Las diversas especies de peces que se encuentran en aguas continentales las emplea el hombre de diversas maneras, de las cuales las tres principales son alimento, deporte y ornamento.
i) Alimento: Este es el uso más importante, particularmente en lugares tropicales y subtropicales alejados del mar, en los que peces de agua dulce aportan con frecuencia una enorme proporción del total de la proteína de la alimentación. Los peces para la alimentación se capturan directamente en las aguas naturales o se crían mediante diversas técnicas extensivas e intensivas de acuicultura.
Una vez en tierra, el pescado se consume en fresco o se trata de diversas maneras para asegurar una conservación más larga o varios productos alimentarios como aceites, pastas o salsas.
Las principales pesquerías fluviales del mundo se indican en la Figura 5.
ii) Deporte: La pesca recreativa está muy extendida en los países industriales de la zona templada y actualmente se propaga por otros lugares donde hay mucha urbanización. En cierto grado este uso de los recursos pesqueros también puede considerarse alimento ya que en casi todos los países se consume lo que se pesca deportivamente.
iii) Ornamento: La belleza e interés del comportamiento de muchas especies de peces de agua dulce, junto con su reducido tamaño, ha estimulado su uso como ornamento o pasatiempo. Con este fin se pescan y exportan regularmente varios cientos de especies de peces tropicales pequeños que ofrecen unos ingresos bastante reducidos y localizados a los países exportadores.

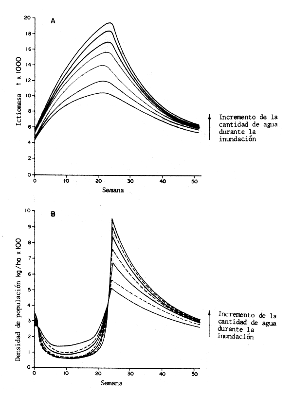
Fig. 4 Curvas simuladas por el ordenador representando:
A. Cambios que ocurren con el tiempo en la ictiomasa total en diferentes regímenes
de inundación en un sistema teórico rio/llanura anegadiza
B. Cambios equivalentes de la ictiomasa por unidad de superficie inundada en el
mismo sistema

Fig. 5 Mapa de la situación de los grandes ríos del mundo. Se indican las principales pesquerías para alimento en la llanura anegadiza, aunque en casi todos los ríos se practica la pesca alimentaria o deportiva
iv) Otros usos: Las especies de peces de agua dulce tienen otros varios usos menores que comprenden la lucha contra los vectores de enfermedades, para la cual peces como Gambusia o Lebistes se han introducido con objeto de eliminar las larvas de los mosquitos transmisores de la malaria y la supresión de la vegetación acuática para lo cual los peces que se alimentan de plantas superiores, como Ctenopharyngodon idella o Tilapia zillii, se han introducido en canales y masas de agua sin salida para reducir una vegetación que causa perjuicios.
En casi todos los sistemas fluviales hay tres clases principales de pescadores: i) ocasionales, ii) a dedicación parcial y iii) a dedicación total.
i) Pescadores ocasionales: Es probable que la mayoría de los habitantes de las orillas de todo sistema fluvial se dedique a la pesca en algún momento del año. En los ríos donde la pesca es principalmente para alimento, es probable que la ocasional de especies con cestos en ríos pequeños la practiquen las mujeres y los niños. También puede ocurrir que anualmente se organice una gran pesca en un estanque de la tierra de inundación que tradicionalmente es propiedad común de la aldea. Esta pesca es casi siempre de subsistencia y raramente queda un excedente para venderlo en el mercado, ya que los pescadores dependen muy poco de la pesca. Entra en esta categoría la pesca recreativa que se practica en los países industriales de la zona templada.
ii) Pescadores a dedicación parcial: Están comprendidos los miembros de una comunidad pesquera que tienen otra ocupación, generalmente la agricultura, por lo que la combinación pescadoragricultor abunda en particular en las grandes tierras de inundación de los trópicos, donde las dos actividades se combinan fácilmente. Es posible que la mayoría de los que pescan en los sistemas fluviales pertenezcan a esta categoría y que durante su actividad pesquera obtengan lo suficiente para sus necesidades y les quede un excedente para venderlo en el mercado.
iii) Pescadores a dedicación total: Estos pescadores existen en algunos ríos, pero por ser la pesca estacional no encuentran trabajo durante todo el año en un solo lugar. Por estos están siempre en movimiento siguiendo los peces aguas arriba y aguas abajo, desde la orilla del río hasta el margen de la tierra inundada e incluso desplazándose de un sistema a otro según la existencia de poblaciones.
En los ríos se emplean muchos métodos de pesca diversos. Esto se debe a la variedad de especies en las comunidades fluviales, la variación estacional de las condiciones y las muchas clases distintas de lugares de pesca. Como la diversidad de especie y hábitat, tienden a aumentar con las dimensiones de las cuencas y con el descenso de la latitud, la diversidad correspondiente de equipo de pesca alcanza su plenitud en las grandes pesquerías de las llanuras anegadizas de Asia y Africa.
Existen varios sistemas para clasificar los dispositivos de pesca, pero es probable que lo más conveniente en los ríos sea dividirlos en activos y pasivos.
i) Dispositivos pasivos: Dependen de los movimientos de los peces para que se capturen ellos solos. Son especialmente útiles en los momentos del año en que los peces emigran, aunque cuando no se mueven hay dispositivos como las nasas y los anzuelos que se pueden hacer más interesantes cebándolos. Son dispositivos pasivos típicos los que aparecen en la Figura 6. Comprenden presas, palangres, nasas y redes fijas como las de enmalle, además de biturones con y sin alas. En los últimos años, la disponibilidad de hilos baratos ha favorecido el empleo de redes de enmalle, hasta el punto que muchas pesquerías recién establecidas se basan en ellas, que han substituido a otros artes tradicionales de las antiguas. El predominio de las redes de enmalle ha dado por resultado un aumento de la selectividad de muchas pesquerías y el que no se exploten todos los elementos de la comunidad.

Fig. 6 Selección de equipo de pesca pasiva
A. Presa de nasas que atraviesa el río
B. Parte de un palangre
C. Nasa circular
D. Biturón sencillo
ii) Dispositivos activos: Los métodos de pesca activos dependen del movimiento de los artes para efectuar la captura. Se usan durante todo el año pesquero, pero se encuentran con más frecuencia cuando lo peces están inactivos y menos expuestos a la captura por métodos pasivos. Los métodos activos tradicionales más empleados son diversas clases de salabardos y velos (Figura 7). Los grandes salabardos pueden usarse en la superficie para capturar especies pelágicas o como artes de arrastre para las especies que viven en el fondo. Así como las redes de enmalle tienden a substituir muchos dispositivos pasivos, los esparaveles y las redes de cerco reemplazan los dispositivos activos. Son especialmente abundantes los esparaveles que tienen luz de malla de diversos tamaños que les permiten capturar peces de todas dimensiones. Debido a su tamaño y costo, las redes de cerco son menos comunes y sólo las emplean grupos de pescadores profesionales que trabajan desde playas limpiadas especialmente.

Fig. 7 Equipo activo tradicional:
A. Salabardo
B. Salabardo en V
Por ser diferente la capacidad de los diversos artefactos de pesca, hay modalidades estacionales de su uso bien determinadas, especialmente en las tierras inundadas tropicales en las que el ciclo de las aguas puede dividirse en cuatro períodos principales, cada uno con sus propias características.
a) Subida del agua: En esta época los peces se mueven activamente en el canal del río y por las tierras anegadas. La pesca se practica con presas de nasas y con biturones colocados en los canales principales del río y en los que van a la llanura. También se usan redes de enmalle cuando sube el agua, aunque son vulnerables a la corriente y a la vegetación flotante.
b) La inundación: Mientras el agua está alta los peces están muy dispersos y la pesca es mínima, aunque se ponen nasas y palangres cebados entre la vegetación y se calan redes de enmalle en las lagunas mayores.
c) Descenso del agua: En estos momentos la pesca se concentra en los juveniles que regresan al río. Se emplean presas de nasas y diques para cerrar los canales principales de desagüe en los que se utilizan en particular esparaveles y redes de enmalle pequeñas. En algunas partes del mundo los peces jóvenes que se pescan en estos momentos se emplean para poblar estanques y lagos, por lo que se tiene cuidado de emplear métodos que no los perjudiquen.
d) Estiaje: Este es el período más productivo de la pesca continental. En él se obtienen las mayores capturas, que van disminuyendo lentamente al agotarse los recursos. Se emplean más los métodos activos como redes de enmalle, biturones y artes de arrastre pequeños, junto con palangres y nasas cebados. Al acanzar este período, el canal del río tiende a transformarse en una serie de pozas en el ritron y en otra de tramos profundos o someros en el potamon. Análogamente las aguas de llanura se van aislando y en muchos casos comienzan a desaparecer. En tales lugares es común el empleo de venenos junto en ocasiones con grandes pescas en las que se emplean los dispositivos tradicionales como salabardos, redes de mano y nasas. En ciertas partes del mundo se emplea la pesca eléctrica en vez de venenos.
En algunos ríos, especialmente en los de la zona templada del norte, los peces se usan esencialmente para el recreo. Los pescadores se concentran en unas pocas especies de gran interés deportivo que son las favorecidas por las normas de conservación. Las pesquerías de estas especies se mantienen repoblándolas y, con menos frecuencia, elmininando las especies indeseadas. En consecuencia, la dinámica de las poblaciones de tales sistemas es bastante complicada y los efectos de la pesca poco comprendidos. Se conoce mejor el comportamiento de algunas pesquerías para alimento basadas en unas pocas especies, que se supone que sigue el modelo de rendimiento excedente de Schaefer (véase Ricker, 1975). Este supone que el rendimiento de una población íctica está relacionado con su abundancia y el esfuerzo de pesca total y predice que una captura sostenible aumentará con el esfuerzo de pesca hasta que alcance un valor máximo y después disminuirá (Figura 8).

Fig. 8 Curva teórica de Schaefer que relaciona la captura sostenible con diversos esfuerzos de pesca
En las comunidades de peces compuestas de muchas especies explotables, la situación es algo más complicada porque la pesca tiene efectos dentro de la comunidad de peces y dentro de las poblaciones de especies distintas (Henderson y Welcomme, 1974). Como se ve en la Figura 9, la pesca tiende a reducir la edad media de los peces, lo que debido al mayor crecimiento de los peces más jóvenes, tiende a aumentar la eficacia de la utilización del alimento. También es como acelerar el crecimiento y reducir el tamaño de maduración de las especies explotadas, pero a la larga esto no basta para contrarrestar los efectos de la presión de pesca. Por lo tanto, al intensificarse la pesca, las especies grandes, longevas, de crecimiento lento, tienden a ser substituidas por otras de más movimiento que aumentan la productividad mediante un aprovechamiento mayor de los nutrientes. Durante esta fase la captura total en peso puede cambiar poco, dando una curva de rendimiento más plana, pero la pesquería se basa en una sucesión de especies cada vez más pequeñas. Este proceso se intensifica con frecuencia cuando se emplean artes selectivos por tamaño, ya que la desaparición de las especies mayores da por resultado una reducción progresiva de la luz de malla.

Fig. 9 Esquema de los cambios en la pesca de varias especies causados por el aumento de la intensidad de la pesca
Con el tiempo, se excederá la capacidad de una comunidad íctica de absorber otros aumentos de la presión de pesca, con el resultado de que la abundancia y la biomasa de peces disminuye al punto en que la pesquería se derrumba, por lo menos en su forma intensiva.
En la comunidad de varias especies hay siempre ciertos elementos más vulnerables a la explotación debido a su comportamiento. Las especies migratorias que se congregan estacionalmente en los ríos para efectuar grandes recorridos, son con frecuencia objeto de una pesca especializada, como resultado de la cual han quedado depauperadas en muchos lugares y en otros han desaparecido. Aparte de esas pesquerías especializadas, la pesca en los ríos tiende a usar muchos dispositivos para capturar peces de todas especies y tamaños. Esto quiere decir que el proceso descrito puede no ajustarse a esta norma muy estrictamente ya que en teoría todas las especies están afectadas por la pesca más o menos en el mismo grado. Por otro lado, debido a la tendencia de los pescadores de seleccionar las especies mayores de la comunidad y a que las especies más pequeñas de vida más corta resisten mejor la presión de la pesca, el efecto neto sigue siendo la eliminación progresiva de los elementos mayores de crecimiento más lento de la población.
Debido a que muchas otras tensiones a que está sometida una comunidad íctica, como variaciones del clima, contaminación u otras perturbaciones ambientales, tienen efectos análogos, es posible que se vayan acumulando. Esto quiere decir que una pesquería que puede resistir una explotación dada en ciertas condiciones climáticas o de contaminación sufrirá un colapso rápido si se presentan estados de lluvia o calidad del agua menos favorables.
Cuando la intensidad de la pesca es una función directa del número de pescadores por unidad de longitud del río o de superficie del terreno anegado, se llega a algunas conclusiones en cuanto a la relación entre el pescador y la población de peces. Este es el caso de la pesca de artesanía en la que en un nivel cualquiera de tecnología la capacidad de pesca del individuo puede considerarse teóricamente como la norma. Substituyendo el número de pescadores por la intensidad de pesca en la curva de rendimiento, permite calcular la captura media por pescador (Figura 10). Tal curva de rendimiento (A) calculada a partir de un grupo de ríos africanos era algo más rebajada que la derivada de un grupo de lagos. Alcanza su rendimiento máximo con unos 10 pescadores por km² de tierra anegada, contra un máximo de 1,5 pescadores por km² en los lagos (Henderson y Welcomme,1974). La razón puede ser que la pesca fluvial la explotan pescadores a dedicación parcial que adaptan el tiempo que dedican a la pesca a sus beneficios relativos.
Las curvas de la Figura 10 demuestran otro principio: si se introduce un factor nuevo en la pesquería para mejorar el rendimiento de los distintos pescadores, la curva de rendimiento (B) se desplaza hacia la izquierda, lo que da por resultado que menos pescadores pescan la misma cantidad. Esto significa que todo aumento de una pesquería que se aproxime a la explotación máxima sólo puede conseguirse a costa de reducir el número de pescadores o el tiempo que cada uno dedica a la pesca. Por otro lado, si el mismo número de pescadores sigue pescando durante el mismo tiempo, la captura total será inferior a la máxima posible y cada individuo pescará menos.