Results and findings of a range of site studies and experiments have been discussed throughout this document, quoting references for readers interested in further details of the work. In this chapter we will discuss a number of case studies in greater detail.
Kyabram plantation; non-irrigated tree block over shallow water table
The information in this section is mainly based on Heuperman (1995) and Heuperman (1999).
Introduction
In much of the Shepparton irrigation region in northern Victoria, Australia, water table levels have risen from about 30 m below surface (prior to clearing some 150 years ago, followed by the introduction of irrigation about 50 years later) to 2 m or less. This has resulted in salinity problems, which affect productivity in the region. Regional management plans, developed to minimize the impacts of salinity, focus on improving surface and subsurface drainage. The latter is being achieved by pumping from shallow aquifers.
Trees have been (and still are) widely promoted in Australia as an alternative, environmentally friendly method for water table control. They lower water tables through higher rates of transpiration than shallower rooted and often more salt sensitive crops and may also provide a direct financial return to the grower through wood production. The simultaneous accomplishment of both of these aims depends on achieving acceptable growth rates (closely related to tree water use), the extent of the drawdown effect in the surrounding land (water table control benefits) and the sustainability of the system. The latter aspect especially, continues to be the topic of much discussion in Australia.
The hydraulic gradient measured in a soil profile determines its status as either a recharge area (downward water flux) or a discharge area (upward flux). Unless salt is exported through lateral transport processes, salt will inevitably accumulate in discharge zones.
This case study discusses the impact of water extraction from a shallow water table by trees on the hydraulic gradients underneath the trees. Based on the analysed field observations, management options are proposed to develop medium-term sustainable tree growing systems.
Site description
In August 1976, a 2.4 ha site at the Kyabram Centre of the Institute of Sustainable Irrigated Agriculture (ISIA) in northern Victoria was planted to a range of Eucalypt species to assess their growth potential under irrigated conditions. Soil at the plantation site is locally classified as Lemnos loam (Skene and Poutsma, 1962) or Natrixeralf (Soil Survey Staff, 1975), a red-brown duplex soil that is the principal soil type in the Shepparton Irrigation Region.
Rainfall in the region averages 480 mm/yr (1942-1988) and mean annual evaporation (standard Class A pan) is 1 403 mm (1970-1988). Rainfall is spread relatively evenly over the year with an average monthly rainfall of 34 mm (maximum monthly rainfall 39 mm, minimum 29 mm) during the period November-April and 47 mm (maximum average 50 mm, minimum 42 mm) during the period May-October. Of the annual evaporation, 1 076 mm or 77 percent occurs during the October-March period.
The trees were irrigated with fresh water from 1976 until 1982, with height increments of up to 2.5 m/yr measured during that period for most species (Heuperman et al., 1984). In 1982, irrigation ceased because of water shortages in the supply system during that season. Since that time, no irrigation has been applied with the exception of some occasional unscheduled events caused by channel overflow before 1990.
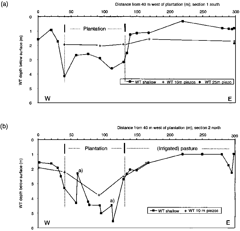
In November 1982, shallow observation bores (4 to 5 m deep) and piezometers (9 to 10 m below surface with slotted screen sections ranging from 0.5 to 1.5 m) were installed in two Sections, 58 m apart, through the plantation block (Figure 5: Section 1 south, Section 2 north). Additional observation bores (6 m deep) were installed in May 1984 in Section 2 inside the plantation at sites where previously installed shallower bores were found to be permanently dry. In May 1991, the bore transects were extended eastwards into the irrigated pasture paddock, up to 170 m away from the edge of the plantation.
Monthly water table measurements were taken until February 1988 and resumed in February 1991. Water table salinity monitoring was less frequent during the 1982 - 1988 period (twice a year).
Two nests of piezometers with screen lengths of 200 mm were installed in July 1992. Screens (0.2 m long) were positioned at 0.5 m depth intervals from 4 to 9 m below surface. One nest was installed in the centre of the plantation while the other was located in irrigated pasture, 40 m east of the plantation boundary (see Figure 5).
Figure 5: Observation bore network layout in the Kyabram plantation
Lemnos loam soil typically has Ksat values less than 0.01 m/day in the 0.3-0.6 m sub-soil (Taylor and Olsson, 1987). Permeability of the deeper profile layers and the poorly developed underlying aquifer at the plantation site was measured in the five piezometer nests installed in the plantation (Connell et al, 1997), using slug withdrawal methods (Bouwer and Rice, 1976; Bouwer, 1989). Values in the poorly developed 'aquifer' ranged between 0.25 and 0.1 m/day.
Water tables: results
The average water table level measured in a series of shallow observation bores at the plantation site in February 1977 (two years after tree establishment) was 1.94 m below the surface; water table salinities were not measured during the early years of tree establishment. No data are available on the pre-planting water table levels at the site. Monitoring of the two observations bore sections commenced in November 1982, seven years after tree establishment. At that stage the trees already had a significant drawdown impact on the water table levels underneath the plantation.
Figs. 6a and 6b show July 1995 water table and piezometer levels for the two sections through the plantation. The water table levels in the adjoining paddocks are clearly lowered by the tree plantation, however its impact only extended about 50 m into the irrigated pasture. Water table levels in Section 2 north are shown in Figure 6b. As the four bores inside the plantation in this Section were found to be permanently dry during the early stage of the monitoring programme, deeper bores (down to 6 m) were installed at the same locations in late 1984. At two of the four locations the water table levels measured in the deeper bores were below the bottom of the shallower dry bores. At the two other sites however (indicated with a) in Figure 6b), much shallower levels were found in the deeper bore, clearly illustrating the existence of an upward hydraulic gradient in the profile under the trees at these locations.
Deep piezometer levels ('D') measure the pressure in the underlying, poorly developed aquifer at the plantation site. Levels measured in the shallow bores ('S') indicate the phreatic surface. (D-S) values are a measure for the direction of the hydraulic gradient in the profile; positive (D-S) values indicate upward discharge gradients, negative values indicate downward recharge gradients.
(D-S) values for sites where both deep and shallow information was available in Section 1 are presented in Figure 7. The sites inside the plantation (5, 8 and 10, see Figure 5) all show positive (D-S) values, indicating discharge, while the gradient outside the plantation (Site 14) indicates a recharge scenario. Similar (D-S) trends were found for Section 2.
Figure 7: Piezometric/water table (D-S) hydrographs
The reversal of the gradient resulted in the scenario depicted in diagram Figure 8. As the trees exclude salts during water uptake, salinities in the upper part of the saturated zone (near the water table) underneath the plantation increase. At 10 of the 16 sites monitored inside the plantation, water table salinities increased over the 1982-1993 period of measurement, reflecting this salt concentration process. In 1993, water table salinities under the trees were clearly higher than outside the plantation.
At the two sites in the plantation where deeper (6 m) bores were measuring higher water table levels than the previously installed shallower (4.8 m) bores (Figure 6), the EC in the deeper bores was found to be consistently lower than in the shallower bores at the same location. The trees 'skimmed' water off the top of the saturated part of the profile, thus causing the formation of a saltwater lens. This process was confirmed by measurements taken in the piezometer nest installed in the centre of the plantation (Site 21, Figure 5); salinities of up to 18 dS/m were recorded in the shallowest (4 m deep) piezometer, compared to about 6 dS/m in the deeper (> 5 m) piezometers. The nest installed in the irrigated pasture paddock, 40 m away from the plantation edge (Figure 1), did not show this saline lens formation; salinities actually increased down the profile from about 2.5 dS/m in the shallowest (4 m) piezometer to between 4-5.5 dS/m in the 8 m deep piezometer.
Soil salinity: results
Soil salinities in the profile under the trees has increased since planting in 1975. Soil profiles sampled in October 1983 at five sites in the plantation (down to 6 m, at 1 m depth intervals) and four sites outside the plantation (down to 5 m, at 1 m depth intervals) showed that chloride levels were on average 20 mg/kg dry soil lower inside the plantation than outside (p = 0.1); average soil EC1:5 was 0.035 dS/m lower under the trees (p = 0.1) (Heuperman, 1995). Figure 9 shows the stage when the plantation was eight-years-old and no obvious signs of salt accumulation were found in the profile.
Figure 9: EC1:5 soil profiles at Site 21 in the Kyabram plantation (1983 and 1992)

Soil EC1:5 and Cl1:5 profiles were re-measured in a single 9 m deep core taken in April 1992 at the same Site 21 location. Results for the EC1:5 are presented in Figure 9. Trends down the profile were similar for EC1:5 and Cl1:5, indicating that NaCl is the dominant salt. The profiles show that salts have accumulated between 2.5 and 5.5 m from the surface with peak levels between 3.5 and 5 m deep. The salt bulge coincides with the water table fluctuation zone plus a capillary fringe of about 1 m above the shallowest water table during the observation period as shown in Figure 10. Note that during the full observation period (1982-1993) the piezometric pressure level at the site was higher than the water table level, a clear scenario for 'discharge'.
Figure 10: Water table and piezometer hydrographs at site 21 in the Kyabram plantation
The peak values of around 1 dS/m (EC1:5) or approximately 3 000 mg salt/kg dry soil (roughly equivalent to ECe of 6 dS/m for these soils) are not excessively high; some species such as E. camaldulensis are known to tolerate much higher salinity levels (Marcar et al., 1995). However species such as E. grandis grown at the site are considered to have a lower salt tolerance and the 1992-recorded levels would have resulted in reduced growth.
Long-term trends
Tree growing in areas having shallow water tables and low-permeability soils results in the accumulation of salts in the lower part of the rootzone, i.e. the top of the saturated zone and the capillary fringe above the water table. Rainfall in northern Victoria is not sufficient to satisfy potential tree evaporative demand and the tree roots access the shallow groundwater, creating a hydraulic gradient reversal, which is conducive to salt accumulation. Tree plantations under these conditions behave as subsurface evaporation basins!
The salt accumulation process is slow and in most cases (depending on the antecedent ground-water salinity) one commercial tree crop cycle of 20-30 years will be possible without detrimental impact of the accumulated salts. In the longer term, some form of salt removal from beneath tree plantations will be needed if trees are to be permanently grown on the same location in shallow water table areas. New management systems are required to sustainably manage plantations in these areas.
Variable spacing trial in irrigated pasture
A variable spacing trial was established 200 m due east of the Kyabram plantation described in the previous section. Photo 5 shows a five-year-old irrigated variable spacing trial at Kyabram, Victoria, Australia. Climate and soils at the site were similar to those at the plantation site. The 2.5 ha project area was planted in 1985 with E. grandis (rose gum) in a variable spacing configuration to assess the impact of tree density on growth performance of irrigated E. grandis. The measure-ment of the trees' impact on table levels was a secondary objective; investigations on this aspect started in 1986.
Photo 5: Five-year-old irrigated variable spacing trial site at Kyabram, Victoria, Australia
Site description
Figure 11 shows the trial layout. Tree density ranged from 40 to 1 110 trees/ha. Specific tree densities are shown in the figure. The site was sub-divided into four irrigation border strips, each 40 m wide. A pasture mix of perennial ryegrass (Lolium perenne) and white clover (Trifolium repens) was sown between the trees. Water table levels were measured in a series of 12 observation wells installed at four different tree densities. Piezometric levels were measured in 10 m deep piezometers, installed in the centre of the plantation at each of the four tree densities. Monthly measurements commenced in early 1986, one year after planting.
Figure 11: Kyabram irrigated variable spacing trial layout
The site was irrigated to maintain a water deficit of <50 mm (Evaporation - Rainfall = 50 mm), a common practice for pasture irrigation in the region. Irrigation was applied by flooding the border strips.
Water tables; results and discussion
In the first four years after planting no difference was found between the water table depths under the different tree densities (Figure 12a). The water table hydrograph followed the general regional upward trend (caused by years of higher than average rainfall), which subsequently dissipated. From September 1989, about four years after planting, the trees started to impact on the water table. There was a significant linear decline in water table level for spacing; the decline decreased with increasing tree spacing interval (p < 0.05). At none of the tree densities did the trees have any effect on the deeper (10 m) piezometric pressure over the 1986-94 observation period (Fig 12b).
This lack of effect of tree density on deeper piezometric pressures, combined with the lowering of the water table, caused a reversal of the hydraulic gradient under the high-density trees (3 m spacing) about five years after planting, conducive to salt movement to the base of the rootzone (Figure 12c). During the last five years of the trial, water tables were progressively lowered, with the high-density trees having the highest impact. This process occurred in spite of irrigation water being applied. It was concluded that the low permeability of the soils, restricting infiltration and water extraction by the tree roots in the topsoil, in combination with the high tree water use, resulted in the trees tapping the water table to satisfy their water demand.
Tree lines in irrigated pasture
The information in this section is based on Travis and Heuperman (1994).
Many irrigated dairy farms in the Goulburn Valley in northern Victoria, Australia, are relatively small and have limited scope to set aside land for tree planting. Tree planting on check-banks along fence lines in irrigation bays has the advantage of minimizing the area taken out of primary production.
The interaction between tree lines and irrigated pastures, under the conditions prevailing in northern Victoria, is not well understood. Benefits are often claimed to include shelter for pasture and animals and water table control. Negatives include competition for water, light and nutrients between the pasture and the trees and perhaps salt accumulation under the trees.
Colloquial evidence suggested that single-row check-bank plantings on light, permeable soils had no measurable impact on water table levels. In heavy soil types this effect was very pronounced, although limited to a small strip under the trees. The project described in this section investigated the interaction between check-bank plantings, soil salinity, and water table levels and salinity in irrigated perennial pasture paddocks on two different soil types.
Description of the field sites
Both field sites were situated on irrigated dairy farms. The irrigated pastures were composed of ryegrass (Lolium perenne), paspalum (Paspalum dilatatum), white clover (Trifolium repens) and invaded weed species. Irrigation was by flooded border check. The pasture was rotationally grazed by dairy cattle. Layouts of the field sites are shown in Figure 13.
Figure 13: Layout and observation network for Sites 1 and 2
Site 1
This site was located on an old orchard property that was converted to a mixed enterprise of dairy and beef cattle in early 1971. The soil type was Shepparton fine sandy loam, described as having a brown sandy clay loam top soil of between 15-25 cm thick, overlaying moderately permeable red-brown clay subsoils with lighter and more permeable layers below 60 cm. As water does not readily pass through the impeding clay subsoil into the more permeable layers below 60 cm these soils may suffer from surface waterlogging through perched water tables in wet years.
The tree lines at Site 1 had been established in 1971 and were 20 years old at time of the study. Species consisted of Eucalyptus globulus (blue gum), Melaleuca styphelioides (prickly paperbark), and Melaleuca ericifolia (swamp paperbark). The tree lines were planted in a regular alternating pattern. The northern tree line pattern included all three species; the southern tree line included only E. globulus and M. styphelioides. The average tree height was about 12 m. Livestock had access to the tree lines and grazed the lower foliage. When irrigated, a strip of about 2 m width under the trees remained dry.
Soil profile characteristics were found to vary across the project site. Clay layers were encountered at various depths in the silty loam sub-soil. At one location, a coarse sand/gravel aquifer was found between 9.8 and 10.8 m below surface. However, 45 m away from this location, no aquifer was found down to a depth of 13.5 m. Obviously the profile is very heterogeneous, even at depth.
Soil hydraulic conductivity measurements were taken using well permeameters (Talsma and Hallam, 1980) in the top 1 metre of the soil profile. Measurements were taken at four depth intervals at the observation well sites. In the 0-25 cm depth interval the hydraulic conductivity was found to be highly variable, ranging from 0.67-6.36 mm/hr. On average (k = 3.16 mm/hr) the measurements indicated a permeable topsoil. The 25-50 and 50-75 cm depth intervals showed very low permeability (< 0.02 mm/hr), coinciding with a red-brown clay layer in the soil profile. Below this layer a lighter soil texture with a higher hydraulic conductivity was found 1.67 - 20.64, average 9.25 mm/hr).
Auger hole measurements to determine the hydraulic conductivity below the water table were attempted but the high recovery rates at Site 1 made accurate measurements impossible.
Site 2
This site was located on a transition zone between Shepparton fine sandy loam and a heavier soil type known as Goulburn loam. The tree line approximately followed the soil type boundary. Goulburn loam is categorized as having shallow, grey-brown loamy topsoil with heavy textured subsoils. These soils are found in the lower, poorly drained parts of the landscape. Since the permeability of the clay subsoil is low, it is liable to surface waterlogging. The soil profile at Site 2 was found to be more spatially variable than the profile at Site 1, with light-textured sand lenses found at various depths throughout the profile down to 10 m, apparently occurring at random.
The tree line was established around 1968 and was about 23 year old at the time of the study. It was composed of E. globulus and E. viminalis (manna gum) in an alternating pattern. Also included in the tree line section were a small Acacia melanoxylon (blackwood) and a small Salix alba (white willow). The trees on Site 2 were much larger and of a healthier appearance than those on Site 1, with the Blue Gums attaining 40 m in height. They were planted on a 4 m wide, well fenced, raised bed, which remained dry during irrigation.
Water tables and piezometric pressures were measured in a network of shallow observation wells and deeper piezometers installed at both sites.
Soil salinity profiles were measured in soil samples taken down to 2.7 m during the installation of the observation wells in October 1991. Samples were analysed for chlorides and electrical conductivity in a 1:5 soil:water extract (EC1:5). The chloride profiles were found to be very similar to the EC1:5 profiles, suggesting that the prevailing salts are dominated by highly soluble sodium chloride (NaCl).
At both sites hydraulic conductivity measure-ments were taken at the observation well sites. At 25-50 cm depth, hydraulic conductivities were all very low with most readings less < 0.02 mm/hr. At the 50-75 cm depth interval, the west side had higher hydraulic conductivities. The same trend occurred in the 0-25 cm depth range. This is consistent with the soil map information, which indicates a change to heavier soils from west to east. At the 75-100 cm depth interval the conductivity was consistently very low (< 0.02 mm/hr).
Root distribution was measured in core samples taken to a depth of 10 m. After washing to remove the soil from the roots, total root length per 20 cm core increment was measured on a root scanner.
Impact on water table and piezometric pressures
Site 1
Figure 14 presents water table levels and salinities measured at one observation line at Site 1. The tree lines appear to have little local impact on water table levels. There is however a general response from the water table to high rainfall periods (1992 November level) and irrigation inputs (1993 February level) in combination with a period of high summer rainfall. In both the west and the east observation lines, water table salinity under the south tree line was higher (p < 0.05) than under the permanent pasture growing between the tree lines. However, water table salinities under the north tree line were not higher than at any point in the permanent pasture north of the tree line.
Figure 14: Site 1, water table and salinity levels under east observation section
Levels measured in the piezometers nests showed little variation between the different locations over the observation period. Levels in the deeper piezometers (> 8.5 m) were consistently lower than in the shallower piezometers and the observation wells. This indicates a downward pressure gradient in the profile, thus permitting a net downward water movement. This scenario is the same both directly under the trees and midway between the tree lines. Because the trees have very little impact on the water table, this results in a situation where salts can freely leach away from the rootzone. Salt accumulation under the trees can thus be expected to have reached equilibrium with only a small increase in water table salinities directly under the trees. The scenario found at the site is probably a result of the topographic location in the landscape; the lighter soils in the region are slightly raised from the surrounding land and serve as recharge areas, thus contributing to the shallow water table problems in the surrounding lower-level land.
Site 2
Figure 15 illustrates the impact of the trees on the water table level and salinity at Site 2 and presents the data for spring, summer, autumn and winter data. In both sections, the highest water table salinities and the lowest water table levels were found directly underneath the tree line. At the north observation line, water table salinities below the tree line and 5 m west of the tree line were higher (p < 0.05) than neighbouring salinities. In the south observation line, salinities below the tree line and 5 m and 10 m to the east were higher (p < 0.01) than neighbouring salinities.
Figure 15: Site 2, water table and salinity levels north observation line
Measurements in the piezometer nest installed in the tree line showed higher salinities in the shallow (2-3 m) piezometers (about 12 dS/m) compared to the deep (10 m) piezometers (2 dS/m). Levels measured in the shallow piezometers were about 0.5 m lower than in the deep piezometers. The measurements clearly showed a discharge scenario developed underneath the tree line.
Comparison of Sites 1 and 2
Comparison of the Site 1 and 2 situations showed that under light soil conditions single tree lines had no measurable impact on water table levels while on heavier soils there was a clear localized impact. Also, the water table ECs under the trees were much higher on the heavy soil type-site than on the lighter soil type Site 1, reflecting the higher degree of salt accumulation underneath trees growing on heavy soils.
Impact on soil salinity
Site 1
Figure 16 summarizes the chloride profile results at Site 1. Average chloride concentrations in the soil profiles along the two observation sections were determined by calculating the mean weighted average Cl concentrations down to 270 cm. Obvious peaks, although of a different order of magnitude for each section, are located under both the north and the south tree lines. The highest chloride concentrations (about 400 mg/kg) were found at a depth of 5 m, about 0.5 m above the level of the shallowest measured water table.
Figure 16: Average 0-2.7 m soil chloride concentrations under Site 1

Site 2
Average chloride distribution in the 0-2.7 m soil profile is shown in Fig 17. The chloride concentra-tions are again found to be highest directly under the tree line. The figure clearly illustrates that chloride accumulation has taken place under the trees and has reached higher values than for the light-soil Site 1. The highest chloride concentrations (up to 900 mg/kg) were found at 2.5 m depth under the trees, just above the water table.
Figure 17: Average 0-2.7 m soil chloride concentrations under Site 2

To compare deep salt distribution profiles under and away from the trees, profiles were sampled at 30 cm intervals down to 10 m. The first site was located within the tree line on the north observation line; the second site was located 50 m west of the tree line in the irrigated pasture. The results are illustrated in Figure 18.
Figure 18: Deep chloride profiles under tree line and in adjacent pasture at Site 2

Comparison of Sites 1 and 2
There is a clear difference in soil salinity distribution between the two project sites. Although at both sites the maximum salt storage was found directly under the tree line, the vertical distribution pattern differed. In the heavy soil type (Site 2) the higher concentrations were found between 2.5 and 4 m below the surface. On the lighter soil (Site 1) the accumulation was found between 30 and 120 cm. This can be explained by the different water table levels found at the two sites.
At Site 2 hydraulic gradients under the trees were very erratic with sand lenses acting as occasional preferential flow paths during irrigation events. During much of the year however, water table levels under the tree line were drawn down below piezometric pressure levels and consequently salt accumulation could only take place at the deep rootzone/water table interface. Similar to the Kyabram plantation scenario, accumulated salts could not escape from underneath the trees because of the permanently inverted hydraulic gradient.
Tree root distribution
Root profile measurements were only taken at Site 2. Figure 19 shows the root distribution, taken in the tree line along the north observation line. The samples were taken from the same core used to determine the deep chloride profile (Figure 18).
In relation to soil salinity/root density interactions, two cause/effect processes can be considered:
high salt concentrations at certain depths in the soil profile could be caused by preferential water extraction at those depths by tree roots;
low root densities could be the result of high salt concentrations.
Figure 19: Root distribution under tree line Site 2

These processes work together and result in a dynamic equilibrium situation with roots dying back (or possibly in the case where occasional leaching occurs, become temporarily dormant) when salinities become too high for effective water uptake.
No consistent correlation between soil chloride and root density was found. In the top section of the profile, high root densities coincided with high Cl levels. However, the only marginally lower Cl levels between 200 and 400 cm depth did not coincide with high root densities. Roots were found in all core samples between 500-925 cm. As the profile below 3.2 m depth was permanently saturated, this indicates that the roots are able to penetrate the saturated part of the profile. This phenomenon has been reported by Greenwood (1992) and was also found under a Eucalypt plantation in Kyabram (Heuperman, not published).
A distinct drop in root density was found at around 1.3 m depth where a 50 cm thick sand lens was found in the profile. The same was observed in the sand aquifer below 9.25 m depth where no roots were found. It is possible that under permanently saturated conditions at this depth, the high hydraulic conductivity of these layers does not allow oxygen, entering the groundwater through the root aerenchym, to accumulate in high enough concentrations to sustain root growth. For the shallow sand layer this explanation could not be used, as this layer would only very occasionally, if ever, be saturated. A more likely explanation for the low root density in this layer could be a lack of nutrients. No data were available to test this hypothesis.
Conclusions
Projects such as the one described in this section are difficult to design in a format that allows statistically sound conclusions to be drawn. Replication is an obvious problem with the difficulty of finding sites with similar characteristics. Even relatively simple site factors such as soil type are difficult to define if deeper profiles are being investigated, as is the case where deep-rooted trees are involved. The soil type definition as used on soil maps often only applies to the upper part of the profile; heavy soil types could be underlain by sand layers at depth in the profile.
These considerations make it difficult to arrive at conclusions that have a general applicability and some of the following conclusions have to be read in this context.
Water table measurement techniques
The water table skimming effect of trees causes a reversal of hydraulic gradients in the profile. Therefore observation wells with long slotted-screen sections penetrating far into the saturated profile and installed in the vicinity of trees do not necessarily measure the actual water table; they rather act like piezometers, measuring pressures at the bottom of the well which are then interpreted as apparent water tables. This effect can be especially noticeable on heavier soil types with lighter strata at depth. If the observation wells are too deep and intercept the deeper layer, the higher pressure at that depth will give a reading representing the pressure at that depth rather than the actual water table.
In uniformly permeable soils, observation wells penetrating the water table will give reliable information, even in the presence of deep-rooted vegetation. For example, levels measured in the 2.8 m observation well during early summer in the actively growing tree line at Site 1 were equal to the level measured in a piezometer penetrating only the top 10 cm of the saturated zone at that same location.
The only way to measure the actual water table adjacent to trees is to install a series of piezometers (piezometer nest) with short screen lengths (about 10 cm) at adjoining depth intervals around the expected water table depth for the site. The level in the shallowest piezometer in which water is found is the actual water table level.
Effect on water table and salt distribution
The drawdown effect of tree lines on light, permeable soil types subjected to flood irrigation is too small to be measured as the water used by the trees is quickly replenished by inflow from the surrounding irrigated pasture area.
On heavier, less permeable soil profiles at Site 2, a distinct localized drawdown effect was observed, this was confined to a strip of about 5 to 10 m on both sides of the tree line. The drawdown impact of the trees on the project site was reduced by the occurrence of shallow sand lenses in the profile. Their presence also caused lateral leaching flows under the treeline as observed during some irrigation events.
These different drawdown scenarios caused different salinity distributions under the tree lines at the two soil types. On the light soil type, low soil salinities were found as vertical hydraulic gradients to deeper sand layers were always downwards. On the heavy soil type-site, upward hydraulic gradients resulted in higher salt concentrations in the tree rootzone than found at Site 1. The horizontal gradients developing during irrigation events when one side of the tree line was irrigated will have caused lateral leaching of the shallow sand lenses, consequently resulting in regular salt export from the rootzone.
Target sites for tree planting
The presence of shallow sand lenses in a soil profile offers the scope for lateral leaching under trees. Sites with these profile characteristics should be targeted for tree planting. Trees growing on deep clay soils without these strata are more likely to concentrate salts in their rootzones. The project did not investigate to what degree the measured salt accumulation at Site 2 impacted on tree water use and thus water table drawdown effects.
Extrapolation of results from this study
Although the two project sites were selected based on their assumed hydraulic characteristics (light permeable loams and heavy clay soils), Site 2 did not completely live up to its expectations with sand lenses in the subsoil causing erratic results. Conclusions drawn from the measurements at this site, especially in relation to soil-water and salt movement processes, should thus be treated with care and will not be representative for uniform deep clay soil profiles where drawdown impact and salt accumulation could be expected to be more evident.
Channel seepage interception
Seepage from irrigation supply channels is a source of accessions to groundwater and subsequent salinity problems in many irrigation areas around the world. For example, in some areas of India, seepage has resulted in significant environmental impacts (Afroz and Singh, 1987). However in other supply systems, seepage issues relate to system efficiency rather than environmental degradation. For example, seepage from the All American Canal in the United States is a valuable source of recharge to groundwater resources in northern Mexico such that a proposal to prevent seepage was opposed by the Mexican Government (Kishel, 1993).
Where channel lining or other engineering solutions are not considered cost-effective; tree planting could be an alternative option. Trees do not prevent seepage, however they do have the potential to intercept seepage flows and thus minimize local recharge.
Tree planting for channel seepage interception is supported in irrigation areas in northern Victoria by landholders and is encouraged by government as a means of salinity control. Community con-sultation in Australia indicated that landholders perceive tree planting as a cheap and effective strategy for addressing seepage problems where channels exhibit relatively low seepage rates (Boort West of Loddon Salinity Working Group, 1995).
The work reported in this section is based on a study by Holland (2001). The study describes a monitoring and modelling programme of groundwater processes at two sites beneath trees planted adjacent to irrigation channels in northern Victoria, Australia, between August 1997 and March 2000. The aim of the study was to develop design criteria that simultaneously optimize seepage interception and support sustainable tree growth.
Field study
Nested piezometer transects were installed at right angles to channel sections at sites featuring established tree plantations (Figure 20). One site was planted with Eucalyptus camaldulensis and Casuarina glauca in 1992 on a light prior stream levee soil (Boort site). The other site comprised Eucalyptus camaldulensis and Eucalyptus sargentii, planted in 1984 on a heavy clay floodplain soil in a relatively saline environment (Appin site).
Figure 20: Cross-sections at the light and heavy soil type channel seepage interception sites
Field studies demonstrated that the seepage pathway at the Boort site was via a shallow clayey sand layer between 1.5-2.5 m below surface. Groundwater within this layer was relatively fresh, providing a water source to trees planted for seepage interception. It was apparent from monitoring that tree water use of the water table steepened the hydraulic gradient from the channel to the plantation during periods of high evaporative demand, despite the relatively high hydraulic conductivity of the shallow sand unit.
Photos 6, 7 and 8 show the Boort experimental site.
Photo 6: Seepage interception plantings at the Boort site
Photo 7: Seepage interception plantings at the Boort site with saline discharge in the foreground
Photo 8: Five-year old interception planting at the Boort site
On the floodplain soils of the Appin site, the seepage flow path was found to be difficult to establish. A pondage test suggested that the seepage rate from the channel was relatively high, however groundwater levels did not respond to channel fill. A deep sandy clay unit 4-5 m below the surface appeared to provide a source of fresh water (<1.5 dS/m) to the plantation. However a rapid increase in salinity to in excess of 10 dS/m at shallower depths suggested that seepage from the channel had leached the deeper profile but that salt concentration was occurring within the rootzone. Water use by the plantation from the deep sandy-clay unit was considered likely to be low.
At sites such as Appin where the dominant seepage flow path is thought to be via a relatively deep hydro-stratigraphic unit beneath the plantation, seepage may reach the plantation indirectly via upward gradients induced by water table drawdown created by the trees. At such sites it is likely that rootzone soils will be of lower hydraulic conductivity. The potential for interception by the plantation will then be reduced and there may be insufficient opportunity for periodic flushing of accumulated salt from the unsaturated zone and groundwater system immediately below the plantation. High equilibrium groundwater salinity is likely to be the eventual outcome, further inhibiting groundwater use by the plantation.
Where lateral or deep drainage is inadequate to export salt, plantation use of seepage in the long term is likely to be neither high nor sustainable. In these circumstances, the benefits associated with trees are likely to be aesthetic or ecological, rather than an effective seepage interception strategy.
Modelling
Conceptual models were developed for each site. A numerical slice model was developed for the prior stream site using MODFLOW (McDonald and Harbaugh, 1988). The numerical model provided a means of estimating the water balance and assessing seepage response to interception by trees in a range of hydro-geological environments.
Modelling of the prior stream site suggested that peak monthly tree water use from the water table during summer 1999/2000 was around 117 litres/day/tree. This compared with an average of 96 litres/day/tree derived from sap flow measurements (Collopy and Morris, 2000) obtained for the site over the same period. Modelling also suggested that water table drawdown induced by the plantation increased seepage rates, particularly during periods of peak evaporative demand.
Observations of water level drawdown and modelling of the water balance at Boort East suggested that three rows of trees are sufficient to intercept seepage during periods of peak seasonal evaporative demand. These conclusions applied only to an environment where the transmissive unit is through a shallow sand unit accessible to the tree root system. However it is likely that where the transmissivity is high (>3 m2/day), three rows of trees may be insufficient. If saturated sands were to be very thick (e.g. greater than 2-3 m), peak seepage rates would be of the order of >16 mm/day (from a channel approximately 11 m wide) such that trees would need to utilize large amounts of seepage in order to be effective.
Modelling and field measurements demonstrated that where trees are able to intercept seepage through shallow and highly permeable pathways, increased channel seepage losses are likely to occur in response to a steeper hydraulic gradient induced by the plantation. This was particularly apparent during periods of peak evaporative demand although it would be partially offset where sediment or lining on the bed of the channel provides an impediment to seepage.
During periods of low evaporative demand, the hydraulic gradient from the channel to the regional water table must be of sufficient magnitude to provide for the export of salt. This is necessary to ensure that the equilibrium groundwater salinity is sufficiently low to encourage long-term use of seepage by the plantation. The water balance derived from MODFLOW provided an opportunity to estimate the equilibrium groundwater salinity, using a simple computer program developed as part of the study. Transmissivity and hydraulic gradient are key parameters required to assess site suitability for seepage interception by a plantation. They are crucial in determining the supply of water to the rootzone during periods of high tree water use, and the opportunity for export of salt at other times.
The study concluded that at the Boort site (with a shallow transmissive unit at 1.5-2.5 m below surface; Figure 20a) three rows of trees were sufficient to intercept seepage during periods of peak seasonal evaporative demand however during the early and late part of the irrigation season a larger plantation width would be required. At the Appin site, where the dominant seepage flow path is through a relatively deep aquifer, seepage may reach the plantation via upwards gradients induced by water table drawdown by the trees in the low-hydraulic conductivity clay top-soils (Figure 20b). At this site a high equilibrium groundwater salinity could be expected to develop, inhibiting ground-water use by the plantation.
Based on the modelling exercise, a simple decision support process was developed to provide advisory officers with a guide for plantation design based on a limited number of field measurements. Due to the heterogeneity associated with seepage sites, the design criteria must be considered preliminary and requires refining using more extensive data sets and data from a wider range of site conditions.
Combined bio- and conventional drainage approaches: 'Serial Biological Concentration' and 'Partial Conjunctive Use'
Based on the hypothesis that plants can not at the same time both lower water tables and grow in sustainable systems, operational systems are being tested that combine conventional and biodrainage technology. Two Australian examples are presented in this Section. An American example is presented in Chapter 5.6.
Serial biological concentration: a pilot case study investigating an integrated on-farm system for drainage and salinity management
Where groundwater salinities are too high to be incorporated in conjunctive use systems, other ways of managing drainage effluent have to be considered. Heath and Heuperman (1996) introduced the term 'serial biological concentration' (SBC) to describe the process of irrigating crops or pastures in 'series' arranged in order of increasing salt tolerance. The drainage water intercepted from under each crop in the sequence is used to irrigate the next, more salt tolerant stage. The SBC process offers potential to reduce the volumes of high salinity drainage water to be disposed of (Figure 21).
Figure 21: Diagrammatic representation of the Serial Biological Concentration concept
Two feasibility studies identified SBC as a potentially viable option for the management of saline drainage water in the Murray Darling Basin (Hallows et al. 1993; Heath et al., 1993). Both studies found that SBC under certain conditions offered scope to economically manage saline drainage water on-farm.
A pilot project investigating the concept was started in 1994 at Undera in northern Victoria, Australia. The project includes a groundwater pump providing protection to about 20 ha of severely salt affected land on the project farm. The groundwater, with an EC of 8.5 dS/m, is used to irrigate 3 ha of tile-drained land, planted to saltbush and a range of salt tolerant tree spp. Tile drains are installed at 1.5-1.8 m depth and at a spacing of 24 m. The tile drainage effluent (about 18 dS/m) is discharged into a series of evaporation ponds, covering a total area of 1.8 ha. The depth of the ponds (1.2 m) allows them to be used for saline aquaculture (mariculture). A range of fish, molluscs and crustacea have been tested for their suitability in this environment.
The layout of the site is shown in Figure 22. The project infrastructure was installed during 1994/95 and trees and saltbush were established in 1995/96. The trees were irrigated with fresh water during the first season after establishment. Photo 9 shows the three-year-old SBC site at Undera with salt-affected land in the foreground.
Figure 22: SBC trial site layout at Undera
Photo 9: Three year old SBC site at Undera with salt-affected land in the foreground
Pump; protecting the farm
The groundwater pump is located on a severely salt affected part of the farm, 600 m from the SBC site, where a suitable aquifer was found. A total of 78 million litres of groundwater was pumped over the four seasons 1996-2000 period, 53 million litres to the tile-drained trees and saltbush area and 25 million litres directly to the evaporation ponds. Following the rule-of-thumb used in the region, that pumping of 1 million litres provides salinity control to 1 ha of land, the pump provides protection to about 20 ha of the farm.
Tile drained area; trees and saltbush
Seventeen tree spp. and two saltbush spp. were trialed as a part of the SBC system. All but one of the tree species (River Red Gum) were selected for their value-adding potential capacity for production of quality, high value timber and oil. After three seasons of saline irrigation, three species had shown detrimental effects of salinity (Populus nigra - black poplar, and Eucalyptus grandis - rose gum). After four seasons of saline irrigation, soil salinity in the tile-drained area had not changed significantly. Regular soil sampling indicated leaching fractions of more than 20 percent.
Four Eucalypt and three Melaleuca species were tested for their oil producing capability. Commercial yields were obtained for both Eucalypt and Melaleuca species. However, the Melaleuca oil of the provenances used was not of a commercially acceptable quality.
An operational problem developed towards the end of the fourth year of operation when roots were found in the tiles under the tree blocks. It is suggested that tile-outlets be provided with short elbow-standpipes at their outlets to keep tiles full of water, thus discouraging root penetration.
Tile drained area; biodiversity
The 3 ha mixed trees/grasses/bushes block provides a diverse habitat for wildlife. More than 40 bird species have been observed in the previously barren area. Biodiversity of agricultural systems is quickly becoming an important issue in many countries around the world. This aspect could be taken into account when designing SBC systems.
Basins; mariculture
Production trials were conducted in floating cages. Several of the tested fish spp. showed promising survival and growth rates, i.e. silver perch (Bidyanus bidyanus), Australian bass (Macquaria novemaculeata), rainbow trout (Oncorhynchus mykiss) and Atlantic salmon (Salmo salar).
Basins; salt production
Salt production trials were conducted in small trial basins over the 1996/97 season to determine quality and quantity of salt that can be produced from the ponds. It proved difficult to produce pure high-grade NaCl salts under the climatic conditions at the site.
The production of high-grade pure salt from evaporation basins is an art that requires specialized skills, elaborate pond systems and relatively large volumes of highly saline water. There might how-ever be a place for small-scale, lower-grade salt pro-ducers. The possibility of producing relatively small quantities of low-grade salt and transporting this to specialized salt producers for further refinement warrants consideration. In northern Victoria one such company has been established in Pyramid Hill, about 150 km west of Undera where climatic conditions (< rainfall; > evaporation) are more favourable.
It appears that the evaporation disposal basins leak, so some salts will be added to the groundwater beneath the basins. This will slowly spread to surrounding areas unless it can be intercepted. Of course, basin leakage can be stopped by lining, but this is expensive.
Presently community evaporation basins in the Shepparton irrigation region are not used productively; they merely serve as disposal sites. In the future one could envisage a scenario with specialized farm managers handling the saline drainage effluent of surrounding properties, similar to the way Sewerage Authorities presently manage urban and industry effluent.
Farm management of salt through groundwater pumping and irrigation of salt tolerant crops (Partial conjunctive use; Mount Scobie site, Matthew Bethune, ISIA Tatura, personal communication)
Conjunctive use of moderately saline groundwater and fresh surface water resources is a widely adopted strategy for irrigation management in areas with shallow water tables and relatively fresh ground-water resources. Where groundwaters are too salty, full re-use becomes difficult, as the resulting shandy would exceed salt tolerance levels of the crops. In this situation the groundwater pumped in excess to the conjunctive use component, could be disposed of to a block of more salt-tolerant (tree) crops. This strategy was adopted at a farm trial site at Mount Scobie in northern Victoria, Australia (Figure 23).
Figure 23: Layout of the Mount Scobie pilot site
Establishment of the pilot site was finalized in December 1998. The objective of the farm trial was to test potential options for managing salt on-farm in areas with high groundwater salinity. The site is located on an operational dairy farm. A groundwater pump installed on the property has an annual yield of 60 million litres; the pump is only operated during irrigation. The extraction rate should provide salinity protection to approximately 60 ha of land (0.1 m drawdown).
The salinity of the pumped groundwater is 10 dS/m. Complete farm reuse on pasture would result in a 10 percent decrease in pasture yield. However, 35 of the 60 million litres can be blended to 0.8 dS/m by mixing with good quality irrigation supply water. At this salinity there will be little reduction in pasture yield. The remaining 25 million litres of pumped groundwater is used to irrigate a 4 hectare tree plantation. The tree woodlot acts as a 'sacrificial' (although marginally 'productive') evaporative area, similar to an evaporation basin. The tree woodlot was established on saline unpro-ductive land (ECe 6-12 dS/m) and contains a species-provenance salinity resistance trial that demonstrates 17 provenances of Casuarina cunninghamiana, eleven of Casuarina glauca and eight of Eucalytpus.
Higher applied water salinity requires an increase in leaching to sustain pasture yields. Therefore, reuse of groundwater is restricted to areas within the area of influence of the pump. Groundwater pumping thus promotes better leaching in this area.
The system makes use of the soil profile for storing salt. Since groundwater is cycling between the surface and the pumped aquifer, salt is distributed over this full depth. This prevents salt accumulation within the rootzone, which leads to salinization. The major regional benefit of the system is the reduced need to export salt to the drainage, and eventually, the river system.
The system being tested is expected to con-siderably increase the longevity of farming systems in areas with high groundwater salinity and high water tables. However, in the long term, the system is not sustainable. This is because salt is imported to the re-use area both through salt in irrigation supply water and through influx from groundwater (and salts) from areas within the area of influence from the pump but outside the re-use area. Therefore, groundwater salinity will inevitably increase over time. However, the rate of increase will be slow, making the practice a productive one in the foreseeable future.
An ongoing monitoring regime was developed to assess long-term sustainability. Intensive soil and water sampling will be undertaken over the next five years to measure the impact of the proposed system on both groundwater and rootzone salinity. The data will be collated and analysed after a five-year period.
Synopsis
Soon after first filling large areas along the main canal in the Indira Gandhi Nahar Project (IGNP) became waterlogged. Seepage from the canal, in combination with relatively impervious layers at shallow depth in the profile resulted in the formation of a perched water body.[1] Surface water was apparent at 127 locations along the main canal and covered 900 ha. Plantations were established along the canal and around the inundated areas. After six years the inundation had disappeared and the groundwater table fell by about 15 m. A detailed study was conducted at one 1.5 km channel section, and relevant data is presented that shows how tree plantations can be successfully used to provide biodrainage. Photo 10 shows the inundated area caused by leakage alongside the main irrigation canal in IGNP, Phase II.
Photo 10: Inundated area caused by leakage alongside IGNP main irrigation canal
Information on desert land in Rajasthan
Rajasthan is the second largest state in India having 25.6 Mha of cultivable area, of which nearly 60 percent is classified as desert. High temperatures (up to 50°C, average maximum temperature 42°C) and strong winds are common during the summer. The coldest month is January when the average minimum temperature is 6°C. The mean annual rainfall, which falls mostly during mid-July to September, varies from less than 100 mm in the west to 360 mm in the east. The annual mean potential evapotranspiration ranges between 2 000 mm in the east to 2 500 mm in the west.
The piezometric pressure levels in the desert area are 60-100 m below ground level. The groundwater is highly saline and unfit for irrigation.
The head works of the irrigation system comprises of two storage reservoirs, one each on the rivers Ravi (6.9 x 109 m3 of water) and Beas (2.3 x 109 m3). The rivers have been interlinked and water from the reservoirs are carried through the 204 km long Rajasthan feeder canal (capacity 524 m3/sec) to the border of Rajasthan. From there the water is carried through a 445 km main canal for distribution through a (yet to be constructed) secondary and tertiary canal system with a total length of 9 180 km. Once completed, the project will provide irrigation to 1.87 Mha of land. The water would have to travel a distance of about 1 500 km to reach the end of the irrigation supply area.
Irrigation development in the area
The IGNP has been used for irrigation since 1961. Table 7 shows the annual irrigated areas from 1975.
Table 7: Development of irrigation in IGNP
|
Year |
Area irrigated (ha x 103) |
||
|
Phase I |
Phase II |
Total |
|
|
1975-76 |
289 |
- |
289 |
|
1985-86 |
463 |
2 |
465 |
|
1995-96 |
664 |
137 |
801 |
|
1998-99 |
699 |
221 |
920 |
By the end of 1999, down stream areas had not yet been opened for irrigation and the available water for the developed area had been applied quite liberally. During the period 1988 to 1995, the average rate of water released at the head of the feeder canal was enough to apply on average 1 260 mm against the design value of 560 mm. The values for neighbouring project areas of the Gang and Bhakra commands, during the same period, were 575 and 515 mm respectively.
Waterlogging
The depth of water table in the command area of Phase I in 1952 generally ranged between 40 and 50 m below the surface. With the introduction of irrigation, the groundwater table started to rise. During 1981-1992, the average water table rise was 0.92 m/yr. In Phase II of the project, the groundwater table before the advent of irrigation generally ranged between 20 to 100 m below surface. With irrigation it has been rising, though not at the same rate as Phase I.
Table 8 shows the development of waterlogging since 1992 in the IGNP command areas.
Table 8: Waterlogged area in IGNP command areas
| |
Year |
|||||
|
1992-93 |
1993-94 |
1994-95 |
1995-96 |
1996-97 |
1997-98 |
|
|
Phase I |
||||||
|
Area inundated (ha) |
13 750 |
9 680 |
10 192 |
14 750 |
17 220 |
22 008 |
|
Area with water table |
22 000 |
17 760 |
18 970 |
20 670 |
24 140 |
28 760 |
|
Phase II |
||||||
|
Area inundated (ha) |
1 000 |
526 |
1 000 |
800 |
1 243 |
1 242 |
|
Area with water table |
4 062 |
NA |
4 500 |
5 470 |
4 500 |
3 790 |
IGNP main canal section 228-416 km
Construction work on the main canal Phase II commenced in 1975 and was completed in 1986.
Water was released into the canal as follows:
|
Main canal section (km) |
Year of first filling |
|
Up to 189 |
1975 |
|
Up to 293 |
1983 |
|
Up to 445 |
1986 |
Freestanding water became apparent along many canal sections soon after the first release of water, especially in sections where the canal embankment was constructed in fill with borrow pits along the canal alignment. As the canal is lined with a conventional clay tile lining in cement mortar, the appearance of inundation, so soon after filling, was not expected. A survey conducted in 1991 identified 127 locations of seepage, covering a total area of 900 ha (Table 9).
Table 9: Indira Gandhi main canal section km 228-416; areas with groundwater at surface
|
Section |
June 1991 |
June 1993 |
June 1995 |
June 1997 |
June 2000 |
|
229 - 263 |
254 |
35 |
24 |
11 |
3 |
|
263 - 293 |
83 |
- |
- |
- |
- |
|
293 - 342 |
533 |
471 |
83 |
4 |
3 |
|
342 - 416 |
30 |
24 |
20 |
6 |
1 |
|
Total: |
900 |
530 |
127 |
21 |
7 |
Afforestation
Afforestation work on the IGNP was undertaken to (1) protect the canals from wind blown sand deposit by creating effective shelter belts, (2) to produce timber, fuel and fodder to meet local needs and (3) to improve the environment in general. The afforestation activity in Phase I was started in 1962 and taken up on a large scale in 1974.
The afforestation schemes included canal side plantation, block plantation, sand dune stabilization, pasture development, roadside plantation and environmental plantation. Continuous strips of land of the following widths were reserved for canal side plantation on both sides of all canals:
| |
Under Phase I (m) |
Under Phase II (m) |
|
|
On left side |
On right side |
||
|
Main Canal |
100 |
200 |
100 |
|
Branch Canals |
50 |
100 |
50 |
|
Distributaries |
30 |
50 |
50 |
|
Minors and subminors |
15 |
25 |
25 |
A special organization under the Forest Depart-ment was set up to undertake afforestation activities. An officer of the rank of Chief Conservator of Forests headed the organization with two Conservator of Forests one for Phase I and the other for Phase II. The afforestation activities received financial support from international organizations such as the World Food Programme (WFP), the International Development Agency (IDA), International Fund for Agriculture (IFAD) and Overseas Economic Cooperation Fund, Japan (OECF).
The main tree species planted in irrigated areas are Eucalyptus camaldulensis (Photo 11), Dalbergia sissoo and Acacia nilotica. The species planted in unirrigated areas are Prosopis cineraria, Tecomella undulata and Ziziphus spp. Lasiurus sindicus grass was planted for pastures and in between mulch lines for stabilization of sand dunes. Tufts of Saccharum munija and seeds of Calatropis procera and castor were sown to stabilize canal embankments.
Photo 11: Eucalyptus camaldulensis
Eucalyptus camaldulensis attained fastest forest growth, in height and girth, Prosopis cineraria slowest. Dalbergia sisso and Acacia nilotica gave satisfactory biomass produce. Prosopis cineraria exhibited much better growth rate when irrigated.
In 1996, the area covered by afforestation activities on Government land was as follows:
|
Type of afforestation work |
Area covered (ha) |
||
|
Phase I |
Phase II |
Total |
|
|
Canalside plantation |
11 703 |
|
|
|
Roadside plantation |
2 582 |
|
|
|
Sand dune stabilization and pasture development |
94 908 |
58 000 |
|
|
Fuelwood plantation |
5 270 |
|
|
| |
114 463 |
58 000 |
172 463 |
The forest in the project area has a crown density of more than 40 percent. It is estimated that the utilizable growing stock is about 150 m3/ha/year.
Farmers are encouraged to plant trees on their farmlands and along farm boundaries. To overcome the waterlogging problem, some farmers have taken to planting trees in strips on their private land to provide biodrainage. Photo 12 shows the biodrain as planted by a farmer on his irrigated land. The trees in the background are the biodrainage system that dried-up the inundated areas along the main canal.
A 1 524 m long and 261 m wide strip along the left side of the main canal from km 290 to 291.8 was selected for implementation of a detailed study. The plantation at this site was established between 1987 and 1994. A field census in 1997 identified the following species in the 25 ha plantation area (Table 10).
Table 10: Distribution of tree species in 25 ha plantation area
|
|
Number of trees |
|
Eucalyptus camaldulensis |
28 233 |
|
Acacia nilotica |
15 208 |
|
Azadirachta indica |
36 |
|
Ziziphus spp. |
1 535 |
|
Dalbergia sissoo |
531 |
|
Prosopis cineraria |
995 |
|
Tecomella undulata |
672 |
|
Total |
47 210 |
Particulars of main canal section km 290-292.2
The hydraulic data of main canal at km 290 is as follows:
|
Full supply discharge |
216 m3/s |
|
Full supply depth |
6 m |
|
Bed width of canal |
12.5 m |
|
Side slopes |
2: 1 |
|
Longitudinal bed slope |
1 in 12 000 |
The canal is fully lined and the canal embank-ment is constructed in fill. The canal bed is about 1.2-1.4 m above ground level and at full supply depth, the water surface in the canal is about 7 m above ground level.
Inundation along the canal section
The canal was first filled with water in 1983, soon after, pools appeared on both sides. In 1988, the largest extent of flooding was on the left side of the canal section covering 25 ha. In 1987 tree planting was begun along the canal and around the inundated area. As the trees grew the inundated area progressively reduced as follows:
|
Year |
Inundation areas (ha) |
|
1988 |
25 |
|
1989 |
23 |
|
1990 |
20 |
|
1991 |
15 |
|
1992 |
9 |
|
1993 |
2 |
|
1994 |
- |
The deepest pool was about 3.5 m below ground level. In April 1994, the groundwater fell to 4.9 m; in April 1996 to 8.8 m; in September 1996 to 10.3 m and in July 1997 to 12.9 m below ground level. At one point a groundwater depth of 15 m was measured.
The plantations progressively reduced the extent of the waterlogged area and in June 2000 there were only nine inundated areas covering a total area of 7 ha (Table 8).
Piezometers were installed in 1997 to determine the groundwater profile at two cross-sections across the canal. The position of observed groundwater levels and other details are shown in Figure 24. Note: the bores are slotted only at the bottom section, Figure 24 is not to scale.
Figure 24: Piezometric cross-section through biodrainage planting at RD 953-900
Groundwater balance at trial site
Recharge at the site has three possible components:
(a) From canal seepage: The length of the canal section under consideration is 1 524 m. Average side slope length and half bed width together is 19 m. The design value of rate of loss from lined canals in the IGNP is 0.6 m3/s per million m2 of wetted surface area. Field tests using tracer-techniques assessed seepage losses at 0.57 to 1.78 m3/s/million m2. An analytical approach to seepage loss assessment yielded a figure of 1.05 m3/s/million m2.
(b) From rainfall: The observed annual rainfall at the nearest rain-gauge site (about 50 km away) during the period 1991 - 1997 ranged between 85 mm (1991) and 525 mm (1996), with an average annual rainfall of 335 mm. Assuming net recharge to groundwater at the rate of 5 percent over the area (1 524 m x 800 m), the volume of recharge as a result of rainfall during the six-year period was (1 524 x 800) x 0.05 x 335 x 10-3 x 6 = 12.24 ha m, or about 120 000 m3.
(c) From irrigation: Area irrigated in the study area was 33 ha. Assuming annual water application as 500 mm and deep percolation loss as 20 per-cent, the volume of recharge to groundwater over six years was estimated at 33 x (0.5 x 0.2) x 6 = 19.8 ha m, or about 200 000 m3, or 600 mm/ha recharge over the six-year period.
Evapotranspiration
In an unplanted area (of 14.7 ha in 1991) surface water is removed from pools mostly by surface evaporation. The volume of pool water was 54 * 104 m3, and the maximum depth was about 7 m. It is assumed that all this water was removed by surface evaporation during 1991 to 1994.
The soil water stored in the profile under the 1 524 x 800 m strip was removed by transpiration. Over the period 1991-1997 the water table fell about 10 m. It is assumed that surface evaporation accounted for removal of water from the top 1 m layer, while groundwater from the 1-10 m profile was removed by the trees.
The soils are mostly sandy loams. The average dry bulk density in the top 1.5 m of the profile is about 1.6 and the moisture content 5 percent (1997). On this basis the drainable porosity of the top layer is 0.3. The deeper soil strata are harder and have a higher density. To estimate the volume of sub-soil water removed by transpiration, an average drainable porosity of 0.15 is assumed for the 0-10 m profile.
Transpiration by tree plantations
The volume and rate of transpiration from a tree plantation area (25 ha) during the six-year period (1991-1997) is estimated as follows:
Plantation area
|
Length |
1 524 |
m |
(a) |
|
Width |
261 |
m |
(b) |
|
Total area: 1 524 x 261 m |
39.8 |
ha |
(c) |
|
Pool area (1991) |
14.7 |
ha |
(d) |
|
Net plantation area = (c) - (d) |
25 |
ha |
|
Volume of groundwater removed/extracted
|
Length |
1 524 |
m |
(a) |
|
Width |
800 |
m |
(b) |
|
Average profile depth |
9 |
m |
(c) |
|
Drainable porosity (estimated) |
0.15 |
|
(d) |
|
Volume = (15.24 x 8.0 x 9) x 104 m3 |
1 097 x 104 |
m3 |
(e) |
|
Pool volume |
54 104 |
m3 |
(f) |
|
Net volume of groundwater removed over six years = [(e) - (f)] x (d) |
157 104 |
m3 |
|
Seepage from half section of the main canal at the rate of 0.6 m3/sec per million m2 of wetted area
= 1 524 x 19 x 0.6 x 10-6 m3/sec
= 1 500 m3/day or 54.7 x 104 m3/year
Total seepage over six years
= 6 x 54.7 = 328.2 x 104 m3
Total transpiration by plantations
|
Recharge from rainfall |
= 12 x 104 m3 |
|
Recharge from irrigation (estimated see above) |
= 20 x 104 m3 |
|
Total volume of water removed by tree plantations from 25 ha area over 6 years |
= (157 + 328 + 12 + 20) = 517 x 104 m3 |
|
Annual rate of transpiration |
= 517/(25 x 6) = 3 446 mm per year |
Higher drainable porosity of the soil, higher rates of seepage from the canal, and lowering of the groundwater table beyond the 800 m boundary of the strip would all result in an increase of the calculated rate of transpiration. The estimated value of 3 446 mm is more than the annual rate of evaporation from free water surface in the area, which at one station in the eastern area of the project was measured as 2 971 mm, about 1.2 Class A pan.
In the IGNP, which has an estimated annual groundwater recharge of 2.6 x 109 m3, plantations covering 86 700 ha (with 3 000 mm annual rate of transpiration) would be needed to transpire the recharge volume This would be about 5 percent of the project area. Assuming a more conservative annual transpiration rate of 1 500 mm would require 10 percent of the area to be planted to trees. This rough water balance calculation assumes a well-distributed availability of this water, both spatially and temporally.
Drawdown effect of plantations
At one location, the groundwater under the tree plantation has fallen by 15.7 m over a period of six-years and is continuing. At 100 m from the edge of the plantation, the level of the groundwater was about 9 m higher than at the edge, with a drawdown of 6.7 m. At 500 m from the edge, the ground water level was 7.6 m higher than at the edge (drawdown of 8 m). The higher groundwater level further away from the plantation edge is apparently the result of recharge from irrigation of areas under cultivation.
At cross section 953-900 (Figure 24), the ground-water under the plantation dropped 14 m over the six-year period. At 100 m from the edge of the plantation, the groundwater level was 3.6 m higher than at the edge, with a drawdown of 10.4 m. At about 300 m from the edge, the groundwater level was 6.2 m higher than at the edge (drawdown of 7.8 m).
It can be concluded that the plantations are acting like groundwater pumps, pumping water at the rate of 34 460 m3/year or 3.93 m3/hr per ha of plantation or 98 m3/hr for the 25 ha plantation area as reported here. This is equivalent to three tubewells having a withdrawal rate of 33 m3/hr, pumping 24 hr/day, 365 days/yr. The maximum drawdown during the six-year period was 15 m and is still increasing.
Distance up to which plantations can provide effective biodrainage
As explained in Chapter 3.3 (Figure 2) the effective sphere of influence of tree plantations can be estimated using the formulas originally developed to calculate (sub-) surface drain spacing. The equations were developed by Hooghoudt (1940, in Dutch), and later applied by Donnan (1946, in English) as follows:

where:
L = distance between plantations (m)
R = rate of recharge per unit surface area (m/d)
Y0 = height of water level above barrier layer underneath plantations (m)
K = hydraulic conductivity of the soil (m/d)
h = head difference between plantation edge and halfway-plantation point (m)
In the IGNP area the total supply over 1.8 Mha is 9.3 billion m3/year. The net recharge is estimated at 2.6 billion m3/year which, spread over the 1.8 Mha command area, results in a recharge rate of 144.4 mm/yr or 0.4 mm/day. The recharge resulting from rainfall is considered to be insignificant. Total recharge R, may be taken as 0.5 mm/day.
In the equilibrium phase, where the water table halfway between the tree plantations is 2 m below the ground, the water table under the tree plantations is about 12 m, the value of h would then be 10 m.
The values of hydraulic conductivity of soil strata in IGNP vary between 250 mm/day to more than 1 000 mm/day. The depth to the impervious barrier layer (Yo) is also highly variable. The following illustrates the relation between biodrain spacing, biodrain depth and soil physical factors:
Assuming a 22 m depth to the impervious barrier layer (Y0 = 10 m, h = 10 m and half-way plantation water table depth is 2 m); hydraulic conductivity values of 1 000, 100 and 10 mm/day, the value of L (distance between plantation strips from 'edge to edge' can be calculated as 1 550, 500 and 155 m respectively. In other words, where the hydraulic conductivity of substrata is 1 000 mm/day, and depth to barrier layer is 22 m below the natural surface, plantations can provide effective biodrainage up to a distance of 775 m from their edge.
In case h = 5 m, the biodrain spacing would be about 300 m, for K = 100 mm/day, and a biodrain spacing of 100 m for K = 10 mm/day.
Note: The total area under biodrainage plantation will not vary much. For the larger spacing the row width must be much larger to evapotranspirate the required amount, whilst for the narrower spacing this row width can be comparatively smaller.
Salt balance
The total volume of soil water removed by the plantation during a period of six years was estimated to be 517 x 104 m3 The average salt content in canal water is 125 mg/litre. The total salt load in 517 x 104 m3 water would be 646 tonnes. If the trees were not to take any salt from the soil water during transpiration, there should have been an average increase of salt content in the soil mass (1 524 x 261 x 10 m with average bulk dry density of 1.7:1) of 0.009 percent (by weight) over six years. However, no soil salinity measurements were taken prior to waterlogging, so the observations are indicative.
EC values of groundwater under plantation and in adjoining area
In 1997 groundwater EC was measured in 11 piezometers. Holes were drilled 11-17 m deep and blind pipes with only slotted ends were installed. At six locations ECs were found to be less than 1 dS/m, at four locations EC was between 1 dS/m - 2 dS m and at one location 3 dS/m was measured.
The plantations extend up to a distance of about 260 m from the canal. As expected, the water table drawdown effect was maximum in the middle of the tree plantation area. However, there appeared to be no concentration of salts in the groundwater as measured in the piezometers under the plantation area.
Conclusions
The following conclusions can be drawn from the study:
The water use by plantations in the IGNP com-mand can be 3 446 mm/yr, which is about 1.4 Class A pan.
The drawdown of the groundwater table under the plantations can be 15 m and more.
When plantations are grown on sufficiently large areas, the drawdown effect on groundwater is not confined to areas immediately under the plantations but extends to distances of 500 m and beyond the edge of the plantations. Knowing values of hydraulic conductivity, rate of recharge and depth to barrier layer, it is possible to estimate the drawdown effect of plantations on groundwater surface at varying distances from the edge of the plantations.
No abnormal increase in salinity levels of soils and groundwater was observed under the plantation.
Under non-saline situations, where groundwater salinities are low and fresh water supplies are available (in this case channel seepage), planta-tions show good possibility of providing biodrainage to irrigated lands. In this way the threat of waterlogging and salinization can be overcome in the medium to long term.
More R&D is required to create adequate site-specific biodrainage systems that function in harmony with the physical and socio-economic environment. Photo 13 shows a biodrainage site in Rajasthan, India. The farmer learned the hard way. He had partly felled trees and then the groundwater table rose. Near both locations where the trees were partly felled the land again became slightly waterlogged. The trees are growing again and the situation is gradually improving. This illustrates that the soil water balance was in a fairly precise equilibrium with the prevailing conditions at this site.
Photo 13: Biodrainage in Rajasthan, India
The information in this section is based on a paper by Gafni and Zohar (2000).
Background
The soils in the Yizre'el Valley in northern Israel are primarily fine-textured vertisols with a dominant sub-group of typic chromoxerets (classification of the United States Soil Survey Staff, 1975). Typical soil texture includes 62 percent clay, 30 percent silt and 8 percent sand, the dominant clay mineral being montmorillonite. The 200 km2 of the western Yizre'el Valley have been dry-cultivated since the early 1920s. In the mid 1960s, when cotton became the dominant crop, irrigation was introduced, and many water harvesting and storing installations - reservoirs - were constructed in the valley to secure irrigation waters for the long summer season. This resulted in a drastic impairment of the delicate hydrological balance: the shallow groundwater level rose and the inevitable salinization plagued the valley.
The salinity phenomenon, first observed in the mid-1980s, alarmed the regional authorities, which initiated investigations to understand the cause/effect processes and developed strategies to combat the salinization trends. Soil salinity/sodicity surveys, conducted after the problem surfaced, showed relatively high values of sodium adsorption ratios (SAR) in the soil profile. Two ameliorative approaches were conceived to reverse the evident salinity/sodicity trends: (a) the installation of a gravitational horizontal subsurface drainage system; and (b) biodrainage, using Eucalypts to control the high water tables. The study tested the feasibility of these two remedial strategies. This case study focuses on the biodrainage aspects of work done in northern Israel.
The drainage system
The drainage system, comprising three drain components, effectively controlled excess water from three sources: direct infiltration, lateral subsurface flow and deep, presumably upward-seeping, artesian aquifer flow. The groundwater table response to the installation of the applied drainage system was immediate. In the ensuing rainy season, there was an associated and appreciable deep leaching of Cl- and somewhat less of Na+. More than 3 000 hectares of land have been drained in this way in the past ten years in the northern, salinity-prone, inland valleys.
Biodrainage
The biodrainage approach was tested at five different, waterlogged and salinity-affected plots in the Yizre'el Valley, representing a broad range of environmental conditions, including rainfall gradient, subsurface hydrological regime, soil salinity, sodicity status, etc. Earlier farmers had abandoned the 0.62 ha sites because of waterlogging and/or salinity built-up. Soil sampling measurements prior to planting showed SAR values to be mostly within the range of 5 to 10 with some extreme values of 23 to 26 being measured. Six provenances (seed sources) of Eucalyptus camaldulensis and two provenances of E. occidentalis were selected and planted in four replications at each of the five sites.
Shallow groundwater tables were routinely monitored over the period of the experiment in six observation wells per site, both inside and outside (control) the plots. Growth rates of the trees were measured periodically, using diameter at breast height (DBH) and tree height as variables. After five years, trees with average DBH were cut in order to estimate the average annual biomass yield per hectare. The transpiration rates of Eucalyptus camaldulensis (Dehn) from the two most promising seed sources (Hadera, Israel and Lake Albacutya, Victoria, Australia), growing at the Nahalal site (western Yizre'el Valley), were determined by using the calibrated heat pulse technique.
The trials proved to be very successful. Groundwater tables declined constantly during the five-year monitoring span and dropped to more than 3 m below the soil surface at each of the sites in the summer of 1999. At the tree age of 3.5 years, transpiration on summer days was between 4.5 and 5.1 mm/day. Zohar and Schiller (1998) calculated the cumulative depth of water uptake by the trees at the Nahalal site to be 1 882 mm in 708 days. Excluding rainfall, the trees consumed 932 mm directly from underlying groundwater, thus depressing it by 1.2 m.
Growth rates were no less impressive. At the end of the fifth year of the trial, in the best plot in that year, the biomass yield reached 30 tonnes/ha/year for the Broken Hill ecotype (NSW, Australia) and 57 tonnes/ha/year for the Hadera (Israel) ecotype.
A related study, recently conducted both at the Nahalal site and under controlled conditions, examined the tolerance of four E. camaldulensis ecotypes to salinity and flooding stresses (Lev-Hari 1999). The study found that the high tolerance of E. camaldulensis to salinity is based on avoiding the uptake of sodium and chloride ions at the root level. Even though the Na- concentration in the soil and irrigation solutions was 200-400 times higher than the K- concentration, the molar ratio between these ions in the leaves was close to one. Chloride ions did not accumulate in these leaves. The conclusion drawn from this was that E. camaldulensis roots are highly selective and are able to inhibit salt uptake. In the light of these findings, and of the concerns expressed by others, regarding the risk of eventual salt accumulation in the rootzone, monitoring of the salinity dynamics will continue for some period of time.
The economic viability of growing eucalyptus on abandoned lands in Israel was studied as part of the biodrainage research effort. It was concluded that, without irrigation, under current conditions, commercial forestry of elite E. camaldulensis for both medium density fibreboard and other timber products is a viable agricultural alternative that could bring higher returns than wheat, corn or cotton (Hadas, personal comment). At present, commercial forestry is rapidly expanding in Israel with more than 600 ha being offered by farmers for this prospective venture.
Concluding remarks
Both conventional and biodrainage systems proved very effective in lowering shallow groundwater tables and providing a flushing zone below the soil surface, in virtually all sites where they were applied. The agreement of many farmers to embark on a remedial biodrainage alternative is an encouraging move that secures potentially productive lands in Israel from abandonment and further deterioration.
The long-term, possibly deleterious effects of salt accumulation in the tree rootzone is still an open question awaiting further research. Six years after planting, the trees at all five sites were in good health with no discernible signs of stress.
Chaudhry et al. (2000) describe a study conducted on an 18.2 ha irrigated area of which about 4 ha was planted with six-year-old Eucalypts. Plant density was 1 340 trees per hectare. The surrounding area was planted to crops of cotton, rice and sugar cane, irrigated with canal water. The study reported:
Water table was deeper in the area under tree plantation as compared to the area under crops. On average the water table depth under the plantation ranged between 1.4 m and 2.7 m below surface under the plantation and 1.1 and 2.1 m outside the plantation in the irrigated cropping area.
As expected the water table fluctuated depending upon the irrigation applied and rainfall. Although no data were presented, the study concluded that the soil salinity remained below critical limits (<4 dS/m) in the area under tree plantations.
The annual water use by the plantation ranged between 300 and 2 100 mm (NIAB 1997); The methodology used to determine annual tree water use was not reported.
As a result of the water table drawdown, the groundwater moved as a front towards the plantation area.
The tree plantation improved the environment in the area.
Nitsch et al. (1998) report on the effects of de-forestation on the water balance in the Central Chaco, Paraguay. Soils are clayey and the water table is shallow and saline (around 40 dS/m, maximum 80 dS/m). The average annual precipitation varies from 500 mm to 1 400 mm; ETo is about 1 400 mm. Large areas are threatened by or already lost to salinization.
Soil salinity in the soil surface layers was related to precipitation patterns; the groundwater table fluctuated, rising after each spell of precipitation along with a reduction in salinity.
As a result of a study carried out in 1995, it was suggested to leave strips of land of natural forest to biopump water from under the grass land vegetation to check the rise of water table levels in the surrounding land. It was also recommended to introduce salt adaptable plants to lower shallow water tables. The observations and recommenda-tions are in line with the concept of biodrainage described in this document.
This study describes the design and presents the results of an integrated on-farm drainage management (IFDM) system developed as a demonstration project on a farm in the Central Valley in California. IFDM is an example of a combined bio- and conventional drainage approach to drain water management. Irrigation water, drainage water, salt and selenium are managed as resources within the boundaries of the farm. No drainage water, salt or selenium are discharged into rivers or lakes. Drainage water is used to grow salt-tolerant crops. Marketing strategies for salt and selenium are being developed. The information in this section is based on Cervinka et al. (1999).
The farm covers 620 acres. Naturally occurring selenium in the groundwater and drainage effluent is considered an environmental hazard and cannot be disposed of into the regional drainage system. IFDM is developed to manage this poor-quality drainage water while optimizing water use efficiency. Figure 25 illustrates the project design.
The farm is covered by several subsurface horizontal pipe drainage systems, discharging into sumps (see Figure 25). There are three 157-acre independent drainage systems for vegetable crops. Independent drainage systems also operate for salt-tolerant crops/trees (130 acres) and salt-tolerant grasses (13 acres). A shared drainage system exists for the halophytes (5 acres) and the solar evaporator (2 acres).
Figure 25: Farm layout of integrated on-farm drainage management system

There are four salinity areas (zones) on the farm. Vegetable crops, grown in the non-saline zone covering 73.4 percent of the farm area, receive canal or well irrigation water. Alfalfa, cotton and other salt-tolerant commercial crops, grown on 20.3 percent of the farm in the low-saline zone, receive drainage water from the vegetable zone. Salt-tolerant grasses and trees, grown in the moderately-saline zone on 2.0 percent of the farm area, use drainage water from the salt-tolerant crops. At the last step of the sequential reuse, the grower applies saline water from salt tolerant grasses/trees to irrigate halophytes grown in the high-saline zone representing about 0.8 percent of the farm. This sequential water reuse process productively uses over 90 percent of the drainage water. The remaining drainage water goes into a solar evaporator where water is evaporated and salt is crystallized. The solar evaporator represents 0.3 percent of the total farm area.
The vegetable blocks are irrigated with canal or on-farm well water. Salt-tolerant crops/trees receive a blend of tile drainage and tail water (from vegetables), and of canal/well water. Salt-tolerant grasses and halophytes are only using sequentially reused drainage water. Programmable electronic timers control water distribution to salt-tolerant grasses, halophytes and the solar evaporator.
The installation of the drainage system started in 1995. The following data indicate the progress of soil reclamation achieved in the vegetable blocks:
|
|
ECe (dS/m) |
|||
|
Depth |
1995 |
1996 |
1997 |
1998 |
|
0-1 feet |
11.3 |
2.3 |
1.5 |
0.8 |
|
1-2 feet |
8.8 |
7.1 |
5.7 |
4.4 |
|
2-3 feet |
8.6 |
8.9 |
7.6 |
4.8 |
|
|
Boron (mg/litre) |
|||
|
0-1 feet |
14.3 |
3.1 |
2.5 |
1.1 |
|
1-2 feet |
13.3 |
6.8 |
8.3 |
1.6 |
|
2-3 feet |
8.5 |
10.5 |
10.6 |
2.0 |
Alfalfa, grown for two and one-half years, helped to improve soil conditions. The fast rate of salt and boron leaching after the installation of drainage provided the opportunity to plant the first vegetable crop in the autumn of 1998.
Sequential reuse of drainage water increases the overall efficiency of water use. The total use of irrigation water is about 1 601 acre-feet (1 975 million litres). The farm input-water is 1 215 acre-feet (1 500 million litres, 76 %) and the sequentially re-used drainage and tail water volume is 386 acre-feet (475 million litres, 24 %). The solar evaporator receives only about 12 acre-feet (15 million litres, 3 percent of total applied) of sequentially reused drainage water. The average use of the canal or well water is about 1.96 acre-feet per acre (6 million litres/ha). While conventional farming would require about 1 550 acre-feet (1 911 million litres) of canal water, the IFDM system on this farm requires 1 215 acre-feet (1 486 million litres) of irrigation water, a water saving of about 22 percent. In addition to significant water conservation, the IFDM system also prevents on-farm drainage water from contributing to severe regional problems of poor groundwater quality and high water tables.
The total project costs were US$376 000, which averages US$606 per acre (US$1 500/ha). This investment includes the drainage system, the water distribution system, the solar evaporator, and the establishment of salt-tolerant grasses, trees, and halophytes. The land value was about US$480 000 (US$750 per acre or US$1 850/ha) before the IFDM system was implemented. The present value of reclaimed land is about US$1 540 000, with an average value of US$2 406 per acre US$5 380/ha). The ratio of the increased land value to the total project costs is 2.8: 1.
The increase in land value was the result of higher crop yields and the production of high-value vegetable crops, grown on the non-saline portion (75 percent) of the farm. Wheat yield increased from about 1 tonne per acre (before reclamation) to the present 9 tonnes/ha. While previous net returns from growing cotton, alfalfa, and grains on saline land were about US$175 per acre, the net returns from vegetable crops now average about US$550 per acre (US$1 360/ha).
Basically, IFDM is an integrated bio- and conventional drainage salt management system. The saline water leached from the vegetable area moves through a sequential reuse of drainage water all the way to halophytes and the solar evaporator to harvest the salt. Salt utilization and marketing are the next stages of the project. Figure 26 illustrates the concept of salt management.
Figure 26: Integrated on-farm drainage management (IFDM) diagram
The authors state that the demonstration of the IFDM at the trial farm proves the technical feasibility of the concept. However, opportunities exist for further improvement to the system. Double cropping of salt-sensitive and salt-tolerant crops is an option. It will be feasible to use grasses and halophytes as forage or as biomass for energy generation. Addition of control valves to regulate the flow of drainage water in the field of salt-tolerant crops could improve overall management flexibility. Expansion of the area of salt-sensitive crops by 60 to 80 acres may be possible and is under consideration. The east section of the halophytes area is not performing as well as desired and will require some changes in water management. Monitoring of soil salinity in areas receiving drainage water will continue. Salt harvesting and processing will require additional investigations.
|
[1] See also: Kapoor, A.S.
& Denecke, H.W. 2001. Biodrainage and biodisponal: the Rajasthan experience.
In GRID, IPTRIDs network magazine No. 17. |