(iii) Models for uneven-aged stands
Boungiorno and Michie (1980) present a matrix model in which the parameters represent (i) stochastic transition of trees between diameter classes and (ii) ingrowth of new trees which depends upon the condition of the stand. The model has the form
(6.36)
. . .
. . .
. . .
![]()
where
gives the expected number of living trees in the ith size class at time t.
gives the number of trees harvested from ith size classes during a time interval.
gi, ai, bi are coefficients to be estimated.
Here the number of trees in the smallest size class is expressed as a function of the number of trees in all size classes and of the harvest within a particular time interval. With the same time reference, the numbers of trees in higher size classes are taken as functions of the numbers of trees in adjacent size classes. It is possible to estimate the parameters through regression analysis using data from permanent sample plots wherein status of the number of trees in different diameter classes in each time period with a specified interval is recorded along with the number of trees harvested between successive measurements.
For an over-simplified illustration, consider the following data collected at two successive instances with an interval of q = 5 years from a few permanent sample plots in natural forests. The data given in Table 6.13 show the number of trees in three diameter classes at the two measurement periods. Assume that no harvesting has taken place during the interval, implying hit; i = 1, 2, …, n to be zero. In actual applications, more than three diameter classes may be identified and data from multiple measurements from a large number of plots will be required with records of number of trees removed from each diameter class between successive measurements.
Table 6.13. Data on number of trees/ha in three diameter classes at two successive measurements in natural forests.
|
Sampleplot |
Number of trees /ha at Measurement - I |
Number of trees/ha at Measurement - II |
||||
|
number |
dbh class <10cm (y1t) |
dbh class 10-60 cm (y2t) |
dbh class >60 cm (y3t) |
dbh class <10cm (y1t+q ) |
dbh class 10-60 cm (y2t+q ) |
dbh class >60 cm (y2t+q ) |
|
1 |
102 |
54 |
23 |
87 |
87 |
45 |
|
2 |
84 |
40 |
22 |
89 |
71 |
35 |
|
3 |
56 |
35 |
20 |
91 |
50 |
30 |
|
4 |
202 |
84 |
42 |
77 |
167 |
71 |
|
5 |
34 |
23 |
43 |
90 |
31 |
29 |
|
6 |
87 |
23 |
12 |
92 |
68 |
20 |
|
7 |
78 |
56 |
13 |
90 |
71 |
43 |
|
8 |
202 |
34 |
32 |
82 |
152 |
33 |
|
9 |
45 |
45 |
23 |
91 |
45 |
38 |
|
10 |
150 |
75 |
21 |
83 |
128 |
59 |
The equations to be estimated are,
(6.37)
![]()
![]()
Assembling the respective data from Table 6.13 and running the multiple linear regression routine (Montgomery and Peck,1982), the following estimates may be obtained.
(6.38)
![]()
![]()
Equations such as in model (6.38) have great importance in projecting the future stand conditions and devising optimum harvesting policies on the management unit as demonstrated by Boungiorno and Michie (1980). Growth models in general are put to use in forest management for comparing alternative management prescriptions. Using growth simulation models, it is possible to compare the simulated out-turn under the different prescriptions with respect to measures like internal rate of return (IRR) and arrive at optimum harvesting schedules. As growth and yield projections can be made under a variety of models, a choice will have to be made with respect to the best model to be used for such a purpose. Models differ with respect to data requirement or computational complexities. Apart from these, the biological validity and accuracy of prediction are of utmost importance in the choice of a model.
6.3.1. Measurement of biodiversity
Biodiversity is the property of living systems of being distinct, that is different, unlike. Biological diversity or biodiversity is defined here as the property of groups or classes of living entities to be varied. Biodiversity manifests itself in two dimensions viz., variety and relative abundance of species (Magurran, 1988). The former is often measured in terms of species richness index which is,
Species richness index =
(6.39)
where S = Number of species in a collection
N = Number of individuals collected
As an illustration, suppose we encounter 400 species in a collection of 10000 individuals, the species richness index would be.
Species richness index =
The increase in the number of species in relation to the number of individuals or the area covered is represented by a species accumulation curve. The relation between number of species (S) and the area (A) covered is often represented mathematically by the equation, S = a Ab , a graph of which is shown below for specific values of a and b (a = 100, b = 0.2). Here, a and b are parameters to be estimated empirically using linear regression techniques with data on area covered and the corresponding number of species recorded.

Figure 6.3. An example of species-area curve
Using the equation S = 100A0.2, we shall be able to predict the number of possible species that we will get by covering a larger area within the region of sampling. In the above example, we are likely to get ‘458’ species when the area of search is ‘2000 ha’.
In instances like the collection of insects through light traps, a species-individual curve will be more useful. In order to get an asymptotic curve we may have to use nonlinear equations of the form
(6.40)
wherein S tends to a as N tends to ¥ . This means that a will be the limiting number of species in an infinitely large collection of individuals. The parameters a and b in this case will have to be estimated using nonlinear regression techniques (Draper and Smith, 1966). A graph of Equation (6.40) is shown below for a = 500 and b = 100.

Figure 6.4. An example of species-individual curve
The relative abundance is usually measured in terms of diversity indices, a best known example of which is Shannon-Wiener index (H).
(6.41)
where pi = Proportion of individuals found in the ith species
ln indicates natural logarithm
The values of Shannon-Wiener index obtained for different communities can be tested using Student’s t test where t is defined as
(6.42)
which follows Student’s t distribution with n degrees of freedom where

(6.43)
(6.44)
The calculation of Shannon-Wiener index and testing the difference between the indices of two locations are illustrated below.
Table 6.14 shows the number of individuals belonging to different insect species obtained in collections using light traps at two locations in Kerala (Mathew et al., 1998).
Table 6.14. Number of individuals belonging to different insect species obtained in collections using light traps at two locations
|
Species code |
Number of individuals collected from Nelliampathy |
Number of individuals collected from Parambikulum |
|
1 |
91 |
84 |
|
2 |
67 |
60 |
|
3 |
33 |
40 |
|
4 |
22 |
26 |
|
5 |
27 |
24 |
|
6 |
23 |
20 |
|
7 |
12 |
16 |
|
8 |
14 |
13 |
|
9 |
11 |
12 |
|
10 |
10 |
7 |
|
11 |
9 |
5 |
|
12 |
9 |
5 |
|
13 |
5 |
9 |
|
14 |
1 |
4 |
|
15 |
4 |
6 |
|
16 |
2 |
2 |
|
17 |
2 |
4 |
|
18 |
1 |
4 |
|
19 |
2 |
5 |
|
20 |
4 |
1 |
Step 1. The first step when calculating the Shannon-Wiener index by hand is to draw up a table (Table 6.15) giving values of pi and pi ln pi . In cases where t test is also used, it is convenient to add a further column to the table giving values of pi (ln pi)2.
Step 2. The insect diversity in Nelliyampathy is H1 = 2.3716 while the diversity in Parambikulam is H2 = 2.4484. These values represent the sum of the pi ln pi column. The formula for the Shannon-Wiener index commences with a minus sign to cancel out the negative signs created by taking logarithms of proportions.
Step 3. The variance in diversity of the two locations may be estimated using Equation (6.44).
![]()
Thus, Var( H1 ) -Nelliyampathy =
= 0.0029
Var ( H2 ) -Parambikulam =
= 0.0027
Table 6.15. Calculation of Shannon-Wiener index for two locations.
|
Species |
Nelliyampathy |
Parambikulam |
|||||
|
code |
pi |
pi ln pi |
pi (ln pi )2 |
pi |
pi ln pi |
pi (ln pi )2 |
|
|
1 |
0.2607 |
-0.3505 |
0.4712 |
0.2421 |
-0.3434 |
0.4871 |
|
|
2 |
0.1920 |
-0.3168 |
0.5228 |
0.1729 |
-0.3034 |
0.5325 |
|
|
3 |
0.0946 |
-0.2231 |
0.5262 |
0.1153 |
-0.2491 |
0.5381 |
|
|
4 |
0.0630 |
-0.1742 |
0.4815 |
0.0749 |
-0.1941 |
0.5030 |
|
|
5 |
0.0774 |
-0.1980 |
0.5067 |
0.0692 |
-0.1848 |
0.4936 |
|
|
6 |
0.0659 |
-0.1792 |
0.4873 |
0.0576 |
-0.1644 |
0.4692 |
|
|
7 |
0.0344 |
-0.1159 |
0.3906 |
0.0461 |
-0.1418 |
0.4363 |
|
|
8 |
0.0401 |
-0.1290 |
0.4149 |
0.0375 |
-0.1231 |
0.4042 |
|
|
9 |
0.0315 |
-0.1090 |
0.3768 |
0.0346 |
-0.1164 |
0.3916 |
|
|
10 |
0.0286 |
-0.1016 |
0.3609 |
0.0202 |
-0.0788 |
0.3075 |
|
|
11 |
0.0258 |
-0.0944 |
0.3453 |
0.0144 |
-0.0611 |
0.2591 |
|
|
12 |
0.0258 |
-0.0944 |
0.3453 |
0.0144 |
-0.0611 |
0.2591 |
|
|
13 |
0.0143 |
-0.0607 |
0.2577 |
0.0259 |
-0.0946 |
0.3456 |
|
|
14 |
0.0029 |
-0.0169 |
0.0990 |
0.0115 |
-0.0514 |
0.2295 |
|
|
15 |
0.0115 |
-0.0514 |
0.2297 |
0.0173 |
-0.0702 |
0.2848 |
|
|
16 |
0.0057 |
-0.0294 |
0.1518 |
0.0058 |
-0.0299 |
0.154 |
|
|
17 |
0.0057 |
-0.0294 |
0.1518 |
0.0115 |
-0.0514 |
0.2295 |
|
|
18 |
0.0029 |
-0.0169 |
0.099 |
0.0115 |
-0.0514 |
0.2295 |
|
|
19 |
0.0057 |
-0.0294 |
0.1518 |
0.0144 |
-0.0611 |
0.2591 |
|
|
20 |
0.0115 |
-0.0514 |
0.2297 |
0.0029 |
-0.0169 |
0.0987 |
|
|
Total |
1 |
-2.3716 |
6.6000 |
1 |
-2.4484 |
6.9120 |
|
Step 4. The t test allows the diversity of the two locations to be compared. The appropriate formulae are given in Equations (6.42) and (6.43).

![]()
In this example,
= 1.0263
The corresponding degrees of freedom are calculated as
= 695.25
The table value of t corresponding to 695 degrees of freedom (Appendix 2) shows that the difference between diversity indices of two locations is nonsignificant.
Conventionally, random sampling patterns are employed in studies on biodiversity. One related question is, what is the sample size required to estimate any particular diversity index. Simulation exercises based on realistic structure of species abundances revealed that observing 1000 randomly selected individuals is adequate to estimate Shannon-Wiener index. Estimation of species richness may need an effort level of about 6000 (Parangpe and Gore, 1997).
6.3.2. Species abundance relation
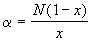
A complete description of the relative abundance of different species in a community can be obtained through a species abundance model. The empirical distribution of species abundance is obtained by plotting the number of species against the number of individuals. Later, the observed distribution is approximated by a theoretical distribution. One of the theoretical models used in this connection especially with partially disturbed populations is the log series. The log series takes the form
a
x,
,
, . . . ,
(6.45)
a x being the number of species with one individual, a x2/2 the number of species with two individuals, etc. The total number of species (S) in the population is obtained by adding up all the terms in the series which will work out to S = a [- ln (1-x)].
To fit the series, it is necessary to calculate how many species are expected to have one individual, two individuals and so on. These expected abundances are then put into the same abundance classes used for the observed distribution and a goodness of fit test is used to compare the two distributions. The total number of species in the observed and expected distributions is of course identical.
The calculations involved are illustrated with the following example. Mathew et al. (1998) studied the impact of forest disturbance on insect species diversity at four locations in the Kerala part of Western Ghats. As part of their study, they assembled a list giving the abundance of 372 species at Nelliyampathy. This list is not reproduced here for want of space. However, this data set used here to illustrate the calculations involved in fitting a log series model.
Step 1. Put the observed abundances into abundance classes. In this case, classes in log2 (that is octaves or doublings of species abundances) are chosen. Adding 0.5 to the upper boundary of each class makes it straightforward to unambiguously assign observed species abundances to each class. Thus, in the table below (Table 6.16), there are 158 species with an abundance of one or two individuals, 55 species with an abundance of three or four individuals, and so on.
Table 6.16. Number of species obtained in different abundance classes.
|
Class |
Upper boundary |
Number of species observed |
|
1 |
2.5 |
158 |
|
2 |
4.5 |
55 |
|
3 |
8.5 |
76 |
|
4 |
16.5 |
49 |
|
5 |
32.5 |
20 |
|
6 |
64.5 |
9 |
|
7 |
128.5 |
4 |
|
8 |
¥ |
1 |
|
Total number of species (S) |
- |
372 |
Step 2. The two parameters needed to fit the series are x and a . The value of x is estimated by iterating the following term.
(6.46)
where S = Total number of species (372)
N = Total number of individuals (2804).
The value of x is usually greater than 0.9 and always <1.0. A few calculations on a hand calculator will quickly produce the correct value of x by trying different values of x in the expression
and examining if it attains the value of S/N = 0.13267.
|
x |
|
|
0.97000 |
0.10845 |
|
0.96000 |
0.13412 |
|
0.96100 |
0.13166 |
|
0.96050 |
0.13289 |
|
0.96059 |
0.13267 |
The correct value of x is therefore 0.96059. Once x has been obtained, it is simple to calculate a using the equation,
=
= 115.0393 (6.47)
Step 3. When a and x have been obtained, the number of species expected to have 1, 2, 3, . . ., n individuals can be calculated. This is illustrated below for the first four abundance classes corresponding to the cumulative sums.
Table 6.17. Calculation involved in finding out the expected number of species in a log series model.
|
Number of Individuals |
Series term |
Number of expected species |
Cumulative sum |
|
1 |
|
110.5 |
|
|
2 |
|
53.1 |
163.6 |
|
3 |
|
33.9 |
|
|
4 |
|
24.5 |
58.5 |
|
5 |
|
18.8 |
|
|
6 |
|
15.1 |
|
|
7 |
|
12.4 |
|
|
8 |
|
10.4 |
56.7 |
|
9 |
|
8.9 |
|
|
10 |
|
7.7 |
|
|
11 |
|
6.7 |
|
|
12 |
|
6.0 |
|
|
13 |
|
5.2 |
|
|
14 |
|
4.7 |
|
|
15 |
|
4.2 |
|
|
16 |
|
3.8 |
47.1 |
Step 4. The next stage is to compile a table giving the number of expected and observed species in each abundance class and compare the two distributions using a goodness of fit test. Chi-square test is one commonly used test. For each class, calculate
2 as shown.
2 = (Observed frequency - Expected frequency)2/ Expected frequency (6.48)
For example, in class 1, c
2 = (158-163.5809)2 /163.5809 =0.1904. Finally sum this column to obtain the overall goodness of fit,
Check the obtained value in chi-square tables (Appendix 4) using (Number of classes-1) degrees of freedom. In this case,
, with 6 degrees of freedom. The value of c
2 for P=0.05 is 12.592. We can therefore conclude that there is no significant difference between the observed and expected distributions, i.e., the log series model fits well for the data.
If c
2 is calculated when the number of expected species is small (<1.0) the resultant value of c
2 can be extremely large. In such cases, it is best to combine the observed number of species in two or more adjacent classes and compare this with the combined number of expected species in the same two classes. The degrees of freedom should be reduced accordingly. In the above example, since the expected frequency of class 8 was less than 1, the observed and expected frequencies of class 8 were combined with those of class 7 while testing for goodness of fit.
Table 6.18. Test of goodness of fit of log series model.
|
Class |
Upper boundary |
Observed |
Expected |
(Observed - Expected)2 Expected |
|
|
1 |
2.5 |
158 |
163.5809 |
0.1904 |
|
|
2 |
4.5 |
55 |
58.4762 |
0.2066 |
|
|
3 |
8.5 |
76 |
56.7084 |
6.5628 |
|
|
4 |
16.5 |
49 |
47.1353 |
0.0738 |
|
|
5 |
32.5 |
20 |
30.6883 |
3.7226 |
|
|
6 |
64.5 |
9 |
11.8825 |
0.6992 |
|
|
7 |
128.5 |
5 |
3.5351 |
0.6070 |
|
|
Total |
372 |
372.0067 |
12.0624 |
||
6.3.3. Study of spatial patterns
Spatial distribution of plants and animals is an important characteristic of ecological communities. This is usually one of the first observations that is made while studying any community and is one of the most fundamental properties of any group of living organisms. Once a pattern has been identified, the ecologist may propose and test hypotheses that explain the underlying causal factors. Hence, the ultimate objective of detecting spatial patterns is to generate hypothesis concerning the structure of ecological communities. In this section, the use of statistical distributions and a few indices of dispersion for detecting and measuring spatial pattern of species in communities are described.
Three basic types of patterns are recognised in communities viz., random, clumped and uniform (See Figure 6.5).The following causal mechanisms are often used to explain observed patterns in ecological communities. Random patterns in a population of organisms imply environmental homogeneity and/or non-selective behavioural patterns. On the other hand, non-random patterns (clumped and uniform) imply that some constraints on the population exist. Clumping suggests that individuals are aggregated in more favourable parts of the habitat; this may be due to gregarious behaviour, environmental heterogeneity, reproductive mode, and so on. Uniform dispersions result from negative interactions between individuals, such as competition for food or space. One has to note that detecting a pattern and explaining its possible causes are separate problems. Furthermore, it should be kept in mind that nature is multifactorial; many interacting processes (biotic and abiotic) may contribute to the existence of patterns.
(a) Random (b) Clumped (c) Uniform

Figure 6.5. Three basic patterns of spatial distribution.
Hutchinson was one of the first ecologists to consider the importance of spatial patterns in communities and identify various causal factors that may lead to patterning of organisms like (i) vectorial factors resulting from the action of external environmental forces (e.g.,wind, water currents, and light intensity ) (ii) reproductive factors attributable to the reproductive mode of the organism (e.g., cloning and progeny regeneration) (iii) social factors due to innate behaviours (e.g., territorial behaviour); (iv) coactive factors resulting from intra-specific interactions (e.g. competition); and (v) stochastic factors resulting from random variation in any of the preceding factors. Thus, processes contributing to spatial patterns may be considered as either intrinsic to the species (e.g., reproductive, social and coactive ) or extrinsic (e.g., vectorial). Further discussions of the causes of pattern are given in Ludwig and Reynolds (1988).
If individuals of a species are spatially dispersed over discrete sampling units e.g., scale insects on plant leaves, and if at some point in time a sample is taken of the number of individuals per sampling unit, then it is possible to summarize these data in terms of a frequency distribution. This frequency distribution consists of the number of sampling units with 0 individual, 1 individual, 2 individuals, and so on. This consti tutes the basic data set we use in the pattern detection methods described subsequently. Note that the species are assumed to occur in discrete sites or natural sampling units such as leaves, fruits, trees. Generally, it is observed that the relationships between the mean and variance of the number of individuals per sampling unit is influenced by the underlying pattern of dispersal of the population. For instance, mean and variance are nearly equal for random patterns, variance is larger than mean for clumped patterns and variance is less than mean for uniform patterns. There are certain statistical frequency distributions that, because of their variance-to-mean properties, have been used as models of these types of ecological patterns. These are (i) Poisson distribution for random patterns (ii) Negative binomial distribution for clumped patterns and (iii) Positive binomial for uniform patterns. While these three statistical models have commonly been used in studies of spatial pattern, it should be recognized that other statistical distributions might also be equally appropriate.
The initial step in pattern detection in community ecology often involves testing the hypothesis that the distribution of the number of individuals per sampling unit is random. Poisson distribution has already been described in Section 2.4.2. If the hypothesis of random pattern is rejected, then the distribution may be in the direction of clumped (usually) or uniform (rarely). If the direction is toward a clumped dispersion, agreement with the negative binomial may be tested and certain indices of dispersion, which are based on the ratio of the variance to mean, may be used to measure the degree of clumping. Because of the relative rarity of uniform patterns in ecological communities, and also because the binomial distribution has been described earlier in Section 2.4.1, this case is not considered here.
Before proceeding, we wish to make some cautionary points. First of all, failure to reject a hypothesis of randomness means only that we have failed to detect non-randomness using the specified data set at hand. Second, we should propose only reasonable hypothesis in the sense that a hypothesis should be tenable and based on a mixture of common sense and biological knowledge. This second point has important ramifications with regard to the first. It is not uncommon for a theoretical statistical distribution (e.g., the Poisson series) to resemble an observed frequency distribution (i.e., there is a statistical agreement between the two) even though the assumptions underlying this theoretical model are not satisfied by the data set. Consequently, we may accept a null hypothesis that has, in fact, no biological justification. Third, we should not base our conclusions on significance tests alone. All available sources of information (ecological and statistical) should be used in concert. For example, failure to reject a null hypothesis that is based on a small sample size should be considered only as a weak confirmation of the null hypothesis. Lastly, it has to be remembered that the detection of spatial pattern and explaining its possible casual factors are separate problems.
The use of negative binomial distribution in testing for clumped patterns is described here. Negative binomial model is probably the most commonly used probability distribution for clumped, or what often are referred to as contagious or aggregated populations. When two of the conditions associated with the use of Poisson model are not satisfied, that is, condition 1 (each natural sampling unit has an equal probability of hosting an individual) and condition 2 (the occurrence of an individual in a sampling unit does not influence its occupancy by another), it usually leads to a high variance-to-mean ratio of the number of individuals per sampling unit. As previously shown, this suggests that a clumped pattern may exist.
The negative binomial has two parameters, m , the mean number of individuals per sampling unit and k, a parameter related to the degree of clumping. The steps in testing the agreement of an observed frequency distribution with the negative binomial are outlined below.
Step 1.State the hypothesis ; The hypothesis to be tested is that the number of individuals per sampling unit follows a negative binomial distribution, and, hence, a nonrandom or clumped pattern exists. Failing to reject this hypothesis, the ecologist may have a good empirical model to describe a set of observed frequency data although this does not explain what underlying causal factors might be responsible for the pattern. In other words, we should not attempt to infer causality solely based on our pattern detection approaches.
Step 2.The number of individuals per sampling unit is summarized as a frequency distribution, that is, the number of sampling units with 0, 1, 2, …, r individuals.
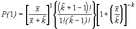
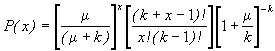
Step 3.Compute the negative binomial probabilities, P(x). The probability of finding x individuals in a sampling unit, that is, P(x), where x is 0, 1, 2, …, r individuals, is given by
(6.49)
The parameter m
is estimated from the sample mean (
). Parameter k is a measure of the degree of clumping and tends toward zero at maximum clumping. An estimate for k is obtained using the following iterative equation :
(6.50)
where N is total number of sampling units in the sample and N0 is the number of sampling units with 0 individuals. First, an initial estimate of
is substituted into the right-hand side (RHS). If the RHS is lower than the LHS, a higher value of
is then tried, and, again, the two sides are compared. This process is continued in an iterative fashion (appropriately selecting higher or lower values of
) until a value of
is found such that the RHS converges to the same value as the LHS. A good initial estimate of
for the first iteration is obtained from,
=
(6.51)
where s2 is the sample estimate of variance.
When the mean is small (less than 4), Equation (6.50) is an efficient way to estimate
. On the other hand, if the mean is large (greater than 4), this iterative method is efficient only if there is extensive clumping in the population. Thus, if both the population mean (
) and the value of
( the clumping parameter, as computed from equation (6.51), are greater than 4, equation (6.51) is actually preferred over equation (6.50) for estimating
.
Once the two statistics,
and
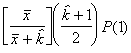
, are obtained, the probabilities of finding x individuals in a sampling unit, that is, P(x), where x = 0, 1, 2, …, r individuals, are computed from equation (6.49) as

= 

= 

= 
…
…
…

= 
Step 4. Obtain the expected negative binomial frequencies. The expected number of sampling units containing x individuals is obtained by multiplying each of the negative binomial probabilities by N, the total number of sampling units in the sample. The number of frequency classes, q, is also determined as described for the Poisson model.
Step 5.Perform a goodness of fit test. The chi-square test for goodness of fit is to be performed as described in Section 3.5.