Abstract: It is recognized, almost universally, that the 'common pool' characteristic of most capture fisheries lies at the heart of the overcapacity problem in fisheries. In regulated open access fisheries, the resource managers are presumed to exercise effective control of the global season-by-season harvest, and thus over the resource. They do not, however, exercise effective control over the fleet size and hence, excess capacity can persist. The consequences of excess capacity are generally agreed upon, namely that excess capacity results in pure economic waste and serves to threaten the ability of the resource managers to control the global harvest. In this paper, we will not focus on the refining of definitions, but rather shall devote ourselves to addressing head on what these authors see as a major debate on the significance of excess capacity, under conditions of pure open access. Furthermore, we shall point out that, where excess fleet capacity does not exist in any meaningful sense, resource overexploitation can, and does, readily occur. We shall also argue, however, that excess capacity adds, at a minimum, two, if not three, significant dimensions to the resource overexploitation problem, which are wholly ignored in most, if not all, of the standard economic models of the fishery.
This paper will take, as its starting point, the discussion paper prepared by one of the two authors and Dominique Gréboval for the FAO Technical Working Group (TWG) Meeting on the Management of Fishing Capacity, April 1998 (Gréboval and Munro, 1999). That paper, although designed to deal with the issue of the control of capacity, did, as well, address in some detail the question of the underlying economics of fishing capacity and resource management. We contended in that paper that, without a clear understanding of the underlying economics, it was difficult to deal effectively with either the question of the control of capacity, or the question of the measurement of capacity.
The Gréboval and Munro (1999) paper was limited in its rigor, because of the strict time constraint to which the authors were subject. In this paper, we shall attempt to provide a somewhat greater degree of rigor to several of the issues raised by Gréboval and Munro, and to some new issues, by drawing on a paper currently under preparation by Clark and Munro (1999). The reader will, however, be spared the highly technical aspects of the Clark and Munro paper.
In the discussion that follows, all references to capacity will be confined to fleet capacity. Everything that we have to say, however, could be applied, with appropriate modification, to capacity in the processing sector and to human 'capacity', in the form of human capital.
It is recognized, almost universally, that the 'common pool' characteristic of most capture fisheries lies at the heart of the overcapacity problem in fisheries. In their discussion of the underlying economics of the overcapacity problem, Gréboval and Munro (1999) made use of the distinction between 'regulated open access' fisheries and 'pure open access' fisheries. In regulated open access fisheries, the resource managers are presumed to exercise effective control of the global season-by-season harvest, and thus over the resource. They do not, however, exercise effective control over the fleet size. In pure open access fisheries, by way of contrast, there is no effective control over harvesting, with the consequence that the exploitation of the resource is unrestrained.
We shall, in this paper, proceed by adopting the Gréboval and Munro (1999) distinction. The regulated open access case is relatively straightforward, and the measurement of excess capacity is comparatively easy. The consequences of excess capacity are generally agreed upon, namely that excess capacity results in pure economic waste and serves to threaten the ability of the resource managers to control the global harvest.
In our discussion, we shall point out that the economic waste, once incurred, is not readily reversible, particularly through 'buy-back' schemes. Furthermore, although this meeting is concerned with the measurement of capacity, rather than its control, we shall use the opportunity to make the point that, under not unreasonable circumstances; 'buy-back' schemes can easily exacerbate, rather than mitigate, the excess capacity problem.
Finally, under the heading "regulated open access", we discuss a recently adopted technique in a major British Columbia fishery designed to deal with excess capacity and its effect on the resource managers' ability to control the harvest. The technique has some of the flavour of ITQs, but is much less elaborate and easier to apply. It does, moreover, provide a 'rough and ready', but nonetheless effective, measure of excess capacity.
The question of overcapacity in the context of pure open access fisheries was found, in the Gréboval and Munro (1999) paper, to be much more difficult to address, because, in the first instance, the definition of excess capacity is much less clear. We shall in this paper not focus on the refining of definitions, but rather shall devote ourselves to addressing head on what these authors see as a major debate on the significance of excess capacity, under conditions of pure open access[7].
One school of thought appears to argue that excess capacity is the root cause of resource overexploitation under conditions of pure open access. The second school of thought maintains that the first school of thought is confusing symptoms with causes of the disease. Overexploitation of the resource arises from perverse incentives created by the aforementioned 'common pool' characteristics of the fisheries. Perceived overcapacity is simply a by-product, or symptom, of resource overexploitation.
If the second school of thought is correct, then attempting to define and measure excess capacity under conditions of pure open access is largely a waste of time. Moreover, the focus on capacity could be a harmful distraction, by diverting attention away from the real problem, i.e. the true causes of resource overexploitation.
In this paper, we shall support the second school to the extent that we shall argue that the incentives resulting in perceived overcapacity are indeed identical to those resulting in resource overexploitation. Furthermore, we shall point out that, where excess fleet capacity does not exist in any meaningful sense, resource overexploitation can, and does, readily occur. We shall also argue, however, that excess capacity adds, at a minimum, two, if not three, significant dimensions to the resource overexploitation problem, which are wholly ignored in most, if not all, of the standard economic models of the fishery (e.g. Clark and Munro 1982). The fears and concerns of the first school of thought, we shall conclude, are by no means devoid of merit.
Gréboval and Munro (1999) argued that, for excess capacity to be meaningful, the relevant capital had to exhibit some degree of non-malleability. Perfectly malleable capital is capital that can be easily and quickly removed from a fishery, or fisheries, without risk of capital loss.
Since we shall be using the concept of non-malleable (fleet) capital throughout the paper, let us try to provide a reasonably rigorous definition. To do so, we turn to the article of Clark, Clarke and Munro (1979). This was the first article to deal explicitly with the issue of non-malleable fleet capital in capture fisheries.
In following Clark, Clarke and Munro (CCM hereafter), let us denote fishing effort by E(t) and the stock of fleet capital by K(t), where K(t) can be thought of in terms of the number of "standardized" fishing vessels. We then have (CCM, ibid.):
|
|
(1) |
which asserts that maximum fishing effort capacity is determined by the existing number of vessels, and that the actual effort cannot exceed Emax [8]. Effort capacity may, or may not, be fully utilized.
Given an initial stock of fleet capital K(0) = K0, adjustments in the stock of capital are given by:
|
|
(2) |
where I(t) is the gross rate of investment (in physical terms) and g (a constant) is the rate of depreciation.
Now let c1, a constant, denote the unit purchase price of fleet capital, and let cs, a constant, denote the unit "scrap value" (resale value) of capital. We deem the fleet capital to be perfectly malleable if:
|
cs = c1 |
(3) |
which implies that freedom from risk of capital loss is assured. Conversely, we deem the capital to be perfectly non-malleable if:
|
cs = g = 0 |
(4) |
The capital has no re-sale value, and never depreciates.
The intermediate cases of quasi-malleable capital are given by the following:
|
cs =0; g > 0 |
(5) |
and
|
0<cs< c1; g ³ 0 |
(6) |
In the case indicated by equation (5), capital can be divested over time through depreciation. In that indicated by equation (6), capital can be disposed of through depreciation or by selling the capital at a positive price, but a price below the purchase price.
With these preliminary matters now in hand, we turn first to the case of excess capacity in the context of regulated open access fisheries. We do so because the regulated open access case is by far the easier of the two.
In discussing regulated open access fisheries, we shall deliberately introduce some rather extreme assumptions in order to simplify the exposition. We shall argue, however, that the principles to be developed would remain valid, with only minor modification, if less extreme assumptions were introduced.
We commence by assuming an absence of 'crowding' externalities, that all harvested fish is sold into the fresh market that the fisheries collectively face a perfectly elastic demand for harvested fish, that vessels and crews are identical in nature and ability, and that technology is frozen. Next we assume, initially at least, that the resource managers are capable of exercising iron control over total harvests. Thus, there are no resource management consequences of excess capacity, and all economic consequences are confined to the harvesting sector.[9]
Finally, we make the highly simplifying assumption that the rate of depreciation of vessel capital is equal to zero. We then contrast the extreme cases of perfectly malleable capital, with that of perfectly non-malleable capital.
Let us assume that the resource managers specify an annual Total Allowable Catch (TAC), or the equivalent thereof, which remains fixed for all future time. Let Q denote this fixed annual TAC in tonnes. Entry into the fishery is initially unrestricted; the variable K denotes actual entry of vessels into the fishery. The catch rate of fishing is q tonnes/day/vessel. Thus, if K vessels fish for D days during the year, the fleet's total annual catch, or harvest, is equal to qKD tonnes.
Let Dmax denote the maximum possible length of the annual fishing season. If the fleet size is such that qKDmax£ Q, then the fishing season will be at its maximum length. If qKDmax>Q, then the season must be reduced below its maximum length in order to ensure that the TAC is not exceeded. Thus:
|
|
(7) |
Now, let the price of harvested fish be denoted as p, a constant. Let the daily operating costs for a given vessel be denoted as c. The fleet's annual operating profits are thus given by
|
|
(8) |
Next, recall that the unit, or purchase price of vessel capital is denoted by c1, and let the annual rate of interest be denoted by r. If vessel capital is perfectly malleable, then, as it will be further recalled, the unit resale value of a vessel, at any time, is also equal to c1. The relevant capital cost, for a vessel owner is a 'rental' cost. Given our assumption that the rate of depreciation of vessel capital is zero, the annual capital 'rental' cost for a fleet of size K would simply be Kc1r.[10]
Now let K0 denote the number of vessels that would be required to take Q, if D = Dmax. Thus,K0 = Q/q Dmax. Fleet annual operating profits would then equal: (pq-c) K0 Dmax and fleet annual, 'rental' capital costs would equal K0c1r. We shall assume that (pq-c) K0 Dmax> K0c1r, otherwise the fishery is not viable. Given this assumption, fleet annual operating profits and fleet annual 'rental' costs can be depicted as functions of K (Figure1).

Figure 1. Annual operating profits and capital costs
Total fleet annual net profits obviously achieve a maximum at K = K0. Suppose that actual K > K0. Fleet annual operating profits and 'rental' costs, and thus net profits, would be identical to what they would have been, had actual K = K0. The basic reason is that, in this situation, the 'rental' cost of capital is really another form of operating cost. Hence suppose for the moment that K0 = 200 and Dmax = 360 days. Then suppose that K was doubled to 400 and as a consequence D was reduced to 180 days. The total annual fleet costs, total revenue, and thus annual net profits would remain unchanged[11].
Thus, given that the resource managers are able to exercise iron control over the total harvest, there is, under regulated open access, with perfectly malleable fleet capital, no unique optimal fleet size, and hence no such thing as 'excess capacity'. Attempts to measure excess capacity are pointless.
We turn now to the other polar extreme of perfect non-malleability of vessel capital. A vessel, once purchased, lasts forever and has no resale value. Consequently, the rational would-be investor must compare the cost of the vessel with the share of the present value of fleet operating profits the acquisition of the vessel promises him/her. Since the vessels (and crews) are assumed to be identical, an owner of a single vessel can be assumed to enjoy an average share of the aforementioned present value, i.e. total present value of operating profits divided by the number of vessels, K.
If the total annual harvest Q is taken, then the
present value of fleet operating profits will be equal to:
. Thus, investment in
additional vessel capital will unquestionably be profitable, if it is true
that:
|
|
(9) |
Given conditions of regulated open access, we would predict that investment in fleet capacity would continue up to the point that:
|
|
(10) |
where KOA denotes the regulated open access equilibrium level of fleet capital. Observe that equation (10) implies that:
|
|
(11) |
Now consider Figure 2, which shows the present value of fleet operating profits and the total capital cost of fleet acquisition, c1K. The present value of resource rent is, not surprisingly, maximized at K=K0, where it will be recalled that K0 is given by[12]:
|
|
(12) |
Thus, when fleet capital is non-malleable the concepts of optimal fleet size and 'excess' capacity do unquestionably become meaningful. In terms of our model, 'excess' capacity, in physical terms, arising under conditions of regulated open access is simply: (KOA - K0). We can re-express this excess capacity in economic terms as:
|
|
(13) |

Figure 2. Present value of fleet operating profits and capital costs
Thus the economic measure of excess capacity under regulated open access is equal to the present value of dissipated resource rent. Let us refer to the L.H.S. of equation (13) as the regulated open access Redundancy Deadweight Loss. Given K0, and given that c1 and r both exceed zero, the Redundancy Deadweight Loss, under regulated open access will be greater the smaller is r, for obvious reasons.
Let it be noted that the Redundancy Deadweight Loss is incurred the instant that 'excess', or redundant, vessel capital is acquired. Moreover, the economic damage, once done, cannot be undone.
If we were to relax our extreme assumption about the rate of depreciation and allow for a positive rate of depreciation, the 'excess' capacity would be removed over time. Attention could then be directed towards preventing the 'excess' capacity's re-emergence, and thus preventing another round of economic waste.
An obvious, and widely used, technique for addressing 'excess' fleet capacity in hitherto regulated open access fisheries is to combine a licence limitation, or limited entry, programme with a buy-back programme. We have already implied that, in economic terms, the buy-back scheme may be very much a case of locking the barn door after the horse has well and truly bolted.
Jorgensen and Jensen (1999), in discussing buy-back, or decommissioning, programmes, in the context of the European Union, argue that experience shows that fishers, and their bankers, are not all myopic with respect to investment in fleet capital. Decommissioning schemes, if repeated, will come to be anticipated and will influence investment decision making. The authors then argue, on the basis of a simulation model, that decommissioning schemes are likely to destabilize, rather than stabilize the fishery.
We would agree and would argue that one can, in the context of our model, show very simply that the impact of a buy-back (decommissioning) scheme will depend critically upon whether the scheme is, or is not, anticipated by the vessel owners. If this assertion appears to academic economists to carry with it some of the flavour of the rational expectations school of macro-economic theory (e.g. Sargent, 1986), it does so for good reason.
Let us illustrate with the aid of a simple numerical example. Let it be supposed that Dmax = 200 days. We assume, in addition that:
Q = 10 000 tonnes
q = 1 tonne per vessel per day
p = US$1 000 per tonne
c = US$500 per vessel per day
c1 =US$500 000 per vessel
r = 0.10 - i.e. 10 percent per annum.
Total annual fleet net operating profits will therefore be:


Let it be supposed that the fishery commences at time period t = 0. It is not unknown for resource managers to react to an 'excess' capacity problem, only after the problem has emerged. Therefore, let it be supposed that, if 'excess' capacity does emerge, the resource managers will react by, say, time period t = 10, by introducing a buy-back/licence limitation scheme with the objective of reducing K to 50 and of maintaining that fleet level thereafter.
Let us commence by also assuming that, at t = 0, the resource managers' future responses are wholly unanticipated by vessel owners. They assume, incorrectly, that regulated open access will continue forever. We can thus anticipate that at t = 0, investment in capital capacity will be given by:

Thus there is excess capacity of 60 vessels, representing a Redundancy Deadweight Loss of US$30 million.
At t = 10, the resource managers do introduce a 'sudden death' buy-back programme, to the surprise of the vessel owners. The vessel owners are, however, convinced that the authorities will do whatever is necessary to reduce the fleet to 50 vessels and are further convinced that the accompanying limited entry programme will be effective forever.
The present value of the operating profits of the remaining 50 vessels, discounted back to t = 10 will be US$1 100 000. Thus, we can be assured that the resource managers cannot offer less than US$1 100 000 per vessel. We shall assume, somewhat unrealistically, that the authorities are able to achieve their goal by offering a purchase price of US$1 100 000 and the accompanying limited entry programme is indeed fully effective. The fleet remains at K = K0 from henceforth.
Let us suppose that the buy-back scheme is financed by the government drawing upon its general revenues. If one can assume that resultant increase in taxes and/or increased government borrowing and/or reduced government expenditures on other activities causes no perceptible loss to the economy, we can say that each vessel owner will enjoy a windfall gain of US$600 000 (evaluated at t = 10)[13] and that the Redundancy Deadweight Loss (incurred at t = 0) remains at US$30 million. The initial loss to the economy cannot be undone by the buy-back programme, but at least no further damage is done.
Now let us change the example by supposing that, at t = 0, the vessel owners have perfect foresight. They anticipate, correctly, that, at the inception of the fishery, the resource managers will do nothing about the possible emergence of "excess" capacity. They anticipate further that, by t =10, the resource managers will react to the appearance of excess capacity by introducing a "sudden-death" buy-back programme and the resource managers will, moreover, offer a price of US$1 100 000 per vessel. The vessel owners also know that the fleet will be stabilized at 50 vessels, and that the accompanying limited entry programme will be entirely successful.
We can now calculate the level of investment in vessels at t = 0, which we shall denote by K'OA. Equilibrium will be achieved when:
|
|
(14) |
where c3 denotes the resource managers' offer price at t = 10. Observe that it is a matter of indifference whether an individual vessel owner sells his/her vessel at t =10, or whether his/her vessel continues on as one of the remaining 50. Also observe that equation (14) can be re-written as:
|
|
(15) |
In any event, in our example, we have:

The implication is that the eminently 'successful' buy-back programme would lead to a Redundancy Deadweight Loss of: US$500 000 (476-50) = US$213 million. Recall that, if the authorities had done nothing, i.e. had foregone a buy-back programme, the Redundancy Deadweight Loss to the economy would have been US$30 million, less than 15 percent of the loss brought on by the buy-back programme.
Note as well that, what we might term the 'do nothing' policy, results in the net economic returns from the fishery being reduced to zero - the usual result from the standard fisheries economics model. The present value (at t = 0) of net operating profits from the fishery is US$55 million; while total expenditure on vessel capital would be US$55 million. In our example of the anticipated buy back programme, the net economic benefits from the fishery to the economy at large (discounted back to t = 0) will be equal to minus US$158 million.
The reason that the anticipated buy-back programme induces a
large investment in fleet capacity is made transparent by the R.H.S. of equation
(15). The effective purchase price of vessel capital, for would be vessel
owners, at t = 0 is:
, which carries with
it the implication that the vessel owners would be receiving a subsidy. Indeed,
as the reader can verify in our example, exactly the same outcome could have
been produced under a 'do nothing' policy (i.e. KOA =
476) by having the government offer the vessel owners, at t = 0, a
subsidy per vessel equal to 77 percent of the purchase price
c1.
Of course we do not live in a world of perfect certainty. Nonetheless, the point remains. As Jorgensen and Jensen (1999) in their study of European fisheries were at pains to stress, it is foolish to suppose that vessel owners will simply ignore the knowledge they have acquired about the behaviour of resource managers and that they will neglect to incorporate that knowledge in their investment decisions.
To this point, we have assumed that the resource managers are able to exercise iron control over the TACs. Often this is not the case. Indeed, a major cost of 'excess' capacity is often seen to be the fact that it can readily lead to the undermining of the resource managers' control of the TAC. The 'swarm' of vessels with which the resource managers must deal can present an impossible policing problem.[14]
The policing problem provides us with an opportunity to bring to light an apparently effective scheme for dealing with that problem, which does not require the use of buy-backs. It does, moreover, provide an effective first approximation of a measure of actual excess capacity in a regulated fishery.
The scheme has been put into effect in the British Columbia roe herring fishery. In response to claims that there is no assurance that the scheme is applicable to other fisheries, we would counter by saying that there is even less reason to assume that the scheme is unique to the aforementioned fishery.
The British Columbia roe herring fishery is a short, intense fishery. There is a licence limitation scheme for the two gear classes - seiners and gillnets. Nonetheless, there had, historically, been a chronic policing problem. In the decade 1987-1997, for example, the actual annual harvests exceeded the coast-wide TAC by an average of 20 percent (G. Thomas, Department of Fisheries and Oceans (Canada), personal communication).
Commencing in 1998, the Canadian Department of Fisheries and Oceans (DFO) introduced a pooling system, first for seiners, and subsequently for gillnets (DFO, 1999). There are five designated openings for roe herring. Licence holders must beforehand declare the opening in which they plan to participate. It is well nigh physically impossible to participate in more than one opening. With respect to a given opening, the licence holders are, beforehand, required to form themselves into pools. Each seiner pool must have a minimum of eight participants; each gillnet pool a minimum of four. There is no upper limit to the number of participants in an individual pool.
At a given opening all participants of the pools appear, with their vessels. Each pool is given a quota based upon the TAC and the number of licences per pool. Furthermore, each pool is required to appoint a pool captain who works with the resource manager to determine which vessels from the pool shall actually engage in fishing. The net profits of the pool are, however, divided among the pool members.
Thus, for example, one could have a pool containing 20 independent vessels, but in which only two vessels actually engage in harvesting. All 20 vessel owners will, nonetheless, share in the profits.
The race for the fish, within pools, is eliminated. From the resource managers' perspective, monitoring a few pools rather than many vessels is far easier. It should also be added, that, if a pool exceeds its quota, the overage is distributed elsewhere at the discretion of the resource managers (DFO, 1999).
The scheme does, of course, have a certain ITQ flavour to it. It is, however not a fully-fledged ITQ scheme, and is much simpler to organize.
To date, the scheme has apparently been very successful (G. Thomas, personal communication). Unquestionably, it will evolve through time. One can conjecture that, if at a given opening, industry profits should prove to be higher, the smaller the number of pools, the industry would not be slow to realize this fact. We could then look forward to a pooling of the pools - to the benefit of the resource managers.
With regards to measures of excess capacity, if, at a particular opening, there is one seine pool of fifty vessels, while the actual harvesting is done by, say, four vessels, then we would have a rough measure of excess capacity. This, in turn, raises a question about further evolution of the scheme.
At the present, licences, plus vessels, provide fishers (companies) with the 'tickets to the dance'. One can foresee the scheme evolving in a manner in which participants receive shares of the profits, but without vessel redundancy being perpetuated. The driving force would enhance industry profits.
We now examine the case in which we commence with a pure open access fishery in that there is, initially at least, a complete absence of intervention by resource managers. The standard economic models of the fishery, going back to that of Gordon (1954), predict that, in these circumstances, the resource will be 'overexploited' from the point of view of society. The question that we shall raise is whether fleet capacity, as we have defined it, has a distinct role to play in the over-exploitation process, or whether apparent 'excess capacity' is no more than a symptom of the overexploitation disease. To repeat our earlier point, if apparent 'excess capacity' is no more than a symptom, the attempt to measure the 'excess capacity' may be a pointless exercise.
Our discussion will have as its foundation two articles. These are the aforementioned article by Clark, Clarke and Munro (1979) (CCM), and a companion article by McKelvey (1986).
In contrast to the discrete time model used in Section 2, we find it more convenient in the discussion to follow to use a continuous time model. We shall also find it convenient, and appropriate, to relax the restrictive assumption, adopted in Section 2, that fleet capital is perfectly non-malleable. We shall rather assume that the fleet capital is quasi-malleable (see Section 1), and assume, specifically, that, while the re-sale value of capital, cs, is equal to zero, the rate of depreciation of vessel capital is positive. Finally, we shall assume, for ease of exposition that we commence with a virgin fishery. It could be that, heretofore, the fishery was not commercially viable, but that, with a once and for all change in market conditions (e.g. increase in demand for the harvested fish); the fishery does suddenly become commercially viable.
In keeping with the CCM and McKelvey articles, we initially model the fishery resource stock with the standard Schaefer model (see: Clark, 1990, Ch. 1)
|
|
(16) |
where x = x(t) denotes the fish stock, or biomass, and where F(x) denotes the natural rate of biomass growth, when the resource is unexploited. It is assumed, in the Schaefer model, that the natural growth function is a pure compensatory one (Clark, 1990). The harvest rate, or harvest production function, is assumed, as before, to be given by:
|
|
(17) |
where E and q are the rate of fishing effort and catchability coefficient respectively.
The adjustment in the stock of fleet capital is given by:
|
|
(18) |
where I(t) and dK/dt are to be
seen as the rates of gross and net investment in K respectively. Given
our assumptions we have
. We
now express the flow of net operating profits, at each point in time,
as:
|
|
(19) |
where, as before, c, a constant, denotes unit operating costs, and p, a constant, the price of harvested fish. Alternatively, we can express equation (19) as:
|
|
(20) |
where cvar(x) denotes unit
variable cost of harvesting, given by
.
If p(t) > 0, we can
assume that the existing fleet will be used to capacity, i.e. E(t)
= K(t). There will, however, be a biomass level at which p(t) = 0, that we shall denote as
. The biomass
is given by
|
|
(21) |
We can be certain that the resource would not fall below that
level, since at biomass levels below
, fleet operating profits
would be negative. Hence we have:
|
|
(22) |
There exists another biomass level, which we shall denote as
. This is the biomass level
that would be the pure open access equilibrium level, if vessel capital was
perfectly malleable. It is given by:
|
|
(23) |
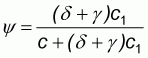
where ctotal(x) is the unit
total cost of harvesting, given by
and where (d+ g)c1
is the unit 'rental' cost of vessel capital (recall the discussion in Part
II) where d denotes the rate of interest (in
continuous time)[15]. Obviously,
. The biomass level
corresponds directly
to the Bioeconomic Equilibrium level, as originally defined by Gordon (1954);
see also CCM (1979). It can be shown (and should come as no surprise), that
vessel owners will have no incentive to invest (positively) in vessel
capital at biomass levels below
(McKelvey,
1986).
With all of this in mind, we can state the following. Assume
that x(0) >
. Then
at t = 0, i.e. at the time of the once and for all change in
market conditions, investment in vessel capital by vessel owners will occur, and
will occur (by assumption) instantaneously. How the level of investment is
determined is a matter to be discussed momentarily. Exploitation of the fishery
resource commences, and the resource (x) declines.
Given our assumption that cs = 0, the
only costs relevant to the vessels, once they have been acquired, are operating
costs. Hence the biomass may (but not necessarily will) be reduced to the level
. Thus, the biomass level
is an equilibrium level,
but only over the short-run. The fleet continues to depreciate, and since it
will not pay vessel owners to invest in additional capital at biomass levels
below
, the time will come
when the fleet is too small to harvest at x(t) =
on a sustainable
basis.
When this time arrives, the biomass will experience positive
growth and will continue to grow until x(t)
=
. At this point,
it will pay vessel owners (collectively) to invest in fleet capital up to, but
not beyond, the point that will enable the fleet to harvest sustainably at
x(t)=
. In
other words, once
is
achieved, the rate of net investment in fleet capital (dK/dt) will
be equal to zero. It is for this reason that we refer to the biomass level
as the long-run equilibrium
level. Finally, it can be shown, of course, that should the biomass rise
above
, it would pay vessel
owners to invest in sufficient new capacity to an extent that they would renew
the process of resource depletion (i.e. we would find that dK/dt >
0).
Now let us consider the determination of the initial fleet size at t = 0, which we shall denote as K0. Recall that, by assumption, the investment is done instantaneously. Denote the initial biomass level at t = 0 as x0. If K0 vessels are introduced into the fishery at t = 0, then we have: K(0) = K0.
Once the vessels K0 have been purchased, the operating profits from the vessels alone become relevant. The present value of these operating profits is given by:
|
|
(24) |
where x(t) and E(t) are as specified above, for all t > 0.
We continue to assume that vessels and crews are identical. Employing the same form of argument used in Section 2, we can argue that, at t = 0, investment in capacity will proceed up to the point that:
|
|
(25) |
Consider now Figure 3 and focus on the 45º line, the curve sOA and the fleet-size, biomass trajectory W. The figure can be viewed as a type of 'feedback' prediction of both the level of investment in vessel capital and the amount of fishing effort that will be used.

Figure 3. Investment/biomass feedback trajectory
In the example given in Figure 3, the trajectory indicates
that the biomass is, in fact, driven down to level
. While we cannot, in fact,
be certain that the biomass will be driven down to
, we can be certain that the
resource will be driven down below
(McKelvey,
1986).
We could accompany Figure 3 with a similar figure showing what the optimal resource exploitation and fleet investment path would have been had the resource been under the complete control of a resource manager from the instant that the fishery became commercially viable. The underlying analysis is indeed mathematically demanding, so that we shall only report the results here (for a complete discussion see Clark and Munro, 1999). If we assume that the resource manager and vessel owners use the same discount rate, then it can be shown, and will come as no surprise, that, at each stage, the level of investment in fleet capital deemed optimal by the resource manager would be less than that which would occur under conditions of pure open access[16].
The underlying reason is straightforward enough. The resource manager in controlling, or monitoring, a fleet investment programme must always be aware of the impact of the programme, and the subsequent use of the capital, upon the 'natural' capital in the form of the resource. The impact upon the resource can be seen as one of the 'costs' of investment in vessels. Vessel owners operating under conditions of open access will effectively set the "cost" associated with the resource at zero.
This, however, is the sort of argument that is normally used to explain overexploitation of the resource in pure open access fisheries. Hence, it would indeed appear that resource over-exploitation and 'overcapitalization' (as perceived by the resource manager) are but two sides of the same coin.
Furthermore, consider the following. Suppose that the fleet
capital was perfectly malleable, i.e. c1 =
cs. In this case,
and
would be identical. All
costs would be variable, all costs would be relevant, and equation (24) would be
replaced by:
|
|
(26) |
where
. It can easily be
shown that, commencing with a virgin fishery resource, exploitation of the
resource, under pure open access, would lead to the depletion of the resource to
the level x(t) =
,
i.e. Bionomic Equilibrium. This, of course, is the prediction of the standard
economic model of the fishery (see as well: CCM, 1979). Thus, while 'excess'
capacity does not exist in any meaningful sense, overexploitation of the
resource would most certainly occur.
Thus, the argument would seem to go in favour of the second school of thought to which we referred in Section 1. Fleet capacity, per se, under conditions of pure open access does not really matter, and indeed may be a distraction.
Yet, before accepting this conclusion, let us return to Figure
3 and our analysis of the pure open access fishery with non-malleable fleet
capital. Note that, with the existence of such capital, our model predicts a
heavier degree of resource exploitation, under conditions of pure open access,
than does the standard economic model of the fishery. The resource will be
driven down below the long-run Bioeconomic Equilibrium level,
. Once the vessels are
acquired, the capital costs of the vessels (c1K0
in our example) cease to be relevant. The vessels, once acquired, can be
viewed as generators of "cheap" fishing effort. If, however, the Schaefer model
is the appropriate biological model for the resource, then we can rest assured
that Bionomic Equilibrium
will eventually be achieved. Thus it would appear that the aforementioned
'heavy' exploitation is strictly temporary and is of only passing
interest.
The Schaefer model assures us that the resource will not face
the risk of extinction through over-harvesting. In a world that has produced
resource management disasters, such as Northern Cod, one cannot rest content
with the assurances of the Schaefer model. Suppose in fact that the Schaefer
model does not strictly apply. Suppose rather, in following an example developed
by McKelvey (1986), that, while the harvest production function remains as
specified in Equation (17), the natural growth function, rather than being a
purely compensatory one, is characterized by critical depensation (Clark, 1990).
Suppose further that, as a consequence, there exists a minimum viable
population,
, greater than
zero[17]. The biomass levels
and
are determined as before.
There is, however, no guarantee that:
(McKelvey,
1986)[18].
Now consider the following example. Let it be supposed that
= 500 while
= 200. Thus the
Bionomic Equilibrium biomass level lies comfortably above
. Consequently, if fleet
capital was perfectly malleable, we could rest assured, other things being
equal, that the resource would be safe from extinction.
If, however, the fleet capital is not perfectly malleable (let
us return to our assumption that: cs = 0; g >0), and if
, then the resource could be
driven to extinction. Furthermore, the degree of risk will, we would argue, be
dependent critically upon the nature of the fleet capacity.
The measure of capacity which we have employed, which we express as the power to generate fishing effort, per period of time[19], is, of course, really a mix of inputs - capital, labour, etc. We can think of various forms of 'capacity', as varying in terms of 'capital intensity'. For want of a better measure, let us use, in our example, as a measure of 'capital intensity' that fraction of ctotal(x), at any given level of x, accounted for by capital 'rental' costs. It can be shown that for any level of x > 0, the fraction can be expressed as follows:[20]
|
|
(27) |
where 0£y£1. Let us refer to y as the 'capital intensity coefficient'.
If vessel capital is non-malleable, the lower bound to
resource exploitation,
,
will be determined by the 'capital intensity' of the mix of inputs constituting
'capacity'. Given the harvest production function as set out in Equation (17),
and given the degree of non-malleability of vessel capital which we have
assumed[21], it can be shown
that:
|
|
(28) |
To illustrate, suppose that a fishery resource could be exploited through the use of two alternative forms of fishing 'capacity': KI and KII. A unit of KI has equal fishing effort generating capacity to a unit of KII. The relevant harvest production function is that given by Equation (17). The relevant catchability coefficients are identical. Furthermore, let it be supposed that:

Hence, it follows that
. Let it be supposed, in
keeping with our previous example, that:

Let it also be supposed, also in keeping with our previous
example, that there exists a minimum viable population,
,
=
200.
Let it further be supposed that:
yI= 0.10
yII=0.90
which implies that:

If the resource was exploited under conditions of pure open
access with Class I fishing capacity (alone), we could be confident,
other things being equal, that the resource would be safe from extinction
. If, on the other hand, the
resource was exploited with the much more capital intensive Class II
capacity, we would have to conclude, that with
equal to but 25 percent of
c, the resource would indeed be at risk of being driven to
extinction.
Thus we must conclude that, if fleet capital is other than perfectly malleable, fleet capacity can indeed add a further, and very significant, dimension to the resource exploitation problem under conditions of pure open access. We must also conclude that the form that the capacity takes is of significance. The greater is the degree of 'capital intensity' of the capacity, other things being equal, the greater will be the magnitude of the aforementioned dimension.
The existence of fleet capacity, as we have defined it, adds a second dimension to what we might call the general resource management problem that we shall describe only briefly. Suppose that a fishery commences as a pure open access one, but that, after a period of heavy resource exploitation, the resource managers intervene to control the fishery and to rebuild the resource. Previous investment by the industry in non-malleable fleet capital will have an impact upon the resource managers' optimal harvest programme. The existence of previously acquired fleet capital/capacity will call for a slow, rather than a rapid, restoration of the resource stock over time (CCM, 1979). In practical terms, a policy of rapid resource restoration carries with it the cost of possible severe disruption to the industry and communities dependent on the industry.
In any event, 'optimal' fleet capacity over the resource restoration (or adjustment) phase is not a constant, but becomes a function of time. This issue has been discussed in some depth in Gréboval and Munro (1999). On the assumption that the Gréboval and Munro paper is readily available to the reader, and with the aim of keeping this paper to a reasonable length, we will not explore the issue further here.
The term 'spillover effect' refers to the situation in which fleet capacity is removed from one fishery, but rather than disappearing, makes its way into another fishery. Once again this is a reflection of the fact that fleet capital may be non-malleable - particularly from the perspective of world fisheries, combined with the fact that the capital is mobile.
The 'spillover effect' provides yet another dimension to the resource exploitation problem created by fleet capacity. The implication of the 'spillover effect' is that it is no longer adequate to examine the problem of resource overexploitation in terms of isolated fisheries. The 'spillover effect' carries with it the possibility of linkages between and among fisheries suffering from overexploitation.
The question now to be considered is whether these linkages are real or ephemeral. We respond first by conceding that not all 'spillovers' are harmful. If the recipient fishery is well managed, for example, the recipient fishery can be expected to benefit from any 'spillover', taking the form of an offer of 'cheap' capital. The resource managers of the recipient fishery could look forward to profiting from the resource mismanagement of others.
We shall rather argue that there are no safe grounds for assuming that 'spillovers' will always be harmless. To make our point, we need construct but one example of where a 'spillover' can lead to disaster.
Let us take as our example two independent fisheries a and b, exploiting the same species, using identical fishing vessels and facing identical costs, including the purchase price of vessels, c1. Assume that the vessels have no value (including for true scrap) outside of the two fisheries, but that they are subject to a common depreciation rate g. It is also reasonable to assume that, in the evolution of the two fisheries, movements of vessels between the two fisheries would eliminate any profit differential.
Assume in addition that the resource in each fishery has a
minimum viable population, which we shall designate as
and
respectively. Both
fisheries are pure open access fisheries. Let is also be supposed
that:

Let it be further supposed that the solutions to the
equivalent of Equation (25) result in a fleet size in each fishery that is
insufficient to reduce the resources to
;
. Note from Equation (25)
that the fleet size will, inter alia (and to the surprise of no one),
depend upon c1. In any event, both fisheries stabilize at
Bionomic Equilibrium,
.
Now let it be supposed that, while Fishery b remains a pure open access fishery, Fishery a becomes subject to rigorous and thorough management, with the resource managers being able to exercise iron control over both the resource and the fleet size. It is true that the past investment in fleet capacity will influence the resource management programme in Fishery a, and that the resource managers are unlikely to engage in a wholesale disposal of vessels (Gréboval and Munro, 1999; CCM, 1979). It is also true, however, that if the resource managers were faced with a positive re-sale price for the vessels, they would sell off some of the vessels.[22]
Recalling our assumption that the vessels have no value outside of Fisheries a and b, the question becomes whether the Fishery a managers could find buyers for their vessels in Fishery b. We know that, at the purchase price of vessels, c1, investment in fleet capacity in Fishery b would be such as to maintain the rate of net investment in fleet capacity equal to zero. In other words, investment in capacity would be for replacement purposes only.
Suppose, however, that fishers in Fishery b were offered vessels by the Fishery a resource managers at a fixed posted price of
. Fishers in Fishery
b would recognize this as a once only
offer. The number of 'cheap' vessels purchased by the Fishery b fishers would be determined by a variant of Equation
(25). Fishers would be prepared to purchase vessels up to the point that their
expected per vessel share of the present value of the additional fleet operating
profits was equal to
. We shall not
attempt to determine the equilibrium level of
.
We need only note the following: If
was low enough and
if the supply of 'cheap' vessels at that price available to fishers in
Fishery b was great enough (suppose, for
example, that Fishery b was much smaller
than Fishery a), the b fishery resource could readily be driven below
[23].
We do not have to demonstrate that disaster must occur, only that it could
occur.
The reason that Fishery b was
safe before, but might now be faced with disaster, is straightforward. Other
things being equal, the level of c1 was sufficiently
high to ensure that the b fleet would not be great enough to drive the
resource to
. With vessels
from Fishery a being sold at 'fire sale' prices to Fishery b, that assurance is lost.
Let us also note the importance of 'capital intensity'. The
more capital intense the fishing operations, the more vulnerable will the
resource be to destruction. If, for example, our measure of capital intensity,
y, was low with the consequence that
, a 'spillover' from a to b would cause
some temporary additional exploitation of the b resource, but would cause
no lasting harm.
Finally, we conclude with a conjecture. The straddling fish stock/highly migratory fish stock problem, which emerged with such ferocity in the 1980s and early 1990s, could be seen as a 'spillover' phenomenon. The eviction of distant water fishing (DWFN) fleets from newly formed EEZs could be viewed, in turn, as producing a 'spillover' into hitherto commercially uninteresting high seas open access fisheries. Furthermore, one could, even without precise measures, argue that the DWFN fishing operations were nothing, if not 'capital intensive'. Thus, one could argue further that, as 'capital intensive' DWFN fleets 'spilled over' into high seas areas, such as the Donut Hole and Peanut Hole of the North Pacific, one should not be surprised that these once productive areas were transformed into marine deserts.
We have attempted to examine the issue of fishing fleet capacity in the context of both 'regulated open access' and 'pure open access' fisheries. In so doing, we have followed the lead of Gréboval and Munro (1999).
In both cases, we stressed the significance of the 'non-malleability' of fleet capital. We questioned whether 'excess' capacity had any substantive meaning in cases in which such capital can be viewed as being perfectly malleable.
With regards to regulated open access fisheries, we argued that the measurement of excess capacity should be straightforward. Then, although this TWG meeting is not directly concerned with measures of control, we did raise some questions about buy-back, or decommissioning, schemes to mitigate the economic waste associated with 'excess' capacity. We first pointed out that much, if not most, of the economic damage is done once the excess capacity is acquired, and cannot be easily undone. We then emphasized that concerns about anticipated buy-back schemes making a bad situation worse are very well founded.
One aspect of excess capacity, under conditions of regulated open access, is that the excess capacity weakens the control of resource managers over harvesting. We used this issue as an opportunity to discuss a recent management technique employed in a major British Columbia fishery, which appears to address effectively the harvest control problem and does, in addition, provide a good first measure of excess capacity.
The question of excess capacity under conditions of pure open access is, as Gréboval and Munro emphasized, a much more difficult one. We addressed the perceived debate over whether capacity plays a direct role in the resource overexploitation associated with pure open access, or whether it is no more than a symptom, or by-product, of the overexploitation. If perceived excess capacity is no more than a symptom, then attempts to measure excess capacity may be of little value, and may in fact be a distraction.
That the incentives leading to investment in 'excess' capacity are identical to those resulting in resource overexploitation is not in doubt. Moreover, there is also no question that, if fleet capital was perfectly malleable, overexploitation would occur. Nonetheless, we argued that when fleet capital is less than perfectly malleable, fleet capacity does add several dimensions to the resource exploitation problem and to resource management in general, not captured in the standard economic models of the fishery.
First, in the context of a single isolated fishery, the existence of non-malleable fleet capital will, under conditions of pure open access, lead to a greater degree of resource exploitation than that predicted by the aforementioned standard economic models. As Robert McKelvey first pointed out over a decade ago, under the 'right' set of circumstances this added dimension can have very serious consequences indeed.
Furthermore, the nature, or form, of the fleet capacity will influence the magnitude of this dimension. The more 'capital intensive' is the fishing operation, other things being equal, the greater will be the magnitude of this dimension; the greater will be the threat to the resource.
Next, investment in non-malleable fleet capital under conditions of pure open access will have an impact upon optimal resource management strategies, should the fishery become subject to effective management at a later stage. Attempts to determine 'optimal' fleet capacity, and thus measure 'excess' capacity, will be seriously flawed if these facts are ignored.
The final dimension that we considered takes the form of the 'spillover' effect, which arises from the existence of 'non-malleable' fleet capital, combined with the mobility of such capital. The implication of the 'spillover' effect is that it can no longer be deemed adequate to examine the management of individual fisheries in strict isolation. Apparently highly commendable attempts to address problems of resource exploitation and excess fleet capacity in one fishery can, through the 'spillover' effect, result in disaster in other fisheries.
Canadian Department of Fisheries & Oceans. 1999. Pacific Region: 1999 Integrated Management Plan, Roe Herring. Vancouver.
Clark, C.W. 1990. Mathematical Bioeconomics: The Optimal Management of Renewable Resources (Second Edition). New York: Wiley-Interscience.
Clark, C.W. & Munro, G.R. 1982. The Economies of Fishing and Modern Capital Theory: A Simplified Approach. In: Mirman, L.J. & Spulber, D.F. (Eds.), Essays in the Economics of Renewable Resources. Amsterdam: North-Holland, pp. 31-54.
Clark, C.W. & Munro, G.R. 1999. Overcapitalization and the Management of Capture Fishery Resources: A Simplified Approach, in preparation.
Clark, C.W., Clarke, F.H. & Munro, G.R. 1979. The Optimal Management of Renewable Resource Stocks: Problems of Irreversible Investment. Econometrica, 47: 25-47.
FAO. 1998a. Report of the Technical Working Group on the Management of Fishing Capacity. La Jolla, United States, 15-18 April 1998. FAO Fisheries Report No. 586. Rome, FAO.
Gordon, H.S. 1954. The Economic Theory of a Common Property Resource: The Fishery. Journal of Political Economy, 62: pp. 124-142.
Gréboval, D. & Munro, G.R. 1999. Overcapitalization and Excess Capacity in World Fisheries: Underlying Economics and Methods of Control. In: Gréboval, D (Ed). Managing Fishing Capacity: Selected Papers on Underlying Concepts and Issues. FAO Fisheries Technical Paper No 386. Rome, FAO. pp. 1-48.
Jorgensen, H. & Jensen, C. 1999. Overcapacity, Subsidies and Local Stability. In: Hatcher A. & Robinson K. (Eds.), Overcapacity, Overcapitalization and Subsidies in European Fisheries. Centre for the Economics and Management of Aquatic Resources, University of Portsmouth. pp. 239-252.
McKelvey, R. 1986. Fur Seal and Blue Whale: The Bioeconomics of Extinction. In: Cohen Y. (ed.), Applications of Control Theory in Ecology. Berlin: Springer-Verlag. pp. 57-82.
Munro, G.R. & Scott, A.D. 1985. The Economics of Fisheries Management. in Kneese A.V. & Sweeney, J.L. (Eds.), Handbook of Natural Resource and Energy Economics, vol. II. Amsterdam: North-Holland. pp. 623-676.
Sargent, T.J. 1986. Rational Expectations and Inflation. New York: Harper.
|
[6] University of British
Columbia, Vancouver, Canada. [7] The authors perceptions of the debate are based much less upon documentary evidence, than upon discussions which one of the authors, Munro, had and has had, with participants in the TWG Meeting of April 1998, prior to, during, and after the meeting. [8] This concept of fleet capacity expressed in terms of the fleets ability to generate fishing effort per unit of time is, we would argue, entirely consistent with the definitions of capacity used by Gréboval and Munro (1999), and with the 1998 Technical Working Group meeting (FAO 1998). [9] This is one assumption that we shall definitely relax at a later point in the discussion [10] We shall in the discussion to follow assume (implicitly) that interest is compounded annually. Given that assumption, the annual rental cost of capital is, strictly speaking, equal to: Kc1rDmax/365. To minimize unnecessary complications, the reader may safely assume, at this stage, that Dmax = 365. [11] This is, in fact, a well known result. See for example, Munro and Scott (1985). [12] Return, for the moment, to the case of perfectly malleable fleet capital. So long as the entire TAC = Q is taken, year in and year out, the annual rental cost will always be equal to K0c1r, regardless of the fleet size. The capitalized value of K0c1r through time is, of course, simply equal to: c1K0. [13] If there had been no buy-back programme, then, at t = 10, the present value of operating profits accruing to each vessel, evaluated at t = 10, would have been $500 000, and thus each vessel would, at t = 10, have been worth $500 000 - hence the $600 000 windfall gain. [14] What we might term the swarm effect does perhaps provide us with an exception to the rule that excess capacity is meaningful, only if the fleet capital is non-malleable. Even if the fleet capital is perfectly malleable, the policing problem, can obviously arise. [15] It is being assumed (implicitly) that each fishing firm is subject to constant returns to scale [16] Needless to say, the extent of resource exploitation deemed optimal would also be less than that which would occur under pure open access. [17] McKelvey made the point in his article that his minimum viable population case was only but one of many cases in which the assurances offered by the Schaefer model could prove to be illusory (McKelvey, 1986). [18] For that matter, there is no guarantee that . We
shall, however, assume that
is in fact greater than
.[19] See footnote 8. [20] See footnote 15. [21] i.e., cs = 0; g> 0. [22] This point is analyzed in detail in CCM (1979). [23] If was equal to
zero and the supply of cheap vessels to Fishery b fishers was unlimited, then obviously the
resource would be promptly driven down
to . Of course,
will be positive and
the supply of cheap vessels will not be unlimited. Nonetheless, the
point remains. |