (Según Schubert)

Aún menos eficaces, por su menor densidad, son los encinares y, sobre todo, los rodales de castaños cultivados. La vegetación siempreverde, por el contrario, desempeña una importante función en el clima mediterráneo, con su concentración de las lluvias en otoño e invierno, siempre que sea muy densa, como es el caso en los maquís y formaciones análogas. En los maquís, la intercepción llega a cifras muy elevadas. Una gran proporción es atribuible al escurrimiento (stem flow), condiciones éstas que confieren una gran importancia a la intercepción como factor del ciclo hidrológico. Dicho sea de paso que la cubierta de copas puede influir en la intercepción más por su proyección que por su densidad. Para el pinar de Cecina, de 77 años y con cerca de 400 árboles por hectárea, la intercepción, en el período 1932 - 35, era del 26,3 por ciento. En el de Migliarino, de 55 anos y sólo 95 árboles por hectárea, era del 37,7 por ciento.

FIGURA 3 B. - Precipitaciones interceptadas (área punteada) y sin interceptar (en blanco), según porcentajes anteriormente indicados, en un hayedo de Berlín.

Los diversos tipos de montes se comportan de distinto modo también respecto de la evaporación, por combinarse en ellos su propia acción con la recíproca del clima. La propia cubierta vegetal, en climas cálidos y ventosos, ocasionará mayor reducción en la evaporación que un terreno denudado. La reducción será mucho mayor, por ejemplo, en el clima mediterráneo que en los climas oceánicos o continentales. En el pinar de Cecina, la reducción anual equivale al 42 por ciento de la del terreno denudado; en el de Migliarino, al 53 por ciento, y en el forteto siempreverde, al 60 por ciento.

FIGURA 3 C. - El mismo fenómeno (como se indica en la figura 3 B en un hayedo del Apenino toscano Vallombrosa).

Si de los promedios anuales pasamos a los mensuales, observamos que, en climas calurosos y áridos, la influencia del monte es intensísima en verano, como asimismo en los meses de fuertes vientos. En un monte de Pinus ponderosa de Arizona, en efecto, la evaporación llega hasta el 70 por ciento de la correspondiente al exterior,6 y el forteto de Cecina ha superado frecuentemente esta cifra. Según el período de lluvias, este fuerte descenso de la evaporación en el interior del bosque puede tener efectos hidrológicos muy diversos. Si el verano es seco, su influencia en la escorrentía es imperceptible, mientras que para la vida del bosque resulta beneficioso. En la estación de las lluvias, por el contrario, su influencia está en razón inversa de la intercepción. Así, puede ser que en terrenos boscosos, por su menor evaporación, la escorrentía sea mayor que en los denudados. En fin, a los efectos del equilibrio hídrico, evaporación y transpiración deben estudiarse conjuntamente, porque sus respectivas influencias pueden sumarse o compensarse. Experimentos efectuados en los Estados Unidos han demostrado que a la vez que la corta del sotobosque aumenta la evaporación, elimina la pérdida de agua debida a la transpiración del mismo.

6 Pearson, 1931.

Montes tropicales

Los tipos más exuberantes y representativos son los montes siempreverdes de los climas ecuatoriales y tropicales húmedos, conocidos como bosques higrofíticos tropicales. Los climas donde vegetan se caracterizan por sus temperaturas constantemente elevadas y con leves variaciones. La media anual oscila entre los 20° y los 28°C. y las variaciones mensuales anuales son del orden de los 5°C. En algunas zonas apenas descienden 1°C. Las variaciones diurnas van de los 3° a los 16°C. Las temperaturas máximas del Ecuador raramente pasan de 33° ó 34°C, mientras que en los trópicos pueden subir hasta los 50°C. La precipitación media anual, superior a los 2.000 mm., puede llegar incluso a los 4.000 y pasar, en ocasiones, de los 10 metros. Su distribución es bastante uniforme porque, aun dándose las llamadas estaciones húmedas y secas, hasta en los meses más áridos las precipitaciones mensuales pasan de los 1.000 mm. De todas formas, la periodicidad pluviométrica influye menos en el tipo de monte que en el ciclo biológico (períodos de floración y fructificación). Los límites pluviométricos del monte tropical húmedo están señalados, aproximadamente, por precipitaciones anuales de 1.650 a 1.900 mm., con medias mensuales de 200 mm.7 La humedad atmosférica es generalmente elevada, pues llega al 93 ó 94 por ciento y raramente baja del 70 por ciento, pero las altas temperaturas dan lugar a déficit de saturación muy acentuados. Salvo en caso de huracanes, tornados y tifones, la intensidad del viento suele ser menos violenta que en los países templados.

7 Solamente 60 mm., según Köppen.

Podría inferirse que el microclima interno de los montes tropicales no difiere sensiblemente del externo, pero para afirmarlo hace falta documentación experimental, 'que es en extremo escasa. El microclima interno de los montes tropicales ha sido bastante estudiado, aunque no durante períodos suficientemente largos, pero los datos comparativos del clima interno con el externo son más raros. Un elemento incierto en la comparación de los montes tropicales con los de clima templado y frío es el gradiente térmico, o sea, las variaciones de la temperatura en función de la altitud. Tenemos, así, la jungla de la Zona del Canal de Panamá, donde el gradiente, entre 0,60 m. y 46 m. de altitud, apenas varía en 2°C. a mediodía, y en 1,7°C. a las seis de la mañana. Pero, dada la diversidad de montes tropicales, se observa en otros casos que los gradientes son mucho más acentuados e irregulares. En sotobosque espeso, a 1 ó 2 m. de altitud, suelen registrarse temperaturas más bajas, que van aumentando según se asciende hacia el plano arbóreo dominado y llegan al máximo al pasar de la cubierta de copas dominante, con una diferencia de 5° a 6°C. Es evidente, según manifiesta Richards, que «en el bosque higrofítico hay más de un tipo de gradiente térmico»8.

8 RICHARDS, P. M., The Tropical Rain Forest.

Es lógico suponer, ciertamente, que, en los estratos inferiores del monte, haya más diferencias termométricas respecto del exterior que al nivel de la cubierta de copas de los pies dominantes. La humedad atmosférica debe variar siguiendo la misma regla, y, análogamente, la intensidad lumínica - aun siendo fortísima - se reducirá en los distintos planos de vegetación y según su densidad y estructura. Uno de los pocos ejemplos de observaciones comparativas es el ofrecido por Carter y Sallenave para el monte experimental de Trang-Bom, en Indochina. Véanse seguidamente algunos datos relativos al período de observación 1933-37:

CUADRO 1. - TEMPERATURA ATMOSFÉRICA (GRADOS CENTÍGRADOS)

Temperatura

Fuera del bosque

En el bosque

Diferencia

Máxima media anual

32,1

28,4

-3,7

Mínima media anual

21,4

22,5

1,1

Diferencia

10,7

5,9

-4,8

Variación máxima diurna

18,5

13,5

-5

Mínima

1

0,3

-0,7

Diferencia entre la extrema máxima y la extrema mínima para todo el período

27,7

24

-3,7

CUADRO 2. - HUMEDAD RELATIVA (PORCENTAJE)

Humedad

Fuera del bosque

En el bosque

Diferencia

Media anual, a las 6 de la mañana

97,9

96,7

-1,2

Media anual, a las 2 de la tarde

67,1

82,3

15,2

Diferencia

30,8

14,4

-16,4

Diferencia máxima entre la media mensual a las 6 de la mañana y a las 2 de la tarde

51,8

42,9

-8,9

Diferencia mínima entre la media mensual a las 6 de la mañana y a las 2 de la tarde

10,7

2,7

-8

Diferencia entre la extrema máxima y la extrema mínima a las 2 de la tarde para todo el período

77

72

-5

CUADRO 3. - EVAPORACIÓN (EN MILÍMETROS)

Evaporación

Fuera del bosque

En el bosque

Diferencia

Total para el promedio anual

702,2

297,5

-404,7

Máximo total mensual

126,4

67,1

-59,3

Mínimo total mensual

26,2

6,6

-19,6

Total promedio de 24 horas

1,9

0,8

-1,1

Máxima, en 24 horas, para todo el período

8,3

 

 

También P. H. Gerard ha estudiado un monte secundario y de constitución muy compleja cerca de Bambesa, en el Congo Belga. He aquí las observaciones principales para el período 1952 - 1953, comparando el interior del monte con el exterior:

«La temperatura atmosférica es reducida, las variaciones estacionales son paralelas, y sensible la influencia de la tropofilia. La tensión del vapor de agua es siempre superior, y el déficit de saturación, muy débil. La temperatura del suelo es siempre más baja; la variación diurna, muy reducida, y la estacional, siempre acentuada. La intercepción por parte del monte es el 14,2 por ciento de la cantidad registrada por seis pluviómetros dispuestos en un radio de 10 metros en torno a la estación, y el 23,7 por ciento de la registrada por otros 23 pluviómetros colocados en un mismo radio y por igual espacio de tiempo. Los valores de la evaporación son bajos y paralelos a los del exterior. La media de los valores mensuales, dentro del monte, es el 25,4 por ciento de los obtenidos en el exterior, con protección, y el 15,2 por ciento de los correspondientes al campo abierto y sin protección. El porcentaje de evaporación nocturna es más elevado dentro del monte que fuera. La velocidad del viento alcanzó dentro del monte, por un breve espacio de tiempo, el 5 por ciento de la exterior.

«Estos datos, en los que faltan los correspondientes a las observaciones sobre la luz y la velocidad del viento dentro del monte, no representan más que un solo tipo de microclima forestal. Es absolutamente cierto, sin embargo, que cada tipo de formación tiene su propio microclima».

Las observaciones de Gerard revelan que también el monte tropical, como el higrófilo y como el mesófilo, disminuye la temperatura media anual, sobre todo por efecto de la reducción de las mínimas, a la vez que reduce las variaciones de las temperaturas anuales, mensuales y diurnas. Las diferencias de la humedad relativa son ligeras y, además, de escasa importancia, porque, en los climas tropicales, la mayor influencia ecológica es atribuible al déficit de saturación. Por el contrario la evaporación resulta considerablemente aminorada, como es lógico suponer, dada la enorme densidad de la cubierta de vuelo. Esta menor evaporación contribuye al enriquecimiento del equilibrio hídrico, pero la transpiración actúa en sentido negativo, aunque también conduce a un incremento higrométrico, al menos dentro de un cierto radio.

Existen algunos estudios relativos al coeficiente de evapo-transpiración. Así, Bernard, en su memoria del año 1953,9 ha calculado la evapo-transpiración media anual de la inmensa zona forestal del Congo Belga, que cubre una extensión de un millón de kilómetros cuadrados. Para ello empleó la fórmula clásica: (E + T) = (P - D), donde E + T = evapo-transpiración, P = precipitación, y D = escorrentía. Aplicando esta fórmula, la evapo-transpiración de la sabana es de unos 1.025 mm., y la del monte ecuatorial, de casi 1.500 mm.

9 L'evapo-transpiration annuelle de la forêt équatoriale congolaise et son influence sur la pluviosité. Informe del XI Congreso de la UIOIF, Roma, 1953.

Otro cálculo podría ser el del equilibrio de energía, método familiar a los geofísicas y aplicado inicialmente a la evaporación lacustre. Se basa en las calorías por gramo necesarias por cada cm. de superficie horizontal para la evaporación de 1 mm. de agua. La fórmula fundamental para este cálculo tiene por coeficiente muy importante el albedo, o sea, la relación entre la radiación reflejada y la total. En el monte, el albedo es apenas conocido, pero. las primeras cifras obtenidas con aeroplanos o helicópteros revelan variaciones del 3 al 10 por ciento.

Bernard recomienda justamente un plan conjunto de investigaciones sobre el albedo, pues se trata de un factor esencial para el cálculo del equilibrio de energía y para todo estudio de la acción hidrológica del monte. Si, como observa Bernard, la evapo-transpiración se considera fundamentalmente como cuestión energética, resulta independiente de la masa vegetal que transpira y evapora. En efecto, una cubierta herbosa de unos cuantos centímetros de altura puede evapo-transpirar más que un monte ecuatorial espeso, con masas de 30 a 40 m. de altura, lo que ha sido confirmado por experimentos efectuados sobre cubiertas herbáceas de Paspalum notatum de alturas diversas y regadas con regularidad. Las cifras señalan un consumo hídrico no muy diverso de los 1.385 mm., aproximadamente, calculados para el bosque del Congo. Esto es, la influencia de estos inmensos montes no difiere considerablemente de la ejercida por los terrenos herbosos o por la sabana. Este experimento refuerza la teoría de que el monte ecuatorial es efecto, y no causa, de la elevada pluviosidad en la depresión central del Congo.

En los trópicos hay variadísimos tipos de transición entre el monte y la sabana, o sea, la formación herbácea con árboles dispersos. Las líneas divisorias pueden partir del bosque tropical húmedo o del de especies caducifolias. En grandes extensiones, la sabana no es ecológicamente autóctona, sino la consecuencia de la regresión del monte, casi siempre por la acción del fuego. El fenómeno adquiere vastas proporciones, especialmente en Africa y en Sudamérica. Es, pues, difícil establecer el límite ecológico real entre el monte y la sabana, límite que, a su vez, varía con las condiciones climáticas. Faltan suficientes datos experimentales sobre los montes tropicales de árboles caducifolios para poder establecer comparaciones con los microclimas de los otros tipos principales de bosques.

Es lógico admitir, sin embargo, que los montes tropicales de especies caducifolias, revestidos durante la estación de las lluvias, ejercen el máximo poder de intercepción precisamente en esa época. Y es igualmente lógico suponer también que tienen muchas acciones en común con otros bosques; por ejemplo, la reducción de la intensidad lumínica, que llega naturalmente al máximo en el período vegetativo, y la disminución de la velocidad del viento y de la evaporación. Es evidente que estas acciones dependen de la densidad y de la estructura de la cubierta arbórea, y que disminuyen gradualmente a medida que la cubierta forestal es más rala, hasta llegar a la sabana.

Influencia del monte a distancia

El lindero forestal, como es sabido, presenta condiciones especiales, dando lugar a lo que puede llamarse «microclima de lindero» que puede tener cierta importancia para los cultivos agrícolas colindantes y el cual difiere del microclima interno y del externo por variaciones térmicas más acentuadas debidas a una acción refleja. Los experimentos realizados en los pinares de Cecina y Migliarino y en el forteto han revelado, en comparación con el exterior, un aumento de 1°C. en las máximas estivales, para los dos pinares, y de unos 2°C. para el forteto.

En las experiencias italianas, sin embargo, se ha considerado otro problema muy importante, cual es el de la transmisión de los caracteres del microclima forestal no en sentido horizontal, sino verticalmente. Para ello emplearon globos - sonda provistos de instrumentos registradores, hasta una altura de 1.000 metros. Sugirieron estos experimentos los efectos hace tiempo observados por los aviadores al volar sobre zonas boscosas, y también por una ley física elemental, según la cual las corrientes de aire caliente tienden a ascender, y las de aire frío a descender, sin activar en sentido horizontal, salvo el eventual concurso del viento.

Los resultados de estos experimentos demuestran que el bosque más mesófilo - el pinar de Migliarino - y el más xerófilo - el forteto - ejercen influencias muy diversas. Comparados con el campo abierto, la temperatura, por encima del pinar de Migliarino, se mantiene siempre más fría hasta una altitud de 500 metros, con diferencias máximas en las horas nocturnas. A 1.000 metros de altura, por el contrario, estas diferencias se atenúan, siendo apreciables sólo en las horas matinales. Ello indica que las características del microclima forestal del pinar - es decir, temperatura más baja respecto del exterior, debido principalmente a la transpiración - se transmiten verticalmente, hasta pasados los 500 metros de altitud. Sin embargo, por encima del forteto, donde la temperatura estival es más elevada que en el exterior, las características de este clima más cálido se comunican a la atmósfera superior, hasta una altitud de 500 metros, con una diferencia hasta de 3° o 4°C. Este calentamiento del aire por encima del bosque se produce más gradualmente, y con menores variaciones, que en el exterior. A los 1.000 metros, el efecto se atenúa; pero en el sentido de que la temperatura nocturna o sea, desde el atardecer hasta la mañana siguiente - se mantiene más alta por encima del bosque que en campo abierto. Desde la mañana hasta el mediodía baja bastante.

Una de las más importantes influencias que el monte ejerce a distancia es la reducción de la velocidad del viento. Sabido es, desde hace tiempo, que la acción del bosque es beneficiosa para los cultivos que se alternan con zonas boscosas más o menos dispersas. Se dispone ya de una copiosa información sobre la influencia de las cortinas rompevientos. Los experimentos italianos han demostrado que, aun tratándose de montes de notable extensión, su protección se limita a una distancia del lindero forestal equivalente a diez o doce veces la altura de los árboles. Nägeli ha llegado a conclusiones análogas en Suiza.

Un tema muy discutido es si el bosque puede influir en el aumento de las precipitaciones, o, por lo menos, en su mejor distribución. Hay que establecer una distinción entre la influencia local y la influencia a larga distancia. La influencia local depende, principalmente, del efecto atenuante que un enfriamiento del aire, por encima del bosque, puede tener en el déficit de saturación, independientemente de un posible aumento en la humedad atmosférica superior. En algunas regiones templadas montañosas, o donde los veranos suelen ser nubosos, cuando el déficit de saturación es muy bajo basta un ligero descenso termométrico para provocar un aumento de las precipitaciones del orden del 2 al 3 por ciento. En climas cálidos, sin embargo, donde el déficit de saturación es altísimo, el enfriamiento del aire que el bosque pudiera ocasionar no sería suficiente para provocar las precipitaciones.

En los montes mediterráneos, como ya hemos visto, este enfriamiento no ocurre. Al contrario, el aire es más caliente por encima del bosque. Por consiguiente, con una misma humedad absoluta, el déficit de saturación aumenta. Otra influencia local sobre las precipitaciones es la acción retardatriz que el bosque puede ejercer en las corrientes de aire ya cargadas de humedad próxima a la condensación. Esta acción retardatriz y de fricción de la corriente de aire sobre la cubierta de copas puede llamarse de «efecto orográfico». Apenas perceptible en las zonas montuosas, en las llanuras de clima templado puede ocasionar un incremento de las precipitaciones locales, hasta un máximo del 3 por ciento.

Son muchos los que suponen que los montes aumentan o distribuyen mejor las precipitaciones en vastas zonas. Se trata de uno de los problemas más debatidos y todavía sin resolver. Aun excluyendo otros muchos factores - y quizá no del todo sabidos - que pueden influir en la lluvia, no parece lógico atribuir al monte una influencia tan amplia, cuando su influencia local es tan insignificante. El régimen pluviométrico está determinado principalmente por lluvias de naturaleza ciclónica y por los relieves montuosos: el monte no representa aquí más que un elemento secundario. Su influencia en la conservación del suelo y en el régimen hidrológico es primordial y actúa poderosamente en el equilibrio natural y en la vida humana. No es necesario, pues, atribuirle influencias todavía hipotéticas.

Esta incertidumbre no rige solamente para los montes estudiados, como los de los países templados y fríos, sino también para los montes tropicales, menos investigados. No es probable que los bosques de las regiones húmedas ecuatoriales y tropicales - los de las zonas montañosas incluidos - ejerzan apreciable influencia en las precipitaciones. Dado el altísimo déficit de saturación atmosférica, tampoco parece que esa influencia pueda admitirse en los climas tropicales áridos. Carter y Sallenave afirman que «las graves consecuencias de la deforestación en climas áridos o en los de aridez periódica no obedecen a los cambios del clima general, sino a la destrucción del microclima forestal. El microclima del monte condiciona directamente el clima de su suelo, siendo ambos factores vitales para el proceso de transformación de la materia orgánica y para el régimen hídrico del terreno». «Todo parece indicar - escribe Hughes - que la presencia del bosque puede suponer un aumento de las precipitaciones locales, pero sus efectos en el plano regional y continental no han sido probados. En este importantísimo aspecto de las influencias del monte es donde nuestros conocimientos son menos satisfactorios»10.

10 «The influence of forests on climate and water supply» Forest Abstracts, Vol. 2, 1949.

La influencia en el suelo

En las diversas fases de la sucesión progresiva del monte hacia el clímax, las asociaciones vegetales correspondientes modifican el terreno y preparan el camino a las formaciones típicas de la etapa sucesiva, hasta culminar en el clímax. Este mismo fenómeno se manifiesta durante la sucesión regresiva, después de alterada o desaparecida la formación clímax. En la fase final de esta regresión, el suelo forestal puede desaparecer por completo a causa de la erosión. Ahora bien, en cada tipo climático - salvo hacia los límites fríos y xerotérmicos - donde la sucesión progresiva de la vegetación forestal pueda evolucionar sin perturbaciones externas, sobre todo las de carácter antropógeno, el bosque constituye la defensa más completa y eficaz del suelo.

Cierto que la erosión no puede ser totalmente eliminada puesto que es parte de esa gran ley natural en cuya virtud el relieve orográfico se va modificando lentamente. Pero es también cierto que, a los efectos prácticos, la cubierta vegetal protectora del bosque reduce al mínimo los efectos erosivos. Aun las formaciones vegetales más modestas - por ejemplo, matorrales y malezas de las regiones cálido - áridas - representan una valiosa defensa si son de notable densidad. Contra otros movimientos del suelo - especialmente los corrimientos de tierras - , no siempre el monte actúa de defensa. Algunas influencias perturbadoras son evidentes, figurando entre ellas la destrucción del bosque por el fuego, por aludes o por vientos huracanados. Otras, aunque menos visibles, pueden tener mayor importancia, especialmente si se prolongan durante mucho tiempo. Una de estas últimas influencias es la de la explotación forestal, que altera la estructura natural del bosque en mayor o menor grado. Y otra, el pastoreo, porque el suelo, pisoteado por los animales, pierde porosidad e impermeabilidad por endurecimiento. Cuantos afirman que el monte no ofrece suficiente defensa contra la erosión deben recordar que ello obedece a que se trata de un bosque más o menos degradado, aunque el fenómeno no sea fácilmente perceptible en la cubierta forestal.

Los suelos de los montes tropicales difieren notablemente de los de otros tipos de bosques. Lo más común es el terreno laterítico, cubierto de una ligera capa superficial de humus. Pese a su enorme masa foliar, la cubierta muerta del monte higrofítico es muy escasa. En efecto, apenas llega a los 3 cm. de espesor, porque, al igual que otros residuos - ramiza y cortezas - , la hoja se transforma rápidamente en humus. Salvo que se acumule en las pequeñas depresiones, el contenido de materia orgánica, aun en los montes higrofíticos de llanura, no pasa del 1 al 2 por ciento de un estrato superficial de casi 10 cm. Ello obedece a una intensa y compleja acción de los organismos, y también al fenómeno puramente químico de la oxidación.

Sorprende que, no obstante la continua lixiviación del suelo y el consiguiente empobrecimiento de los componentes minerales, la vegetación del monte tropical sea tan exuberante como la que surge sobre suelos más ricos, en climas áridos o en la sabana. El máximo enriquecimiento de minerales nutritivos se verifica, sin embargo, en los estratos superficiales, por la constante aportación de los residuos vegetales; en tales estratos se desarrolla la mayor parte de los sistemas radicales.

La roca del subsuelo es más importante para el avenamiento que como fuente de minerales, y la riqueza del horizonte superior puede desaparecer fácilmente en cuanto la cubierta se interrumpa, y aún más si el monte se quema o desarbola para dejar paso a los cultivos. Esta rapidísima desaparición de la fertilidad es universalmente conocida. En Honduras Británica, donde las precipitaciones anuales no son demasiado abundantes - unos 1.800 mm. -, la recolección de maíz en terrenos que fueron forestales desciende a una tercera o a una cuarta parte al año. Otro caso parecido es el de las plantaciones brasileñas de café. Los terrenos agotados pueden rehabilitarse con la creación de nuevos bosques, siempre que se empleen otras especies distintas de las primitivas.

Existe un marcado contraste entre la influencia del monte y la ejercida por otras cubiertas vegetales, especialmente las herbáceas. Si estas últimas son densas y sin solución de continuidad, representan una eficaz defensa contra la erosión superficial, pero influyen en la porosidad del terreno sólo sobre un estrato relativamente delgado, mientras que el bosque actúa a profundidades mucho mayores. La cubierta herbácea favorece la escorrentía, sobre todo por la facilidad con que se satura, mientras que el bosque, siempre que no sufra alteraciones, tiende a favorecer la infiltración y absorción de agua, y a incrementar su circulación subterránea.

El monte es más que una defensa contra la erosión. Es, también, una admirable protección para el suelo vegetal en los terrenos más estériles e improductivos, con lo que resultan revalorizados. Destruir el bosque, o sustituirlo por otras formas irracionales de explotación del suelo puede tener consecuencias desastrosas para la productividad del terreno. Aumenta los peligros de la erosión. Muchas regiones del globo se lamentan de ello, pues tales consecuencias se traducen en el avance progresivo de los desiertos y en las tormentas de arena y tierra que, procedentes de los terrenos denudados, se abaten sobre extensiones fértiles y ricas.

Rompevientos y cortinas de protección

Un modo de fomentar la productividad del suelo es mediante el decidido empleo de rompevientos y cortinas de protección. Los montes ocupan las extensiones cuyo clima es favorable a su desarrollo, sea por la temperatura o por la humedad. Son vastísimos los territorios forestales, coincidiendo en buena parte con las zonas más adecuadas para la vida humana. A la acción antropógena se deben dos hechos de grandísimo alcance: primero, que los montes climáticos han sido mayormente alterados o modificados por el hombre de un modo más o menos intenso; segundo, que sobre enormes extensiones los montes han desaparecido ya. Han sido sustituidos por varios cultivos o vegetaciones consiguientes a la regresión, que van desde la maleza hasta el matorral, la estepa, el pantanal, y, como última fase, el desierto.

Si la acción del hombre no hubiese existido jamás, hoy no habría una diferencia tan profunda entre la zona forestal en potencia y la real. Y si esa acción cesara, el monte podría volver a ocupar todo el terreno perdido y que potencialmente le pertenece. Podría evolucionar hacia estados climáticos y alcanzar el equilibrio estable representado por el trinomio clima-formación clímax - terreno climácico. Alcanzada esta hipotética situación - de la que no hay más que contados ejemplos, aun en las zonas de menor influencia antropógena -, los climas de estas inmensas zonas terrestres constituirían un conjunto de microclimas forestales. El hombre civilizado, sin embargo, habita un mundo profundamente modificado. El equilibrio natural que el expresado trinomio representa está ya más o menos gravemente destruido. Todas las civilizaciones, en efecto, han pasado por una primera fase en la cual el hombre ha dado cuenta del monte. Sigue una segunda fase con la que se intenta su reconstitución y defensa, después de haber experimentado las tristes consecuencias de la deforestación.

Todavía el monte subsiste en territorios habitados por el hombre. Según sean las condiciones locales, se presenta más o menos fraccionado y alternando con tierras de labor, o predomina donde la agricultura es menos remunerativa, y donde su función protectora - en la montaña, por ejemplo - es plenamente reconocida. En otros casos, el bosque ha desaparecido sin dejar rastro. Las alteraciones climáticas debidas a la deforestación habrán sido más o menos acentuadas. El clima actual de una determinada región difiere de su clima natural - es decir, el clima forestal - en relación con la vastedad e intensidad de la deforestación.

Como exigencias de vida de la población no permiten restablecer el monte en toda su extensión potencial, se plantea este problema: ¿por qué medios podemos - siquiera hasta cierto punto - acercarnos al equilibrio natural, ya alterado o destruído? Uno de los medios más eficaces, y hoy reconocido, es la plantación de rompevientos y la difusión del árbol, tan válidas para los terrenos altamente productivos e intensamente cultivados, como para las tierras de pastoreo. Empleando rompevientos podemos extender el monte hasta superar el límite de sus posibilidades de vida, llevándolo, por ejemplo, hasta la estepa. Trabajando la tierra, regando, abonando, etc., permitiremos que la vegetación arbórea se establezca en ambientes naturalmente hostiles.

Se han dado algunos sorprendentes ejemplos de los efectos de los rompevientos en la productividad de los cultivos por ellos protegidos. Es éste uno de los principales motivos a favor de las plantaciones arbóreas en terrenos completamente desarbolados y de los cuales se pretenda un alto grado de productividad, por lo cual la repoblación forestal representa uno de los instrumentos fundamentales en el rescate de tierras. Vale la pena considerar, por cierto, la función que en la producción maderera, puede desempeñar el árbol en terrenos no forestales. Esta producción es a menudo un factor esencial para la economía rural y para todo el país. El rendimiento económico que se deriva de la explotación maderera de las cortinas de protección es un argumento que se sale de nuestro tema. Ello no obstante, no se olvide que la conveniencia económica suele condicionar su plantación.

La influencia en el régimen hídrico

El problema de la influencia del monte en el régimen hídrico fue tratado por Wilm con cierta extensión.11 No ya es de por sí de una gran vastedad y alcance, sino que va íntimamente ligado al problema, mucho más amplio y complejo, del efecto con que el bosque puede obrar sobre los cursos de agua y, por consiguiente, sobre las cuencas hidrográficas. Uno de los factores principales de la acción hidrológica del monte es la porosidad y permeabilidad del suelo. Toda acción que tienda a disminuir esta natural porosidad - aparte de su influencia negativa en la estructura, vigor vegetativo y productividad del bosque provoca un notable aumento en la escorrentía. Como ejemplos de la dañosa intervención de' hombre podemos añadir la recogida de la cubierta muerta, el empleo de tractores - oruga y algunas desastrosas consecuencias de la construcción de vías forestales.

11 H. G. WILM, «Influencia de la vegetación forestal en el suelo y las aguas», Unasylva, Vol. 11, N° 4.

También conviene estar atentos respecto de los embalses y pantanos. Frecuentemente se construyen sin atender a la situación hidrológica de la. cuenca o de las cuencas aferentes de montaña. Si éstas no son lo suficientemente boscosas - o, al menos, con una vegetación tal que constituya una cubierta persistente - , la erosión puede alcanzar gravísimas proporciones, especialmente cuando las lluvias son muy intensas. Muchos embalses han resultado inútiles en pocos años a causa de la sedimentación, por no haberse pensado en asegurar la conservación del suelo en la cuenca hidrográfica mediante repoblaciones forestales. Esta situación ha creado problemas bastante graves en Africa del Norte y en Sicilia.

En algunos países no es posible superar una determinada proporción de bascosidad en las cuencas hidrográficas, especialmente cuando existe una fuerte densidad demográfica. Por ello se hace necesario un vasto plan de obras para asegurar, de una parte, la racional destinación del suelo al monte y a los demás cultivos, y, de la otra, todas las medidas que permitan a los terrenos extraforestales ejercer una acción que se acerque lo más posible a la ejercida por el monte. El mejoramiento de las cuencas hidrográficas no afecta solamente a los forestales, sino a un círculo más vasto de expertos, todos los cuales deben actuar en el ámbito de una buena política de aprovechamiento de tierras. La necesidad de esta decidida política ha sido expuesta y subrayada por Wilm.12 Por lo menos en los Estados Unidos, se reconoce oficialmente que «sólo en una región de aguas limpias puede hablarse de agricultura y estructura social».13

12 Véase op. cit.
13A Water Policy for the American People, U.S. Government Printing Office.


Página precedente Inicìo de página Página siguiente