Table 4.43. Adjusted treatment means
|
1 |
2 |
3 |
4 |
5 |
|
124.97 |
129.07 |
135.35 |
141.22 |
144.59 |
|
6 |
7 |
8 |
9 |
10 |
|
135.23 |
117.43 |
123.60 |
108.63 |
112.80 |
|
11 |
12 |
13 |
14 |
15 |
|
97.65 |
95.00 |
116.43 |
94.65 |
110.02 |
|
16 |
17 |
18 |
19 |
20 |
|
136.05 |
107.05 |
120.67 |
111.35 |
133.32 |
|
21 |
22 |
23 |
24 |
25 |
|
127.52 |
151.62 |
141.94 |
123.52 |
125.64 |
4.7.3. Comparison of means
It was already mentioned that in a partially balanced lattice design, treatments that occur in the same block are compared with greater precision. (i.e., smaller standard error) than the treatments that occur in different blocks.
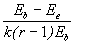
The formula for standard error for comparing any two treatment means that occur together in the same block is given by,
(4.63)
where m
= ![]()
Eb = Inter block mean square
Ee = Intra-block mean square
r = Number of replications
For our example,
= 18.9408
Standard error for comparing treatment means that occur in different blocks is,
(4.64)
For our example,
16.5875
Note that
in this example, because of the peculiarities of the data. This is not the usual case
These standard errors when multiplied by the tabular t value for the intra-block error degrees of freedom at the specified level of significance, will provide LSD value with which the adjusted treatment means can be compared for significant differences.
In experiments where one or more quantitative factors are tested at multiple levels, it is often convenient to summarise the data by fitting a suitable model depicting the factor-response relationship. The quantitative factors may be fertiliser, irrigation, stand density etc., and the experiment may be to find out how the levels of these factors affect the response, g . The response g may be represented as a suitable function of the levels x1u, x2u,.. ., xku of the k factors and b , the set of parameters. A typical model may be
g u = f (x1u, x2u, …, xku ; b ) + eu (4.65)
where u = 1, …, t represents the N observations with xiu representing the level of the ith factor (i = 1, 2, …, k) in the in the uth observation. The residual eu measures the experimental error of the uth observation. The function f is called the response surface. A knowledge of f gives a complete summary of the results of the experiment and helps in obtaining the optimum dose combination. It also enables prediction of the response for values of the xiu that were not tested in the experiment. The designs specifically suited for fitting of response surfaces are known as response surface designs. The response surfaces are usually approximated by polynomials of suitable degree, most common of which are second degree polynomials. Hence, designs suitable for fitting a second degree polynomial are described here.
4.8.1. Second order rotatable design
Let there be k factors such that ith factor has si levels. In all, there will be six s2x…….x sk treatment combinations out of which t combinations are taken to fit a second degree function of the form.
(4.66)
where yu is the response obtained from the uth combination of factors (u = 1, 2, …, t)
xiu is the level of the ith factor in the uth observation
b 0 is a constant
b i is the ith linear regression coefficient
b ii is the ith quadratic regression coefficient
b ij is the (i,j)th interaction coefficient
eu is the random error component associated with the uth observation with zero mean and constant variance.
For example, a specific case of model (4.66) involving only two factors would be,
![]()
A second order response surface design enables the fitting of a second order polynomial for the factor-response relationship effectively. While choosing the design points, certain constraints are imposed on the levels of factors such that the parameter estimation gets simplified and also the resulting design and the model fitted through the design have certain desirable properties. One such property is the rotatability of the design. Rotatable designs make the variance of the estimated response from any treatment combination, as a function of the sum of squares of the levels of the factors in that treatment combination. Expressed alternatively, an experimental design is said to be rotatable if the variance of the predicted response at some specific set of x values is a function only of the distance of the point defined by the x values from the design centre and is not a function of the direction. It has been shown that the following conditions are necessary for the n design points to constitute a second order rotatable design (SORD).
(i)
,
. (4.67)
(ii)
tl
2 (4.68)
(iii)
3tl
4 (4.69)
(iv)
tl
4 for i ¹
j or
for i ¹
j (4.70)
(v)
(4.71)
4.8.2. Construction of SORD
One of the commonly used methods for construction of SORD is given below which results in a class of designs by name central composite designs. Let there be k factors. A central composite design consists of a 2k factorial or fractional factorial (coded to the usual ± 1 notation) augmented by 2k axial points, (± a , 0, 0,…, 0), (0, ± a , 0,…, 0), (0,0,± a , 0,…,0), …, (0,0,0,…,± a ) and nc centre points (0,0,…, 0). In case a fractional factorial is chosen for the first set of 2k points, with k > 4, it must be seen that the defining contrasts do not involve any interaction with less than five factors. Central composite design for k = 3 is shown below. The design consists of 23 = 8 factorial points, (2)(3) = 6 axial points and 1 centre point constituting a total of 15 points.
x1 x2 x3
-1 -1 -1
-1 -1 +1
-1 +1 -1
-1 +1 +1
+1 -1 -1
+1 -1 +1
+1 +1 -1
+1 +1 +1
+a 0 0
-a 0 0
0 +a 0
0 -a 0
0 0 +a
0 0 -a
0 0 0
A central composite design is made rotatable by the choice of a . The value of a depends on the number points in the factorial portion of the design. In fact, a = (nf)1/4 yields a rotatable central composite design where nf is the number points used in the factorial portion of the design. In our example, the factorial portion contains nf = 23 = 8 points. Thus the value of a for rotatability is = (8)1/4 = 1.682. Additional details and examples of SORD can be found in Das and Giri (1979) and Montgomery (1991).
The treatment combinations specified by SORD may be tried with sufficient number of replications under any standard design in an experiment following the regular randomization procedure. Response surface design thus pertains only to a particular way of selecting the treatment combination in a factorial experiment and not to any physical design used for experimental layout.
4.8.3. Fitting of a second degree response surface from a SORD
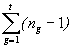
The analysis of data from a SORD laid out under completely randomized design is illustrated in the following. Let there be t distinct design points in the experiment with ng replications for the gth design point. Let ygu be the response obtained from the uth replication of the gth design point. Let xigu be the level of the ith factor in the uth replication of the gth design point (i = 1,…, k ; g = 1,…, t ; u = 1,…ng). Let the total number of observations be n and (p+1) be the number of parameters in the second order model to be fitted.
For the illustration of the analysis, data from a pot culture experiment is utilized. In order to simplify the discussion, certain modifications were made both in the data and design structure and to that extent, the data set is hypothetical. Nevertheless, the purpose of illustration is well-served by the example. The experiment included three factors viz., the quantity of nitrogen (N), phosphorus (P) and potassium (P) applied in the form urea, super phosphate and muriate of potash respectively. The experimental units were pots planted with two-year old seedlings of cane (Calamus hookerianus), each pot carrying a single seedling. The range of each element N, P and K included in the experiment was 5 g to 20 g/pot. The treatment structure corresponded to the central composite design discussed in Section 4.8.1, the physical design used being CRD with two replications. Since a =1.682 was the largest coded level in the design, the other dose levels were derived by equating a to 20g. Thus the other dose levels are (-a ) = 5g, (-1) = g , (0) =12.5g, , (+1) =g, (a ) = 20g. The data obtained on oven-dry weight of shoot at the end of 2 years of the experiment are reported in Table 4.44.
Table 4.44. The data on oven-dry weight of shoot at the end of 2 years of the experiment.
|
N (x1) |
P (x2) |
K (x3) |
Shoot weight (g) (y) |
|
|
Seedling 1 |
Seedling 2 |
|||
|
-1 |
-1 |
-1 |
8.60 |
7.50 |
|
-1 |
-1 |
1 |
9.00 |
8.00 |
|
-1 |
1 |
-1 |
9.20 |
8.10 |
|
-1 |
1 |
1 |
11.50 |
9.10 |
|
1 |
-1 |
-1 |
10.00 |
9.20 |
|
1 |
-1 |
1 |
11.20 |
10.20 |
|
1 |
1 |
-1 |
11.00 |
9.90 |
|
1 |
1 |
1 |
12.60 |
11.50 |
|
1.682 |
0 |
0 |
11.00 |
10.10 |
|
-1.682 |
0 |
0 |
8.00 |
6.80 |
|
0 |
1.682 |
0 |
11.20 |
10.10 |
|
0 |
-1.682 |
0 |
9.50 |
8.50 |
|
0 |
0 |
1.682 |
11.50 |
10.50 |
|
0 |
0 |
-1.682 |
10.00 |
8.80 |
|
0 |
0 |
0 |
11.00 |
10.00 |
The steps involved in the analysis are the following.
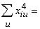
Step 1. Calculate the values of
and
using Equations (4.68) and (4.69).
15
= 13.65825
= 0.9106
3t
= 24.00789
= 0.5335
As per the notation in Equations (4.68) and (4.69), t was taken as the number of distinct points in the design.
Step 2. Construct an outline of analysis of variance table as follows.
Table 4.45. Schematic representation of ANOVA table for fitting SORD.
|
Source of variation |
Degree of freedom |
Sum of squares |
Mean square |
Computed F |
|
Regression |
p |
SSR |
MSR |
|
|
Lack of fit |
n - 1- |
SSL |
MSL |
|
|
Pure error |
|
SSE |
MSE |
|
|
Total |
n - 1 |
SSTO |
Step 3. Compute the correction factor (C.F.)
(4.72)
![]()
= 2873.37
Step 4. Compute the total sum of squares as
(4.73)
![]()
= 55.43
Step 5. Compute the estimates of regression coefficients
(4.74)

= 10.47
(4.75)
![]()
= 0.92
![]()
= 0.54
![]()
= 0.55
(4.76)

= - 0.50

= - 0.20

= - 0.06
(4.77)
![]()
= - 0.02
![]()
= 0.07
![]()
= 0.21
Step 6. Compute the SSR as
SSR = ![]()
(4.78)

= 44.42
Step 7. Calculate the sum of squares due to pure error
(4.79)
= 9.9650
Step 8. Calculate the lack of fit sum of squares as
SSL = SSTO - SSR - SSE (4.80)
= 55.4347 - 44.4232 - 9.650
= 1.0465
Step 9. Enter the different sums of squares in the ANOVA table and compute the different mean squares by dividing the sums of squares by the respective degrees of freedom.
Table 4.46. ANOVA table for fitting SORD using data in Table 4.44
|
Source of variation |
Degree of freedom |
Sum of squares |
Mean square |
Computed F |
Tabular F 5% |
|
Regression |
9 |
44.4232 |
4.9359 |
7.4299 |
2.56 |
|
Lack of fit |
5 |
1.0465 |
0.2093 |
0.3150 |
2.90 |
|
Pure error |
15 |
9.9650 |
0.6643 |
||
|
Total |
29 |
55.4347 |
Step 10.Calculate the F value for testing significance of lack of fit which tests for the presence of any mis-specification in the model.
(4.81)
If the lack of fit is found significant, then the regression mean square is tested against the lack of fit mean square. Otherwise the regression mean square can be tested against the pure error mean square.
For our example F =
= 0.3150
Here, the lack of fit is found to be nonsignificant. Hence, the regression mean square can be tested against the pure error mean square. The F value for testing significance of regression is
(4.82)
=
= 7.4299
The F value for regression is significant when compared with tabular F value of 2.56 for 9 and 15 degrees of freedom at 5 % level of significance. The model was found to explain nearly 80 % of the variation in the response variable as could be seen from the ratio of the regression sum of squares to the total sum of squares.
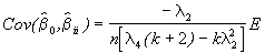
Step 11. The variances and covariances of the estimated coefficients are obtained by
(4.83)
= ![]()
= 0.3283
where E = Pure error mean square in the ANOVA table.
(4.84)
= ![]()
= 0.0243
(4.85)
= 
![]()
= 0.03
(4.86)
= ![]()
(4.87)
= ![]()
= -0.11
(4.88)
= 
= 0.05
All other covariances will be zero.
The fitted response function, therefore is
![]()
One of the uses of the surface is to obtain the optimum dose combination at which the response is either maximum or economically optimum. Also with the help of the fitted equation, it is possible to investigate the nature of the surface in specific ranges of the input variables. Since the treatment of these aspects requires knowledge of advanced mathematical techniques, further discussion is avoided here but the details can be found in Montgomery (1991).