Director and Project Manager,
respectively
Irrigation Training and Research Centre (ITRC) CalPoly)
Summary
This paper describes a unique study that was conceived by Hervé Plusquellec, funded by the Research Committee of the World Bank and managed by the International Programme for Technology Research in Irrigation and Drainage (IPTRID). The project examined 16 irrigation projects in 10 developing countries, 15 of which have been partially modernized in some aspects of hardware or management or both. Besides developing specific recommendations for donor agencies interested in irrigation modernization, the project also accomplished the following:
Key findings
Project selection
Although many irrigation projects have undergone various types of rehabilitation, very few have been modernized to any significant degree. Therefore, it was difficult to locate projects that had undergone modernization programmes. The projects (see attachment) were selected to provide a broad range of climate, crops, control systems and geographic conditions. Selection was sometimes done by Hervé Plusquellec or the authors; in other cases (Bhakra, Lam Pao, Beni Amir, Cupatitzio) the local irrigation departments or World Bank staff recommended the projects.
The rapid appraisal process
This research project used a rapid appraisal process, a technique that has rarely been used in the diagnosis of international irrigation projects. Its basic ingredients are:
ITRC has successfully used a similar rapid appraisal process in the western United States for several years to diagnose irrigation district modernization needs; another rapid appraisal process is used to evaluate on-farm (field) irrigation performance. ITRC experience has shown that successful rapid appraisal programmes require evaluators with prior training in irrigation, specific training in the techniques involved, and follow-up support and critique when the evaluators begin their field work.
The rapid appraisal process does not eliminate the need for detailed monitoring of the water control and distribution in a few irrigation projects. Such detailed monitoring programmes are very valuable for documenting the need for improved control, and in convincing the sceptical and unbelieving that there are indeed water control problems. IWMI has provided excellent documentation of Pakistani and Indonesian irrigation system performance that has helped to raise the level of awareness of project deficiencies. However, a good experienced irrigation engineer should not need such documentation to know that there are problems with certain designs. With a rapid appraisal procedure as was developed with this project, a good irrigation engineer should be able to quickly assess the suitability of the existing hardware and operational rules in a project, and to develop a plan for modernization needs. The rapid appraisal process has a special focus on how to solve the problems through modernization that can be used world-wide. What is amazing indeed is that there is such a lack of awareness of good design and operation principles that the detailed monitoring by IWMI is necessary to make the case for improvement.
External performance indicators
Murray-Rust and Snellen (1993) described the framework of using performance indicators and noted two approaches for the use of performance indicators in the field of irrigation:
Because of the great differences in water availability, climate, soil fertility, topography and crop prices, the authors believe that "external" performance indicators are primarily applicable for item (2) - to compare outputs from a project before and after modernization. External indicators examine values such as economic output, efficiency and relative water supply (i.e. ratios of outputs and inputs).
ICID (1995) defined several irrigation system performance indicators for international projects. Burt et al (1997) described the detailed process needed to effectively evaluate irrigation efficiency and irrigation sagacity. Molden et al (1998) provided a summary of recent IWMI indicator work, including values for 9 IWMI indicators for 27 different irrigation projects. The authors recommend that several IWMI indicators be modified, and that several new ITRC external indicators be adopted.
Figure 1 below graphically displays one of the external indicator values. This figure also introduces the concept of confidence intervals (the vertical line segments). Confidence intervals show that we do not know values precisely; graphs of performance indicators should indicate our level of uncertainty.

Figure 1. ITRC10 external indicator. Annual project irrigation efficiency (%)
Internal process indicators
It is absolutely necessary to understand the internal mechanisms of irrigation projects, and to provide selective enhancement of those internal mechanisms, if irrigation project performance is to be improved. These details of internal mechanisms are so important that investments must be based around specific actions to improve them, rather than deciding on the framework for detail improvement only after the investment is approved. Therefore, this project developed a new and comprehensive set of internal indicators, which, when examined as a whole, indicate how and where irrigation investments should be targeted.
The new internal indices provide ratings to hardware, management and service throughout the whole system, an approach which has not been used in the past. The complete picture enables one to visualize where changes are needed, and what impact the changes would have at various levels. The new internal indicators, when combined with the rapid appraisal process, provide an operational or modernization checklist.
A total of 31 internal process indicators were developed, most with three or four sub-indicators. Table 1 provides information on one of the indicators, including weighting factors of the sub-indicators. The final weighted scores of the internal process indicators were always adjusted so that the maximum (best) indicator value is 10.0, and the lowest value 0.0.
Table 1. Sub-indicators for indicator I-1 (actual service to individual fields, based upon traditional field irrigation methods)
No. |
Sub-indicator |
Ranking criteria |
Wt |
I-1A |
Measurement of volumes to field |
4 - Excellent measurement and control devices, properly operated and recorded 3 - Reasonable meas. & control devices, average operation 2 - Meas. of volumes and flows - useful but poor 1 - Meas. of flows, reasonably well 0 - No measurement of volumes or flows |
1 |
I-1B |
Flexibility to field |
4 - Unlimited frequency, rate, duration, but arranged by farmer within a few days 3 - Fixed frequency, rate or duration, but arranged 2 - Dictated rotation, but matches approximately crop need 1 - Rotation, but uncertain 0 - No rules |
2 |
|
I-1C |
Reliability to field (including weeks available versus week needed) |
4 - Water always arrives with frequency, rate and duration promised. Volume is known 3 - A few days delay occasionally, but very reliable in rate and duration. Volume is known 2 - Volume is unknown at field, but water arrives when about as needed and in the right amounts 1 - Volume is unknown at field. Deliveries are fairly unreliable less than 50 percent of the time 0 - Unreliable frequency, rate, duration, more than 50 percent of the time. Volume is unknown |
4 |
|
I-1D |
Apparent equity |
4 - It appears that fields throughout the project and within tertiary units all receive the same type of water 3 - Areas of the project receive the same amounts, but within an area it is somewhat inequitable 2 - Areas of the project receive somewhat different amounts (unintentionally), but within an area it is equitable 1 - It appears to be somewhat inequitable both between areas and within areas 0 - It appears to be quite inequitable (differences more than 100 percent) throughout the project |
4 |
The combined weights of Reliability (I-1C) and Equity (I-1D) represent 73 percent of the total score for indicator I-1. This is because traditional field irrigation techniques are not sophisticated, and obtaining reliability and equity is essential to avoid anarchy. Later discussions will deal with the service needs for modern field irrigation systems, where flexibility plus accurate control and measurement of volumes to fields receive higher weightings. This will not mean that reliability and equity are less important for future irrigation systems; it means that flexibility and control will be more important than they are at present.
No single internal process indicator by itself is sufficient to describe a project. But when the internal indicators are examined together and also combined with some of the external indicators, a clear image emerges about the design, operation and management of an irrigation project. Furthermore, these indicators provide a rational basis for developing a programme of rehabilitation and modernization that will enhance the operation, management and outputs of an irrigation project.
Key findings
Chaos and anarchy
The partially modernized projects did not have the chaos and anarchy that has been widely documented in unmodernized irrigation projects. Chaos (see Figure 2) is defined as a difference between stated and actual water delivery service. Anarchy (see Figure 3) is evident through water thefts, inequities in water delivery, and vandalism.

Figure 2. Internal process indicator I-5 and Indicator I-1. Stated and actual service to individual fields. Ratings are based on traditional irrigation requirements, not modern field irrigation systems.
Figure 2 shows that in general chaos is minimal. The level of service which is claimed by project authorities is typically similar to what was actually seen in the field. Three (Lam Pao, Dez, Rio Yaqui Alto) of the four projects with the lowest actual water delivery service ratings have highly over-inflated stated opinions of the service they offer. The fourth project with a very low field service rating (Bhakra) has a moderately over-inflated opinion of its service. Bhakra did not have modernized components. Lam Pao, Dez and Rio Yaqui Alto all had serious hardware and operational deficiencies, even though selective elements in the projects had been modernized.

Figure 3. Internal process indicator I-9. Lack of anarchy index.
Water user associations
There are many types of water user associations. The social associations, developed for the purpose of providing maintenance and collecting water fees, were consistently either weak or imaginary. The business-oriented associations, hiring staff to distribute water and running the water distribution similar to a business operation, were often quite strong. Figure 4 does not prove a cause-and-effect relationship, but it could be interpreted to show that, as the actual service to individual fields improves, the area with active water user associations increases.

Figure 4. Actual flexibility of water delivery to fields versus percent of area with an active water user association
Recovery of operation and maintenance expenses
Figure 5 shows that Lam Pao, Dantiwada, Bhakra, Muda, Kemubu, Rio Yaqui Alto and Cupatitzio are remarkable for their low recovery of operation and maintenance costs. The projects with more than 50 percent recovery tend to have active farmer involvement or dependable and somewhat timely water deliveries to fields. Only Guilan and Saldaña appear to collect enough to pay off part of the investment costs. Figure 6 shows the wide discrepancy between operation and maintenance costs in the various projects. Kemubu has a high operation and management expenditure due to the high pumping costs. Coello and Saldaña both have high sand removal costs.

Figure 5. IWMI9REV. Percentage of operation and maintenance costs recouped

Figure 6. Operation and maintenance expenditures expressed as US$ per million cubic metres (Mcm) of beneficial use
Internal process indicator I-23 was developed to look beyond simple collection of fees for operation and maintenance. It includes an estimate of the adequacy of operation and maintenance to sustain the present mode of operation (which may be insufficient), and also takes a glimpse at the investment in modernization. Some of the projects are in the middle of modernization efforts (Office du Niger, Dantiwada and Majalgaon), while others such as Coello and Saldaña were constructed with "modern" aspects years ago and have little or no modernization budget.

Figure 7. Internal process indicator I-23. Overall project budget index.
Water delivery service and turnout density
Figure 8 below shows a trend of increased water delivery service to the fields if less farmers need to co-operate. This figure is based on traditional field irrigation techniques, rather than on future improved irrigation methods.

Figure 8. Actual service to individual fields based on traditional irrigation methods (weighted overall) compared to the number of farmers involved in the final stage
Operator efficiency
In large irrigation projects, the managers tended to point out how difficult it was to manage a project with large areas of land and large numbers of fields and farmers. Such arguments seem misguided, as they were typically associated with top-down management styles which did not break the water distribution into layers, let alone empower employees to make decisions. The number of farmers in a project is not important if one turnout only supplies 50 farmers (e.g. Bhakra). Figure 9 shows a more meaningful index.. Seyhan, Office du Niger, Coello, Saldaña and Rio Mayo all provided relatively good water delivery service to the field - an interesting point since their operators are responsible for many more turnouts than their counterparts in the Asia projects.

Figure 9. Number of project operated turnouts per operator
Farmer expectations
Most field (on-farm) irrigation methods in these projects are relatively simple, and the farmers and irrigation project staff have low expectations of the level of water delivery service needed. The initial focus on modernization is generally on reliability and equity in Table 1.
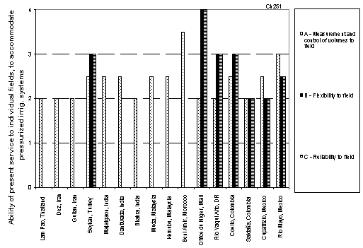
Figure 10 shows that most of the projects are not even close to being able to accommodate pressurized field irrigation systems. Most of the projects rate "0.0" on the scales of necessary flexibility and reliability needed for modern systems. These factors have a more stringent rating than for traditional irrigation methods. An interesting case is Beni Amir, which rates fairly high with traditional field irrigation methods but, with its rigid distribution system design, simply cannot supply the necessary flexibility for modern field irrigation systems.

Figure 10. Internal process indicator I-26 sub-indicators. Ability to accommodate
pressurized field irrigation systems today
Figure 10 is intended to open discussions on what will be needed thirty years from now, because the improvements we make today will still exist in thirty years. The authors observe the following:
Computer programs
Computers can be used in many ways in irrigation projects. Some of these ways are:
Hardware vs. software
The argument of hardware vs. operation (software) needs has a simple answer: all projects have both needs. The particular emphasis in each project will be different. Certain hardware options such as a high density of turnouts, effective water control structures, regulating reservoirs, project-level re-circulation systems, and remote monitoring can tremendously simplify the operation of moving water around.
Figure 11 shows the present qualities of management and hardware in terms of their ability to accommodate the pressurized field irrigation systems tomorrow. A high rating such as the 3.5 management rating for Rio Mayo indicates that the present management procedures are quite good for this objective. The hardware rating of 2.5 for Rio Mayo indicates that there is still considerable room for improvement on the hardware aspect. However, the hardware rating of 2.5 for Rio Mayo is high enough to indicate that changes in hardware would be relatively easy to accomplish (compared to lower scores). The emphasis on modernization for this project would be hardware, with some attention given to the management.

Figure 11. Internal process indicator I-27 sub-indicators. Present quality of management
and hardware in terms of accommodating pressurized field irrigation systems tomorrow
Lam Pao and Bhakra both have very low scores, indicating that both hardware and management need tremendous improvement if those projects are to support modern field irrigation methods and field irrigation scheduling. In both cases, investment in only one aspect would not achieve the desired effect.
An interesting case is Beni Amir (Morocco). It receives very low ratings, although it often scored quite high on other previous indicators such as irrigation efficiency. The hardware and operation of Beni Amir was designed for outdated field irrigation methods. Beni Amir has very low capacities in its distribution system and the hardware and management are designed to only supply one field at a time in the lower level of the canal distribution system on a rotation basis. It will require major restructuring of the thinking and key new hardware components if Beni Amir is to be upgraded for the 21st century.
Modernization strategies
In general, project personnel and designers are thinking of components when they discuss modernization. The components should only be chosen after good water control and operational strategies are selected. In general, there is insufficient understanding of how to simplify water control operations and how that will impact social factors such as anarchy and efficiency of employees.
Furthermore, few people had a vision for the future, although today's modernization programmes should be able to service tomorrow's needs. Because modernization programmes are necessarily done in stages, we must be careful that initial efforts do not hinder future requirements. For example, if one is interested in supporting modern field irrigation systems, the turnouts must have the ability to provide a wide variety of measured flow rates. Drip and sprinkler systems do not need exactly, say, 30 l/s, whereas traditional surface irrigation systems may function satisfactorily with such a flow rate. Therefore, baffle modular distributors are an inappropriate choice for flow rate measurement and control because they are only capable of providing incremental flow rates, and cannot be adjusted for installation or design errors. As an additional note: observations in Office du Niger, Cupatitzio, Rio Mayo and other projects showed that these particular structures are very sensitive to problems with improper installation (installed too high, too low or with submerged discharge conditions) and that even today operators need intermediate flow rates.
Proper focus for employees.
In general, employee training and incentives are much higher in the projects with business-oriented water user associations than in the other projects. Table 2 provides a glimpse of employee conditions.
Table 2. Data on internal process indicator I-24 sub-indicator values
|
Item |
Average value (0 = minimum; 4 = maximum) |
Coefficient of variation |
|
Frequency/adequacy of training of operators and managers |
.57 |
.41 |
|
Availability of written performance rules |
.34 |
.85 |
|
Power of employees to make decisions |
1.67 |
.43 |
|
Ability to fire employees |
.94 |
.85 |
|
Rewards for exemplary service |
.35 |
.83 |
|
Salary (relative to farm labourers) of canal operators/supervisors |
1.18 |
.52 |
The relatively low pay and lack of training and evaluation of operators may explain an interesting focus seen in some projects. A feature of modern design and operation is often the minimization of the collection of large amounts of data, which are used for statistics. On the other hand, modern projects tend to increase the availability of information needed for operation. It was apparent from this research project that there is much confusion between these two types of data.
Some irrigation projects waste much employee time by collecting meaningless data (e.g. water levels at the head of lateral canals in non-rated canal sections), where the time would be much better spent in controlling water levels and flows. Examples of this type of data collection occurred in Lam Pao, Cupatitzio and Rio Yaqui Alto. In Cupatitzio, the canal operators spend most of their time inside the office filling out data forms. Coello has apparently made the distinction between the two types of data. Operators only work with operational data; statistical data is collected, recorded and handled by other personnel.
When dealing with the operation of a canal system, one must focus on results rather than on process. For example, the Lam Pao management emphasizes process and requires operators to diligently record the gate positions and water levels, when the desired result is a water level. Field operators are not allowed to take personal initiative to achieve the desired result; they must instead follow a process. This is typical of some top-down management styles.
Figure 12 indicates that if operators have good communications (and proper instructions), water delivery service throughout the project improves. The low score for Office du Niger reflects inequities outside of the modernization areas.

Figure 12. Frequency of sub-main communications to the sense of inequity of deliveries throughout the project
The thirst for knowledge
The projects with the best performances tended to have employees with a thirst for knowledge. So much is clear in Figure 12. If management has an inflated view of its operations, there is probably a corresponding negative opinion about the need for improvement.
Immediate results
Simple and relatively inexpensive hardware and operational changes could give some immediate benefits to every project visited - if people only knew about them. Obviously, a system such as Beni Amir, which is under-designed and has serious corrosion problems, cannot be converted into a flexible operation with simple fixes.
Examples of simple potential improvements were:
Qualified trainers and consultants
The biggest training need for design and operation is not about sophisticated computerized techniques. Rather, there are major gaps in pragmatic understanding about fundamental issues of irrigation water control. These gaps in knowledge and understanding were very evident at all levels - from senior engineers and managers to junior engineers to operators. It was common for project engineers to be relatively well-educated (typically with BSc and sometimes MSc degrees). While project engineers appear to understand many concepts and formulas, they are generally missing the ability to synthesize this information. It is necessary to put all the pieces together properly - and there are a lot of pieces to put together to come up with a simple, overall control and operation strategy.
This means that training cannot simply be a textbook exercise or a list of facts. Trainers must focus on pragmatic aspects, such as how to apply various hydraulic principles. Trainers must also understand service-oriented irrigation project design and management, rather than just knowing simple hydraulics. Until there is a large pool of qualified trainers and consultants, modernization efforts will occur much slower and less efficiently than needed.
Recommended strategy for modernization
First, there is insufficient attention by all parties to the importance of the technical details of how water moves and is controlled throughout a project, from both an operational and a hardware standpoints (these are linked). This must be changed. Irrigation project proposals, at the onset, must clearly define:
Second, there is an insufficient pool of technical experts available who can not only make proper design and modernization decisions (especially on the strategy and information synthesis levels), but also implement those decisions. Pragmatic training of water professionals on an extensive scale is needed immediately.
Third, it appears that many modernization projects are under-funded with respect to the expectations. Experience in many countries, including the United States, has shown that irrigation project improvement is both a long-term and a costly procedure.
Fourth, there is a need for a new vision for projects:
Conclusion
There are very few examples of modernized irrigation projects throughout the world. This research project examined 16 projects, 15 of which have some modernization components. The authors were left with a sense of strong optimism for the success of future irrigation modernization programmes. However, unless a massive pragmatic training effort is soon implemented, improvements will be made very slowly.
Credits
Several individuals provided valuable contributions to this project. They include:
All opinions and conclusions in this paper are those of the two authors, and do not necessarily represent those of the individuals listed above or their organizations.
References
Burt, C. M. 1995. The Surface Irrigation Manual. Waterman Industries, Exeter, CA
Burt, C. M., A. J. Clemmens, T. S. Strelkoff, K. H. Solomon, R. D. Bliesner, L. A. Hardy, T. A. Howell & D. E. Eisenhauer. 1997. Irrigation performance measures - efficiency and uniformity. Journal of irrigation and drainage engineering. ASCE 123(6):423-442
ICID. 1995. Currently used performance indicators. Research Programme on Irrigation Performance. Contact: M. G. Bos, Wageningen, The Netherlands
Molden, D., R. Sakthivadivel, C. J. Perry, C. de Fraiture & W. H. Kloezen. 1998. Indicators for comparing performance of irrigated agricultural systems. IWMI Research Report 20
Murray-Rust, D. H. and W. B. Snellen. 1993. Irrigation system performance assessment and diagnosis. IWMI
Attachment: Irrigation project descriptions
|
Lam Pao, Thailand |
Dez, Iran |
Guilan, Iran |
Seyhan, Turkey |
Majalgaon, India |
Dantiwada, India |
Bhakra, India |
Muda, Malaysia | |
|
Average service area (ha) |
49,338 |
98,500 |
235,000 |
103,135 |
11,283 |
36,600 |
683,000 |
97,000 |
|
"Typical year" crop intensity |
1.4 |
1.0 |
1.0 |
0.9 |
0.3 |
1.1 |
1.9 |
2.0 |
|
Average net farm size (ha) |
2.2 |
5.6 |
1.2 |
5.6 |
0.6 |
1.4 |
3.2 |
2.0 |
|
Typical field size, ha |
0.4 |
5.0 |
0.3 |
3.4 |
0.3 |
0.5 |
0.5 |
1.0 |
|
Land consolidation on what % of area |
0 |
30 |
0 |
0 |
0 |
0 |
0 |
100 |
|
Percent rented land |
0 |
0 |
0 |
0 |
0 |
0 |
0 |
0 |
|
Silt level in canals (10=high; 1=low) |
3 |
2 |
9 |
2 |
1 |
10 |
3 |
5 |
|
Cost of land, $US/ha |
17,500 |
13,300 |
17,000 |
2,500 |
4,200 |
9,700 |
8,300 |
12,500 |
|
Gross income per farm unit, $US/yr |
1,490 |
3,115 |
2,163 |
7,500 |
700 |
764 |
2,900 |
2,500 |
|
Farm labor cost, $US/day |
6 |
3 |
15 |
10 |
2 |
1 |
2 |
15 |
|
Major crop |
Rice |
Wheat |
Rice |
Maize |
Sorghum |
Wheat |
Rice |
Rice |
|
Second major crop |
Rice |
Sugar Cane |
n/a |
Cotton |
Cotton |
Mustard |
Cotton |
Rice |
|
Water source |
Reservoir |
Reservoir |
Reservoir |
Reservoir |
Reservoir and wells |
Reservoir and wells |
Reservoir and wells |
Reservoir |
|
LPS/ha irrigated |
2.5 |
3.3 |
1.0 |
1.9 |
0.9 |
0.9 |
0.2 |
1.3 |
|
Annual avg. ETo, mm |
1,695 |
1,670 |
771 |
1,285 |
2,055 |
1,893 |
1,550 |
1,420 |
|
Annual rainfall, mm |
1,336 |
250 |
1,290 |
721 |
774 |
604 |
545 |
2,300 |
|
c.v. of annual rainfall (yr-yr) |
0.16 |
0.39 |
0.15 |
0.33 |
0.22 |
0.45 |
0.45 |
0.14 |
|
MAIN CANALS |
||||||||
|
Is there a fixed advance official schedule of main canal deliveries for the year? |
N |
Y |
N |
N |
Y |
Y |
Y |
N |
|
How often are main supply discharges re-calculated, days? |
7 |
365 |
7 |
30 |
365 |
120 |
30 |
1 |
|
Total length of Main Canals, km |
159 |
190 |
132 |
483 |
39 |
77 |
165 |
146 |
|
% lining of Main Canal |
95 |
90 |
60 |
100 |
100 |
100 |
100 |
0 |
|
Principal type of cross regulator in Main Canal |
Manual Sluice |
Manual Radial |
Hyd. AMIL, LCW |
Manual Sluice |
Automatic Radial |
Manual Sluice |
Manual Sluice |
Manual Overshot |
|
Condition of cross-regulators in Main Canal (10=horr.;1=Xlnt) |
3 |
2 |
3 |
2 |
1 |
2 |
3 |
2 |
|
Operators live at each X-regulator site |
Y |
N |
N |
N |
Y |
Y |
Y |
Y |
|
Flow Measurement (not control) - Entrance to Secondary |
CHO |
Rated Gate |
Baffle Distributor |
Parshall Flume |
Rated Gate |
Flume |
Flume |
Rated Overshot gate |
|
SUBMAIN CANALS |
||||||||
|
Total length of SUBMAIN Canals in project, km |
452 |
560 |
640 |
2550 |
273 |
675 |
2000 |
1530 |
|
% lining of SUBMAIN Canals |
95 |
90 |
50 |
95 |
90 |
100 |
50 |
40 |
|
Type of cross regulator |
Manual Sluice |
90% Radial, 10% mixed |
Long Crested Weir (LCW) |
Manual Sluice |
LCW |
Proport. Divider, a few Weirs |
none |
Combin. Weir, gate |
|
FARMER |
||||||||
|
Final distribution to farmer |
unlined; field-field (65/35) |
unlined; lined (50/50) |
unlined, field-field (50/50) |
pipeline, lined (10/90) |
lined |
unlined |
unlined, lined (98/2) |
field-field, lined (60/40) |
|
Water distribution schedule to farmer |
Contin., rotation (60/40) |
Continuous/Unknown Rotation (50/50 |
Contin., known rotation (60/40) |
Arranged |
Known Rotation |
Known Rotation |
Known Rotation |
Contin., known rotation (25/75) |
|
Who makes final distribution of water? |
Farmer |
Farmer |
Farmer |
WUA or Farmer |
Farmer |
Farmer |
Farmer |
Farmer |
|
Average number of farmers involved at lowest level |
20.0 |
10.0 |
20.0 |
2.8 |
15.0 |
5.0 |
50.0 |
20.0 |
|
Kemubu, Malaysia |
Beni Amir, Tadla, Morocco |
Office du Niger (ODN), Mali |
Rio Yaqui Alto, Dominican Republic |
Coello, Colombia |
Saldaña, Colombia |
Cupatitzio, Mexico |
Rio Mayo, Mexico | |
|
Average service area (ha) |
20,430 |
28,000 |
56,000 |
3,574 |
25,711 |
14,000 |
9,878 |
97,047 |
|
"Typical year" crop intensity |
1.5 |
1.3 |
1.2 |
1.2 |
1.4 |
1.6 |
0.7 |
1.1 |
|
Average net farm size (ha) |
0.7 |
3.0 |
3 |
2.5 |
100.0 |
100.0 |
8.2 |
100.0 |
|
Typical field size, ha |
0.5 |
0.5 |
3 |
2.5 |
12.0 |
5.0 |
9.5 |
12.0 |
|
Land consolidation on what % of area |
0 |
100 |
75 |
0 |
0 |
0 |
0 |
0 |
|
Percent rented land |
0 |
10 |
0 |
10 |
85 |
80 |
1 |
50 |
|
Silt level in canals (10=high; 1=low) |
4 |
6 |
1 |
3 |
7 |
10 |
2 |
2 |
|
Cost of land, $US/ha |
10,000 |
12,000 |
n/a |
8,200 |
8,000 |
6,000 |
4,500 |
1,900 |
|
Gross income per farm unit, $US/yr |
2,000 |
2,416 |
1,400 |
1,100 |
60,000 |
179,500 |
2,200 |
40,000 |
|
Farm labor cost, $US/day |
15 |
3 |
2 |
7 |
8 |
10 |
6 |
4 |
|
Major crop |
Rice |
Wheat |
Rice |
Pasture |
Rice |
Rice |
Sorghum |
Wheat |
|
Second major crop |
Rice |
S. beets |
Veg. |
Tobacco |
Sorghum |
Pasture |
Lemon |
Corn |
|
Water source |
River |
Reservoir and wells |
River |
Reservoir |
River |
River |
Reservoir |
Reservoir and wells |
|
LPS/ha irrigated |
1.9 |
0.6 |
2.3 |
1.3 |
1.1 |
2.6 |
2.1 |
0.8 |
|
Annual avg. ETo, mm |
1,400 |
1,326 |
2,628 |
1,945 |
1,676 |
1,532 |
2,280 |
2,350 |
|
Annual rainfall, mm |
2,700 |
376 |
238 |
984 |
1,306 |
1,442 |
671 |
323 |
|
c.v. of annual rainfall (yr-yr) |
n/a |
0.30 |
0.25 |
0.15 |
0.18 |
0.18 |
0.26 |
0.26 |
|
MAIN CANALS |
||||||||
|
Is there a fixed advance official schedule of main canal deliveries for the year? |
N |
N |
N |
N |
N |
N |
N |
N |
|
How often are main supply discharges re-calculated, days? |
1 |
1 |
30 |
120 |
75 |
365 |
3 |
5 |
|
Total length of Main Canals, km |
105.6 |
42 |
288 |
33 |
14 |
69 |
55 |
245 |
|
% lining of Main Canal |
0 |
100 |
0 |
100 |
0 |
3 |
100 |
24 |
|
Principal type of cross regulator in Main Canal |
Hyd. D/S (AVIS) |
Hyd, LCW |
Manual Sluice |
Manual Sluice |
Radial plus LCW |
Radial with LCW |
Radial plus LCW |
Manual Sluice |
|
Condition of cross-regulators in Main Canal (10=horr.;1=Xlnt) |
3 |
2 |
2 |
7 |
3 |
5 |
4 |
3 |
|
Operators live at each X-regulator site |
N |
N |
N |
Y |
N |
N |
N |
N |
|
Flow Measurement (not control) - Entrance to Secondary |
Baffle Dist and CHO |
Baffle Dist. |
Baffle Dist. |
none |
current meter |
Rated Sec., Parshall |
Baffle Dist. |
Flume |
|
SUBMAIN CANALS |
||||||||
|
Total length of SUBMAIN Canals in project, km |
408 |
240 |
75 |
91 |
226 |
93 |
39 |
1194 |
|
% lining of SUBMAIN Canals |
0 |
99 |
0 |
95 |
6 |
0 |
100 |
8 |
|
Type of cross regulator |
Manual Radial and Sluice |
LCW |
various |
Begemann |
Sluice gate |
Sluice gate |
LCW with Underflow gates |
Sluice gate |
|
FARMER |
||||||||
|
Final distribution to farmer |
field-field |
unlined |
unlined |
unlined |
unlined |
Unlined |
unlined |
unlined, lined (99/1) |
|
Water distribution schedule to farmer |
Contin. |
Variable rotation |
Arranged |
Arranged |
Known rotation, Arranged (20/80) |
Known rotation, Arranged (50/50) |
Arranged |
Arranged |
|
Who makes final distribution of water? |
Farmer |
Farmer |
Farmer |
Farmer |
WUA or Farmer |
WUA |
Farmer |
WUA |
|
Average number of farmers involved at lowest level |
20.0 |
10.0 |
7.0 |
2.8 |
1.1 |
2.5 |
3.7 |
3.0 |