(Nota: este ejercicio tiene por objeto hacer ver en qué forma pueden combinarse los cálculos de todas las secciones precedentes para obtener evaluaciones y consejo práctico en la ordenación racional de una pesquería).
Los datos siguientes fueron obtenidos de la pesquería de arrastre de «chafer» (pez imaginario) en el Mar «Round» (mar imaginario).
Los datos han sido agrupados en tres períodos, sobre la base de los distintos niveles de esfuerzo pesquero en cada uno de ellos.
1. Capturas. Las capturas se dan en millares de toneladas, los números en millones de individuos y el esfuerzo en millares de horas pescando.
|
|
Año |
Captura |
Esfuerzo |
|
|
(en peso) |
(en número) |
|||
|
Período 1 |
|
|||
|
|
1932 |
82,2 |
118,5 |
30 |
|
1933 |
109,4 |
143,2 |
40 |
|
|
1934 |
66,7 |
82,0 |
24 |
|
|
1935 |
108,0 |
124,9 |
45 |
|
|
1936 |
45,0 |
51,4 |
25 |
|
|
1937 |
111,3 |
155,5 |
46 |
|
|
1938 |
79,1 |
105,3 |
35 |
|
|
Período 2 |
|
|||
|
|
1950 |
136,0 |
190,1 |
91 |
|
1951 |
102,7 |
144,6 |
72 |
|
|
1952 |
141,1 |
217,1 |
84 |
|
|
1953 |
122,2 |
179,2 |
75 |
|
|
1954 |
81,1 |
110,9 |
62 |
|
|
1955 |
126,0 |
191,4 |
81 |
|
|
1956 |
164,0 |
241,7 |
103 |
|
|
Período 3 |
|
|||
|
|
1961 |
128,8 |
177,2 |
116 |
|
1962 |
170,4 |
270,3 |
142 |
|
|
1963 |
158,4 |
256,0 |
138 |
|
|
1964 |
122,1 |
188,7 |
132 |
|
|
1965 |
155,0 |
267,3 |
125 |
|
|
1966 |
135,9 |
216,3 |
128 |
|
|
1967 |
143,9 |
249,4 |
115 |
|
Representando gráficamente los datos de captura total y captura por unidad de esfuerzo frente a los del esfuerzo correspondiente, ¿podría obtener una conclusión preliminar sobre el estado de la pesca y del efecto que se podría esperar con un cambio del esfuerzo?
2. Las composiciones por edades obtenidas de tablas de edad-talla, basadas en las lecturas de la edad por los otolitos, y ampliadas a las composiciones totales anuales por talla, son (en porcentajes):
|
Año |
Edad |
||||
|
3 |
4 |
5 |
6 |
7 |
|
|
1932 |
35,4 |
49,3 |
10,0 |
3,9 |
1,4 |
|
1933 |
34,5 |
24,3 |
32,7 |
6,5 |
2,0 |
|
1934 |
32,4 |
25,2 |
16,2 |
21,9 |
4,3 |
|
1935 |
27,9 |
25,0 |
17,5 |
12,5 |
17,1 |
|
1936 |
23,3 |
25,0 |
22,8 |
17,8 |
11,1 |
|
1937 |
55,8 |
13,2 |
12,4 |
11,2 |
7,4 |
|
1938 |
35,4 |
39,8 |
8,0 |
8,8 |
8,0 |
|
1950 |
40,5 |
34,1 |
16,0 |
6,4 |
3,0 |
|
1951 |
49,0 |
21,2 |
17,5 |
8,8 |
3,5 |
|
1952 |
60,7 |
20,2 |
8,6 |
7,1 |
3,3 |
|
1953 |
49,1 |
31,0 |
10,7 |
4,9 |
4,3 |
|
1954 |
38,2 |
32,4 |
19,9 |
6,9 |
2,7 |
|
1955 |
61,7 |
14,1 |
13,5 |
8,0 |
2,6 |
|
1956 |
50,9 |
30,0 |
9,4 |
5,8 |
4,1 |
|
1961 |
31,5 |
48,2 |
9,5 |
7,9 |
2,7 |
|
1962 |
66,9 |
10,8 |
16,4 |
3,2 |
2,6 |
|
1963 |
62,6 |
25,9 |
3,9 |
6,4 |
1,2 |
|
1964 |
54,8 |
28,8 |
11,7 |
1,9 |
2,8 |
|
1965 |
73,7 |
15,0 |
7,7 |
3,1 |
0,5 |
|
1966 |
57,0 |
31,5 |
6.5 |
3,5 |
1,5 |
|
1967 |
74,1 |
15,0 |
8,6 |
1,6 |
0,8 |
Estimar el coeficiente de mortalidad total (Z) para cada uno de los tres períodos. Determinar el coeficiente de mortalidad natural (M) utilizando estos valores de Z y esfuerzo medio en cada uno de los tres períodos.
Estimar también el coeficiente de mortalidad por pesca F.
3. La relación entre edad y talla en el «chafer» es la siguiente:
l1 = 10 cm;
l2 = 22 cm;
l3 = 33 cm;
Ajustar una curva de BERTALANFFY a estas observaciones y estimar los parámetros de crecimiento. W = 00,1 l3.
4. Los experimentos de selectividad con un copo cubierto y una malla de 100 mm. dieron los resultados siguientes:
|
Talla (cm) |
Número de peces |
|
|
en el copo |
en el sobrecopo |
|
|
29 |
0 |
510 |
|
30 |
30 |
623 |
|
31 |
82 |
728 |
|
32 |
151 |
855 |
|
33 |
554 |
555 |
|
34 |
631 |
276 |
|
35 |
778 |
85 |
|
36 |
698 |
12 |
|
37 |
500 |
0 |
Determinar la longitud media de selección y el factor de selección. Obsérvese que las longitudes se registraron al centímetro inferior.
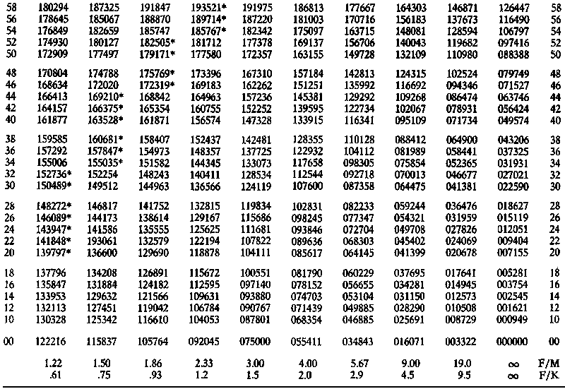
5. En estos últimos años (es decir, en el tercer período examinado) el tamaño de la malla utilizado en la pesquería de estos peces fue de 100 mm. Utilizar las tablas de rendimiento para responder las preguntas siguientes:
1) ¿Es posible obtener una mayor captura utilizando este tamaño de malla y aumentando el esfuerzo pesquero?2) ¿Qué esfuerzo daría el rendimiento máximo para este tamaño de malla y cuál es el rendimiento a este nivel de esfuerzo?
3) ¿Cuál sería el efecto sobre el rendimiento de un aumento del tamaño de la malla de 100 a 110 mm., manteniendo el esfuerzo al nivel del tercer período?
4) ¿Qué tamaño de malla daría el máximo rendimiento para este esfuerzo y cuál sería este rendimiento?
TABLA I

TABLA I

TABLA I

TABLA I

TABLA I

TABLA I

La exponencial e-x
