par
Alain Caverivière
Chargé de recherches ORSTOM; CRO, BP V-18, Abidjan,
Côte-d'Ivoire
Depuis de nombreuses années des chalutiers ivoiriens pèchent le long des côtes situées à l'ouest de la Côte-d'Ivoire. Des statistiques, traitées par ordinateur (Fonteneau et Troadec, 1969; Caverivière et Barbe, 1977), sont disponibles depuis 1966 (sauf 1967). Ces pêches sont toutes situées dans deux divisions statistiques du COPACE:
- La division Sherbro (34.3.3) qui comprend les littoraux du Libéria et de Sierra LeoneLa pêche est pratiquée de 1966 à 1975 par une douzaine d'unités de 400 à 1 000 CV utilisant des chaluts de fond ou semi-pélagiques de 24 à 32 m de corde de dos. Seules les plus grandes de ces unités opèrent régulièrement à l'ouest de la Côte-d'Ivoire; le nombre d'unités de puissance inférieure à 700 CV décroit depuis 1971. En 1976,3 unités de 1 250 à 1 500 CV ont en partie renouvelé la flottille.- La division Littoral Cap Vert (34.3.1) qui comprend les littoraux de Guinée, Guinée Bissau et Sénégambie
Les pêches dans la division Sherbro se situent surtout le long du littoral de Sierra Leone tandis que celles dans la division Littoral Cap Vert ne se situent que rarement à des latitudes plus élevées que la Gambie. Dans les deux secteurs le chalutage s'effectue sur des fonds compris entre 10 et 50 m; de 0 à 8% seulement des prises annuelles sont effectuées sur des fonds supérieurs à 50 m (moyenne 1966 - 76 pour les 2 divisions: 1,2 et 2,2%).
Les tableaux 1a et 2a donnent les prises et les efforts dans les deux divisions et les valeurs sont représentées sous forme de graphique dans les figures 1a et 2a. Les efforts indiqués ont été standardisés en heures de pêche d'un chalutier de 400 CV. Les chalutiers péchant dans les deux divisions ayant en général une puissance motrice supérieure à 400 CV, l'effort nominal est plus faible (x 0,65 environ). Le tableau ci-dessous donne la correspondance entre noms commerciaux et noms scientifiques: plusieurs espèces peuvent être représentées par la même appellation commerciale,' les astérisques indiquent que l'espèce en question est seule représentée ou très largement majoritaire.
Pour l'ensemble des deux divisions les prisée sont stables de 1966 à 1973 (6 200-8 600 t); depuis 1973 - 1974 on note par contre une augmentation régulière des prises totales qui atteignent 12 000 t en 1976.
L'évolution par zone fait apparaître une certaine désaffection pour la division Sherbro, largement compensée par la forte augmentation des prises dans la division Littoral Cap Vert où elles passent de 2 000 t en 1966 à 10 000 t en 1976; cette augmentation est surtout sensible depuis 1973. Les plus gros chalutiers préfèrent travailler dans la division Littoral Cap Vert où les rendements sont plus élevés. En 1972 de très mauvais rendements globaux sur la communauté côtière de la division Littoral Cap Vert (année exceptionnellement froide d'après les données du Centre de recherches océanographiques de Dakar) expliquent la faible prise enregistrée dans ce secteur cette année là. Les gros chalutiers ont alors souvent préféré travailler dans la division Sherbro pour laquelle les prises de l'année 1972 marquent un pic.
|
Nom commercial |
Espèces |
|
Capitaines |
Galeoïdes decadactylus*.
Polydactylus quadrifilis |
|
Carpe |
Pomadasys jubelini*, P. peroteti, P.
incisus, Diagramma mediterraneum, Lutjanus
goreensis |
|
Ceinture |
Trichiurus lepturus* |
|
Dorade |
Dentex filosus, Pagrus ehrenbergi,
Gros Dentex angolensis |
|
Friture |
Brachydeuterus auritus*, Pentanemus
quinquarius, Pteroscion peli, Gerres
melanopterus |
|
Guinée |
Albula vulpes, Elops lacerta
|
|
Machoîron |
Arius sp.* |
|
Ombrines |
Pseudotolithus senegalensis*, Ps.
elongatus, Ps. Typus, Ps. moori,
Umbrina canariensis |
|
Pageot |
Dentex angolensis, Pagellus coupei
|
|
Carangidés |
Chloroscombrus chrysurus, Vomer
setapinnis, Caranx rhoncus |
|
Raies-Requins |
Nombreuses espèces |
|
St Pierre |
Drepane africana*, Chaetodipterus
goreensis |
|
Sole-Turbot |
Cynoglossus canariensis*, Solea
hexophthalma, Psettodes belcheri |
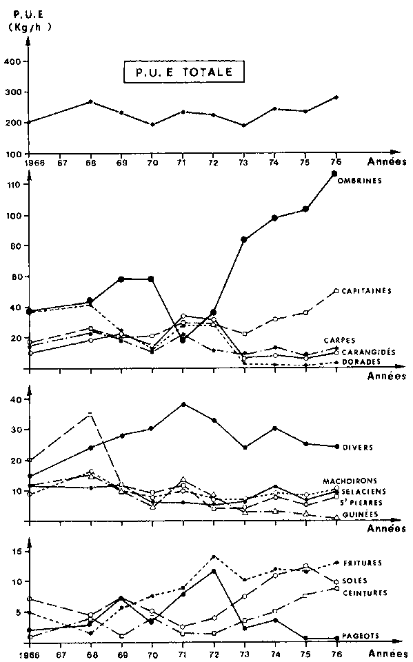
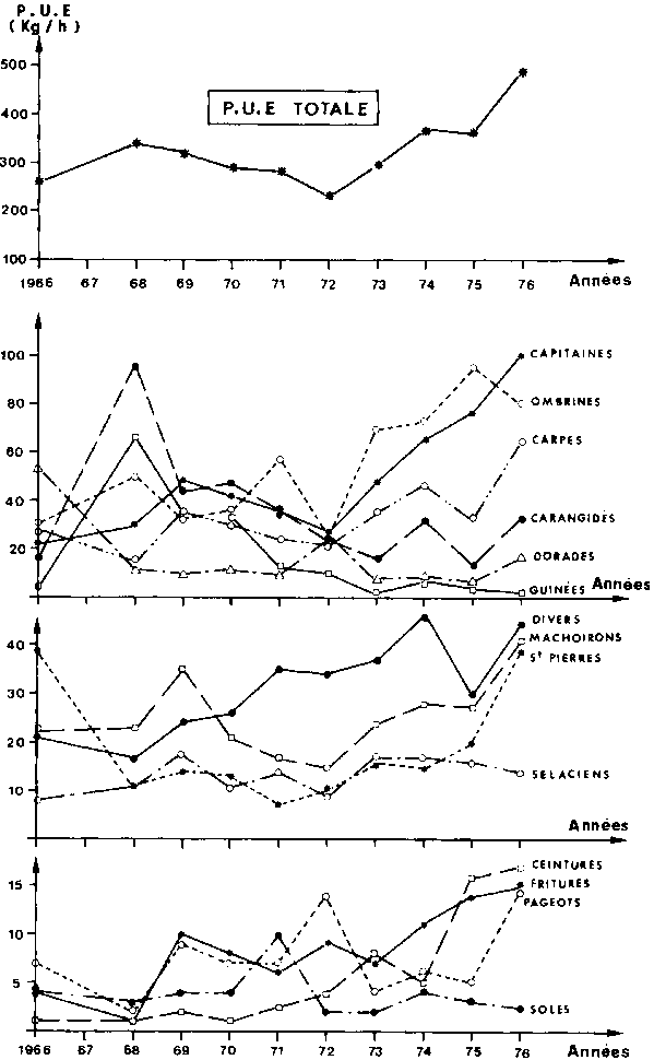
Les figures 3 et 4 issues des tableaux 3 et 4 représentent les prises par unité d'effort (pue) dans les deux divisions. La pue globale est restée assez stable dans la division Sherbro; on constate même un maximum en 1976. La pue globale dans la division Littoral Cap Vert montre, après la chute de 1972, de fortes valeurs en 1974, 1975 et 1976. La faibli valeur de 1972 serait due comme nous l'avons vu à des températures exceptionnellement froides des eaux. Ce refroidissement serait la cause de pue très basses pour les espèces de la communauté côtière à sciaenidés (fig. 4): capitaines, ombrines, carpes, machoîrons, St Pierre; on observe par contre des pue anormalement élevées en ce qui concerne les espèces à affinités plus froides: pageots et dorades.
L'accroissement des pue globales observées depuis 1974 dans la division Littoral Cap Vert paraît provenir d'une diminution des rejets plus que d'une efficacité plus grande des chalutiers, ou toute autre explication basée sur l'état des stocks ou des changements de lieux de pêche. En effet, une enquête auprès des patrons pêcheurs indique des rejets plus faibles en 1977 que ce qu'ils étaient quelques années auparavant. Les groupes d'espèces dont la pue a nettement augmenté ces trois dernières années sont les capitaines, ombrines, carpes, machoîrons, St Pierre, ceinture et la friture. Pour les trois premières - les plus abondantes et de bonne valeur marchande - l'augmentation de la pue résulterait d'une diminution des rejets portant autrefois sur les individus de petite taille.
Pour la division Sherbro le même phénomène de baisse des rejets expliquerait également les bonnes pue globales observées de 1974 à 1976. L'augmentation de pue est moins importante dans cette zone car les rejets n'étaient pas aussi élevés que dans la division Littoral Cap Vert; elle porte essentiellement sur les ombrines.
BIBLIOGRAPHIE
Caverivière, A. et P. Barbe, Traitements statistiques des données de la pêche au chalut des poissons démersaux en Côte-d'Ivoire: prises - efforts - distributions de fréquence. Arch.Cent.Rech. Océanogr. Abidjan, 2(1)
Longhurst, A.R., 1969 Species assemblage in the tropical demersal fisheries. In Proceedings of the symposium on oceanography and fisheries resources of the tropical Atlantic, sponsored by Unesco/FAO and OAU. Abidjan, Ivory Coast, 20-28 October, 1966. Review papers and contributions. Paris, Unesco, pp. 147-68
Fonteneau, A. et J.P. Troadec, 1969 Récolte, stockage et traitement des données statistiques relatives à la pêche au chalut en Côte-d'Ivoire. Doc.Sci.Cent.Rech.Océanogr. Abidjan ORSTOM, (38):7 p.
Tableau 1a Prise totale et effort des chalutiers ivoiriens dans la division Sherbro
|
|
1966 |
1968 |
1969 |
1970 |
1971 |
1972 |
1973 |
1974 |
1975 |
1976 |
|
Prise totale (t) |
4 980 |
4 000 |
4 080 |
3 030 |
2 130 |
3 850 |
1 970 |
3 140 |
2 410 |
2 070 |
|
Effort (heures de pêche standardisées 400 CV)
|
24 410 |
15 640 |
17 290 |
15 370 |
9 100 |
17 240 |
10 570 |
13 250 |
10 030 |
7 560 |
|
|
1966 |
1968 |
1969 |
1970 |
1971 |
1972 |
1973 |
1974 |
1975 |
1976 |
|
Capitaines |
8,5 |
9,4 |
9,1 |
9,8 |
11,7 |
11,6 |
12,1 |
13,3 |
16,3 |
18,0 |
|
Carpes |
8,1 |
9,0 |
7,8 |
5,2 |
7,8 |
5,1 |
5,3 |
5,8 |
3,9 |
4,0 |
|
Ceintures |
0,5 |
1,4 |
0,4 |
1,9 |
1,2 |
0,9 |
1,3 |
1,9 |
3,6 |
3,6 |
|
Dorades |
18,2 |
14,7 |
10,0 |
5,5 |
12,3 |
12,8 |
1,3 |
1,9 |
0,6 |
1,0 |
|
Friture |
2,1 |
0,7 |
2,7 |
4,5 |
4,9 |
5,9 |
4,9 |
4,8 |
5,2 |
5,1 |
|
Guinées |
5,6 |
6,4 |
4,3 |
3,8 |
5,8 |
3,9 |
1,3, |
2,9 |
0,7 |
0,3 |
|
Machoîrons |
4,6 |
5,7 |
4,5 |
4,3 |
3,9 |
2,7 |
3,9 |
3,8 |
3,4 |
4,3 |
|
Ombrines |
19,4 |
16,3 |
22,8 |
30,0 |
8,2 |
16,8 |
37,8 |
37,3 |
41,1 |
37,2 |
|
Pageots |
1,0 |
1,3 |
3,2 |
2,2 |
6,3 |
5,2 |
1,7 |
1,4 |
0,3 |
1,4 |
|
Carangidés |
5,6 |
8,9 |
9,6 |
7,5 |
13,9 |
13,5 |
4,0 |
5,0 |
3,0 |
4,4 |
|
Raies et requins |
5,9 |
4,0 |
4,8 |
3,2 |
2,6 |
2,5 |
4,3 |
4,4 |
3,6 |
2,9 |
|
St Pierre |
9,4 |
11,3 |
6,2 |
4,5 |
4,3 |
1,9 |
5,0 |
2,7 |
2,5 |
3,1 |
|
Soles et Turbots |
3,8 |
1,7 |
2,7 |
2,5 |
1,1 |
1,7 |
3,3 |
3,6 |
5,6 |
4,2 |
|
Divers |
7,2 |
9,2 |
11,9 |
15,2 |
16,2 |
15,6 |
13,9 |
11,1 |
10,3 |
10,6 |
|
|
1966 |
1968 |
1969 |
1970 |
1971 |
1972 |
1973 |
1974 |
1975 |
1976 |
|
Prisa totale (t) |
2 310 |
2 200 |
4 530 |
4 090 |
4 120 |
2 740 |
6 350 |
5 950 |
7 150 |
9 880 |
|
Effort (heures de pêche standardisées, 400 CV)
|
8 780 |
6 490 |
14 160 |
14 330 |
14 320 |
11 960 |
21 530 |
16 170 |
19 970 |
20 270 |
|
|
1966 |
1968 |
1969 |
1970 |
1971 |
1972 |
1973 |
1974 |
1975 |
1976 |
|
Capitaines |
7,6 |
8,9 |
14,6 |
15,4 |
12,0 |
12,7 |
15,6 |
17,1 |
21,1 |
19,7 |
|
Carpes |
11,5 |
4,6 |
10,7 |
9,6 |
7,7 |
9,5 |
12,0 |
12,5 |
8,7 |
12,1 |
|
Ceintures |
0,4 |
0,5 |
0,7 |
0,5 |
1,3 |
1,8 |
2,4 |
1,3 |
4,2 |
3,2 |
|
Dorades |
21,6 |
4,0 |
3,6 |
4,0 |
4,5 |
10,8 |
3,5 |
2,6 |
1,7 |
3,6 |
|
Friture |
1,5 |
0,6 |
2,2 |
2,7 |
2,7 |
3,3 |
2,5 |
3,1 |
4,2 |
3,0 |
|
Guinées |
1,4 |
15,4 |
10,0 |
9,7 |
4,0 |
3,4 |
0,9 |
1,8 |
1,0 |
0,7 |
|
Machoîrons |
8,3 |
7,7 |
9,3 |
7,7 |
6,4 |
5,6 |
7,6 |
7,8 |
7,4 |
9,2 |
|
Ombrines |
11,7 |
15,1 |
10,7 |
13,3 |
18,1 |
12,7 |
22,0 |
19,9 |
27,2 |
17,1 |
|
Pageots |
2,6 |
0,8 |
3,6 |
2,5 |
3,8 |
6,8 |
2,0 |
2,1 |
1,5 |
2,7 |
|
Carangidés |
6,0 |
28,0 |
17,8 |
16,1 |
14,1 |
9,8 |
6,5 |
8,9 |
3,8 |
6,9 |
|
Raies et requins |
3,2 |
3,6 |
5,1 |
3,7 |
4,7 |
3,6 |
5,1 |
4,7 |
4,4 |
3,2 |
|
St Pierre |
14,5 |
3,6 |
5,8 |
4,5 |
2,8 |
4,0 |
6,0 |
4,0 |
5,2 |
8,4 |
|
Soles et Turbots |
1,5 |
1,0 |
1,2 |
1,5 |
3,4 |
0,7 |
0,8 |
1,1 |
1,0 |
0,5 |
|
Divers |
8,0 |
5,9 |
8,2 |
8,8 |
14,4 |
15,3 |
13,0 |
13,2 |
8,6 |
9,8 |
|
|
1966 |
1968 |
1969 |
1970 |
1971 |
1972 |
1973 |
1974 |
1975 |
1976 |
|
Capitaines |
17 |
25 |
20 |
21 |
29 |
28 |
22 |
32 |
36 |
50 |
|
Carpes |
17 |
24 |
18 |
11 |
22 |
12 |
9 |
14 |
8 |
12 |
|
Ceintures |
1 |
4 |
1 |
4 |
1 |
1 |
4 |
5 |
8 |
9 |
|
Dorades |
37 |
41 |
23 |
12 |
29 |
29 |
3 |
2 |
2 |
3 |
|
Friture |
5 |
2 |
6 |
8 |
9 |
14 |
10 |
12 |
12 |
13 |
|
Guinées |
12 |
16 |
10 |
5 |
13 |
8 |
3 |
3 |
2 |
1 |
|
Machoîrons |
9 |
16 |
10 |
8 |
10 |
7 |
7 |
9 |
8 |
10 |
|
Ombrines |
38 |
43 |
59 |
58 |
18 |
36 |
83 |
98 |
103 |
117 |
|
Pageots |
2 |
3 |
7 |
4 |
8 |
12 |
2 |
4 |
1 |
1 |
|
Carangidés |
11 |
19 |
23 |
14 |
37 |
3.1 |
7 |
8 |
7 |
11 |
|
Raies et requins |
12 |
11 |
12 |
6 |
6 |
5 |
7 |
11 |
7 |
10 |
|
St Pierre |
20 |
35 |
12 |
9 |
12 |
4 |
4 |
8 |
5 |
8 |
|
Soles et Turbots |
7 |
4 |
7 |
5 |
2 |
4 |
8 |
11 |
12 |
9 |
|
Divers |
15 |
25 |
29 |
30 |
38 |
33 |
24 |
30 |
25 |
24 |
|
PUE globale |
204 |
267 |
236 |
193 |
234 |
225 |
192 |
246 |
235 |
278 |
|
|
1966 |
1968 |
1969 |
1970 |
1971 |
1972 |
1973 |
1974 |
1975 |
1976 |
|
Capitaines |
21 |
30 |
48 |
42 |
36 |
27 |
48 |
66 |
77 |
100 |
|
Carpes |
28 |
15 |
35 |
30 |
24 |
22 |
36 |
47 |
33 |
65 |
|
Ceintures |
1 |
1 |
2 |
1 |
3 |
4 |
8 |
5 |
16 |
17 |
|
Dorades |
54 |
12 |
9 |
12 |
9 |
25 |
8 |
9 |
6 |
17 |
|
Friture |
4 |
1 |
10 |
8 |
6 |
9 |
7 |
11 |
14 |
15 |
|
Guinées |
4 |
66 |
36 |
34 |
13 |
10 |
2 |
7 |
4 |
2 |
|
Machoîrons |
22 |
23 |
35 |
21 |
17 |
15 |
24 |
28 |
27 |
41 |
|
Ombrines |
31 |
50 |
33 |
36 |
58 |
26 |
70 |
73 |
95 |
80 |
|
Pageots |
7 |
2 |
9 |
7 |
7 |
H |
4 |
6 |
5 |
15 |
|
Carangidés |
16 |
96 |
44 |
48 |
36 |
24 |
17 |
32 |
14 |
33 |
|
Raies et requins |
8 |
11 |
18 |
11 |
H |
9 |
17 |
17 |
16 |
H |
|
St Pierre |
39 |
11 |
14 |
13 |
7 |
10 |
16 |
15 |
20 |
39 |
|
Soles et Turbots |
4 |
3 |
4 |
4 |
10 |
2 |
2 |
4 |
3 |
2 |
|
Divers |
21 |
17 |
24 |
26 |
35 |
34 |
37 |
48 |
31 |
45 |
|
PUE globale |
263 |
339 |
320 |
292 |
278 |
229 |
295 |
268 |
359 |
486 |

Fig. 1 b - Répartition des Prises dans la division SHERBRO

Fig. 2 a - Prises et Efforts dans la division Littoral CAP VERT.

Fig. 2 b - Répartition des Prises dans la division Littoral CAP VERT.

Fig. 3 - Evolution des P.U.E dans la division SHERBRO

Fig. 4 - Evolution des P.U.E dans la division littoral CAP VERT.
