Course lines and stations are shown in Fig 4.1. The transects across the shelf were generally 20 nautical miles appart, stretching some nautical miles beyond the shelf edge and with a nearest distance to the shore of 3 nautical miles. The waters between the islands in the archipelago east of Massawa were not navigable by means of the charts available onboard the vessel.
Along the coast of Ethiopia the bottom is extremely rough and uneven. Trawl stations were, therefore, located according to the bottom conditions more than according to the acoustic fish recordings. On the narrow shelf along the northern part of the coast, bottom conditions did not allow operation of the bottom trawl.
Hydrography was observed in two sections, one off the southern and one off the northern part of the coast. These sections are shown in Figs 4.2 and 4.3 respectively. Only temperature and dissolved oxygen content could be presented since salinometer tables for salinities above 39 units were not available onboard the ship.
Both sections showed a thermocline (where the temperature decreases rapidly with depth) at about 100 m depth. The surface temperature in the southern section was close to 25 °C while the surface temperature on most stations in the northern section was above 26.0 °C. Below the thermocline the temperatures were almost constant, close to 25.75 °C in both sections.
The oxygen content in the surface layer was above 5 ml/l in the southern section and between 4 and 5 ml/l in the northern. The transition layer between the well aerated surface layer and the underlying waters with low contents of oxygen, was not very sharp and stretched from about 50 to 200 m depth. The minimum values were observed between 200 and 300 m depth and were below 0.5 ml/l of dissolved oxygen.
Pelagic fish was very little abundant, only some few scattered schools were observed. The distribution of Pelagic fish is indicated in Fig. 4.4. The densest concentration was recorded in the southern part of the area. These resources were not available for trawling due to very rough bottom and heavy traffic of merchant ships in the area, but according to the echo recordings they consisted of very small species. The rest of the recordings indicated in Fig. 4.4 consisted of only one or two schools. The general conclusion must therefore be that the pelagic resources were at a very low level.
Demersal fish: The recordings of demersal fish is indicated in Fig. 4.5. The resources were most abundant in the southern part of the area and the species composition seemed to vary somewhat with distance from the shore. Near the shore the resources consisted mainly of small species of which NEMIPTERUS and SAURIDA species were large components. On the outer shelf the catches consisted of much larger fish, mainly LUTJANUS species. The species composition of the catches is given in the trawl log which is attached.
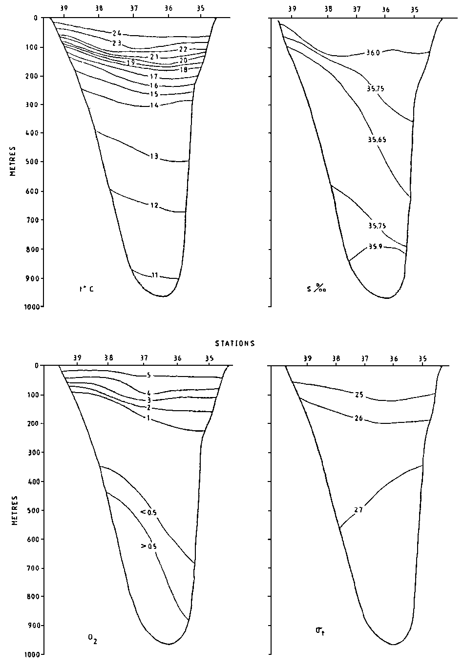
Fig. 2.2. Distribution of temperature, salinity, dissolved oxygen (ml/l) and density off Aden.
Fig. 2.6. Course tracks and stations around Socotra.
Fig. 2.7. Distribution of pelagic fish around Socotra.
Fig. 2.8. Distribution of bottom fish around Socotra.
Fig. 3.1. Course tracks and stations off the NE-coast of Somalia.
Fig. 3.3. Distribution of temperature, salinity, dissolved oxygen (ml/l) and density off Ras Hafun.
Fig. 3.4. Distribution of pelagic fish off the Somali NE-coast.
Fig. 4.2. Distribution of temperature and dissolved oxygen (ml/l) off southern Ethiopia.
Fig. 4.3. Distribution of temperature and dissolved oxygen (ml/l) off northern Ethiopia.

Fig. 4.4. Distribution of pelagic fish in Ethiopian waters.
Fig. 4.5. Distribution of demersal fish in Ethiopian waters.