5. Review, Evaluation and Update of Forest Products

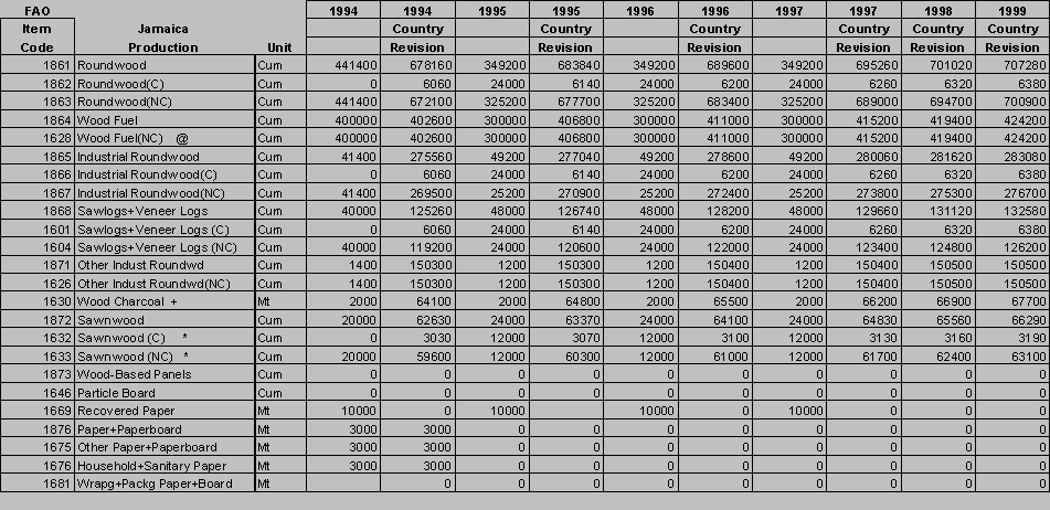
Source: figures are estimated and developed from various sources
@ Wood charcoal *6 + fuelwood (Developed from Mining and Energy. 1989 Household Energy Survey)
+ Developed from Potopsingh, Ruth. "Bioenergy Resources Assessment Study". Petroleum Corporation of Jamaica. Kingston
*Developed from Statistical Institute of Jamaica and Campbell (1993) Note: Sawnwood exclude quantity for v-jointed, beaded etc.
Conversion rate of logs to sawnwood is approximately 50%
1626: 1nclude fence posts, yam sticks, poles etc.
Since the destruction of the paper mill there has been no production since 1994
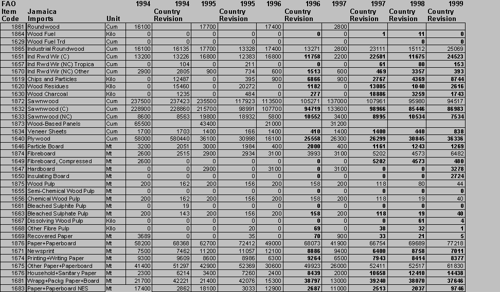
Source: External Trade. Part 11. (Various issues 1994-98). Statistical Institute of Jamaica
Note: Sawnwood exclude quantity for v-jointed, beaded etc.
Figures are supplied by Trade Boards and Customs Departments and accurately reflect trading in the listed items with other countries

Source: External Trade. Part 11. (Various issues 1994-98). Statistical Institute of Jamaica
Note: Sawnwood exclude value for v-jointed, beaded etc.
Figures are supplied by Trade Boards and Customs Departments and accurately reflect trading in the listed items with other countries

Source: External Trade. Part 11. (Various issues 1994-98). Statistical Institute of Jamaica
Note: Sawnwood exclude quantity for v-jointed, beaded etc.
Figures are supplied by Trade Boards and Customs Departments and accurately reflect trading in the listed items with other countries

Source: External Trade. Part 11. (Various issues 1994-98). Statistical Institute of Jamaica
Note: Sawnwood exclude value for v-jointed, beaded etc.
Figures are supplied by Trade Boards and Customs Departments and accurately reflect trading in the listed items with other countries