In order to put present effort developments in SADC freshwater fisheries in a historical context, this chapter will seek to identify some of the trends in the harvesting, processing and trade of fish from the lakes we have studied. Who are the people who become fishers, how many are they and why do they choose fishing as an occupation? How and to what extent did the fisheries develop into production for commercial exchange and what have the consequences been? What is the relation between the fisheries and other economic sectors? How stable are the communities, markets and macro-economic and political circumstances that condition developments in these fisheries? Before we look into the causes behind changes in effort in more detail in the next chapter, these are some of the general questions we will address in order to get a better picture of how fishing effort has developed during the second half of the 20th century.
There are many practical and methodological problems involved in obtaining reliable catch and effort data for the SADC area at an aggregate level. According to FAOSTAT (FAO, 2000a and b), total yields in the freshwater fisheries of 12 mainland SADC countries increased from 168 000 MT in 1961 to 635 000 MT in 1997 (Figure 3.1). However, the increase was not linear but mainly took place in two periods (from 1961 to 1970 and from 1980 to 1990) with more stable periods in between.
If we look at the yields of individual countries in the same time period (1961-1997), it appears that out of the 12 countries, there are four that account for more than 90% of the total annual yields in the region: the Democratic Republic of the Congo, Malawi, the United Republic of Tanzania and Zambia.
Figure 3.1 Total annual yields in the freshwater fisheries of 12 mainland SADC states 1961-97 (in tonnes). The dotted line is the two-order polynomial trend line indicating a slight decline in the overall rate of increase.

Source: FAO, 2000a.
Table 3.1 Annual freshwater yields (average over five-year periods) by country in 12 mainland SADC countries (in tonnes).
|
Country |
1961-65 |
1966-70 |
1971-75 |
1976-80 |
1981-85 |
1986-90 |
1991-95 |
|
Angola |
5 520 |
5 960 |
6 400 |
7 100 |
7 500 |
8 000 |
6 800 |
|
Botswana |
480 |
720 |
1 180 |
1 270 |
1 420 |
1 860 |
1 960 |
|
Dem. Congo |
66 600 |
104 720 |
116 506 |
107 640 |
119 160 |
159 700 |
169 835 |
|
Lesotho |
0 |
0 |
7 |
25 |
18 |
28 |
36 |
|
Malawi |
22 120 |
35 980 |
68 114 |
67 331 |
60 786 |
77 022 |
62 819 |
|
Mozambique |
1 600 |
2 100 |
2 800 |
3 200 |
3 500 |
3 475 |
4 501 |
|
Namibia |
0 |
0 |
20 |
50 |
260 |
980 |
1 114 |
|
South Africa |
100 |
310 |
1 150 |
1 150 |
1 017 |
1 759 |
2 263 |
|
Swaziland |
0 |
0 |
0 |
45 |
82 |
106 |
118 |
|
Tanzania |
66 500 |
116 340 |
146 975 |
182 955 |
218 686 |
319 565 |
281 529 |
|
Zambia |
33 020 |
43 200 |
50 291 |
51 213 |
58 843 |
64 787 |
67 722 |
|
Zimbabwe |
1 560 |
2 000 |
3 048 |
8 051 |
16 271 |
22 025 |
20 424 |
|
Total |
197 500 |
311 330 |
396 491 |
430 030 |
487 542 |
659 308 |
619 121 |
Source: FAO, 2000a
No aggregate statistics on the species composition of the catches exist. However, it is beyond any doubt that the catch composition has changed towards an increased share of small and fast-maturing species. At present, the catching of small pelagics or other small-sized fast-maturing species at low trophic levels (i.e. low in the food chain) is becoming an increasingly important part in the fisheries of all the major lakes in the SADC. One can mention Dagaa in Lake Victoria, Kapenta in Lake Tanganyika and Lake Kariba and Chisense in Lake Mweru. These species have not always been as important as they are today in terms of employment generation and nutrition and 40 years ago few of these stocks were systematically exploited. This trend is a major feature of SADC freshwater fisheries at present (see Chapter 5).
If good yield data are difficult to obtain, reliable statistics on fishing effort are even harder to get hold of. However, some partial data sets exist that can give us some indications. George Coulter has for several years assembled long time series of the increase of fishers and fishing boats in African freshwater bodies, which are based upon data from a number of various primary and secondary sources. Supplemented by some of our own data on 14 lakes in Central and Southern Africa, his findings are presented in Table 3.2.
These data tell us at least three interesting things. First they show how fishing effort has grown: the number of fishermen has increased by approximately 160% over a period of 20 years and the number of boats has increased by about 70%. Secondly, it shows that the growth in effort seems stronger in terms of increases in people than in fishing gear (boats). Thirdly, but not least important, they demonstrate the large variations in effort development, even for water bodies situated close to each other. While Lake Mweru saw the number of fishermen increasing by 215 percent over 20 years, Bangweulu, located close by (see map), experienced a reduction of fishers in the order of 24 percent.
Table 3.2 Development in numbers of fishermen and boats from the early 1970s to 1989-92 in 14 African lakes. Yields, density and catch rates refer to the 1989-92 period. Names in bold indicate the systems included in this study.
|
Lake |
Area |
Yields late1980s |
Effort early 1970s |
Effort 1989-92 |
Percent Change |
Density |
Catch |
|||
|
Km2 |
t/year |
Fishers |
Boats |
Fishers |
Boats |
Fishers |
Boats |
Fishers/km2 |
t/km2 |
|
|
Victoria |
68 800 |
187 495 |
26 000 |
9 643 |
105 000 |
21 986 |
304 |
128 |
1.53 |
2.73 |
|
Tanganyika |
32 600 |
73 000 |
15 000 |
9 500 |
40 000 |
10 887 |
167 |
15 |
1.23 |
2.24 |
|
Malawi |
30 800 |
28 000 |
10 154 |
4 000 |
27 296 |
10 260 |
169 |
157 |
0.89 |
0.91 |
|
Bangweulu |
7 900 |
10 900 |
13 400 |
5 475 |
10 240 |
5 900 |
-24 |
8 |
1.30 |
1.38 |
|
Turkana |
7 570 |
1 500 |
1 850 |
106 |
1 500 |
141 |
-19 |
33 |
0.20 |
0.20 |
|
Kariba |
5 364 |
30 311 |
1 600 |
|
7 060 |
2 244 |
341 |
|
1.32 |
5.65 |
|
Albert |
5 270 |
28 230 |
9 600 |
2 626 |
20 442 |
3 437 |
113 |
31 |
3.88 |
5.36 |
|
Mweru* |
2 700 |
42 000 |
6 000 |
4 155 |
15 791 |
6 600 |
163 |
59 |
5.85 |
15.56 |
|
Kivu |
2 699 |
315 |
600 |
500 |
2 868 |
981 |
378 |
96 |
1.06 |
0.12 |
|
Edward |
2 300 |
16 031 |
5 700 |
400 |
5 443 |
1 134 |
-5 |
184 |
2.37 |
6.97 |
|
Chilwa |
750 |
15 000 |
1 740 |
700 |
3 485 |
2 030 |
100 |
190 |
4.65 |
20.00 |
|
Malombe |
390 |
7 500 |
900 |
500 |
2 371 |
|
163 |
|
6.08 |
19.23 |
|
Itezhi-tezhi |
370 |
1 200 |
290 |
253 |
1 250 |
|
331 |
|
3.38 |
3.24 |
|
Chiuta |
113 |
1 400 |
193 |
|
350 |
|
81 |
|
3.10 |
12.39 |
|
Total/mean |
167 626 |
442 882 |
93 027 |
37 858 |
243 096 |
65 600 |
161 |
73 |
1.45 |
2.64 |
Sources: Bayley, 1988; Bossche and Bernascek, 1990; Coulter, unpublished data; Cowx and Kapassa, 1995; Greboval et al., 1994; Kolding, 1989; Kolding et al., 1996; Mbewe, 2000; van Zwieten et al., 1995.
* Only covers the Zambian part of the lake.
One should be aware though of the many pitfalls in the interpretation of aggregate effort data. Firstly, there is the problem of comparing data that have been collected for different purposes and with different methods. Secondly, increases in the number of fishermen and boats cannot be uncritically interpreted as increases in fishing effort on the same resources. Thirdly, at the country level, data generally does not show when new or previously unused water reservoirs are being included (e.g. man-made lakes such as Lake Kariba and Cabora Bassa). Finally, aggregate effort data do not show if fishing in the same water bodies has expanded and started targeting a broader range of species[2] (see Chapter 5). As mentioned above, most fisheries now include a range of previously untouched stocks, but even when taking these modifying factors into account, there can be little doubt that fishing effort - also on the already exploited stocks - has increased substantially in SADC freshwaters. As will be shown below, our own research on the development in specific lakes and water bodies also supports this view.
However, aggregate data may also sometimes reveal correlations, which no one is aware of and which may prove significant for understanding effort dynamics. The data from Table 3.2 show a close relationship between the density of fishers and the average catch rates in the different water bodies (Figure 3.2). Although effort and catch are not independent figures (see Chapter 2), the relationship, taken across different water bodies with few examples of declining yields, may indicate that the observed increase in effort on the whole appears sustainable. In addition Figure 3.2 also reveals a remarkably constant average yield of about 3 MT per fisher per year, irrespective of water body. We can think of several hypothetical reasons for why such constant average yields emerge, but a number of practical reasons made it impossible to include the issue in our research. It should also be noted that three of the case studies in this report (Malombe, Chilwa and Mweru) have the highest observed relative effort and yields within the 14 different lakes.
Figure 3.2 Catch rates (annual catch/km2) plotted versus effort density (#fishers/km2) in 14 African lakes. The trend line indicates a relatively constant average yield of about 3 MT per fisher per year irrespective of water body and country. Data and sources: see Table 3.2.

In order to get a better understanding of how trends in particular lakes fit with the overall picture of effort development, we have assembled and examined effort data in the water bodies selected in this study[3]. This examination supports the great spatial variations shown in Table 3.2. In Lake Mweru, effort has steadily increased since the 1950s and seems to continue to do so (Zwieten et al., 2003b), while in the Bangweulu Swamps effort has probably remained fairly stable over a very long time (Kolding et al., 2003b). A more complex pattern also emerges showing that fishing effort may vary considerably over time. In the Zambian part of Lake Kariba, fishing effort has varied considerably since the creation of the lake in the late 1950s. Until 1963, fishing effort increased very fast, but then it fell sharply for some years before it slowly began to grow again. In the 1970s, the fishing effort dropped again only to start increasing considerably in the 1980s. In the 1990s, effort started falling again, and on the Zambian side today it is probably not much higher than it was just after the lake was filled.
If we take a look at Lake Malombe, fishing effort increased steadily from the 1950s onwards, but around 1990 it stabilized and in recent years it has decreased quite drastically (Zwieten et al., 2003a). Lakes such as Chilwa (Zwieten and Njaya, 2003), Chiuta and Mweru Wa Ntipa are also subject to considerable fluctuations in effort. In order to provide a better understanding of these past and present trends, we will describe the historical development of effort in three of the lakes: Lake Mweru, Lake Kariba and Lake Malombe.
Until the development of copper mines in Northern Rhodesia (todays Zambia) and Belgian Congo (todays Democratic Republic of the Congo) in the 1920s and 1930s, fishing in Lake Mweru and in the Luapula River was an integrated part of the rural economy in the Luapula Valley. The British and Belgian colonial powers had quite different interests and procedures in their development of the fisheries on the two lakeshores. However, in both countries local African leaders were given some kind of authority to control access to the resources of the fisheries. Fishing effort at that time largely fluctuated according to the number of people engaged in fishing and these fluctuations reflected the periodical needs of the local population to supplement the production of staple products, such as millet and cassava. As David Gordon puts it in his case study: The fishery was a lifesaver in times of trouble. When warfare interrupted stable farming, the river and the lake provided some sustenance (Gordon, 2003).
When the copper mining industry developed in both countries, the fisheries and fish as a commodity were to take on a new role. It became crucial for the industrial entrepreneurs, and for the colonial authorities to assure that fish could provide cheap, protein-rich food for the labour force in the mines. The companies built roads to connect Lake Mweru to the mining cities and began to contract traders, mainly of foreign but also of local origin, to supply their workers with fish. This increased demand for fish resulted in a considerable growth in numbers of fishermen on both sides of the lake. The bulk of these fishermen seem to have been people already living in the area. Even if many of the richer traders invested in ice plants and means of transport, they did not initially participate in the harvesting of fish. On the Northern Rhodesian side, the British maintained that the fishery should be reserved for the Africans, while the Belgians in Congo initially had less clear policies. However, when World War II broke out and food insecurity increased, the Belgians started to promote European investments in production in order to get as much fish out of the lake as possible. The Belgian mining company also supported hunting campaigns to eradicate crocodiles that had made large-scale investments in fishing equipment difficult. On the Congolese side, expatriates (mainly Greeks) started investing in larger vessels and in large bottom set-nets in the spawning areas of the Mpumbu (Labeo altivelis). In the years just after the war, the external investments were considerable and resulted in a collapse of the Mpumbu fishery within few years. In 1950 the fishery and the industrial fleet thus came to an end. But the over-exploitation of Mpumbu did not affect the fisheries of other species very much. Moreover, eradication (or at least a substantial reduction) of crocodiles supported the local fishery, which during this period became more and more concentrated on the catching of Pale (Oreochromis mweruensis) and other cichlids with gillnets. The demand for fish in the mining district remained high and the fishery continued to grow through a steady increase of new fishermen throughout the 1950s and early 1960s.
As a result of Zambias independence in the 1960s, the copper industry was nationalized. Shortly after, in the early 1970s, copper prices on the world market fell drastically, and this led to considerable recessions in the copper mining towns and markets. The fisheries of Lake Mweru were affected in various ways. On one hand, investors with capital became less interested in the fisheries: ice plants were closed down, and the marketing of fish was increasingly left in the hands of small-scale traders of dried fish. The fishery thus became a lifesaver again, and we must assume that the reduced levels of investment led to a certain technological recession.
The reduced opportunities in the industrial sector also had another very different effect. As a result of the crisis in the copper industry, numerous laid-off mine workers, as well as many other people who had earned a living in the urban service economy, returned to the rural areas seeking access to resources where they could find them (Ferguson, 1999). Many of these men and women came from the Copperbelt to Lake Mweru to look for opportunities in the fishery. Since the catch rates in the gillnet fishery had shown very clear decreasing trends throughout the 1970s, many of the new entrants looked for opportunities in a different niche - the Chisense (Microthrissa moeruensis) fishery and trade which emerged as a more commercial enterprise in the early 1980s. The new entrants, some of whom had been able to accumulate funds in their previous jobs, apparently found it easier to experiment in a fishery targeting new stocks and utilizing new technologies than to enter into direct competition with the existing fishermen. Many women found a new opportunity in trade of the small Chisense, which was a product that suited the increasingly poor urban consumer market very well. Some of these traders were also able to invest in fishing gear and employ men (often their sons) to fish Chisense for them (Gordon, 2003). Although the Chisense fishery never came to dominate on Lake Mweru, it came to play an important role in the 1980s and 1990s and facilitated the continued growth of effort in general and numbers of fishermen in particular. The gillnet fishery for Pale and other species remained the dominant catch method and continued to grow substantially both in terms of fishermen and nets (Figure 3.3).
In the 1990s, the Zambian government implemented harsh programmes of structural adjustment, but the urban economy in the Copperbelt continued to deteriorate. The fisheries of Lake Mweru thus continued to provide an option for a continuing flow of new entrants in need of a livelihood. Frame survey data from this period indicate a very high turnover of people. While the number of fishermen between 1992 and 1997 is reported to have increased by about 2 300 individuals, about 5 400 people interviewed report that they started fishing in this period. This means that 3 100 fishermen must have left the fishery during the same period (Zwieten et al., 2003b). Despite the steady and long-lasting increase in the gillnet fishery, the 1990s experienced an increase in the catch rates of tilapia at the same time as the Chisense fishery thrived. The larger specimen of tilapia had been only moderately targeted for many years due to a continuous reduction in the mesh sizes of the gillnets (Ibid.).
Some renewed interest by processing and distribution companies in investing in ice plants and marketing facilities can be noticed in the 1990s. Currently the investors are largely Zambian (though the largest investor is the son of the most powerful entrepreneur in the fishery on the Congolese side). These companies main markets are the Copperbelt and Lusaka, as well as the much more lucrative but risky markets in the Democratic Republic of the Congo where fish can be exchanged for diamonds (Gordon, 2003). Some degree of increased investments has resulted in credit-supply contracts between processing companies and fishermen. However, it is worth noticing that the increased growth in production in the 1990s has mainly been a result of increased numbers of fishermen joining the fishery, rather than a more efficient technological level of production, as was the case in the 1950s.
Figure 3.3 Effort development: Fishermen, boats and gear in Lake Mweru.

Source: Zwieten et al., 2003b.
Since Lake Kariba is a man-made lake completed in 1958, the history of its fisheries is a recent one. Unlike other swamp and river systems in Zambia, e.g. the Kafue plains or the Bangweulu swamps where commercial fisheries developed before independence, fisheries in the Zambezi River remained marginal and at a subsistence level until the creation of the lake. In the late 1950s the colonial authorities, including the Gwembe Valley Native Authority, prepared for a major fishery initiative in the lake: fishermen were trained, sales points established and equipment and fishing gear imported. A European company attempted to get access to the fishery, and they went as far as to invest in an ice plant. But due to the African nationalist political climate during the years when Zambia was on the verge of achieving independence, the Europeans did not get fishing concessions. Instead, a simple gillnet fishery was reserved for the local Tonga population.
As a result of the high productivity during the filling phase of the lake, many people entered the new fishery. In the early 1960s the number of fishermen had already reached about 2 500. However, after the lake had reached its maximum level in 1963 and catch rates started to decline, the number of fishermen fell almost as quickly as it had increased in the years before (Figure 3.4). Most of the young Tonga men who had opted for fishing five or six years earlier now decided to return to the type of agro-pastoralism they had practised before, or to various forms of work migration. It was not until the late 1960s that the number of fishermen started to grow again, and this time at a more modest speed (see for example, Colson, 1971 and Scudder, 1965).
Figure 3.4 Effort development: Fishermen and nets in the Zambian inshore fisheries Lake Kariba.

Source: Kolding et al., 2003a.
Political independence in 1964 had led to the abolition of the Native Authority institutions, and this meant the end of the exclusive fishing rights that the Tonga had acquired in the 1950s. Slowly, foreigners - particularly from the northern areas of Zambia - started to dominate the fisheries on the lake. This process went on undisturbed until 1974 when the Zimbabwean war of independence made it very difficult to live and work along the northern shores of Lake Kariba. The fishery was formally closed by the Zambian authorities in 1975 and was only reopened in 1980 after the termination of the war the preceding year. Poor infrastructure, which deteriorated dramatically during the Zimbabwean liberation war, and a similar macro-economic context as described above for Lake Mweru, made marketing of fish from Lake Kariba cumbersome. Fish traders did not make enough profit to accumulate capital to invest in fisheries, and the area - due to its isolation - was unattractive for investors.
During the 1980s, the number of fishermen in Lake Kariba increased dramatically. By 1989 it was almost back to 2 500 (where it had been in 1963) while the number of nets had become almost four times higher compared with the initial period (see Figure 3.4). Except for the increased number of nets and a tendency towards smaller meshes (Scholtz et al. 1997), the technology of the inshore fisheries did not change much. And as before the war, it continued to be mainly non-Tongas from other parts of Zambia who fished the lake. Surveys undertaken in 1987 show that 60-70% of the fishermen were of ethnic origins other than Tonga (Walters, 1988). Although the technology remained very much the same, the new drive of the 1980s also led to a substantially higher number of nets per fishermen, which has since this time fluctuated between six and ten nets (Jul-Larsen, 2002).
However, 1980 was also the year when the Kapenta fishery started. Kapenta from Lake Tanganyika had initially been stocked into the lake in 1967 and 1969. It rapidly spread all over the lake and in 1974 a fishery was opened on the Zimbabwean side, but for security reasons it was not possible to open it in Zambia until the war of liberation ended. The Kapenta fishery was established as a much more capital-intensive production system compared to the inshore gillnet production. It requires rigs, deep-going dip-nets, electric light and winches and thus demands capital investments and knowledge about modern institutions and technologies far beyond the means of the average inshore fisherman. As in Zimbabwe, investments in the Kapenta fishery mainly came from white (Zambian, Zimbabwean or South African) entrepreneurs. The first Kapenta companies started operating in 1981, and catch rates were high. Kapenta is a small pelagic species, which is highly suitable as a commodity in poor segments of the urban markets. In order to reach these markets, the Kapenta operators relied on traders (mainly from Lusaka and the Copperbelt) for the distribution of bags of dried Kapenta (Overå, 2003). Kapenta trade thus became another welcome employment opportunity under deteriorating macro-economic circumstances.
In the 1990s, effort remained relatively stable in the Kapenta fisheries. It could have been expected that the operators, who generally have far better access to capital than their counterparts in the inshore fisheries, would try to increase their profits through technology development and increased investments. Many of them have access to credit through their enterprises in other sectors of the economy, through access to bank loans or through loans from business partners abroad. Interestingly, however, whereas the Kapenta operators on the Zimbabwean side have continuously improved their harvesting techniques (larger rigs, mechanization of the hauling of nets, hydro-acoustic equipment, etc.), the operators on the Zambian side of Lake Kariba have largely continued to operate on the same technological level as when they started 20 years ago. In order to balance their costs, they tend to keep their capital investments as low as possible. For example, they claim that the cost of labour (including theft of Kapenta by traders in collaboration with the workers) is so high, and the market price of Kapenta so fluctuating and limited, that increased capital investments are not really profitable.
In the inshore gillnet fishery, fishing effort decreased in the latter half of the 1990s. After stabilizing in the early 1990s, the number of fishermen gradually declined, and in 1999 it was reported that the number was only marginally higher than when the fishery reopened in 1980. A situation similar to that experienced in Lake Mweru, with a high mobility of people in and out of the sector, thus seems to be the case in the fisheries of Lake Kariba as well. While the total number of fishermen had dropped from approximately 2 200 in 1990 to 1 200 in 1998, a survey undertaken in 1998 reports that as many as 500 fishermen started to fish during the same period. In other words, at the same time as new people became fishermen, 1 500 fishermen left the Kariba inshore fishery during the 1990s. At the same time, an increasing number of local Tonga returned to fishing. Hence, according to a frame survey from 1995, the share of non-locals in the fishery had been reduced to about 55% of the total (Chitembure, 1996). In addition, there is good reason to believe that the Tonga were more involved in the fisheries in the late 1990s than the 1995 frame survey suggests (Jul-Larsen, 2002). Therefore, at the same time as the number of foreign fishermen has decreased, for the local valley population the importance of the inshore fishery, often in combination with agriculture, has increased.
In the South East arm of Lake Malawi and in Lake Malombe, fishing used to be an occupation that was combined with agriculture. In 1915 it was reported that fishing effort started to increase because of the need for fish to feed the South African troops in this area during World War I. More important for the commercialization of the fisheries, was an increased demand for fish in the growing urban markets in Blantyre and Zomba as well as among workers on the tea plantations in the Shire Highlands in southern Malawi. In order to exploit these emerging markets, in the late 1920s and 1930s expatriate entrepreneurs from Europe and Asia began to invest - first in fish trade and later in fisheries - and this resulted in a substantial growth in fishing effort in the South East arm of Lake Malawi. With capital generated in various businesses, Indian and Greek traders invested in lorries and transport, and began to purchase fish from African fishermen. In addition to supplying the markets in southern Malawi some of the fish was also exported to Southern Rhodesia (Chirwa, 1996). After the 1930s, these entrepreneurs started to invest in their own fishery with large motorized vessels in the South East arm They also introduced new fishing gear like nylon nets, beach seines and trawls, which to some extent were to be taken up by the local population (Hara and Jul-Larsen, 2003). A growing number of African fishermen thus made a living by fishing for the growing urban markets, in addition to a group of expatriates with far more efficient gear, who also participated. Unlike the situation in Lake Kariba, the two fisheries on the South East arm competed for the same resources. The expatriate fishermen did not operate in Lake Malombe[5], but the African fishermen made sure that the new gear introduced in Lake Malawi was also introduced in Lake Malombe. On both lakes Africans and expatriates participated in fish trade although it was completely dominated by the latter group.
Many conflicts arose out of this situation, and the African leadership at the local level began to argue in favour of the right of African fishermen to own the natural resources. The British colonial authorities were also concerned about the ecological effects of the modern gear of the expatriates, and a number of restrictions were put on the expatriates while African fishermen were largely left to fish without too many restrictions. In the 1950s, a new group of African owners emerged. Instead of the traditional canoes, the new owners started to invest in planked vessels with engines and seines targeting the Chambo (Oreochromis spp.). They employed crews to fish for them and often operated both in Lakes Malombe and Lake Malawi. On the South East arm in particular, the number of small African entrepreneurs increased during the 1960s and the 1970s, but already in 1962, 30 of these African boat owners were registered to fish in Lake Malombe. The number of owners increased steadily throughout the 1960s and 1970s, and was over 200 by the early 1980s (Figure 3.5). On Lake Malawi this process was paralleled by a decline in the industrial fleet operated by expatriates. Of the several industrial units operating in the 1940s, only three remained in 1955. In the 1990s, only one company was operating in the South East arm.
Where did the capital that facilitated the investments among the African fishermen come from, and who were the investors? Though a limited number of new owners were initially supported with government loans, most of the capital that was pooled into the fisheries on both lakes came from work performed in other economic sectors (like shops or transport business) and particularly from remittances sent by Malawi migrant labourers in South Africa and Southern Rhodesia. Most of the new owners were migrants who returned after many years of working in the mines. This is how the Fisheries Officer in the area characterized the new owners in a Government hearing in 1956: Since 1950 there have been a few Africans who have attempted to set up fisheries on a real business basis. (...) not one is originally a fisherman himself. They are all African businessmen (...) and have spent most of their lives in South Africa or Southern Rhodesia and have come back to set up business[6]. However, even if many of the returned labour migrants invested in fisheries for the first time, a closer look at their often varied backgrounds, reveals that many of them actually had a background in fisheries and long experience from the fisheries of Lake Malawi and Lake Malombe (Hara and Jul-Larsen, 2003).
Because of the influx of external capital, the number of fishermen at Lake Malombe remained fairly stable throughout the 1970s and 1980s, despite a noticeable change towards more effective fishing gear (see Figure 3.5). This shift towards more expensive fishing gear meant that the entry costs of the new fishery increased, and this implied that it became increasingly difficult for fishermen without capital to remain in the fishery. For these people, the only solution was to find employment among the crew of the owners. The increased input of capital and technology gave jobs to a rising number of workers, and to fish traders, who could participate in a marketing system where entry costs remained low: the investors in the fisheries seldom extended their activities to the marketing chain and they have never had any particular control over this activity.
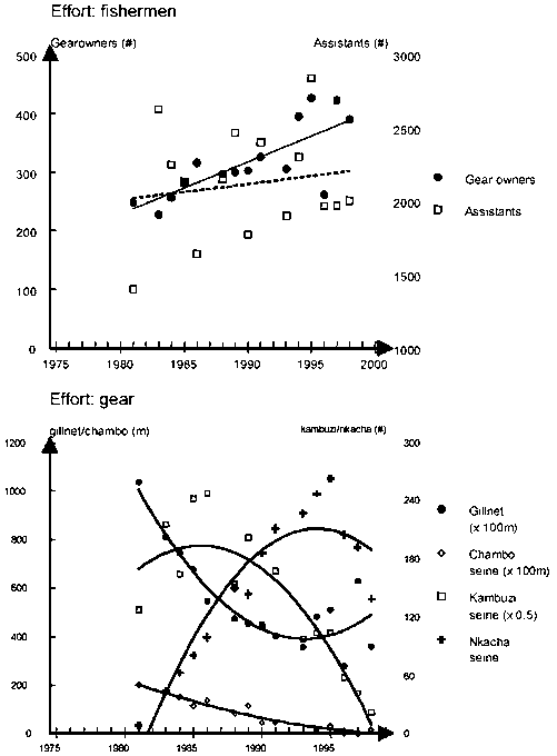
In this situation, the number of owners stabilized in the 1980s, but their investments in boats and seines increased. By 1975, the catch rates of Chambo in Lake Malombe had been severely reduced. The boat owners managed to remain in the fishery by shifting their focus towards other species: the small-sized Haplochromine cichlids. This necessitated a change in fishing technology, first towards new beach seines (Kambuzi seines) in the 1970s, and later in the 1980s towards open water seines (Nkacha seines) (Figure 3.5).
During the 1990s, fishing effort in Lake Malombe went into a phase of recession. One of the explanations is certainly the collapse of the Chambo in the late 1980s and the reduced economic possibilities that this collapse entailed. Another important limiting factor for the maintenance of a capital-intensive fishery in Lake Malombe, was that labour migration to Zimbabwe and South Africa gradually came to an end when the mining sector in these countries entered into crises in the 1980s and the main source of capital for investment in Lake Malombe fisheries dried up. In combination with generally hard times in most other sectors, especially in the 1990s when the Malawian economy was liberalized and restructured, other sources of capital were also meagre.
Figure 3.5 Effort development: number of fishermen and gear in Lake Malombe.

Source: Zwieten and Njaya, 2003.
The above descriptions of effort development in three lakes serve to illustrate the considerable variability in the growth of fishing effort that exists in the SADC area. This variability can be observed both geographically and historically. With regards to geographical variations, one lake can experience strong growth in fishing effort while others do not experience much growth at all, such as on the Zambian side of Lake Kariba where most of the long-term growth is linked to the introduction of the Kapenta fishery. Effort development on the Zimbabwean side of Lake Kariba shows a very similar pattern to the one just shown for the Zambian part (Kolding et al., 2003a). Differences in growth trends between lakes often seem to emerge despite clear similarities in the ecological and structural factors conditioning the fisheries. With regards to variability over time, one can observe that whereas one period may be characterized by strong acceleration in the growth of effort, other periods are calmer and may even experience reductions. We saw this in the Zambian part of Lake Kariba as well as in Lake Malombe, but the same is also to some extent the case in Lake Chilwa (see Chapter 5). Finally, the variability may be expressed in a combination of the two types of differences: increased growth in one water body seldom seems to take place during the same period of time as in another water body.
The cases thus serve to illustrate how problematic it is to consider growth in fishing effort as empirically inevitable. They remind us of the existence of multitudes of natural and social factors that in various ways and to various degrees influence the millions and millions of individual micro-decisions taken daily by fishermen about if, how, when and where to fish, and which on the aggregate level constitute the changes in fishing effort. Sometimes, these factors may affect the fishing effort in radically different ways, even when demographic and economic conditions seem to remain fairly stable, as is the case in the shift from high growth in the 1980s to stabilization and regression in the 1990s in the Zambian inshore fisheries of Lake Kariba. Assumptions about effort development based on common property theory seem therefore to be of limited help in interpreting fisheries development in the SADC freshwater bodies.
However, despite the considerable empirical variations, certain aggregated trends in the effort development can be seen when we introduce the distinction between population- and investment-driven growth in fishing effort. This enhances our ability to discover under which circumstances the theory is of limited empirical interest and it also helps us to formulate the right questions about why the assumptions do not apply (Brox, 1990). Although most of the fisheries in question have experienced elements of both types of growth, the population-driven growth has been and still remains by far the dominant feature. In Lakes Chilwa, Chiuta and Mweru Wa Ntipa, as well as in the main rivers and floodplains like Bangweulu and Okavango, fluctuations in fishing effort over the last 50 years have been almost exclusively related to the number of harvesters, whereas very little has been caused by more efficient technology or fishermens accumulation of gear. Fishing methods, species targeted, volume of gear per unit and the organization of production have been relatively stable over time, even if they may have fluctuated seasonally or periodically according to changes in the natural environment. Both Figures 3.2 and 3.3 illustrate this and demonstrate high stability in types of gear over time and a strong correlation between numbers of gear and numbers of fishermen.
By contrast, investment-driven growth does not seem to have played an equally important role in SADC freshwater fisheries development. In principle, we may distinguish between two types of investment-driven changes: either investment derives from new groups of people from outside with more efficient types of gear who manage to establish themselves as harvesters in an area, or the local fishers themselves manage to accumulate and develop their existing gear. In the SADC area, there has been a general interest among certain groups of foreigners in investing in many freshwater fisheries. Especially in the big lakes, but also in many of the intermediate and smaller ones, we have seen that expatriate entrepreneurs at different points in time have been ready to invest in various types of mechanized fisheries. Before the 1960s, investors were often of southern European or Asian origin, but in later years there have also been many South Africans, as well as some initiation of investments by African entrepreneurs. In general however, most of these investment-driven changes have not been very successful. Even if some of the attempts have lasted for many decades, the great majority of them have failed. In Lake Mweru for example, the mechanized fishery of the foreigners that emerged in the 1940s and which eradicated the Mpumbu has been non-existent for many decades. In Lake Malawi only one mechanized fishing company of foreign origin has survived and in Lake Tanganyika it is only along the very short Zambian shoreline at the southern end that the industrial fishery which used to operate all around the lake, has survived (Magnet et al., 2000). In Zambia the mechanized Kapenta fishery on Lake Kariba survives, although it is not expanding at present and in recent years it has even shown signs of decline (Overå, 2003).
Investment-driven growth initiated from inside the fishing communities is even more difficult to observe. From a historical perspective, the most important examples may be the switch from the use of locally produced fishing equipment to the utilization of manufactured fishing gear. According to studies undertaken in other African freshwater fisheries, this change led to a considerable increase in fishing effort because more time (previously used for production of gear) could be allocated to production purposes (Quensiere, 1994). This change, which in most cases took place in the 1940s and 1950s, was general and has affected virtually all fishermen. However, it does not mean that locally produced gear has disappeared: a range of various home-made gear is still effectively utilized. These gears may be used in combination with gillnets or seines, which have become common means of production among the great majority of fishermen. However, the shift towards manufactured gear has not resulted in a continued process towards appropriation by particular individuals or groups of increasingly effective catch equipment. Only in the big lakes do we observe the slight emergence of groups of fishers where commercial production has visibly started to influence social organization and behaviour in some of the same ways as the West African coastal canoe fishery has become so famous for (Chauveau and Jul-Larsen, 2000). Only in Lake Malombe, which can be considered an extension of Lake Malawi and where fishermen often fish in both lakes, have we seen investment-driven changes in fishing effort where the investments have derived from the local population. But, as Fisheries Officer A.D. Sanson observed in 1956 (see previous section), the capital had not been generated locally but was accumulated while abroad on work migrations.
Differentiating between population- and investment-driven changes in effort proves to be more complicated than it first appears. Technological change towards more effective gear is defined by Brox as an expression of vertical (or investment-driven) growth of effort (1990: 233). In the case of Lake Mweru we observed different processes of technological change, but to classify these changes as investment-driven may be too simplistic. Gordon (2002) argues that the technological changes observed in the 1950s, when foreign actors invested heavily in fishing technology as a response to the emergence of new markets for fish in the Copperbelt, undoubtedly must be considered as investment-driven changes. But the new technologies due to the introduction of Chisense fishing in the late 1970s and in the 1980s were a different kind of process. According to Gordon, these technological changes must be mainly considered as responses to diminishing catches of certain species, which in turn were caused by an increase in the number of fishers. Even if the new technologies to some extent implied a minor increase in financial investments, they were not introduced as a result of changes in the investment patterns among the fishermen. The changes were, according to Gordon, necessary simply in order to be able to remain a fisherman, and did not result in an increased efficiency of fish production per se. He therefore concludes that even if this type of growth in effort often results in technological changes, the changes must mainly be classified as horizontal or population-driven changes.
Gordons interpretation also has implications for the interpretation of the technological development in Lake Malombe. There, the introduction of Chambo seines in the 1950s and 1960s was clearly driven by changes in investment patterns as a result of the return of the international work migrants. This was also the case with individual accumulation of various types of fishing gear and other technological changes (e.g. introduction of planked boats and outboard engines) up till the beginning of the 1990s. There have, however, been other technological changes in the Lake Malombe fisheries that could be considered responses to a reduced availability of certain species (in this case Kambuzi). In that respect there is little difference between the replacement of gear targeting Chambo with gear targeting Kambuzi in Lake Malombe (Kambuzi seines and Nkacha nets). These examples of technological changes would thus, by Gordons interpretation, be regarded as population-driven changes of effort, rather than investment-driven technological expansion.
With regard to Gordons argument, some empirical questions may be raised: firstly the fact that the Chisense fishery has never substituted, but rather has supplemented the gillnet fishery (Figure 3.3). Furthermore, the figure also shows how the Chisense seines have never become as numerically important as gillnets. The empirical side of Gordons argument is therefore not without problems, but in general terms we think it remains valid: technological change is not necessarily an expression of investment-driven changes in effort. Fisheries development in the area of this study is full of examples of local technological improvements that cannot be defined as investment-driven.
Nevertheless, we will stick to Broxs definition and maintain that most technological changes that imply significant changes in selectivity and effectiveness (see Chapter 5) - which until now have been relatively rare in SADC freshwater bodies - must be defined investment-driven. Except for some cases of foreign investment (which have often failed) and the introduction of manufactured gear, there are hardly any examples in our data where fishing effort has developed due to investment-driven growth. The obvious exception is Lake Malombe where much of the technological changes and the accumulation of gear among African fishermen after 1950 can only be understood as investment-driven changes. Lake Malombe is thus a case where the investment-driven changes emerge as a combination of local and foreign inputs in the sense that many of the investors were insiders from the Malombe area, but they derived their means of investment from other economic sectors and geographical areas. Similar processes of investment-driven growth are also observed in the other great Eastern African lakes. The rapid development of an export-oriented Nile Perch business in Lake Victoria in the 1990s happened as a result of big investments in processing technology, mainly by wealthy segments in the bordering states (Jansen, 1997; Abila and Jansen, 1997). Although most of the immediate investments were channelled into processing, they also entailed investment-driven growth of fishing effort (Mbuga et al., 1998). However, as the evidence from our case studies of investment-driven growth has illustrated, it is still too early to know to what extent the changes in Lake Victoria will be long-lasting. On Lake Tanganyika we have seen a less dramatic type of investment-driven growth. Not unlike what has happened in the West African marine fisheries (Chaboud and Charles-Dominique, 1991), a part of the small-scale fishery on Lake Tanganyika changed into a more dynamic and more capital-intensive type of production based on lift nets in the 1970s (Coenen, 1994; Paffen and Lyimo, 1996). As in the case of West Africa (Haakonsen, 1992) it seems as if this more capital-intensive artisanal fishery has been able to a large extent to out-compete the industrial fisheries that have been established there since in the 1940s.
To summarize this discussion, one may say that at an overall level population-driven growth in effort has been far more predominant in SADC freshwaters over the last 50 years than investment-driven growth. Among the water bodies included in this study, Lake Malombe is the only case where investment-driven changes in fishing effort seem to have been the dominating trend; in the others it is the population-driven changes that constitute the most important element in effort dynamics. The fisheries in this region thus remain technologically simple and accumulation of gear within the units is limited. Interestingly, this situation is very similar to what Brox argues to have been the case in the northern Norwegian fisheries until the 1930s.
Literature on fisheries management rarely distinguishes between population- and investment-driven growth in fishing effort. One reason for this omission may be that in principle, one has tended to consider the biological and economic effects to be the same (for the fish stocks), independent of whether the growth is caused by population increase or investments. Nevertheless, there are some scholars who have addressed this issue. During the last decade, Daniel Pauly is one of the most influential contributors who indirectly distinguish between the causes for change in effort in his analysis. Through concepts like Malthusian overfishing and fisheries as a last resort Pauly (1994; 1997) argues that even if the production methods in many small-scale fisheries hardly change (i.e. are only modestly subject to investment-driven changes), an uncontrolled entry by poor people who have been marginalized from other economic sectors - in particular from agriculture - will lead to human overpopulation and to overexploitation of the biological resources. This last resort situation resulting in a heavy influx and concentration of people from other occupations in the fisheries is, according to Pauly, caused by peoples loss of access to other vital resources (such as land or animals). They simply have no alternative means of livelihoods: ... the most worrisome development within the small-scale fisheries of tropical developing countries in Asia, Africa and Latin America is the entry of non-traditional fishers into the these fisheries .... In all cases, these people enter fisheries because they have been forced out of their traditional occupations, because there is excessive pressure for land, or because lack of access to grazing range has marginalised livestock production in inland areas (Pauly 1997:42). Pauly also shows that the distinction between population-driven and investment-driven growth in effort becomes important when we want to deal with remedies and solutions to the problems: ... the concept [Malthusian overfishing] was developed, and the term coined, to stress that coastal systems cannot continue to serve as a convenient dump for excess labour and produce ever increasing or even sustained amount of goods and services (1994: 117). According to this view, poor peoples access to the resources must be controlled in order to prevent them from causing an ecological and economic tragedy.
We have already shown that the development in the SADC freshwater bodies supports Paulys emphasis on the importance of population-driven growth of fishing effort. However, it becomes more complicated when we investigate the assumption of fisheries as a last resort. Pauly insists on a high demographic mobility in fisheries, but in his analysis this mobility mainly goes in one direction: into the fisheries. He assumes (at least implicitly) that because of the loss of access to vital resources in other sectors, a fisher tends to remain a fisher once he has become one. For Pauly, small-scale fishing in the developing countries thus represents an occupation of no return. This interpretation is difficult to substantiate in the case of SADC freshwater bodies. In our studies, we have observed very few cases of populations that may be called specialized fishers or fishing communities. Rather, the producers combine fishing with other occupations - in most cases with agriculture, but also with other activities considered as interesting income-generating opportunities. In this regard, fishermen in the SADC region are not different from African small-scale fishermen and farmers in general (Chauveau and Jul-Larsen, 2000): they try, as much as they can, to diversify opportunities and risks between many economic activities. Indeed, the majority of the fishers in this study combine fishing in parallel with other economic activities - simultaneously, seasonally, or sequentially.
Our studies emphasize the importance of access to land, even for the fishers. When the non-Tonga immigrant fishers on the Zambian side of Lake Kariba experience difficulties in combining fishing with agriculture and/or animal husbandry due to problems of access to land (see Box 4.1), this causes severe problems. Our surveys show that many of them are able to practise other occupations (like petty trade and various artisanal activities) in periods of reduced productivity in fisheries (Jul-Larsen, 2002), but land always remains the most important asset. Our studies also expose the way in which immigrants in the long run are slowly able to overcome the problems of access to land. Through marriage relations and other types of alliances (e.g. foster children), by pushing for burial grounds for their dead, and through the management of witchcraft allegations, and so on, immigrant fishers acquire access to land and other resources that enable them to diversify their sources of income beyond the fisheries. In the case of Lake Kariba, as in the SADC region and in the rural sub-Saharan Africa in general, it is therefore still very uncommon to observe fishermen being completely deprived of land - unlike what may be the case in other parts of the world[7].
The mobility between livelihood sectors is not only seen in the extent to which people combine and pursue parallel occupations. It is also expressed in peoples shifting in their main economic activities over time. For example, our Lake Kariba survey shows that more than 70% (out of 426 fishermen) explain that they had other occupations before they started fishing on Lake Kariba (Jul-Larsen, 2002). Frame surveys in Lake Mweru show similar figures (Zwieten et al., 2003b). As these fisheries are dominated by simple and capital-extensive technologies, entry fees are low, and this facilitates the mobility of people into the fisheries. Also in terms of knowledge and organization, the simple level of the technologies favours easy entry for those who wish. This means that in the case of Lake Kariba, practically anyone can become an economically independent inshore fisher within a few years. From the last resort perspective, the danger of overpopulation and overexploitation is inevitable.
However, according to our observations, people are just as likely to leave the fisheries as they are to enter it. In the case of Lake Mweru we saw (see sub-section with same name, earlier in this chapter) how about 3 000 fishermen left the fisheries between 1992 and 1997, which at the same time was a period characterized by significant net growth in the number of fishermen. In Lake Kariba, there have been two periods (since the creation of the lake) of substantial reduction in fishing effort; the years immediately after 1963 and in the 1990s. Our surveys also show that, during the 1990s, more people left the fisheries compared to the net reduction in fishing effort. Our quantitative data only indicate that people have left a particular fishery and not that they have left fishery as an occupation. This is due to the general difficulty in providing exact data on peoples departures from the sector, since this would require extensive collection of data in places outside the typical fisheries setting (the boat, the landing site, the markets or the local village), and it is often difficult to locate where to look for such data. However, a range of life stories and interviews with family members still remaining in the fisheries in all of our study areas, indicate that people leave the fisheries as easily as they join them and that opportunities are thought of and actively sought outside as much as inside the sector. The causes of and the mechanisms behind this mobility are some of the issues we will look at in Chapter 4. However, before ending this chapter we will briefly consider to what extent central fisheries management practices in the region have influenced the trends in fishing effort just described.
To what extent has the effort development outlined in this chapter been influenced by central management practices? Conservation of natural resources already has a long history in Southern Africa. Explicit natural resources management emerged in the first part of the nineteenth century as a consequence of general colonial policies, and an extensive literature on the experiences of this began to appear in the late 1980s (Anderson and Grove, 1987; Grove, 1988 and Beinart, 1989). However, it is fairly recent that fisheries research has started to include the management history in its analysis (see e.g. Chirwa, 1996). Two recent doctoral theses analyse the role of fisheries management in Malawi (Hara, 2000), Zambia and Zimbabwe (Malasha, forthcoming). A specific case study, based upon Malashas thesis has been prepared for this study (Malasha, 2003). These works tend to reinforce many of the results in the research from other productive sectors, which emphasize two aspects that are particularly important for an understanding of what the legislation and the practical regulations came to look like - one ideological and one political.
The ideological aspect is related to how regulation measures came to reflect the prevailing representations and images among the colonial administrators of the relationship between man and nature in general and the relationship between Europeans/Europe and Africans/Africa in particular. As emphasized by Anderson and Grove, the image of ... Africa [as opposed to Europe] as a wilderness in which European man sought to rediscover a lost harmony with nature and natural environment (1987:4) has, since the nineteenth century, been a strong underlying premise for the formulation of conservation policies as well as the creation of practical regulations. According to the same authors, the natural environment has been considered as ... a special kind of Eden, created for the purpose of the European psyche, rather than as a complex and changing environment in which people have actually had to live. The desire to maintain and preserve Eden has been particularly pronounced in eastern and southern Africa ... (Ibid.). No wonder, then, that the desire to conserve nature sometimes became more important than the wish to investigate the complex and changing environment.
Malasha (forthcoming and 2002) shows how Dr. C. F. Hickling, a fisheries biologist in the Colonial Office in London, already in 1952 emphasized the problems of utilizing conventional game conservation models in the management of tropical fisheries. In a five-page Memorandum on Fisheries Legislation he concludes that most of the restriction and prohibitions used to regulate the fisheries in the British colonies and overseas territories since the early twentieth century have probably had very limited effects: ... fisheries legislation, in so far as it aims at the conservation of fish stocks, is not a simple matter, but a highly complex one, in which the results of regulations may not only differ from those intended but may even defeat them[8]. In Hicklings view, the licensing of gear or nets that requires large and expensive enforcement staff, and other measures such as closed seasons, mesh-size regulations, and fish-size regulations are not very useful either. Nevertheless, and despite Hicklings strong reservations about most of the applied management measures, they have continued to form the basis of freshwater fisheries management in most countries in Southern Africa until today.
The second aspect that is highlighted in the literature is of a more direct political order and concerns the distribution of power and the pursuit of interests among the hegemonic groups. In order to suit and to serve the overall purposes of the colonial powers, the exploitation of fish, just like any other resource, had to be defined according to their interests, and fishers had to be controlled for the same purpose. But the colonial policies could vary considerably and the management regulations would do the same. As shown in Malashas case studies (2002), the differences in fisheries regulations on Lake Kariba between what is now Zambia and Zimbabwe can to a large extent be seen as a reflection of the different political interests between Britains colonial administration that dominated in Zambia (Northern Rhodesia) and the settlers, who had a strong influence on how laws and regulations were formulated and practised in Zimbabwe (Southern Rhodesia). In the case of Zambia, the development of a sound mining industry in the Copperbelt and the securing of cheap food for its labour force were very important for the British colonial authorities, and these interests influenced the guidelines that they developed for the regulation of fishing in that country. Similar concerns were to some extent also the case in Malawi (Hara, 2000). In Zimbabwe, on the other hand, fisheries regulations rather reflect the concern for the rights and privileges of the white settlers, who considered freshwater fishing as a leisure activity. The angling interests thus became paramount in the formulation of fisheries and stocking policies. One can still see how the only function of certain mesh size and locality regulations in the Zimbabwean part of Lake Kariba is to conserve the large specimens of the Tigerfish (Hydrocynus vittatus), which were the preferred target for anglers (i.e. settlers) on the lake. In later years the angling interests have been taken over by the tourist industry which, through its economic importance and political influence, has been able to uphold many of the fishing regulations.
The legacy of the colonial conservation practices is probably much stronger than is usually imagined. Besides, the present central management regimes also reflect new ideological images and the interest of new groups with influence in the independent states in question. Despite the fact that policies often emphasize the need to limit effort, it is interesting to note that only Zimbabwe has licence regulations in place which can effectively limit population-driven growth in effort (see Table 3.3). All the other measures regulate effort rather than limit it.
Despite the lack of surveillance the central management regulations have certainly affected the life of fishers and production at the local level. The lack of control does not mean that some groups may use the regulations against other groups. However, given that central regulations generally do not include limitations on the number of producers, we may conclude that the central management regimes probably have limited effects on the growth in fishing effort. In Chapter 4 we shall seek for the causes elsewhere.
Table 3.3 Different management measures applied in five fishing areas.
|
Management measures |
Mweru (Zambia) |
Kariba (Zambia) |
Kariba (Zimbabwe) |
Malombe (Malawi) |
Chilwa (Malawi) |
|
|
Licences |
|
|
|
|
|
|
|
|
- number of fishers |
|
|
x |
|
|
|
|
- number of gear |
|
|
x |
|
|
|
Restriction on fishing methods |
|
|
|
|
|
|
|
|
- type of gear |
x |
x |
x |
x |
x |
|
|
- mesh size |
x |
x |
x |
x |
x |
|
Time and spatial regulations |
|
|
|
|
|
|
|
|
- closed season |
x |
|
|
x |
|
|
|
- closed or protected area |
x |
x |
x |
x |
|
|
[2] For example, the 1989-92
figures for Lake Kariba in Table 3.2 include 1 232 Kapenta fishermen. Kapenta
(Limnothrissa miodon) was stocked into Lake Kariba in 1967 and the
fishery was opened in 1974. [3] This has mainly included Lakes Mweru (the Zambian side), Kariba (the Zambian side), Malombe and Chilwa, but it also includes closer examinations of secondary data from Lakes Tanganyika, Chiuta, Mweru wa Ntipa and the Bangweulu swamp. [4] Given the geographical proximity between the two water bodies, it is impossible to treat developments in Lake Malombe in isolation from what has happened on the South East arm of Lake Malawi. [5] Between 1917 and the late 1930s, waters from Lake Malawi did not flow into the Shire river. As a consequence, Lake Malombe was small and varied considerably according to annual rainfall in its immediate catchment area (McCracken, 1987 and Mandala, 1990). [6] A.D. Sansons statement in: Record of the meeting of the Commission of inquiry into the fishing industry held at the court house, Fort Johnston, 8th and 9th June 1956. (MNA/COM/9/3/1). [7] Note the fact that Pauly has had most of his small-scale fisheries experience in Asia and that this may explain his viewpoints. [8] Ref. Footnote 1, Chapter one. |