FAO Fisheries Report No. 685
FIRM/R685(Bi)
ISSN 0429-9337
|
Copies of FAO publications can be requested from: |
FOOD AND AGRICULTURE ORGANIZATION OF THE UNITED
NATIONS
Rome, 2002
|
The designations employed and the presentation of material in this publication do not imply the expression of any opinion whatsoever on the part of the Food and Agriculture Organization of the United Nations concerning the legal status of any country, territory, city or area or of its authorities, or concerning the delimitation of its frontiers or boundaries. |
ISBN92-5-004812-2
All rights reserved. Reproduction and dissemination of material in this information product for educational or other non-commercial purposes are authorized without any prior written permission from the copyright holders provided the source is fully acknowledged. Reproduction of material in this information product for resale or other commercial purposes is prohibited without written permission of the copyright holders. Applications for such permission should be addressed to the Chief, Publishing Management Service, Information Division, FAO, Viale delle Terme di Caracalla, 00100 Rome, Italy or by e-mail to [email protected]
© FAO 2002
This document was prepared during the Sardine Otolith Workshop organized by the Atlantic Scientific Research Institute of Marine Fisheries and Oceanography (AtlantNIRO), Kaliningrad, Russian Federation, from 28 to 31 August 2001 to provide support to sardine age readers. This workshop was recommended by the first FAO Working Group on the Assessment of Small Pelagics off Northwest Africa, held in Nouadhibou, Mauritania in March 2001. A sardine otolith exchange was carried out in October-November 2000 and an exploratory analysis of the results had shown that for the same otoliths the number of rings assigned between readers presented differences bigger than one. These discrepancies were probably related to problems in the first ring and edge interpretation. In order to reach a consensus on age estimation criteria a workshop was organized with the participation of scientists from Russian Federation, Morocco, Spain, Portugal and FAO. The statistical analysis was carried out by Cristina Morgado from IPIMAR/Portugal. FAO is grateful to the participants of the Workshop who have contributed to the content of this document and to Marie-Thérèse Magnan from FAO for her assistance in editing and the layout of this report. The document was further revised and completed by Merete Tandstad and Ana Maria Caramelo from FAO.
Distribution:
Participants in the Working Group
FAO Regional Fishery
Officers
FAO Fisheries Department
|
FAO. Different types of information structured by age such as catch at age data, mean weight at age in the stock and in the catch, proportions of mature fish by age and tuning data are very important for analytical methods of stock assessment. There are two sources of errors in these types of information: sampling errors and errors caused by age-reading. The last one could have a major influence on the results of the assessment, and thus on management advice. Ageing errors can cause a substantial reduction in the interannual variability in recruitment, and this effect will tend to increase the estimates of abundance of weak year classes and reduce those of strong year classes. Some ageing criteria were established for sardine. It was recommended that guidelines for age estimation be prepared by FAO for the important pelagic species in the region. |
The first FAO Working Group on the assessment of small pelagics off Northwest Africa, held in Nouadhibou, Mauritania in March 2001, recommended an age-reading workshop for Sardine (Sardina pilchardus). The workshop was organised by the Atlantic Scientific Research Institute of Marine Fisheries and Oceanography (AtlantNIRO), Kaliningrad, Russian Federation from 28 to 31 August 2001.
The terms of reference of the workshop were:
To test and improve the precision of current sardine ageing procedures;
To improve the quality of sardine age-readings;
To discuss existing otoliths preparation methodology, based on each reader knowledge, in order to prepare a standard for all institutes involved in the workshop;
To develop existing ageing methods with a view towards rationalising current practices while satisfying the demands for precision and consistency;
To establish sardine age-reading criteria;
To prepare a reference collection for use in inter-calibration exercises;
To stimulate regional collaboration.
The main objective of this workshop was to standardise the Northwest African sardine age-reading methodologies and to establish equal age-reading criteria.
Specifically, the workshop aimed to:
a) Familiarise the participants with relevant terminology used during the workshop, including the terms "accuracy", "precision", "bias", "average age", "modal age", "agreement", etc;
b) Discuss the results of the 2000 sardine otoliths exchange with the otolith readers and provide suggestions on how to improve their age-reading techniques;
c) Describe and discuss the otolith processing methods and the age estimation criteria used by the different research institutes;
d) Present a synopsis of the biology of the Northwest African sardine focusing on such aspects as stock distribution, spawning period and juvenile distribution, which are relevant to age-reading;
e) Present otoliths images from the Iberian Sardine agreed collection in order to promote discussion on otoliths interpretation;
f) Perform a reading based on a sub-sample from the exchange and discuss the results immediately after reading in order to correct the ageing interpretation of each reader;
g) Prepare a manual on sardine age estimation that would provide guidelines to experienced and inexperienced otoliths readers on how to read and interpret the rings in order to achieve high precision;
h) Provide recommendations on how the quality of the age-readings can be improved;
i) Provide information on the bias, accuracy and precision of the age-reading by age group for each reader and for the whole group.
The workshop was held in Kaliningrad, Russian Federation, 28-31 August 2001 with the following participants:
Participants taking part in the age-readings:
|
Luiza Scherbich* |
Reader 1 |
AtlantNIRO |
Russian Fed. |
|
Maria Teresa Santamaria*# |
Reader 2 |
IEO - Canarias |
Spain |
|
Aziza Lakhnigue*# |
Reader 3 |
INRH |
Morocco |
|
Abdelhakim Mesfioui |
Reader 4 |
INRH |
Morocco |
|
Olga Mishenko* |
Reader 5 |
AtlantNIRO |
Russian Fed. |
* readers participating in the 2000 otolith exchange
# people involved in preparing age-length keys in their respective research institutes
Other participants:
|
Ana Maria Caramelo (Chair) |
FAO |
Italy |
|
Merete Tandstad |
FAO |
Italy |
|
Cristina Morgado |
IPIMAR |
Portugal |
|
Natali Barkova |
AtlantNIRO |
Russian Fed. |
|
Nikolay Timoshenko |
AtlantNIRO |
Russian Fed. |
|
Vladimir Severin |
AtlantNIRO |
Russian Fed. |
|
Pjotr Bukatin |
AtlantNIRO |
Russian Fed. |
|
Pavel Gasyukov |
AtlantNIRO |
Russian Fed. |
|
Tatiana Mishenko |
AtlantNIRO |
Russian Fed. |
Introduction
The sardine (Sardina pilchardus Walb., 1792) is found off the Northwest African coast from Morocco to Senegal.
Several authors such as Belvèze (1972, 1984), Biaz (1976), Bravo de Laguna et al. (1976), Belvèze and Rami (1978) and Krzeptowski (1983), have contributed with studies on stock identification criteria, based on reproduction, vertebra number, pre-dorsal and pre-anal length, parasites and growth. Other studies based on electrophoresis of proteins are also intended to analyse stock identification (Furnestin, 1950; Barkova and Domanevsky, 1976; Biaz, 1976). However, these studies presented different conclusions and it was difficult to consider the best approach.
Distribution and migration pattern
Figure 1 shows the fishing zones of sardine off the Northwest African coast. The migration pattern of sardine in zones A (32oN - 25oN) and B (29oN - 26oN) have been studied using information from the activities of the commercial fleet and results from acoustic surveys (Belvèze and Erzini, 1983). At the end of autumn and beginning of winter, a perpendicular movement of sardine towards the coast is observed when spawners move inshore to spawn. A seasonal movement of sardine along the coast is also observed.
Figure 1. Fishing zones of Northwest African sardine

These migration patterns are linked both to the seasonal character of the upwelling system in the region and to the location of the Senegal-Mauritanian thermal front. During winter, the sardine leaves the area around Safi and Sidi Ifni (32°N-29°N) and concentrate in the northern part of zone B. The sardines migrate northwards in summer-autumn and southwards in winter-spring.
In southern zone B and zone C (28°N-16°N), sardines are distributed at depths from 20 to 200m, while individual schools have been recorded within the pelagic layer at depths of 200-500m. In autumn-winter depth ranges are much wider than in spring-summer.
Young sardine stays in the coastal zone off Cape Blanc on the Argon Bank despite not forming dense aggregations. In autumn the young fish distribution shifts northwards. In August sardines with 10-12 cm total length appear between Capes Dernford and Bojador. No small specimens (< 10 cm) are observed north of 23°N. Figure 2 shows the distribution of sardine aggregations during the year.
Figure 2. Sardine aggregation distribution related to water temperature (from Barkova and Sewdykh, 1985)

Age and growth
There are studies on age and growth of sardine along the Northwest African coast (Belevèze, 1972, 1984; Belevèze and Rani, 1978; Barkova et al. 1980; Delgado et al., 1981; Kreptowski, 1983; Staicu and Maximum, 1985; Maxim, 1990; Santamaria, 1995; Staicu et al., 1997).
Santamaria and Lopez Abellàn (2001) (Appendix I) showed that the growth parameters obtained by different authors are diverse, depending on age range, structure (otolith or scale) and method used to obtain the parameters, consequently, different parameters do not necessarily mean different growth of the species.
Reproduction and recruitment
The spawning season of sardine is relatively long and spawners are observed during the whole year. However, two peaks can be identified, corresponding to periods with weak trade winds and minimum upwelling. The first, which is the most important, occurs during the winter (November-February) and the second, during the spring (April-May) (Sedletskaya, 1973; Barkova and Domanevskiy, 1990).
Sardine spawning periods, are mainly determined by temperature and upwelling trends (Barkova and Sedykh, 1985), hence, the spawning ground area and shift of spawning grounds depend on the seasonal upwelling trends.
The main spawning ground is located in the area between Tan Tan and Tarfaya. At Essaouira, a second spawning ground has been identified, based on observations from acoustic surveys. Ichtyoplankton surveys carried out between 1994 and 1997, confirmed the existence of eggs and larvae concentrations between Tan Tan and Cape Juby, extended in 1994 to Safi (Ettahiri, 1996).
A recruitment survey carried out by R/V AtlantNIRO during April and May 1999, has revealed two areas of small sardine: a small area at 25°30' and a more significant area on the southern shelf from 22°45' to 21°N.
Feeding
Sardine feeds most actively from May to October. The major food items during this period are copepods and to a lesser extent, amphipods, nauplii and diatoms. Seasonal variability of food composition is related to hydrographic conditions - during intensive upwelling periods, phytoplankton constitutes the main food supply, while during periods of minimum upwelling the basic food consists of zooplankton (Krzeptowski, 1983).
In 1978 and 1979 (FAO, 1978, 1979) two important meetings were carried out relating to age determination and standardisation of age-reading techniques. At the first meeting, in which scientists from all the countries involved in Northwest African sardine fishery took part, an analysis of the structures used by each country was carried out to determine age (scales and/or otoliths), preparation and preservation techniques, the sampling plan, as well as the establishing of 1 January as the date of birth. Some age-reading problems were pointed out, such as locating the first ring, pseudo or false rings and the nature of the edge. In order to overcome these difficulties an exchange programme was carried out.
During the 1979 workshop, methods to be used in the extraction, preservation of otoliths and scales, and the size of the biological sample were discussed, as well as a need to use both structures as a mean of comparison.
Table 1 shows the main aspects of processing techniques of different laboratories involved in age determination of Northwest African coast sardines.
Table 1. Summary on age-reading processing techniques
|
Country |
Samples |
Mounting method |
Magn. |
Relevant comments |
|
Russian Federation |
Surveys |
Black plastic slides in a polyester resin |
16× |
Daily growth studies applied on first ring determination |
|
Spain |
Commercial catches |
Black plastic slides in a polyester resin |
20× |
Scales and reliability scale to calibrate otoliths age determination |
|
Morocco |
Commercial catches |
Black plastic slides in a polyester resin |
10-20× |
Discussion on age determination between readers with otoliths images on the screen |
Russian Federation
Sampling is made at sea during the research surveys. Sardine is cut transversely behind the eyes and otoliths (sagitta) are removed. Otoliths are mounted in a polyester resin on black plastic slides. Age-reading is carried out using a binocular microscope with magnification 8×2. A water-alcohol (1:1) mixture is used to improve visualization. Fish length is known at time of age-reading.
Criteria used:
The main difference between annual rings and false rings is thickness and continuity over the whole otolith surface. False rings are always narrower than annual rings. On the dorsal and ventral surfaces of otoliths false rings merge with the annual, while at rostrum only annual rings are observed;
The location of the first annulus is based on visual observations and quantitative measurements developed from otolith microstructure research. The radius of the first annual ring varies between 18-30 units (1 mm = 20 units, 16× magnification) depending on the month of birth. On average the first ring radius is equal to 20-25 units. As a criteria a ring with a radius smaller than 19 units (16× magnification) is considered to be a false ring;
Translucent ring at the otolith edge from 1 January to March is counted as an annual ring. Opaque zone at the edge is not considered as annual except in January-February, if this width is comparable to an annual ring;
The date of birth is assumed to be 1 January.
Spain
Otoliths are collected randomly from a monthly sample from commercial landings at Arrecife de Lanzarote (Canary Islands). The otoliths (sagitta) are removed through two longitudinal cuts and a transversal one, just behind the eyes to remove the head and gills. The otoliths are then extracted through the vomer (roof of the oral cavity), rinsed with water and mounted in a polyester resin (Eukitt) on black plastic slides. Otoliths are observed with a stereomicroscope with magnification of 20×. The fish length is unknown in order to avoid influences on the age attribution.
Four or five scales are removed from the left shoulder of the fish between the head and the dorsal fin, rinsed with water and mounted between 2 glass microscope slides. Scales are observed with a profile projector.
Both otoliths and scales are read separately assigning a reliability between 1 and 4 depending on confidence in the reading: 1 (completely unreliable), 2 (unreliable), 3 (reliable), 4 (very reliable). The age attributed based on the otolith reading is compared with the one obtained by the scales reading and it is considered as adopted age only when there is concordance between the two readings and when the reliability is 3 and/or 4.
The age interpretation using both otoliths and scales was done following the recommendations of FAO (1978, 1979) and summarized by Goñi (1979).
Criteria used:
The calcified nucleus is equivalent to 1 year old. After the nucleus, each set of opaque and translucent rings is considered as 1 year old;
If a ring is narrower than the following ring, it is considered as false;
In samples obtained during the 3rd and 4th quarter, the last opaque ring is not taken into account;
Reliability between otoliths and scales are taken into account;
The date of birth is assumed to be 1 January.
Morocco
Sampling takes place in fishing harbours. Otoliths (sagitta) are extracted through a transversal cut between the eyes and the pre-opercule. They are then washed and stored in small vials. Back in the laboratory they are mounted in a polyester resin (Eukitt) on black plastic slides. They are then observed through a stereomicroscope with a magnification of 10-20×. The otolith image on the screen allows several readers the opportunity to discuss its age.
Criteria used:
The birth date is 1 January;
Otoliths with no visible rings are considered to belong to age class 0 if the catch date is previous to 1 January;
After this date, it is considered that the ring is in formation, even if not visible, and the age attributed is 1;
Annual rings are formed at a decreasing distance as the fish becomes older;
Otoliths with an opaque edge during the first semester or translucent during the second are considered to belong to the previous age group.
A sardine otolith exchange was carried out in October-November 2000 with the following objectives:
- To describe the age-reading method of each individual age reader;
- To estimate precision from the age-readings of each individual age reader;
- To investigate whether problems occur concerning the interpretation of the edge (translucent/opaque);
- To evaluate the results of the exchange.
Participants in the otolith exchange
The otolith readers who participated in this otolith exchange were:
|
Luiza Scherbich |
AtlantNIRO |
Russian Fed. |
|
Olga Mishenko |
AtlantNIRO |
Russian Fed. |
|
El Youssoufi |
INRH |
Morocco |
|
Maria Teresa Santamaría |
IEO |
Spain |
Other participants:
|
Ana Maria Caramelo |
FAO |
Italy |
|
Merete Tandstad |
FAO |
Italy |
The exchange collection comprised a total of 150 pairs of sardine otoliths, caught off the Northwest African coast (between 21°N-32°N) in 1998, 1999 and 2000. Each country had contributed with 50 pairs, and all participants read the entire collection. The total length of individuals ranged from 8.2 to 27.7 cm. Whole otoliths were mounted in synthetic resin (Eukitt) on black slides.
The age determination criteria assumed were:
Date of birth is 1 January;
A translucent and an opaque ring constitute an annual growth zone.
Some readings were done with no access to information of the month of catch. In some cases the age assigned was the number of rings counted and in others the age was based on the otolith interpretation considering month of catch.
The age class is not necessarily equivalent to the number of rings, depending on the month of catch. Due to this problem it was decided not to take into account the statistical analysis of the exchange results.
However, an exploratory analysis of the results had shown that for the same otoliths the number of rings assigned between readers presented differences bigger than 1. These discrepancies were probably related to problems in first ring and edge interpretation.
In order to reach a consensus on age estimation criteria a plenary discussion was held using examples from the Iberian otoliths agreed collection. The discussions focused on the first ring allocation.
Following this discussion, age readers were asked to read some otoliths that presented very high or very low agreement in the exchange programme. The month of catch of all the otoliths studied at the workshop was known. Readers were also asked to explain their own age interpretation and the criteria applied. Subsequently, in a plenary session, all the rules used for sardine age estimation were discussed and common criteria were agreed.
In order to check whether the five readers adopted the agreed criteria, an independent age-reading was performed. A total of 70 otoliths from the exchange collection were observed (32 from the Russian Federationn collection and 38 from the Moroccan collection) and the fish length range was 9.7 to 27.0 cm. Age estimations were performed with a binocular microscope (16×). The month of catch was provided. Readers were asked to attribute a degree of reliability to each age estimation.
To overcome difficulties with otoliths edge interpretation, a final plenary was carried out to evaluate the monthly evolution of the edge. For this purpose two otoliths per month were observed. Theses otoliths, from the Moroccan laboratory, were previsously unseen and thus ensured that each participant applied the agreed criteria correctly and avoided assigning ages from memory.
The agreed criteria are shown in section 6 (Guidelines for sardine age estimation).
Age-readings were analysed with a spreadsheet developed by Guus Eltink (Eltink et al., 2000), and are presented in Appendix II. The total percentage of agreement was 72.5% with a coefficient of variance (CV) of 41.4%. The number of age-readings by modal age performed at the workshop is presented in Appendix III. High CVs obtained for some otoliths correspond to individuals aged between 0 and 1 year. These high values (greater than 100%) are not an indication of high variation in age determination. The CV is a statistical measure which is very sensitive to low values, e.g. for an age attribution of 0, 0, 1, 0 and 0 the CV is 224% while for the same age variation but at different ages e.g. 4, 4, 5, 4 and 4 the CV is 11%. Considering this fact, the CV analysis was not considered.
Table 2 and Table 3 present the percentage of agreement and the relative bias by modal age for each reader. Reader 1, 2 and 5 show an overall agreement higher than 80%.
Table 2. Percentage agreement by reader and by all readers combined, for each modal age (the weighted mean is the percentage of agreement weighted by number of otoliths belonging to each modal age; ranking is the relative result of each reader considering all readers).
|
Modal age |
Reader 1 |
Reader 2 |
Reader 3 |
Reader 4 |
Reader 5 |
All readers |
|
0 |
100 |
50 |
92 |
69 |
77 |
79 |
|
1 |
82 |
95 |
41 |
95 |
81 |
79 |
|
2 |
89 |
88 |
56 |
33 |
89 |
71 |
|
3 |
67 |
80 |
83 |
33 |
100 |
72 |
|
4 |
60 |
80 |
80 |
0 |
40 |
52 |
|
5 |
67 |
83 |
33 |
50 |
83 |
63 |
|
Weighted mean |
83 |
83 |
60 |
59 |
81 |
73 |
|
Ranking |
1 |
2 |
4 |
5 |
3 |
|
Age-reading bias considering all readers combined is less than 0.40 years (Table 3). However, reader 4 presents a high tendency to underestimate age, mainly for individuals older than 1 year.
Table 3. Relative bias by reader and by all readers combined, for each modal age (the weight mean is the percentage of agreement weighted by number of otoliths belonging to each modal age; ranking is the relative result of each reader considering all readers).
|
Modal age |
Reader 1 |
Reader 2 |
Reader 3 |
Reader 4 |
Reader 5 |
All readers |
|
0 |
0.00 |
0.50 |
0.23 |
0.38 |
0.31 |
0.27 |
|
1 |
0.18 |
0.05 |
0.77 |
-0.05 |
0.24 |
0.24 |
|
2 |
-0.11 |
0.12 |
0.50 |
-0.67 |
0.00 |
-0.03 |
|
3 |
-0.33 |
-0.40 |
0.33 |
-0.83 |
0.00 |
-0.24 |
|
4 |
0.20 |
-0.20 |
-0.60 |
-0.80 |
-0.40 |
-0.36 |
|
5 |
0.33 |
0.17 |
-0.33 |
-0.50 |
0.17 |
-0.03 |
|
Weighted mean |
0.04 |
0.09 |
0.37 |
-0.29 |
0.12 |
0.07 |
|
Ranking |
1 |
2 |
5 |
4 |
3 |
|
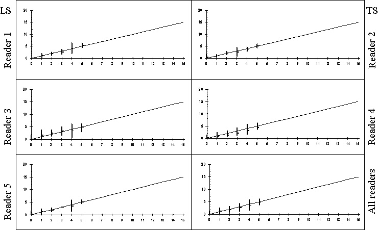
Results on age readers bias relative to modal age are presented in Figure 3. In general terms, readers' bias was low. Reader 1, 2 and 5 show age estimations very similar to modal age. Reader 3 shows a tendency to overestimate younger ages and underestimate older ages. Reader 4 underestimates all ages.
Figure 3. Age bias plots - mean age recorded ± 2 stdev of each age reader and all readers combined are plotted against the modal age. The estimated mean age corresponds to modal age, if the estimated mean age is on the 1:1 equilibrium line (solid line). Relative bias is the age difference between estimated mean age and modal age

Table 4 presents the comparison of bias between readers and between modal age, after a Wilcoxon test. Reader 4 shows high differences to the other age readers. Reader 3 shows good agreement with other age readers, however the Wilcoxon test indicates a certain probability of bias compared with modal age.
Table 4. Inter-reader bias t and reader against modal age bias test - Wilcoxon test. (- no sign of bias (p >0.05); * possibility of bias (0.01<p<0.05); ** certainty of bias (p<0.01))
|
|
Reader 1 |
Reader 2 |
Reader 3 |
Reader 4 |
Reader 5 |
|
Reader 1 |
|
- |
- |
** |
- |
|
Reader 2 |
- |
|
- |
** |
- |
|
Reader 3 |
- |
- |
|
** |
- |
|
Reader 4 |
** |
** |
** |
|
** |
|
Reader 5 |
- |
- |
- |
** |
|
|
Modal Age |
- |
- |
* |
* |
- |
The mean length at age of the workshop sample by reader is presented in Figure 4. For ages 0, 1 and 2 all readers estimate the same length. For older ages, Reader 4 estimates higher length at age than other readers, as a result of the age underestimation previously referred to in Table 3. Some differences were observed for ages 3 to 5.
Figure 4. Mean length at age by reader based on workshop readings

Several authors have studied the effects of age-reading errors on stock assessment (Pope and Gray, 1983; Bradford, 1991; ICES, 1999; Reeves, 2001).
Different types of information structured by age such as catch at age data, mean weight at age in the stock and in the catch, proportions of mature fish by age and tuning data are very important for analytical methods of stock assessment. There are two sources of errors in these types of information: sampling errors and errors caused by age-reading. The last one could have a major influence on the results of the assessment, and thus on management advice.
In order to demonstrate the importance of correct age estimation an example (Reeves, 2001) with the Eastern Baltic Cod stock (ICES Sub-divisions 25-32) was presented by Pavel Gasyukov.
Considering two age-reading laboratories, X and Y, with different age-reading criteria, Figure 5 shows the different input data for the same stock for each laboratory and for the combined age determination.[1]
Figure 5. Stock assessment input data depending on different age-reading criteria (X and Y) and combined criteria (X&Y).

As the input data are dependent on the age-reading criteria used, the assessment results are also dependent on them. Figure 6 shows different stock parameters based on different age-readings.
Figure 6. Historical stock parameters, obtained considering different age-readings criteria (X and Y) and combined criteria (X&Y).

The differences in stock trends indicated by the three comparative assessments also have implications for the perception of any relationship between spawning stock and recruitment. Ageing errors can cause a substantial reduction in the inter-annual variability in recruitment, and this effect will tend to increase the estimates of abundance of weak year classes and reduce those of strong year classes through mis-classification of fish between year classes (Bradford, 1990).
The fishing pattern is very different in each case, as shown in Figure 7. Deviations in fishing patterns are high for young age groups because reader Y tends to allocate a younger age to a given fish than reader X.
Figure 7. Fishing pattern obtained, considering different age-reading criteria (X and Y) and combined criteria (X&Y)

Figure 8 summarizes the consequences of selecting a given level of fishing mortality relative to the current level. For each level of F, the information given is the forecast catch and the subsequent spawning biomass. Managers can select a catch such that F is below the precautionary level and result in the level of spawning stock biomass (SSB) being above the precautionary levels. However, it is useful to consider the relationship between relative fishing mortality and forecast catch. As it can be seen from Figure 8 for an increase of twice the present fishing mortality, each approach will produce different catches.
Figure 8. Short-term catch forecast corresponding to various F-multipliers considering different age-readings criteria (X and Y) and combined criteria (X&Y).

Management decisions are made on the basis of the knowledge of the current state of the stock in relation to defined reference points. Thus different Age-Length-Keys, applied to the same length catch matrix can provide a different understanding of the status of the stock and consequently different management decisions.
1. The basic characteristics taken into account in the annual rings are:
around the entire otolith body;
continuity;
thickness.
2. In the age estimation process, the position of the first annual ring should be the major point of the agreement procedure. Generally the first annual ring should have between 19 and 30 units (1mm = 20 units at magnification 16×) of measurement depending on the month of birth of the sardine.
3. In some cases it was observed that sardines of 6-11 ñm in total length caught during the year with 2-5 translucent rings had the age of 60-220 days and these rings cannot be considered as annual but only as false. These sardines will be assigned to a certain year class depending on their catch date.
4. Ring width decreases mainly in the first 2 years of life.
5. If sardine is caught during the year with an opaque zone on the otolith edge the age assigned will be equal to the number of rings observed minus one.
6. If sardine is caught in January-March with a translucent ring on the otolith edge the age assigned will be equal to the number of annual rings observed.
7. If sardine is caught in September-December with a translucent ring on the otolith edge the age assigned will be equal to the number of annual rings observed minus 1.
Figure 9. Example of age interpretation (Op - opaque; T - translucent).

Appendix IV shows otolith images from age zero to 6 that were selected as guidelines for age determination.
1. A minimum of 10 individuals from each half centimetre length by month of catch should be analysed biologically.
2. All the pairs of otoliths must be taken and mounted in plastic slides with synthetic resin (ÓEukitt)
3. The criteria adopted in this workshop must be applied to estimate the age of sardine.
4. The reliability of the age-reading should be taken into account.
5. It is preferable that two readers from each country should read the otoliths, discuss and agree upon the age-readings from their fisheries.
6. If some otoliths are in bad condition and/or the reliability of the age is low then the otolith should be rejected.
7. If the difficulties in the age interpretation using otoliths are very persistent then it would be useful to read the scales and compare the results.
8. Age-length-keys for assessment purposes should be developed by the workshop participants.
9. Every year an exchange of 50 otoliths from each country should be made among readers.
10. In some otoliths (50) from the exchange the measurements (in millimetres) of the annual rings should be taken.
11. If the results of the exchange show low precision in the age-readings a workshop should be carried out.
12. The work on daily increments should be encouraged, in order to improve the knowledge of sardine age estimation.
13. A guideline for age-readings should be prepared by the FAO /FIRM in 2002.
To the AtlantNIRO laboratory in Kaliningrad, Russian Federation, for providing very good facilities for hosting this workshop and to all participants of the Workshop for the excellent work done before, during and after this Workshop. Thanks to Cristina Morgado from IPIMAR for helping the FAO/FIRM in the preparation of the meeting, statistic analysis and of this report.
This document contains the report of the Sardine Otolith Workshop, held from 28 to 31 August 2001 in Kaliningrad, Russian Federation. The workshop was recommended by the first FAO Working Group on the Assessment of Small Pelagics off Northwest Africa to provide support to age readers. Different types of information structured by age, such as catch at age data, mean weight at age in the stock and in the catch, proportions of mature fish by age and tuning data are very important for analytical methods of stock assessment. There are two sources of errors in these types of information: sampling errors and errors caused by age-reading. The latter could have a major influence on the results of the assessment, and thus on management advice. Ageing errors can cause a substantial reduction in the interannual variability in recruitment, and this effect will tend to increase the estimates of abundance of weak year classes and reduce those of strong year classes. During the workshop, some ageing criteria were established for sardine. It was recommended that guidelines for age estimation be prepared by FAO for the important pelagic species in the region.
|
[1] The examples presented are
adapted from Reeves (2001) for Eastern Baltic Cod ICES stock (Subdivisions
25-32) |