La ciencia construye modelos o teorías para explicar fenómenos. Los fenómenos son observados y se establecen relaciones, causas y explicaciones. Las observaciones se realizan sobre la evolución de magnitudes (características) con el tiempo (o con otras características) y tomando en consideración sus posibles causas (factores).
Física fenómeno del movimiento de los cuerpos (características espacios recorridos en relación a los tiempos invertidos en recorrerlos)
Biología fenómeno del crecimiento (característica talla, o peso, en relación al tiempo)
2.1.1 ESTRUCTURA DE UN MODELO
Suposiciones básicas
simplifican la realidad
deben ser simples y «tratables» matemáticamente
no pueden ser contradictorias
no se demuestran
se establecen sobre características
Las suposiciones básicas, normalmente, se refieren a la evolución de las características y se establecen sobre las tasas de variación de esas características.
Relaciones (propiedades)
se deducen de las suposiciones básicas, o de relaciones deducidas anteriormente mediante leyes de la lógica (matemática). Las propiedades también llamadas:
«resultados» o «conclusiones» del modelo
Verificación
los resultados del modelo deben ser coherentes (concordar) con la realidad.
la verificación implica observación (práctica):
muestreo, métodos estadísticos,...
Perfeccionamiento
si los resultados no concuerdan con la realidad se deben modificar las suposiciones básicas.
si la concordancia es aproximada se debe valorar si la aproximación es suficiente o no.
la modificación de las suposiciones básicas puede consistir simplemente en «ampliar el ámbito» de la realidad que sirvió de base para las suposiciones, para adaptarlas a la nueva realidad sobre la cual se pretende aplicar el modelo.
Ventajas
es más sencillo analizar las propiedades del modelo que la realidad
resultados útiles en la práctica
posibilidad de analizar situaciones o escenarios diferentes
destacar lo esencial de los fenómenos y sus causas
posibilidad de perfeccionamiento
2.1.2 TIPOS DE MODELOS MÁS USADOS EN LA EVALUACIÓN PESQUERA
Modelos de Producción
Los modelos de producción, también llamados modelos de Producción General, modelos Globales, modelos Sintéticos o incluso modelos del tipo Lotka-Volterra. Estos modelos consideran el stock en su globalidad, en particular la abundancia total (en peso o en número) y estudian su evolución, los efectos del esfuerzo de pesca, etc. No consideran la estructura de edades o de tamaños del stock.
Modelos Estructurales
Estos modelos consideran la estructura de edades del stock y la evolución de esa estructura con el tiempo. Pero, principalmente, se basan en que el stock, en un período determinado de tiempo, esta formado por individuos de diferentes cohortes, y por lo tanto de diferentes edades y tamaños. De este modo, permiten análisis y previsiones de lo que le puede acontecer al stock y a las capturas, basándose en la evolución de las diferentes cohortes que lo componen.
En este manual no se seguirá el camino histórico de la construcción de los modelos. Se ha considerado más conveniente discutir en primer lugar los Modelos Estructurales y posteriormente analizar los Modelos de Producción.
Las suposiciones básicas de un modelo de la evolución de una característica precisan del concepto de tasa de variación de la característica en relación al tiempo (o a otras características).

Figura 2.1 Evolución de la talla (L) de un individuo con el tiempo (o la edad) (t)
Para el estudio general de tasas, se substituye la característica L del ejemplo por y, y la variable asociada no será el tiempo t sino la variable x. Pensando en los modelos de evaluación y con el fin de simplificar, se considera que la función y, solo toma valores reales y no negativos.
2.2.1 TASA MEDIA ABSOLUTA tma(y)
Se considera y una función de x y el intervalo i de limites (xi, xi+1)

Figura 2.2 Función y=f(x) al variar en el intervalo i
Sean:
Dxi = xi+1 - xi el tamaño del intervalo
yi = valor de y cuando x = xi
yi+1 = valor de y cuando x = xi+1
La variación de y en el intervalo Dxi será Dyi = yi+1 yi
La tasa media absoluta, tma(y), de la variación de y en el intervalo Dxi será:

Gráficamente:

Figura 2.3 Tasa media absoluta de variación de y en el intervalo Dxi
| pendiente de la secante = | ![]() |
= tma(y) durante Dxi |
Nota: tma(y) es conocida en la física como velocidad media de variación de y respecto a x, en el intervalo Dxi.
2.2.2 TASA INSTANTANEA ABSOLUTA tia(y)
Sea y una función de x
La tasa instantánea absoluta de y en el punto x = xi es la derivada de y con respecto a x en ese punto.


Figura 2.4 Tasa instantánea absoluta de y en el punto xi
Nota: tia(y) es conocida como velocidad instantánea de variación de y con x en el punto x.
Propiedades
1. Dada la tia(y) el cálculo de la función y se obtiene, por integración, siendo
y = f(x) + Constante, donde f(x) = Primitiva de tia(y) y la Constante es la constante de integración.
Si aceptamos una condición inicial x*, y*, donde y* es el valor de y correspondiente a x = x*, eliminando la Constante, resulta y = y*+f(x)-f(x*)
2. El ángulo que forma la tangente a la curva y con el eje de las x es la inclinación.
- La tangente trigonométrica de la inclinación es la pendiente de la tangente geométrica.
- tia(y) = derivada de y = pendiente = tg (inclinación)
3. Si en un punto x cumple:
tia(y) > 0 entonces y es creciente en ese punto
tia(y) < 0 entonces y es decreciente
tia(y) = 0 entonces y es estacionaria en ese punto (máximo o mínimo)
4. Si tia(y) = constante = const entonces y es función lineal de x, o según la propiedad 1 (ver pagina 11) será:
|
y = Constante+ const. x |
o |
|
|
|
|
y = y* + const.(x-x*) |
y vice-versa |
5. Si y(x) = u(x) + v(x) entonces tia(y) = tia(u) + tia(v)
6. Si las causas A y B provocan aisladamente variaciones en y entonces las causas A y B simultáneamente provocaran una variación en y tal que
tia(y) total = tia(y) causa A + tia(y) causa B
tia(tia(y)) = d2y/dx2 = aceleración de y en el punto x
7. Si la aceleración en el punto x es positiva entonces la tia(y) es creciente y si aquella aceleración es negativa la tia(y) será decreciente.
2.2.3 TASA MEDIA RELATIVA tmr(y)
Se considera y una función de x y el intervalo (xi, xi+1)
Sean:
Dxi = xi+1- xi = tamaño del intervalo
yi = valor de y cuando x = xi
yi+1 = valor de y cuando x = xi+1
xi* = cierto punto del intervalo (xi, xi+1)
yi* = valor de y cuando x = xi*
xi* puede ser xi, xi+1,
, etc.
La tasa media de y relativa a yi* será:
o
Comentarios
1. tmr(y) está asociada con la tasa media de variación porcentual de y en relación a la media y*, esto es,
2. Se considera
= xi +
Dxi/2 = 1/2 . (xi,+ xi+1)
= ![]()
3. Por lo cual, entonces, se llamara
en el intervalo
(xi, xi+1) al valor de y cuando

Nótese que
puede ser diferente de la media, (yi + yi+1)/2
4. Es frecuente calcular tmr(y) en relación a
del intervalo.
2.2.4 TASA INSTANTANEA RELATIVA tir(y)
Sea y una función de x
La tasa instantánea relativa de y en el punto x = xi es
o

Propiedades
1. Dada la tir(y), el cálculo de la función y se obtiene por integración, siendo y = f(x) + Constante, donde f(x) = Primitiva de tir(y) y Constante es la constante de integración.
Si se adopta la condición inicial x*, y*, donde y* es el valor de y correspondiente a x = x*, tenemos, eliminando la Constante, y = y*+ f(x) - f(x*)
2. Si en un punto x se da:
tir(y) > 0 entonces y es creciente en ese punto
tir(y) < 0 entonces y es decreciente
tir(y) = 0 entonces y es estacionario en ese punto (máximo o mínimo)
3. tir(y) = tia(lny) como se deduce de las reglas de la derivación
4. Si tir(y)= constante = const. entonces y es función exponencial de x, esto es,
y = Constante.econst.x o
y = y* . econst.(x - x*) y vice-versa.
5. Si y(x) = u(x).v(x) entonces tir(y) = tir(u) + tir(v)
6. Si las causas A y B provocan aisladamente variaciones en y entonces las causas A y B simultáneamente provocaran una variación en y tal que
tir(y)total = tir(y)causa A + tir(y)causa B
Sea y = f(x)
Suposición básica del modelo
tia(y) = Constante = b en el intervalo (xi, xi+1): Dxi = xi+1 xi
Condición inicial
x* = xi Þ y* = yi

Figura 2.5 Representación gráfica de un modelo lineal simple
Propiedades
|
1. |
Expresión general |
|
|
2. |
Valor, yi+1 al final del intervalo, Dxi |
|
|
3. |
Variación, Dyi, en el intervalo, Dxi |
|
|
4. |
Valor central, ycentrali en el intervalo, Dxi |
|
|
5. |
Valor acumulado, ycumi en el intervalo, Dxi |
o de la Propiedad 1
|
|
6. |
Valor medio,
|
|
Otras expresiones útiles
|
7. |
Valor acumulado,
|
|
|
8. |
Valor medio,
|
|
|
9. |
Valor medio,
|
|
|
10. |
Valor medio,
|
|
|
11. |
Relación entre la tma(y) y la tia(y) |
|
|
12. |
Si |
|
|
13. |
En el modelo lineal la media aritmética de
|
|
Demostraciones más importantes
|
Expresión general |
Si la tia(y) = b en el intervalo Dxi entonces y es lineal con x y atendiendo a la condición inicial será: y = yi+ b.(x-xi) |
|
Valor central |
|
|
Valor acumulado |
La definición del valor acumulado será: Será necesario usar la fórmula de la diferencia de cuadrados, o sea
y por lo tanto será:
|
|
|
|
Sea

Suposición básica del modelo
tir(y) = Constante = c en el intervalo
Condición inicial
x* = xi Þ y* = yi
Propiedades
Considerando que tir(y) = tia(lny) se puede decir que el modelo exponencial de y contra x es equivalente al modelo lineal de lny contra x. Así, sus propiedades más importantes pueden deducirse tomando antilogaritmos a las propiedades del modelo lineal de lny contra x.

Figura 2.6 Representación gráfica del modelo exponencial

Figura 2.7 Representación gráfica del modelo lineal de lny contra x
|
|
|
Modelo exponencial de y |
Modelo lineal de lny |
|
1. |
Expresión general |
|
lny = lnyi+c(x-xi) |
|
2. |
Valor de yi+1 al final del intervalo, Dxi |
|
lnyi+1= lnyi+cDxi |
|
3. |
Variación, Dyi, en el intervalo, Dxi |
|
|
|
4. |
Valor central, ycentrali, en el intervalo Dxi |
|
|
|
|
|
|
|
|
|
|
( |
|
|
5. |
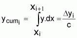
Valor acumulado, ycumi, en el intervalo, Dxi |
|
|
|
6. |
Valor medio,
|
|
|
|
|
|
|
(Dyi substituido por la Propiedad 3) |
|
|
|
|
|
|
|
|
|
|
Otras expresiones útiles
|
7. |
Expresiones de variación, Dyi |
|
|
|
8. |
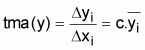
Expresión de tma(y) |
|
|
|
9. |
Expresión de la tmr(y) en relación a
|
|
|
|
10. |
Expresiones de la tmr(y) |
|
|
|
11. |
y decrece Si |
||
|
12. |
En el modelo exponencial, la media geométrica de
|
||
Demostraciones
|
Valor acumulado Propiedad 5 |
|
|
|
|
|
Relación entre
|
|
|
Propiedad 6 4ª expresión |
Usando la aproximación
y, por lo tanto, para la propiedad 4-1ª expresión se concluye que: |