An analysis of the literature reveals that many of techniques for measuring N2O and NO emissions and NH3 volatilization fall into two main categories: chamber (or enclosure) and micrometeorological techniques, although other techniques are available. A study by Lapitan et al. (1999) provides detailed information on the various measurement techniques and the concentration measurements. Table 3 provides a list of the various measurement techniques.
Enclosure or chamber techniques involve the use of cuvettes, chambers or boxes placed over the bare soil surface or surfaces with low vegetation cover. There is little uniformity in design of the enclosures used, but they can be described in their variation from being completely sealed (closed) to the atmosphere, to open on two ends with some means of varying wind speed over the measurement surface (forced draught) to simulate that found in the field. The current types of chambers vary in basal sampling area from <1 m2 to 5.76 m2 to 64 m2. Larger cover boxes integrate spatial variability and the number of replications per plot can be reduced.
Concentration measurements in chamber techniques are generally made with a gas chromatograph-electron capture detector for N2O, and chemiluminiscense detection techniques for NO. NH3 volatilization is determined by chemical trapping, followed by elution of the NH3 with distilled water and measurement of its concentration. Various types of NH3 traps and analytical techniques have been used.
Closed chambers (c) include those with no forced or enhanced circulation in which emitted gases are allowed to accumulate or with closed-loop chambers where gases are circulated. The N2O or NO gas flux from closed chambers can be calculated by periodically collecting gas samples from the chamber and measuring the change in concentration of gas with time during the period of linear concentration change. Ammonia volatilization is determined from the NH3 accumulated in the chemical trap.
Advantages of the closed chamber include: (i) small fluxes can be measured; (ii) chambers are cheap, simple to construct, install and remove, and no extra equipment requiring electrical supply is needed; (iii) the disturbance of the site is limited due to the short time during which the chamber is in place for each flux measurement.
Disadvantages of closed chambers are:
Forced-draught chambers are coupled to the atmosphere via an air inlet through which outside air is continuously drawn into the cover and forced to flow over the enclosed soil surface. The N2O or NO gas flux from the soil surface can be calculated from concentration difference, flow rate, and area covered. NH3 volatilization is determined by chemical trapping of NH3 in the outgoing airflow. Often the NH3 is extracted from the air before it enters the chamber, which may lead to over-estimation of the estimated NH3 volatilization rate. For NH3, the forced-draught technique is most appropriate for comparisons of N sources, N rates, and various management practices, provided that the airflow does not limit NH3 exchange. Generally forced draught enclosures aim at determining the maximum NH3 loss.
The main advantage of forced-draught chambers is that they maintain environmental conditions close to those of the uncovered field. Forced-draught chambers are therefore more applicable for continuous long-term monitoring of gas flux, provided that moisture conditions inside and outside the chamber remain the same.
Forced-draught chambers are sensitive to pressure deficits inside the chamber caused by the forced airflow which may cause artificially high fluxes. This problem can be overcome by ensuring that the size of the inlet is large compared to the size of the outlet. Another problem is that this technique assumes equilibrium flux between soil atmosphere and chamber atmosphere gas concentration. However, the estimated fluxes may be erroneous during the period of equilibration.
A general disadvantage of the use of any type of chamber is that they disrupt the soil and environmental conditions (wind speed, temperature, rainfall, formation of dew). The alteration of soil and environmental factors can be minimized by covering the treated area only for short periods during the measurement, allowing normal conditions to exist between the measurements.
Temporal and spatial variability are major problems in making estimates of gas fluxes observed based on chamber measurements. For example, in a field study using small chambers it was estimated that 350 measurements are required to estimate the N2O emission within 10% of the true mean for a 3 m by 30 m plot. As noted above, larger chambers integrate spatial variability and the number of replications per plot can be reduced. The influence of sampling frequencies was investigated by many authors. For example, reducing the frequency from high to daily sampling could result in a calculated mean flux from any chamber that can vary by as much as 20%, even though the calculated mean would be within 10% of the mean from the intensive measurements. Automated chamber measurements of N2O flux have become more common recently in response to the recognition of the high temporal variability in the emissions.
Many studies based on chamber techniques have neglected the influence of plants. Often plants are omitted because they are difficult to include in the gas collection system. Plants affect nutrient availability, soil moisture, soil atmosphere and temperature. In addition, plants may play a role in the transport of gases.
A variant of the enclosure technique is the open-sided chamber or plastic cover (cso) to pattern the rate of air exchange of the wind speed outside the chamber. A disadvantage of this technique is that these half-open systems may permit the escape of NH3 from the chamber.
In a further attempt to minimize differences between enclosures and the field, "wind tunnel" enclosures (wt) were developed which minimize the disturbance of the natural conditions. In these wind tunnels the airflow through the tunnel can be adjusted to the wind speed outside the tunnel. However, conditions within tunnels may still differ from actual conditions (e.g., rainfall and formation of dew). This problem may be solved partially by frequently moving the tunnel.
Micrometeorological techniques that use analyses of the atmospheric concentration of the gas and meteorological measurements such as wind speed, wet- and dry-bulb air temperatures, net radiation, and heat fluxes do not disturb the environmental conditions. These techniques are used for determining field-scale fluxes, and include eddy correlation, energy balance, aerodynamic and mass balance techniques.
The first three micrometeorological techniques require flux measurements over large areas of uniformly treated crop, with fetches between 150 and 200 m. This is necessary to ensure that fluxes measured at some height above the surface, say 1 or 2 m, represent fluxes from the surface itself. Fluxes are constant with height over vertical distances above the surface of only about 1/100 of the fetch.
Eddy correlation methods use high frequency measurements (typically 10 samples per second) of vertical wind speed w and atmospheric gas concentration c at a point above the surface. The mean vertical flux density of the gas F over sampling periods long enough to encompass all the significant transporting eddies (usually 15 to 30 minutes) is given by:
![]()
where the overbar denotes a time mean.
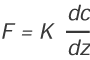
Energy balance and aerodynamic techniques both rely on the following expression to calculate gas fluxes:

where K is the eddy diffusivity of the gas in air and z the height above a crop, soil or floodwater surface at which measurements of c are undertaken. It is necessary to measure c at heights within the constant flux layer. The magnitude of the diffusivity in air varies with height, atmospheric conditions and the aerodynamic roughness of the surface.
Energy balance methods require measurements of vertical gradients of temperature and humidity in the air above the surface to provide estimates of K. Aerodynamic methods require measurements of the vertical profiles of wind velocity and temperature to estimate K. Using a modified aerodynamic method suitable for flooded systems it is possible to calculate the gas flux from measurements of wind speed at one height above the surface and the gaseous concentrations in the floodwater and the air at the reference height.
The mass balance or integrated horizontal flux method is for use on experimental plots with fetches ranging between 20 and 50 m. Based on the conservation of mass, the general method equates the horizontal flux of gas across a face of unit width on the downwind edge of a designated area with the surface emission or absorption of the gas along a strip of similar width upwind. The horizontal flux density at any height is the product of horizontal wind speed u and gas concentration Cg. The total horizontal flux is obtained by integrating that product over the depth of the modified layer Z, which is about 1/10 of the fetch X in neutral conditions, but usually less than that in unstable conditions and more in stable conditions. The average surface flux density is:

where Cb is the upwind, background concentration and the overbar denotes a time average.
If the wind direction is other than normal to the plot, it is necessary to allow for the effects of wind direction on the fetch. However, it is possible to avoid this by working with a circular plot and measuring the integrated horizontal flux at the plot centre. Regardless of compass direction, the wind will always blow towards the centre and X will always be the plot radius. If the experimental plot is square or rectangular, it will be necessary to measure the horizontal fluxes over the two upwind and the two downwind edges as well as the wind direction.
A major limitation of the mass balance technique is its high labour requirement. However, there is a simpler, less laborious method based on the mass balance technique. In this case estimates of gas fluxes derive from analyses of u and c made at a single height at which the normalized horizontal flux, uc/F, has almost the same value in any atmospheric stability regime. To use the simplified mass balance micrometeorological technique, it is necessary to satisfy two requirements: the treated plots should be small (20-50 m radius), and located within a larger plot of uniform crop surface so that the wind profiles are equilibrium ones. However, the technique is not appropriate for fields with well-established canopies as single measurements will not be adequate to predict the strongly modified wind and concentration profiles.
For NH3 all micrometeorological methods determine atmospheric gas concentrations by chemical trapping, followed by elution of the NH3 with distilled water and measurement of its concentration. The literature on micrometeorological studies records various types of NH3 traps and analytical techniques. Many studies of N2O and NO emissions have used micrometeorological methods. Micrometeorological techniques employed for measuring N2O and NO fluxes are similar to those used for estimating NH3 fluxes. However, the concentration measurements are more difficult and require specialised instrumentation such as tuneable diode laser trace gas analysers or Fourier transform infrared spectroscopy for N2O concentrations, and chemiluminescense detection techniques for NO.
The indirect open measurement technique (ioc) relies on a comparison between sources of known and unknown NH3 volatilization. A network of point sources in a plastic tubing system on the surface releases ammonia at a known rate from a standard plot. Samplers with acid traps measure the ammonia in the air over the standard and the manured plots. The advantages of this technique over others, such as wind tunnels, are its limited technical requirements and the unaltered climatic conditions.
N balance techniques determine the difference of N applied and that remaining in soil and crop after some time. A simplification of a complete N balance is the N difference method for uncropped soils to determine the difference between the N applied + the N remaining in control treatments, and the N remaining in the treated plots or samples. The loss of N from the system is commonly attributed to NH3 volatilization, while the role of other pathways of N loss, such as denitrification and leaching, is ignored. As in most cases this method has been applied to flooded systems amended with urea and NH4+-yielding fertilizers, denitrification has been assumed to be negligible during the time period considered.
15N balance techniques can analyse the fate of the applied 15N labelled N fertilizer in soil and crop (and floodwater). Measurements of NH3 loss with, for example, micrometeorological methods in conjunction with 15N techniques have been used to estimate the denitrification loss. This is possible if runoff and leaching losses are also known or if these loss pathways are preventable.
Because environmental as well as chemical and biological factors affect NH3 volatilization from fertilized soils, it is advisable to determine NH3 volatilization using techniques that cause no or minimum disturbance to the field environment. The micrometeorological and 15N balance approaches both meet this requirement. However, 15N balance techniques produce estimates of total N loss. Hence, for determining NH3 loss and denitrification, a combination of 15N balance and micrometeorological techniques is the most appropriate approach.