by T.J. Kempton, J.V. Nolan and R.A. Leng
The apparent inefficiency of ruminants compared with monogastric animals in utilizing protein-rich feeds has been used as an argument to emphasize the importance of monogastric animals in preference to ruminants for meat production. However, recent studies have indicated that with correct balancing of digestible nutrients, ruminants are potentially highly efficient users of protein feeds under a variety of agricultural situations, including the utilization of low-protein by-products of agro-industries.
The authors are at the Department of Biochemistry and Nutrition, Faculty of Rural Science, University of New England, Armidale, N.S.W. 2351, Australia. This article has drawn on a considerable amount of unpublished work from their laboratories, including studies supported by grants from the Australian Wool Research Committee, the Australian Meat Research Committee, the Australian Research Grants Committee and the Rural Credits Development Fund. The authors wish to thank G.L. McClymont for helpful comments during the preparation of this article.
Efficient utilization of protein and non-protein nitrogen (NPN) by ruminants in any production system depends on a knowledge of the underlying basic principles, and these are reviewed here. Emphasis in this review, however, is given to the requirements for dietary proteins that escape from the rumen unchanged and are available for digestion. These are termed “by-pass proteins” to differentiate them from proteins fermented in the rumen, and from total available digestible protein (which is digestible by-pass protein plus digestible microbial protein) termed “metabolizable protein” by Burroughs et al. (1971).
Protein digestion in ruminants
General considerations. In different production systems, ruminants feed on many types of carbohydrates, proteins and other plant and animal constituents. Most digestible carbohydrates are fermented by essentially the same pathways to volatile fatty acids (VFA) plus methane and carbon dioxide (Figure 1). Proteins are fermented to the same end products and, in addition, to ammonia. However, peptides and amino acids are intermediates and may be used in microbial cell synthesis. Ammonia is either absorbed directly across the rumen wall or passes out of the rument with the fluid phase of digesta or is incorporated into microbial protein. The dietary protein is, however, not totally degraded and some passes intact into the abomasum and duodenum, where it is digested by enzymic hydrolysis (Figure 2).
Figure 1. Outline of the pathways of carbohydrate and protein degradation in the rumen

By-pass protein is defined here as the dietary protein that passes intact from the rumen to the duodenum.
Digestible by-pass protein is that portion of the by-pass protein which is hydrolyzed in and absorbed from the small intestine. Overprotected proteins are neither fermented in the rumen nor digested in the small intestine.
Microbial, dietary and endogenous proteins leaving the rumen are subjected to digestion and absorption in the small intestine. Any protein leaving the small intestine may be fermented by microorganisms in the caecum and colon or excreted in the faeces, but it is generally believed that the microbial protein produced in these organs is not available as amino acids to the animal.
Figure 2. Degradation and digestion of dietary protein in the tuminant

The factors that influence the absorption and supply of amino acids to the tissues of ruminants are therefore complex and not fully understood. For some of the major factors, see Table 1 and Figure 2.
Ammonia utilization in the rumen.
Peptides, amino acids and ammonia form the nitrogenous starting material for the synthesis of microbial cells. Ammonia is extensively used by many species of rumen microorganisms as a source of N for synthesis of their nitrogenous constituents. However, two points must be emphasized:
1. Some species of organisms commonly found in the rumen require preformed peptides or amino acids. If these are not provided in the diet, and are low in concentration in rumen fluid, some microorganisms may disappear from the rumen, changing the balance of species. The total quantity of protein synthesized, or the efficiency of microbial synthesis (g protein/kg of fermented organic matter [FOM]). May thus be altered. There may be a reduction in protein yield if ammonia concentration is low, i.e. less than 80 mg N/1 (Satter and Slyter, 1972). The practical implication of these results is that whenever ammonia concentration falls below about 80 mg N/1 (although when fermentation rate is rapid the critical range may be higher), the rumen microorganisms may be ammonia-deficient, and might be considered likely to respond to dietary non-protein nitrogen (NPN) supplements. In the grazing ruminant, this situation occurs less frequently than might be expected because sheep, and to a lesser extent cattle, show marked ability to select the material of high N content from poor quality pastures (Loosli and McDonald, 1968).
2. Even when nutrients are nonlimiting in the rumen, the rumen system may not supply sufficient microbial protein to meet the needs for maximum production. Under these conditions, high production depends on an additional exogenous amino acid supply to the duodenum (as, for example, by feeding by-pass protein). It has been found that although lactating cows can be maintained on protein-free diets (Virtanen, 1996), for maximum milk production 20 percent of the dietary nitrogen has to be supplied as protein (Virtanen, 1967).
Figure 3. Effect of physiological state on potential retention of nitrogen in relation to digestible organic matter intake

Protein requirements of ruminants
In the past, the protein requirements of ruminants and evaluation of the protein value of foods for ruminants have been based on digestible crude protein (N × 6.25), although this has been discredited to some extent recently (Miller, 1973). The use of the concept of digestible crude protein has arisen largely because it was considered that the animal could obtain its essential amino acids from microbial protein produced in the rumen from ammonia, and this removed the need for a specific requirement for dietary protein. This in turn led to suggestions that extensive use could be made of non-protein nitrogen materials (such as urea) by ruminants producing meat and milk from low-protein-high-carbohydrate feeds. These concepts must be modified in the light of recent research findings which indicate that when amino acid requirements of ruminants are high, msufficient protein is available from microbes. This indicates that amino acid requirements should be expressed in terms of amino acids absorbed by the animal (i.e. digestible by-pass protein plus digestible microbial protein).
The protein or amino acid requirements are, however, influenced by a number of factors, i.e. the physiological state of the animal, the rate of growth and production as influenced by metabolizable energy intake, the body composition as influenced by previous nutritional history, the proportions of different amino acids absorbed, the efficiency of microbial protein production and its net availability, patterns of ruminal fermentation as these affect production and availability of volatile fatty acids that are glucogenic (propionic, valeric and isobutyric acids), and the requirements for glucose.
The protein requirements of ruminants are not constant, but vary in relation to changing productive or physiological state (Figure 3). The dotted line indicates the extent of incorporation of microbial protein into tissue protein. Provided metabolizable energy is non-limiting, the rumen microorganisms appear to be able to provide sufficient protein for maintenance, slow growth and early pregnancy, but not for fast growth, late pregnancy or early lactation.
For the above reasons, protein requirements of ruminants cannot simply be stated as digestible crude protein (N × 6.25) in a given diet. It is therefore necessary to assess requirements for N in terms of the amount of NPN and amino acid N needed by the rumen microbes and the amount of digestible by-pass protein needed by the animal. However, the many factors that affect such requirements must be understood in order to apply such requirement data.
Table 1. Factors influencing availability of amino acid from the digestive tract
| Rumen | Microbial protein | Availability of fermentable substrate | |
| Efficiency of bacterial growth | |||
| Species composition of microbial community | |||
| Death or destruction of microorganisms and subsequent fermentation in the rumen | |||
| Rumen fluid turnover rate | |||
| Dietary protein escaping fermentation | Balance of microorganisms | ||
| Solubility of protein | |||
| Particle size and physical form of feed | |||
| Voluntary feed intake | |||
| Rumen fluid turnover rate | |||
| pH | |||
| Small intestine | Digestibility of microorganisms | ||
| Digestibility of by-pass protein | |||
| Digestibility of endogenous secretions | |||
| Rate of flow for digesta (influencing efficiency of digestion) | |||
| Presence of parasites and microorganisms in the small intestine | |||
Figure 4. Glucose synthesis rates in sheep in various physiological states

Protection of proteins from ruminal degradation
Chalmers and Synge (1954) and Annison (1956) established that protein solubility is the major factor governing the rate of breakdown of dietary protein in the rumen. Rate of rumen fluid turnover and other factors are also involved (Table 1). If flow rate from the rumen is rapid, some highly soluble dietary proteins may leave the rumen intact. Conversely, relatively insoluble proteins will be degraded if they are retained for long periods in the rumen, and therefore, as discussed by Sutherland (1976), flow rate from the rumen has considerable influence on the quantity of by-pass protein (as defined here) in a diet.
Since some protozoa can ingest solid feed particles, these may assist in breaking down relatively insoluble particulate protein, and the extent to which this occurs depends on the total biomass of protozoa in the rumen (leng. 1976). There also must be large differences between cattle and sheep since, in general, sheep grind their feed more fully in chewing and therefore make a greater surface area of protein available for colonization by microorganisms.
The oesophageal groove reflex also enables dietary proteins to become directly available to the animal. This has been used by Ørskov and Benzie (1969) to supplement growing lambs with proteins.
Naturally occurring by-pass proteins
By-pass protein occurs naturally in feedstuffs or can be produced by various chemical or physical manipulations.
The solubility of proteins in most herbage species varies considerably with both stage of vegetative growth and environmental conditions (Table 2). Hume and Purser (1974) have found that ruminal degradation of clover proteins in sheep declined from 74 percent in green material to 45 percent in mature material. In freshly cut grass fed to sheep there was little by-pass protein present (MacRae, 1976). Up to 60 percent of pasture protein goes into solution in chewing (Reid et al., 1962), indicating its highly soluble nature.
Protection of dietary proteins during processing
Many of the processes of preserving herbage (e.g. sun-drying, forced-air drying or freezing) significantly decrease the solubility of the proteins. Ensiling (unless preceded by wilting) generally results in a decrease in by-pass protein content of the final material (Goering and Waldo, 1974).
Heat treatment protects dietary proteins for ruminants, but it is important that appropriate temperature and heating times are employed for particular feeds. However, the optimal conditions are often not known. The effects of temperature on soluble N content, N digestibility and N retention in lambs fed dried lucerne are shown in Table 3. Heating above 160°C depressed N retention in lambs, indicating overprotection of the dietary protein. However, the extent to which overprotection occurred may have been influenced by the composition of the lucerne plants at the time of harvest. The content of sugars influences the extent of heat “damage” brought about by the so-called Browning reaction. For instance, heating of meat meals with molasses has resulted in considerable reduction in the biological value of the protein as a result of the Browing reaction, as indicated by chicken growth assay.
Techniques including grinding, pelleting, rolling, cracking, micronization and wafering are often used in feed compounding, and these processes affect the amount of by-pass protein in a diet through changes in both physical and chemical characteristics and subsequent changes in digesta flow patterns (Thomson, 1972). Heat treatment during solvent or pressure extraction of oilseeds results in a variable amount of by-pass protein in the resulting meals.
Chemical protection of proteins.
Proteins may also be protected chemically from rumen fermentation using substances such as tannins, formaldehyde, glutaraldehyde, glyoxal and hexa-methylene-tetramine (e.g.formaldehyde-treated casein (Ferguson et al., 1967). Because of the availability of low-cost naturally occurring by-pass protein, chemical treatment of dietary proteins is probably uneconomical. Chemical or heat treatment, however, may find application in some developing countries where oilseed meals are often prepared without heat and fishmeals are prepared from sun-dried fish, since the proteins of these meals are highly soluble.
Overprotection. Various treatments can cause overprotection of proteins in meals, i.e. the proteins are rendered wholly or partially indigestible in the small intestine. For instance, Kempton et al. (1976) found that 100 percent of formaldehyde-treated casein escaped from the rumen of lambs, and of this only 70 percent was digested in the small intestine.
Responses to by-pass protein in ruminants
The first reported responses to additional amino acids given in the duodenum of sheep were those by Egan and Moir (1965). Voluntary intake of a low-protein roughage by adult sheep was stimulated by infusion of amino acids into the duodenum. Responses in wool growth have also been obtained with interaduodenal infusion of protein and by feeding protected proteins (Ferguson, 1975).
Under practical conditions Prestion and Willis (1970) were the first to demonstrate that feed intake and growth could be stimulated by inclusion of dietary by-pass protein (fishmeal) added to a low-protein diet. Similar results were obtained with lambs given pelleted barley diets by Ørskov et al. (1973).
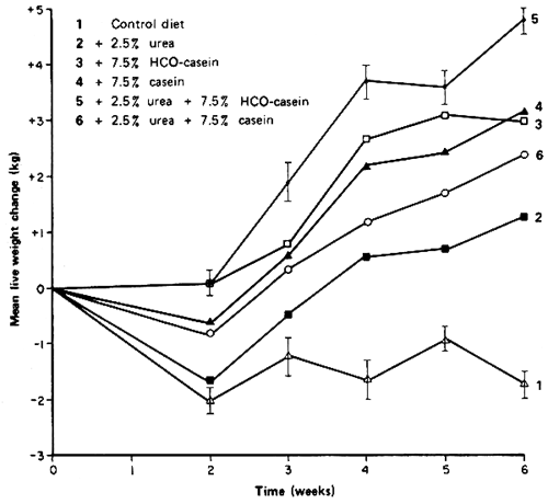
Studies with low-protein fibrous diets in these laboratories also show that feed intake and lamb growth are often restricted by dietary protein availability. Young lambs on diets of 70 percent oat hulls, 30 percent Solka-Floc (a pure wood cellulose) plus minerals were used. Additions of 2 to 4 percent urea (sufficient to supply adequate N for microbial fermentation) and various combinations of casein (Which is completely degraded in the rumen) and formaldehyde-treated casein (HCO-casein) were made (Figure 5). There was a much greater response in total feed intake and growth rate from HCO-casein in conjunction with urea, as compared with soluble casein or urea alone. In other experiments lambs were given the same basal diet plus 2 percent urea with graded quantities of casein and HCO-casein. As the by-pass protein content of the diet was increased, the intake of feed increased, but was at a maximum at 10 percent HCO-casein in the diet (Figure 6). Similar results have been obtained on the more lignified cellulose diets.
Table 2. Solubility of different protein feeds
| Protein feed | Solubility |
| Percent fermented | |
| Meat meal | 30 |
| Fishmeal | 20–80 |
| Soybean meal | 20–70 |
| Lupin | 65 |
| Casein | 100 |
| Formaldehyde-casein | 0–10 |
| Groundnut | 65 |
| Formaldehyde-groundnut | 20 |
| Groundnut (heated) | 20 |
| Linseed (heated) | 20 |
| Cottonseed (heated) | 20 |
| Dehydrated lucerne | 40 |
| Lucerne hay | 60 |
| Fresh clover | 75 |
| Dry clover | 45 |
| Rye-grass | 65–100 |
| Silage | 70–80 |
| Wilted silage | 50–70 |
| Grains | 30–50 |
NOTE: Values may vary consuderably between samples, depending on a large jumber of veriables, and should be taken only as a guide.
All these results suggested that protein status and not rumen fill is the first limitation to intake on low-protein diets.
Responses to by-pass protein on green pasture. There is some evidence that the proteins in young fastgrowing pastures may be so soluble that little dietary protein passes out of the rumen (MacRae, 1976); so at times productive ruminants at pasture may be protein-deficient (Leng, 1975), resulting in low feed intake and production. Preliminary studies in these laboratories have indicated that lamb growth may be stimulated at pasture by drenching the animals with a slurry containing fishmeal (Archer et al., 1976).
By-pass protein and feed intake. The effect of by-pass protein in all diets used in these laboratories was mediated largely through stimulation of feed intake (Figure 7) as indicated by the linear relationship between feed intake and growth rate on all diets in both studies.
Rumen and metabolic factors influencing the requirements for by-pass protein
Efficiency of microbial protein synthesis. The efficiency of microbial protein synthesis, expressed as the quantity of microbial amino acids available for absorption in the small intestine per unit of organic matter fermented in the rumen, must influence markedly the requirements for dietary amino acids.
This efficiency (Table 1) is influenced by many factors including feed intake, feeding patterns, age of animal and species used, or experimental technique. For each kg of FOM, between 15 and 35g N as microbial protein have been estimated to leave the rumen of sheep (Thomas, 1973). It is difficult to relate much of this work to the practical feeding situation, since much of the data was obtained with animals consuming 85 to 95 percent of ad libitum feed intake. On some diets restriction of feed intake markedly changes the species composition of the microbial communities. This occurs, for example, on grain diets where a restriction of feed intake results in the appearance of a large protozoal population (Eadie and Mann, 1970). It seems that even with ad libitum feeding regimes, the availability of microbial protein per kg of FOM is variable, and it is clear that this is a factor that must be considered when formulating diets.
Table 3. Effects of drying temperature on the solubility and digestibility of nitrogen in lambs fed dried lucerne
| Temperature of drying | Soulble N | N digestibility | N retention |
| °C | Percent | g/day | |
| 65 | 43 | 69 | 6.0 |
| 130 | 40 | 68 | 7.4 |
| 160 | 40 | 66 | 6.9 |
| 180 | 34 | 52 | 3.9 |
SOURCE: Gobering and Waldo, 1974.
Turnover of microorganisms in the rumen. The amount of microbial protein available for intestinal digestion depends upon the efficiency of microbial growth which is affected by the rate of degradation of microbial cells in the rumen. The longer a microorganism remains in the rumen, the more likely it is to become damaged and digested in the rumen with a consequent decrease in the outflow of microorganisms. Damage and degradation of microorganisms result from predation by protozoa which actively ingest bacteria, and infection by bacteriophages and mycoplasmas (Hoogenraad et al., 1967). Marked changes of environmental conditions in the rumen may precede the death of protozoa and bacteria (Leng. 1976). Dead microorganisms are substrate for other microorganisms and are fermented to VFA, ammonia and methane. An internal cycle in the rumen has been demonstrated (NH3—N→microbial N→NH3—N), suggesting that at least 30 percent of the microbial biomass is continually degraded in the rumen (Nolan and Leng, 1973).
Retention of protozoa in the rumen. Protozoa appear not to leave the rumen in any quantity relative to their concentration in the rumen fluid (Weller and Pilgrim, 1974; Leng and Preston, 1976; Baigent et al., 1976). If these organisms do not leave the rumen, they are most certainly turned over in the rumen since their numbers vary from day to day; this turnover in the rumen will reduce the availability of microbial protein to the animal.
Figure 5. Growth of lambs on roughage-based diets1 supplemented with urea, HCO-casein, casein, urea and HCO-casein, and urea and casein

1 70 percent oat hulls, 30 percent pure wood cellulose.
Digestibility of rumen microorganisms. The digestibility of rumen microorganisms has often been considered to be constant. However, recent results have suggested that the digestibility of rumen microbes in the small intestine may vary from 30 to 70 percent (Smith, 1975). This variability will have a marked effect on the requirements of animals for bypass protein for optimal production.
Availability of branched chain and higher fatty acids. There are indications that the branched chain and higher VFA are essential growth factors for some ruminal microorganisms, and in animals given low-protein diets, feed intake and fermentation rates have been stimulated by dietary supplementation with these materials (Hemsley and Moir, 1963). Valeric and isobutyric acids are also glucogenic, and some of the increased feed intake could be attributed to their amino acid-sparing effect.
Fermentation pattern. The efficiency of microbial growth in the rumen may change with the pattern of fermentation, as indicated by the molar proportions of VFA. Microbial yields have been reported to be highest on diets in which propionate proportions are high (Jackson et al., 1971), but there is some controversy on this point. The presence of entodiniomorph protozoa in the rumen has been associateid with a high-butyrate, low-propionate type of fermentation (Schwartz and Gilchrist, 1975).
Where protozoa occur, there may be two constraints to animal production: (1) a reduced quantity of available microbial protein and (2) an increased requirement for gluconeogenesis since less propionate is absorbed. The overall effect may be an increased requirement for dietary protein. This will only become a limiting factor where the availability of dietary protein is low and the animal's requirements are high.
Glucose requirements and metabolism of ruminants
Interaction between requirements for glucose and amino acids. Responses to by-pass protein may not be due entirely to an increased supply of essential amino acids to the animal. Considerable evidence from these laboratories indicates that at least part of the response may be attributed to the supply of glucogenic amino acids which can assist in meeting glucose “requirements.” This is an extremely important point, since it means that responses to high-quality or low-quality proteins, as defined in terms of amino acid composition, may be similar, and also that responses may be obtained to other glucogenic materials, such as propionate, and carbohydrates that escape ruminal fermentation.
Recent reviews of glucose metabolism are available (Leng, 1970; Lindsay, 1970), and this topic will be discussed here only briefly. It is not possible to determine directly the requirements for glucose in ruminants. It is assumed here that requirements and synthesis rates are closely correlated, since any unneeded extra synthesis would be energetically very wasteful as gluconeogenesis is expensive in terms of requirements for energy. Synthesis of glucose in ruminants is related to digestible energy intake (Judson and Leng, 1968), stage of growth, stage of pregnancy and lactation (Figure 4).
In general, glucose is apparently not absorbed in significant quantities except in animals given some grain diets, e.g. maize (Armstrong, 1972). Propionic acid and amino acids are the major precursors of glucose in ruminants; however, a number of substrates (e.g. branched and higher fatty acids, etc.) may also contribute to a small but significant extent (Leng, 1970).
When amino acid requirements are high, glucose synthesis rates are high (Figure 4). The pattern of requirements for glucose follows closely that for amino acids, suggesting that part of the apparently high requirement for amino acids may be for glucose precursors. Therefore, contrary to previously held views (Leng, 1970), it is possible that under conditions when productivity is potentially high, ruminants find difficulty in synthesizing sufficient glucose, particularly on relatively low-protein diets.
During growth and lactation there may be competing needs for amino acids for glucose synthesis and for protein deposition. The important point to be stressed here is that in growing, pregnant or lactating ruminants there is a high demand for amino acids for protein deposition, and for glucose synthesis. The central importance of glucose is indicated by the fact that 20 to 30 percent of digestible energy available to sheep may pass through the glucose pool (Judson and Leng, 1973).
Amino acid composition of by-pass protein. The likelihood that part of the responses obtained with supplements of dietary proteins may be attributable to the supply of glucogenic materials implies that the essential amino acid composition of the by-pass protein may not be as critical as previously believed. For instance, equal growth rates of lambs on low-protein diets supplemented with cottonseed meal or fishmeal have been obtained (Djajanegara et al., 1976).
Figure 6. Growth of lambs on roughage-based diets1 supplemented with casein, HCO-casein, and different levels of casein and HCO-casein

1 70 percent oat hulls, 30 percent pure wood cellulose.
Figure 7. Relation between total dry matter intake and live weight gain of lambs given the diets summarized in Figures 5 and 6

Explanation of reported lack of response to supplementary by-pass protein
There are many studies in the litera ture which record a lack of response to “protection” of proteins in a diet for ruminants. Reasons for the lack of response may be found in the type of diet and its preparation, in the levels of feeding, or the productive state of the animals. In many instances much of the protein is naturally insoluble, and the level of by-pass protein in the so-called “control” diet is already adequate.
Fishmeal proteins, for instance, usually contain high levels of by-pass protein, yet numerous workers have examined the effects of formaldehyde treatment of these meals. Moreover, where the “protected” and “unprotected” diets are pelleted, the control diets may also contain high levels of by-pass protein through heating, and treatment responses are therefore not observed.
Responses to by-pass protein are possible only when the requirements for amino acids are not being met, and therefore cannot be expected where animals are in a low productive state, e.g. non-pregnant, non-lactating, nearmature or mature ruminants where protein requirements are low or where energy intake is restricted.
Conclusions
In this review an attempt has been made to demonstrate the interrelationships between the amino acid and glucose requirement of ruminants. From these considerations it is evident that past recommendations on protein requirements for ruminants have been vastly oversimplified, and now need revision.
Present recommendations for the protein content of diets for growth and milk production in ruminants are based on studies with experimental diets which contained significant amounts of by-pass protein. Concentrate diets contain by-pass protein and in addition tend to support efficient microbial systems in the rumen, thus minimizing the need for by-pass protein.
In particular, it is now evident that requirements for protein cannot be stated adequately in terms of digestible crude protein.
Requirements presented in this way apply only to the particular conditions under which they were determined. They are not widely applicable and are often inappropriate.
Requirements of ruminants for protein need to be stated in terms of:
Recommendations for protein content of a diet for ruminants must consider:
Evaluation of foods as protein sources for ruminants should be made in terms of:
The suitability of treatments of foods must also be evaluated in terms of these factors.
Under applied conditions these stipulations will be difficult to meet, but any approach to teaching, research or practice which ignores or glosses over these complexities will be grossly inadequate. It seems likely that the practical way to formulate diets which are nutritionally and economically optimal for protein will require either research, or trial and error in the production system or a large element of empiricism. However, the factors considered above should provide a ratioal basis for these approaches. We stress that the principles developed should apply to all feeding systems and in particular to systems using low-protein agro-industrial by-products. The primary considerations are: (1) that it is necessary to first ensure that the ruminal microorganisms are not restricted for N (i.e. ammonia), and (2) that the animal is not restricted for amino acids (glucogenic or essential).
The responses of ruminants given low-protein diets to supplementary by-pass protein are in terms of increased feed intake and are relatively easily determined in feeding trials. The adequacy of N for the microorganisms under practical conditions is not easily determined, but is general this can be relatively inexpensively assured by routine addition of 2 to 4 percent urea to the feed. (Other inexpensive forms of NPN that are totally available, e.g. poultry manure, will also suffice for this purpose.) At these levels toxicity problems are unlikely and this strategy can therefore be used whenever soluble N deficiency is suspected.
In all countries there is a great need to evaluate the commercially available protein meals in order to determine their potential value as ruminant feeds. The lamb growth assay developed in our laboratories may be one means of doing this under standard conditions in various centres.
References
Annison, E.F. 1956. Biochem. J., 64: 705.
Annison, E.F. & Linzell, J.L. 1964. J. Physiol., Lond., 175: 372.
Aricher, K., Barwick, S., Kempton, T.J. & Leng, R.A. 1976. Unpublished observations.
Armstrong, D.G. 1972. In Cereal processing and digestion, p.9. Washington, D.C., U.S. Feed Grains Council.
Baigent, D.R. Bird, S., Dixon, R.M. & Leng, R.A. 1976. Unpublished observations.
Bergman, E.N. & Houge. D.E. 1967. Am. J. Physiol., 213: 1378.
Burroughs W., Trenkle, A.H. & Vetter, R.L. 1971. Vet. Med. Small Anim. Clin., 66: 238.
Chalmers, M.I. & Synge, R.L.M. 1954. J. agric. Sci., Camb., 44: 263.
Djajanegara, A., Kempton, T.J. & Leng, R.A. 1976. Unpublished observations.
Eadie, J.M. & Mann. S.O. 1970. In Physiology of digestion and metabolism in the ruminant, ed. by A.T. Phillipson, p. 335. Newcastle-upon-Tyne, Oriel Press Ltd.
Egan, A.R. & Moir, R.J. 1965. Aust. J. agric. Res. 16: 437.
Ferguson, K.A., Hemsley, J.A. & Reis, P.J. 1967. aust. J. Sci., 30: 215.
Ferguson, K.A. 1975. In Digestion and metabolism in the ruminant, ed. by I.W. McDonald and A.C.I. Warner, p. 448. Armidale, N.S.W., New England Printing Unit.
Goering, H.K. & Waldo, D.R. 1974. Proceedings of the 1974 Cornell Nutrition Conference: p. 25.
Hemsley, J.A. & Moir, R.J. 1963. Aust. J. agric. Res., 14: 509.
Hoogenraad, N.J., Hird, F.J.R., Homes, I. & Millis, N.F. 1967. J. gen. Virology, 1: 575.
Hume, I.D. & Purser, D.B. 1974. Proc. Aust. Soc. Anim. Prod., 10: 399.
Jackson, P., Rook, J.A.F. & Towers, K.G. 1971. J. Dairy Sci., 38: 33.
Judson, G.J. & Leng, R.A. 1968. Proc. Aust. Soc. Anim. Prod., 1: 354.
Judson, G.J. & Leng, R.A. 1973. Br. J. Nutr., 29: 175.
Kempton, T.J. 1976. Unpublished observations.
Kempton, T.J., Nolan, J.V. & Leng, R.A. 1976. Unpublished observations.
Leng, R.A. 1970. Adv. vet. Sci. comp. Med., 14: 209.
Leng, R.A. 1975. The role of protected proteins in ruminant nutrition. Third Combined Conference, Australian Chicken Meat Federation and Australian Stockfeed Manufacturers' Association. In Intensive animal production, p. 136. Adelaide.
Leng, R.A. 1976. In Reviews in rural science. II. From plant to animal protein, ed. by T.M. Sutherland, J.R. McWilliam and R.A. Leng. Armidate, N.S.W., University of New England Printing Unit.
Leng, R.A. & Preston, T.R. 1976. Trop. Anim. Prod. 1: 1.
Lindsay, D.B. 1970. In Digestion and metabolism in the ruminant, ed. by A.T. Phillipson, p. 438. Newcastle-upon-Tyne, Oriel Press Ltd.
Loosli, J.K. & McDonald, I.W. 1968. Nonprotein nitrogen in the nutrition of ruminants. FAO Agricultural Studies No. 75. Rome, FAO.
Macrae, J.C. 1976. In Reviews in rural science II. From plant to animal protein, ed. by T.M. Sutherland. J.R. McWilliam and R.A. Leng. Armidale. N.S.W., University of New England Printing Unit.
Miller, E.L. 1973. Proc. Nutr. Soc., 32: 79–84.
Nolan, J.V. & Leng, R.A. 1973. Proc. Nutr. Soc., 32: 93.
Ørskov, E.R. 1970. In Proceedings of the 4th Nutrition Conference for Feed Manufacturers, University of Nottingham, ed. by H. Swan and D. Lewis. London, Churchill.
Ørskov, E.R. & Benzie, D. 1969. Proc. Nutr. Soc., 28: 30A.
Ørskov, E.R., Fraser, C. & Pirie, R. 1973. Br. J. Nutr., 30: 361.
Preston, T.R. & Willis, M.B. 1970. Intensive beef production. Oxford. Pergamon Press.
Reid, C.S.W., Lyttleton, J.W. & Mangan, J.L. 1962. N.Z. J. agric. Res., 5: 237.
Satter, L.D. & Slyter, L.L. 1972. J. Anim. Sci., 35: 273.
Schwartz, H.M. & Gilchrist, F.M.C. 1975. In Digestion and metabolism in the ruminant, ed. by I.W. McDonald and A.C.I. Warner, p. 165. Armidale, N.S.W., University of New England Printing Unit.
Smith, R.H. 1975. In Digestion and metabolism in the ruminant, ed. by I.W. McDonald and A.C.I. Warner, p. 399. Armidale, N.S.W., University of New England Printing Unit.
Steel, J.W. & Leng, R.A. 1973. Br. J. Nutr., 30: 475.
Sutherland, T.M. 1976. In Reviews in rural science. II. From plant to animal protein, ed. by T.M. Sutherland, J.R. McWilliam and R.A. Leng. Armidale, N.S.W., University of New England Printing Unit.
Thomas, P.C. 1973. Proc. Nutr. Soc., 32: 85.
Thomson, D.J. 1972. Proc. Nutr. Soc., 31: 127.
Virtanen, A.L. 1966. Science, N.Y., 153: 1603.
Virtanen, A.L. 1967. Agrochemica, 11: 289.
Weller, R.A. & Pilgrim, A.F. 1974. Br. J. Nutr., 32: 341.